New Insights into the Life History Changes Can Enhance Control Strategies for Therioaphis trifolii
Abstract
1. Introduction
2. Materials and Methods
2.1. Insects and Plants
2.2. Determination of Epidermis Wax, Density, and Length of Leaf Hairs in Leaves of Two Alfalfa Cultivars
2.3. Anatomical Structure of Vegetative Organs of Two Alfalfa Cultivars
2.4. Life Table
2.5. Statistical Analyzes
3. Results
3.1. Determination of Epidermis Wax, Density, and Length of Leaf Hairs in Leaves of Two Alfalfa Cultivars
3.2. Anatomical Structure of Vegetative Organs of Two Alfalfa Cultivars
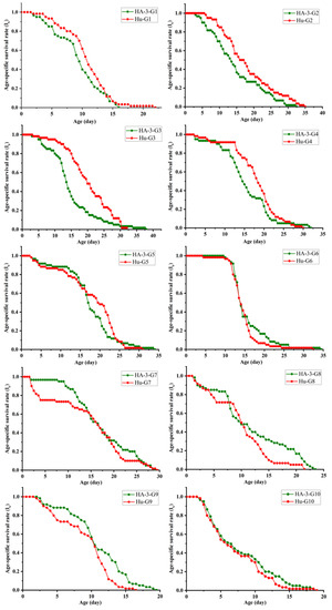
3.3. Developmental Time, Longevity, and Fecundity
3.4. Population Growth Parameters
4. Discussion
5. Conclusions
Author Contributions
Funding
Data Availability Statement
Conflicts of Interest
References
- Blackman, R.L.; Eastop, V.F. Aphids on the World’s Crops. Aust. J. Entomol. 2000, 39, 354–355. [Google Scholar]
- Monell, J. Notes on Aphididae. Can. Entomol. 1882, 14, 13–16. [Google Scholar] [CrossRef]
- Lloyd, D.L.; Franzmann, B.A.; Hilder, T.B. Resistance of lucerne lines at different stages of plant growth to spotted alfalfa aphid and blue-green aphid. Aust. J. Exp. Agric. 1983, 23, 288–293. [Google Scholar]
- Liu, X.Z.; Wei, S.H.; Du, Z.Y.; He, J.; Zhang, X.Y.; Li, H.; Zhang, R.; Cai, W.Z. Population genetic structure of the invasive Spotted Alfalfa Aphid Therioaphis trifolii (Hemiptera: Aphididae) in China Inferred From Complete Mitochondrial Genomes. Front. Ecol. Evol. 2021, 9, 1–11. [Google Scholar] [CrossRef]
- Dillwith, J.W.; Berberet, R.C.; Bergman, D.K.; Neese, P.A.; Edwards, R.M.; Mcnew, R.W. Plant biochemistry and aphid populations: Studies on the spotted Alfalfa aphid, Therioaphis maculata. Arch. Insect. Biochem. Physiol. 1991, 17, 235–251. [Google Scholar] [CrossRef]
- He, C.G.; Zhang, X.G. Field evaluation of lucerne (Medicago sativa L.) for resistance to aphids in northern China. Aust. J. Agric. Res. 2006, 57, 471–475. [Google Scholar] [CrossRef]
- Song, L.; Wang, X.; Liu, Y.; Sun, Y.; Ban, L. Characterization of antennal sensilla and immunolocalization of odorant-binding proteins on Spotted Alfalfa aphid, Therioaphis trifolii (Monell). Front. Physiol. 2020, 11, 606575. [Google Scholar] [CrossRef]
- Holtkamp, R.H.; Edge, V.E.; Dominiak, B.C.; Walters, J. Insecticide resistance in Therioaphis trifolii f. maculata (Hemiptera: Aphididae) in Australia. J. Econ. Entomol. 1992, 85, 1576–1582. [Google Scholar] [CrossRef]
- Ma, J.H.; Zhu, M.M.; Zhang, R.; Yu, H.Y.; Ma, R. Screening of bio-pesticides on Therioaphis trifolii and effect of pesticides on insect natural enemy. Agrochemicals 2008, 47, 614–616. [Google Scholar]
- Bishop, A.L.; Greenup, L.R.; Holtkamp, R.H. Management of Acyrthosiphon kondoi Shinji, blue-green aphid, and Therioaphis trifolii (Monell) f. maculata, spotted alfalfa aphid, by grazing and cutting lucerne. Aust. J. Exp. Agric. Anim. Husb. 1980, 20, 710–716. [Google Scholar] [CrossRef]
- Hughes, R.D.; Woolcock, L.T.; Roberts, J.A.; Hughes, M.A. Biological control of the Spotted Alfalfa Aphid, Therioaphis trifolii F. Maculata, on lucerne crops in Australia, by the introduced parasitic Hymenopteran Trioxys complanatus. J. Appl. Ecol. 1987, 24, 515–537. [Google Scholar] [CrossRef]
- Zhao, H.; Shi, Y.; Xiongbing, T.U.; Dong, H.; Zhang, Z. Effects of soybean trypsin inhibitors on Therioaphis trifolii Monel (Homptera: Aphididae). Chin. J. Biol. Control 2018, 34, 348–353. [Google Scholar]
- Baloach, A.R.; Khuhro, S.N.; Hassan, M.F.; Metlo, W.A.; Maitlo, S.A. Biology and feeding potential of 7-spotted beetle, Coccinella seppunctata (linnaeus) on berseem aphid, Therioaphis trifolii Monell in laboratory. Pak. J. Bot. 2020, 17, 41–47. [Google Scholar]
- Irwin, J.A.G.; Lloyd, D.L.; Lowe, K.F. Lucerne biology and genetic improvement—an analysis of past activities and future goals in Australia. Aust. J. Agric. Res. 2001, 52, 699–712. [Google Scholar] [CrossRef]
- Hanley, M.E.; Lamont, B.B.; Fairbanks, M.M.; Rafferty, C.M. Plant structural traits and their role in anti-herbivore defence. Perspect. Plant Ecol. Evol. Syst. 2007, 8, 157–178. [Google Scholar] [CrossRef]
- War, A.R.; Paulraj, M.G.; Ahmad, T.; Buhroo, A.A.; Hussain, B.; Ignacimuthu, S.; Sharma, H.C. Mechanisms of plant defense against insect herbivores. Plant Signal. Behav. 2012, 7, 1306–1320. [Google Scholar] [CrossRef]
- Furstenberg-Hagg, J.; Zagrobelny, M.; Bak, S. Plant defense against insect herbivores. Int. J. Mol. Sci. 2013, 14, 10242–10297. [Google Scholar] [CrossRef] [PubMed]
- Sa, R.L.; Zhang, Z.Q.; Vi, L.S.; Te, M. Comparative study on anatomical structure of vegetative organs of two different Alfalfa varietie. Acta Bot. Boreali Occident. Sin. 2020, 40, 1881–1997. [Google Scholar]
- Wu, G.D.; He, C.G.; Wu, T.J.; Tang, S.R.; Jia, B. Resistance comparison of eleven alfalfa varieties to aphid. Grassl Turf Bimon. 2007, 4, 54–57. [Google Scholar]
- Zhu, C.P.; Zhou, F.C.; Chen, X.H.; Ai-Xiang, G.U.; Xia, X.X.; Wang, F.L.; Ren, J.; Hu, Q.J.; Shao, J.Z. The study of cucumber varieties resistance to Aphis gossypii Glover. J. Yangzhou Univ. 2011, 32, 65–69. [Google Scholar]
- Pan, F.; Du, G.L.; Li, Z.; Wang, Z.Q.; Qiao, M.Y.; Li, J.X.; Qi, J.X.; Tu, X.B.; Zhang, Z.H. Effect of different mutagenesis methods on microstructure and ultrastructure of Alfalfa. Plant Protect 2021, 47, 153–159. [Google Scholar]
- Thackray, D.J.; Wrattent, S.D.; Edwards, P.J.; Niemeyer, H.M. Resistance to the aphids Sitobion avenae and Rhopalosiphum padi in Gramineae in relation to hydroxamic acid levels. Ann. Appl. Biol. 2010, 116, 573–582. [Google Scholar] [CrossRef]
- Hesler, L.S.; Riedell, W.E.; Kieckhefer, R.W.; Haley, S.D.; Collins, R.D. Resistance to Rhopalosiphum padi (Homoptera: Aphididae) in wheat germplasm accessions. J. Econ. Entomol. 1999, 92, 1234–1238. [Google Scholar] [CrossRef]
- Sunnucks, P.; Driver, F.; Brown, W.V.; Carver, M.; Hales, D.F.; Milne, W.M. Biological and genetic characterization of morphologically similar Therioaphis trifolii (Hemiptera: Aphididae) with different host utilization. Bull. Entomol. Res. 1997, 87, 425–436. [Google Scholar] [CrossRef]
- Yu, L.B.; Lin, K.J.; Xu, L.B.; Wang, H.; Cui, J.; Zhang, Q.Y.; Wang, Y.P.; Yan, L.Y. Effect of different alfalfa cultivars on growth and evelopment of the spotted Alfalfa aphid, Therioaphis trifolii (Monell). Entomol. Res. 2022, 52, 118–126. [Google Scholar] [CrossRef]
- Chi, H.; Su, H.Y. Age-stage, two-sex life tables of Aphidius gifuensis (Ashmead) (Hymenoptera: Braconidae) and its host Myzus persicae (Sulzer) (Homoptera: Aphididae) with mathematical proof of the relationship between female fecundity and the net reproductive rate. Environ. Entomol. 2006, 35, 10–21. [Google Scholar] [CrossRef]
- Tuan, S.J.; Lee, C.C.; Chi, H. Population and damage projection of Spodoptera litura (F.) on peanuts (Arachis hypogaea L.) under different conditions using the age-stage, two-sex life table. Pest Manag. Sci. 2014, 70, 805–813. [Google Scholar] [CrossRef] [PubMed]
- Steinbach, D.; Moritz, G.; Nauen, R. Fitness costs and life table parameters of highly insecticide-resistant strains of Plutella xylostella (L.) (Lepidoptera: Plutellidae) at different temperatures. Pest Manag. Sci. 2017, 73, 1789–1797. [Google Scholar] [CrossRef] [PubMed]
- Qi, X.; Fu, J.W.; You, M.S. Age-stage two-sex life table and its application in popoulation ecology and integrated pest management. Acta Entomol. Sin. 2019, 62, 255–262. [Google Scholar]
- Yu, J.Z.; Chi, H.; Chen, B.H. Comparison of the life tables and predation rates of Harmonia dimidiata (F.) (Coleoptera: Coccinellidae) fed on Aphis gossypii Glover (Hemiptera: Aphididae) at different temperatures. Biol. Control 2013, 64, 1–9. [Google Scholar] [CrossRef]
- Naseri, B.; Golparvar, Z.; Razmjou, J.; Golizadeh, A. Age-stage, two-sex life table of Helicoverpa armigera (Lepidoptera: Noctuidae) on different bean cultivars. J. Agric. Sci. Technol. Iran 2014, 16, 19–32. [Google Scholar]
- Rostami, E.; Madadi, H.; Abbasipour, H.; Allahyari, H.; Cuthbertson, A.G.S. Life table parameters of the tomato leaf miner Tuta absoluta (Lepidoptera: Gelechiidae) on different tomato cultivars. J. Appl. Entomol. 2017, 141, 88–96. [Google Scholar] [CrossRef]
- Liu, S.; Yao, X.; Xiang, X.; Yang, Q.; Wang, X.; Xin, T.; Yu, S. Fitness costs associated with chlorantraniliprole resistance in Spodoptera exigua (Lepidoptera: Noctuidae). Pest Manag. Sci. 2021, 77, 1739–1747. [Google Scholar] [CrossRef]
- Wang, S.S.; Xu, Y.X.; Cao, Z.Z.; Shi, S.L.; He, C.G. Effects of alfalfa varieties on the survival rate and fecundity of Therioaphis maculata (Buckton) (Hemiptera: Aphidae). Acta Entomol. Sin. 2008, 51, 774–777. [Google Scholar]
- Liu, C.Z.; Lan, J.N. Variations of oxidase in the seedling of three alfalfa varieties infested by Therioaphis trifolii Monell (Homoptera: Aphididae). Acta Agrestia Sin. 2009, 17, 32–35. [Google Scholar]
- Lloyd, D.L.; Turner, J.W.; Hilder, T.B. Effects of aphids on seedling growth of lucerne lines. 2. Spotted alfalfa aphid (Therioaphis trifolii f. maculata (Monell) in field conditions. Aust. J. Exp. Agric. 1980, 20, 452–456. [Google Scholar] [CrossRef]
- Zhou, X.Y.; Chen, X.B.; Xu, X.L.; Liu, A.L.; Zou, J.; Gao, G.F. On comparison of extraction methods of epicuticular wax and content of rice leaves. J. Hunan Agric. Univ. 2007, 33, 273–276. [Google Scholar]
- Chi, H.; Liu, H. Two new methods for study of insect population ecology. Bull. Inst. Zool. Acad. Sin. 1985, 24, 225–240. [Google Scholar]
- Chi, H. Life-table analysis incorporating both sexes and variable development rates among individuals. Environ. Entomol. 1988, 17, 26–34. [Google Scholar] [CrossRef]
- Chi, H. TWOSEX-MSChart: A Computer Program for the Age-Stage, Two-Sex Life Table Analysis. 2018. Available online: http://140.120.197.173/Ecology/Download/Twosex-MSChart-exe-B200000.rar (accessed on 20 November 2021).
- Johnson, R.W. An introduction to the bootstrap. Teach. Stat. 1998, 23, 49–54. [Google Scholar] [CrossRef]
- Huang, Y.B.; Chi, H. Life tables of Bactrocera cucurbitae (Diptera: Tephritidae): With an invalidation of the jackknife technique. J. Appl. Entomol. 2013, 137, 327–339. [Google Scholar] [CrossRef]
- Luo, J.Y.; Cui, J.J.; Huang, Q. The relationship between the content of cotton leaf chlorophyll and waxiness and leaf thickness and the cotton resistance to Apolygus lucorum. Acta Phytophylacica Sin. 2011, 38, 320–326. [Google Scholar]
- Bergman, D.K.; Dillwith, J.W.; Zarrabi, A.A.; Caddel, J.L.; Berberet, R.C. Epicuticular lipids of alfalfa relative to its susceptibility to Spotted Alfalfa aphids (Homoptera: Aphididae). Environ. Entomol. 1991, 20, 781–785. [Google Scholar] [CrossRef]
- Xiao, J.H.; Zhou, Y.; Ye, J.Q.; Qiu, X.D. The Relationship between the leaf thickness, waxiness content and stoma density and the cassava resistance to Tetranychus cinnabarinus. Chin. J. Trop. Crops 2017, 38, 541–544. [Google Scholar]
- Wang, L.; Wang, Q.; Wang, Q.; Rui, C.; Cui, L. The feeding behavior and life history changes in imidacloprid-resistant Aphis gossypii glover (Homoptera: Aphididae). Pest Manag. Sci. 2020, 76, 1402–1412. [Google Scholar] [CrossRef] [PubMed]
- Iqbal, M.A.; Hassan, M.W.; Rehman, H.M.U.; Aslam, M.; Jamil, M. Evaluation of different wheat varieties for resistance against aphid, Schizaphis graminum R. (Homoptera: Aphididae) under laboratory conditions. Asian J. Agric. Biol. 2018, 6, 549–555. [Google Scholar]
- Shen, J.; Li, X.W.; Wang, J.; Zhang, C.; Li, L.; Zhang, L.J. Dynamic distribution of Aphis gossypii Glover (Homoptera: Aphididae) and incidence of viral disease in different zucchini (Cucurbita pepo L.) cultivars. Biochem. Syst. Ecol. 2018, 77, 31–36. [Google Scholar] [CrossRef]
- Ruggle, P.; Gutierrez, A.P. Use of life tables to assess host plant resistance in alfalfa to Therioaphis trifolii f. muculata (Homoptera: Aphididae): Hypothesis for maintenance of resistance. Environ. Entomol. 1995, 24, 313–325. [Google Scholar] [CrossRef]
- Wang, Y.; Wang, J.; Wu, W.Q.; Zhao, H.Y.; Hu, X.S.; Zhang, G.S. Correlations between physical characters of wheat leaf hairs in SEM and the biological parameters of grain aphid Stiobion avenae. Acta Phytophylacica Sin. 2014, 41, 474–480. [Google Scholar]
- Lou, Y.G.; Cheng, J.A. Herbivore-induced plant volatiles: Primary characteristics, ecological functions and its release mechanism. Acta Ecol. Sin. 2000, 20, 1097–1106. [Google Scholar]
- Golawska, S.; Lukasik, I.; Leszczynski, B. Effect of alfalfa saponins and flavonoids on pea aphid. Entomol. Exp. Appl. 2008, 128, 147–153. [Google Scholar] [CrossRef]
- Mithofer, A.; Boland, W. Plant defense against herbivores: Chemical aspects. Annu. Rev. Plant Biol. 2012, 63, 431–450. [Google Scholar] [CrossRef] [PubMed]
- Zhu-Salzman, K.; Bi, J.L.; Liu, T.X. Molecular strategies of plant defense and insect counter-defense. Insect Sci. 2010, 12, 3–15. [Google Scholar] [CrossRef]
- Coppola, M.; Manco, E.; Vitiello, A.; Di Lelio, I.; Giorgini, M.; Rao, R.; Pennacchio, F.; Digilio, M.C. Plant response to feeding aphids promotes aphid dispersal. Entomol. Exp. Appl. 2018, 166, 386–394. [Google Scholar] [CrossRef]
- Wu, J.; Baldwin, I.T. New insights into plant responses to the attack from insect herbivores. Annu. Rev. Genet. 2010, 44, 1–24. [Google Scholar] [CrossRef]
- Jaouannet, M.; Rodriguez, P.A.; Thorpe, P.; Lenoir, C.J.G.; MacLeod, R.; Escudero-Martinez, C.; Bos, J.I.B. Plant immunity in plant-aphid interactions. Front. Plant Sci. 2014, 5, 663. [Google Scholar] [CrossRef] [PubMed]
- Kumudini, B.S.; Patil, S.V. Antioxidant-Mediated Defense in Triggering Resistance Against Biotic Stress in Plants. In Biocontrol Agents and Secondary Metabolites; Science Direct Woodhead Publishing: Sawstan, UK, 2021; pp. 383–399. [Google Scholar]
- Keshan, R.; Singh, I.K.; Singh, A. Genome wide investigation of MAPKKKs from Cicer arietinum and their involvement in plant defense against Helicoverpa armigera. Physiol. Mol. Plant Pathol. 2021, 115, 101677. [Google Scholar] [CrossRef]
- Srisakrapikoop, U.; Pirie, T.J.; Fellowes, M.D.E. Aphids show interspecific and intraspecific variation in life history responses to host plant infection by the fungal pathogen Botrytis cinerea. Entomol. Sci. 2021, 24, 228–234. [Google Scholar] [CrossRef]
- Haynes, K.F. Sublethal effects of neurotoxic insecticides on insect behavior. Annu. Rev. Entomol. 1988, 33, 149–168. [Google Scholar] [CrossRef]
- Jiang, Y.; Miles, P.W. Responses of a compatible lucerne variety to attack by spotted alfalfa aphid: Changes in the redox balance in affected tissues. Entomol. Exp. Appl. 1993, 67, 263–274. [Google Scholar] [CrossRef]
- Will, T.; Tjallingii, W.F.; Thonnessen, A.; van Bel, A.J. Molecular sabotage of plant defense by aphid saliva. Proc. Natl. Acad. Sci. USA 2007, 104, 10536–10541. [Google Scholar] [CrossRef] [PubMed]
- Gao, L.L.; Klingler, J.P.; Anderson, J.P.; Edwards, O.R.; Singh, K.B. Characterization of pea aphid resistance in Medicago truncatula. Plant Physiol. 2008, 146, 996–1009. [Google Scholar] [CrossRef] [PubMed]
- Giordanengo, P.; Brunissen, L.; Rusterucci, C.; Vincent, C.; van Bel, A.; Dinant, S.; Girousse, C.; Faucher, M.; Bonnemain, J.L. Compatible plant-aphid interactions: How aphids manipulate plant responses. Comptes Rendus Biol. 2010, 333, 516–523. [Google Scholar] [CrossRef] [PubMed]
- Ji, R.; Ye, W.; Chen, H.; Zeng, J.; Li, H.; Yu, H.; Li, J.; Lou, Y. A Salivary Endo-β-1,4-Glucanase acts as an effector that enables the brown planthopper to feed on rice. Plant Physiol. 2017, 173, 1920–1932. [Google Scholar] [CrossRef]
- Jiang, Y. Oxidative interactions between the spotted alfalfa aphid (Therioaphis trifolii maculata) (Homoptera: Aphididae) and the host plant Medicago sativa. Bull. Entomol. Res. 1996, 86, 533–540. [Google Scholar] [CrossRef]
- Ji, R.; Lei, J.; Chen, I.W.; Sang, W.; Yang, S.; Fang, J.; Zhu-Salzman, K. Cytochrome P450s CYP380C6 and CYP380C9 in green peach aphid facilitate its adaptation to indole glucosinolate-mediated plant defense. Pest Manag. Sci. 2021, 77, 148–158. [Google Scholar] [CrossRef]
- Vorburger, C.; Rouchet, R. Are aphid parasitoids locally adapted to the prevalence of defensive symbionts in their hosts? BMC Evol. Biol. 2016, 16, 271. [Google Scholar] [CrossRef]
- Shang, J.; Yao, Y.S.; Zhu, X.Z.; Wang, L.; Li, D.Y.; Zhang, K.X.; Gao, X.K.; Wu, C.C.; Niu, L.; Ji, J.C.; et al. Evaluation of sublethal and transgenerational effects of sulfoxaflor on Aphis gossypii via life table parameters and 16S rRNA sequencing. Pest Manag. Sci. 2021, 77, 3406–3418. [Google Scholar] [CrossRef]





| Cultivars | Epidermal Thickness/μm | Thick Corner Tissue Thickness/μm | Thickness of Cortical Parenchyma Cells/μm | Phloem Thickness/μm | Cambium Thickness/μm | Xylem Thickness/μm | Pith Diameter Length/μm |
|---|---|---|---|---|---|---|---|
| HA-3 | 12.81 ± 0.29 b | 26.22 ± 0.52 b | 23.41 ± 0.55 b | 16.44 ± 0.40 a | 8.81 ± 0.35 a | 76.76 ± 1.87 b | 523.56 ± 1030 b |
| Hu | 10.87 ± 0.25 a | 21.36 ± 0.37 a | 21.32 ± 0.47 a | 14.76 ± 0.44 a | 7.75 ± 0.27 a | 60.75 ± 0.93 a | 438.62 ± 6.92 a |
| Cultivars | Upper Epidermal Thickness/μm | Lower Epiderma Thickness/μm | Palisade Tissue Thickness/μm | Spongy Tissue Thickness/μm | Proportion of Palisade vs. Spongy Tissue |
|---|---|---|---|---|---|
| HA-3 | 9.710 ± 0.40 a | 10.03 ± 0.25 a | 32.40 ± 0.61 b | 27.41 ± 0.89 b | 1.23 ± 0.44 a |
| Hu | 9.707 ± 0.22 a | 9.39 ± 0.24 a | 30.24 ± 0.46 a | 25.07 ± 0.47 a | 1.22 ± 0.32 a |
| Cultivars | Leaf Vein Thick Corne Tissue Thickness/μm | Thickness of Cortical Parenchyma Cells/μm | Phloem Width/μm | Cambium Thickness/μm | Xylem Thickness/μm |
|---|---|---|---|---|---|
| HA-3 | 50.66 ± 1.00 a | 15.76 ± 0.39 b | 12.79 ± 0.92 b | 5.96 ± 1.15 a | 39.88 ± 2.16 b |
| Hu | 49.77 ± 1.17 a | 9.95 ± 0.65 a | 9.49 ± 0.45 a | 5.85 ± 0.28 a | 27.26 ± 1.14 a |
| Generation | Cultivar | 1st Instar (d) | 2nd Instar (d) | 3rd Instar (d) | 4th Instar (d) | APOP (d) | TPOP (d) | Reproductive Days (d) | Mean Longevity (d) | Fecundity (Offspring) |
|---|---|---|---|---|---|---|---|---|---|---|
| G1 | HA-3 | 1.62 ± 0.062 a | 1.77 ± 0.071 a | 1.53 ± 0.069 a | 1.85 ± 0.098 a | 0.46 ± 0.031 a | 7.14 ± 0.163 a | 3.74 ± 0.351 a | 11.144 ± 0.365 a | 13.88 ± 1.463 a |
| Hu | 1.70 ± 0.067 a | 1.82 ± 0.067 a | 2.14 ± 0.087 b | 1.97 ± 0.121 a | 0.40 ± 0.017 a | 7.99 ± 0.173 a | 3.88 ± 0.304 a | 12.010 ± 0.378 a | 17.37 ± 1.729 a | |
| G2 | HA-3 | 1.98 ± 0.077 b | 2.03 ± 0.079 a | 2.07 ± 0.090 a | 2.04 ± 0.109 a | 0.53 ± 0.039 a | 8.43 ± 0.152 a | 7.41 ± 0.904 a | 16.816 ± 0.950 a | 27.12 ± 4.009 a |
| Hu | 1.68 ± 0.041 a | 1.78 ± 0.063 a | 1.98 ± 0.084 a | 2.02 ± 0.097 a | 0.46 ± 0.024 a | 7.51 ± 0.118 a | 12.51 ± 1.094 b | 19.719 ± 0.954 b | 50.67 ± 4.885 b | |
| G3 | HA-3 | 1.48 ± 0.056 a | 1.51 ± 0.058 a | 1.82 ± 0.071 a | 2.07 ± 0.101 a | 0.51 ± 0.034 a | 6.93 ± 0.124 a | 10.82 ± 1.124 a | 16.264 ± 0.874 a | 41.76 ± 4.103 a |
| Hu | 1.69 ± 0.048 a | 1.30 ± 0.055 a | 1.60 ± 0.078 a | 1.87 ± 0.081 a | 0.55 ± 0.042 a | 6.40 ± 0.091 a | 14.19 ± 0.777 b | 20.914 ± 0.788 b | 70.86 ± 3.767 b | |
| G4 | HA-3 | 1.63 ± 0.039 a | 1.71 ± 0.062 a | 1.91 ± 0.075 a | 2.13 ± 0.096 a | 0.46 ± 0.024 a | 7.56 ± 0.096 a | 9.63 ± 0.802 a | 16.384 ± 0.713 a | 40.63 ± 3.401 a |
| Hu | 1.73 ± 0.063 a | 1.79 ± 0.061 a | 1.73 ± 0.072 a | 1.94 ± 0.084 a | 0.47 ± 0.034 a | 6.81 ± 0.087 a | 12.44 ± 0.667 b | 19.191 ± 0.552 b | 59.56 ± 2.740 b | |
| G5 | HA-3 | 1.83 ± 0.069 a | 1.50 ± 0.064 a | 1.83 ± 0.080 a | 2.14 ± 0.092 a | 0.46 ± 0.021 a | 7.38 ± 0.103 a | 11.36 ± 0.562 a | 18.824 ± 0.648 a | 45.70 ± 2.599 a |
| Hu | 1.86 ± 0.062 a | 1.53 ± 0.061 a | 1.92 ± 0.073 a | 1.90 ± 0.079 a | 0.41 ± 0.026 a | 7.35 ± 0.077 a | 13.02 ± 0.681 a | 20.000 ± 0.664 a | 51.90 ± 2.943 b | |
| G6 | HA-3 | 1.74 ± 0.058 a | 1.49 ± 0.058 a | 1.64 ± 0.057 a | 1.86 ± 0.052 a | 0.30 ± 0.014 a | 6.73 ± 0.068 a | 9.22 ± 0.693 a | 15.700 ± 0.579 a | 40.25 ± 2.280 a |
| Hu | 1.61 ± 0.041 a | 1.39 ± 0.052 a | 1.67 ± 0.059 a | 1.99 ± 0.083 a | 0.37 ± 0.024 b | 6.70 ± 0.095 a | 8.08 ± 0.506 a | 14.873 ± 0.452 a | 37.42 ± 1.981 a | |
| G7 | HA-3 | 1.62 ± 0.036 a | 2.02 ± 0.089 b | 1.87 ± 0.056 a | 1.86 ± 0.060 a | 0.35 ± 0.020 a | 7.32 ± 0.101 a | 11.39 ± 0.793 a | 18.707 ± 0.755 a | 47.53 ± 4.057 a |
| Hu | 1.58 ± 0.040 a | 1.52 ± 0.088 a | 1.73 ± 0.105 a | 2.11 ± 0.093 b | 0.43 ± 0.029 b | 6.97 ± 0.135 a | 11.29 ± 0.674 a | 18.167 ± 0.741 a | 47.23 ± 3.513 a | |
| G8 | HA-3 | 1.68 ± 0.046 a | 1.40 ± 0.066 a | 1.75 ± 0.065 a | 1.88 ± 0.077 a | 0.38 ± 0.024 a | 6.93 ± 0.084 a | 8.70 ± 0.933 b | 15.730 ± 0.782 b | 44.83 ± 4.808 b |
| Hu | 1.53 ± 0.052 a | 1.42 ± 0.069 a | 1.56 ± 0.080 a | 1.87 ± 0.103 a | 0.38 ± 0.021 a | 6.84 ± 0.064 a | 5.63 ± 0.450 a | 12.570 ± 0.518 a | 20.43 ± 1.833 a | |
| G9 | HA-3 | 1.83 ± 0.069 a | 1.92 ± 0.076 a | 2.23 ± 0.089 a | 2.00 ± 0.102 a | 0.67 ± 0.066 a | 8.24 ± 0.108 a | 3.31 ± 0.329 b | 11.660 ± 0.247 a | 18.89 ± 0.732 b |
| Hu | 1.86 ± 0.081 a | 2.00 ± 0.103 a | 2.16 ± 0.142 a | 2.07 ± 0.151 a | 0.69 ± 0.051 a | 8.75 ± 0.170 a | 2.56 ± 0.162 a | 11.037 ± 0.452 a | 10.06 ± 1.251 a | |
| G10 | HA-3 | 2.13 ± 0.080 a | 1.90 ± 0.125 a | 1.72 ± 0.152 a | 2.10 ± 0.192 a | 0.72 ± 0.125 a | 9.06 ± 0.242 a | 3.20 ± 0.327 b | 12.792 ± 0.571 a | 14.13 ± 1.693 b |
| Hu | 2.33 ± 0.112 a | 1.81 ± 0.124 a | 1.76 ± 0.166 a | 1.69 ± 0.208 a | 0.69 ± 0.114 a | 9.25 ± 0.231 a | 2.00 ± 0.332 a | 11.278 ± 0.529 a | 5.71 ± 1.165 a |
| Generation | Cultivar | GRR (Offspring/Individual) | λ (d−1) | r (d−1) | R0 (Offspring/Individual) | T (d) |
|---|---|---|---|---|---|---|
| G1 | HA-3 | 29.589 ± 0.009 a | 1.275 ± 0.0001 b | 0.243 ± 0.0001 b | 10.217 ± 0.0051 b | 9.565 ± 0.0012 a |
| Hu | 31.014 ± 0.018 b | 1.201 ± 0.0001 a | 0.183 ± 0.0001 a | 7.017 ± 0.0052 a | 10.642 ± 0.0012 b | |
| G2 | HA-3 | 81.663 ± 0.034 a | 1.275 ± 0.0003 a | 0.243 ± 0.0001 a | 24.450 ± 0.0052 a | 13.147 ± 0.0013 b |
| Hu | 110.965 ± 0.034 b | 1.366 ± 0.0003 b | 0.312 ± 0.0001 b | 46.300 ± 0.0052 b | 12.300 ± 0.0012 a | |
| G3 | HA-3 | 109.606 ± 0.033 b | 1.386 ± 0.0001 a | 0.326 ± 0.0001 a | 35.183 ± 0.0046 a | 10.917 ± 0.0009 a |
| Hu | 105.154 ± 0.031 a | 1.471 ± 0.0002 b | 0.386 ± 0.0001 b | 69.750 ± 0.0045 b | 11.002 ± 0.009 b | |
| G4 | HA-3 | 82.979 ± 0.026 b | 1.363 ± 0.0002 a | 0.310 ± 0.0002 a | 33.117 ± 0.0062 a | 11.299 ± 0.0013 b |
| Hu | 80.685 ± 0.025 a | 1.451 ± 0.0002 b | 0.372 ± 0.0002 b | 52.933 ± 0.0065 b | 10.670 ± 0.0013 a | |
| G5 | HA-3 | 81.438 ± 0.034 b | 1.381 ± 0.0001 a | 0.323 ± 0.0001 a | 40.433 ± 0.0054 a | 11.466 ± 0.0011 a |
| Hu | 80.887 ± 0.033 a | 1.384 ± 0.0001 b | 0.325 ± 0.0001 b | 44.983 ± 0.0055 b | 11.722 ± 0.0012 b | |
| G6 | HA-3 | 80.523 ± 0.029 b | 1.446 ± 0.0003 a | 0.369 ± 0.0002 a | 39.750 ± 0.0052 b | 9.966 ± 0.0011 b |
| Hu | 73.513 ± 0.029 a | 1.447 ± 0.0003 b | 0.370 ± 0.0002 b | 36.783 ± 0.0052 a | 9.782 ± 0.0011 a | |
| G7 | HA-3 | 97.591 ± 0.022 b | 1.364 ± 0.0002 a | 0.312 ± 0.0001 a | 42.917 ± 0.0044 b | 12.100 ± 0.0012 b |
| Hu | 29.899 ± 0.019 a | 1.370 ± 0.0002 b | 0.314 ± 0.0001 b | 35.733 ± 0.0044 a | 11.366 ± 0.0012 a | |
| G8 | HA-3 | 75.591 ± 0.023 b | 1.358 ± 0.0001 b | 0.306 ± 0.0001 b | 28.550 ± 0.0064 b | 10.944 ± 0.0009 b |
| Hu | 49.899 ± 0.021 a | 1.310 ± 0.0001 a | 0.270 ± 0.0001 a | 14.350 ± 0.0063 a | 9.858 ± 0.0009 a | |
| G9 | HA-3 | 30.051 ± 0.008 b | 1.217 ± 0.0001 b | 0.196 ± 0.0002 b | 8.033 ± 0.0044 b | 11.498 ± 0.0012 b |
| Hu | 19.468 ± 0.005 a | 1.179 ± 0.00001 a | 0.161 ± 0.0002 a | 7.050 ± 0.0041 a | 9.944 ± 0.0011 a | |
| G10 | HA-3 | 23.064 ± 0.007 b | 1.126 ± 0.0001 b | 0.129 ± 0.0001 b | 3.900 ± 0.0006 b | 11.462 ± 0.0012 b |
| Hu | 22.546 ± 0.007 a | 1.088 ± 0.0001 a | 0.084 ± 0.0001 a | 2.550 ± 0.0007 a | 11.098 ± 0.0012 a |
Publisher’s Note: MDPI stays neutral with regard to jurisdictional claims in published maps and institutional affiliations. |
© 2022 by the authors. Licensee MDPI, Basel, Switzerland. This article is an open access article distributed under the terms and conditions of the Creative Commons Attribution (CC BY) license (https://creativecommons.org/licenses/by/4.0/).
Share and Cite
Song, X.; Lee, S.; Wang, X.; Bai, M. New Insights into the Life History Changes Can Enhance Control Strategies for Therioaphis trifolii. Agronomy 2022, 12, 3133. https://doi.org/10.3390/agronomy12123133
Song X, Lee S, Wang X, Bai M. New Insights into the Life History Changes Can Enhance Control Strategies for Therioaphis trifolii. Agronomy. 2022; 12(12):3133. https://doi.org/10.3390/agronomy12123133
Chicago/Turabian StyleSong, Xianmei, Seunghyun Lee, Xinpu Wang, and Ming Bai. 2022. "New Insights into the Life History Changes Can Enhance Control Strategies for Therioaphis trifolii" Agronomy 12, no. 12: 3133. https://doi.org/10.3390/agronomy12123133
APA StyleSong, X., Lee, S., Wang, X., & Bai, M. (2022). New Insights into the Life History Changes Can Enhance Control Strategies for Therioaphis trifolii. Agronomy, 12(12), 3133. https://doi.org/10.3390/agronomy12123133

