Rapeseed Leaf Estimation Methods at Field Scale by Using Terrestrial LiDAR Point Cloud
Abstract
1. Introduction
2. Materials
2.1. Site Preparation
2.2. Field Data Collection
3. Methods
3.1. Measurement of LA by LAI Instrument
3.2. Field Rapeseed Point Cloud Extraction Based on Hybrid Filter
3.2.1. Soil Point Cloud Filtering
3.2.2. Outlier Point Cloud Filtering
3.2.3. Rapeseed Point Cloud Down-sampling
3.3. LA-DT, a New LA Estimation Models Based on DT Algorithm
- Step 1: Compute the locally approximated hyperplane H using by Equation (3), where H is the minimum of the nonlinear energy function EMLS (Equation (4)). The value n is the normal vector of the hyperplane, and q is the neighborhood point of the pi point. In Equation (4), θ is a monotonically decreasing positive weight function, which is represented by Equation (5).
- The value ε is the global estimated sampling space distance, which could control the smoothness of the MLS surface. We set in this algorithm, where r is the neighborhood search radius of the point.
- Step 2: Use the local quadratic surface to fit the local point cloud. Let be the orthogonal projection of onto , be the local two-dimensional coordinates of , and be the height of on . The final fitting result minimizes the following errors:
- Step 3: Obtain the point corresponding to the point on the moving least squares surface:
- Step 3: Check the overall Delaunay 3D reconstruction model, based on the local optimization procedure (LOP) algorithm.
4. Results
4.1. Accuracy Evaluation
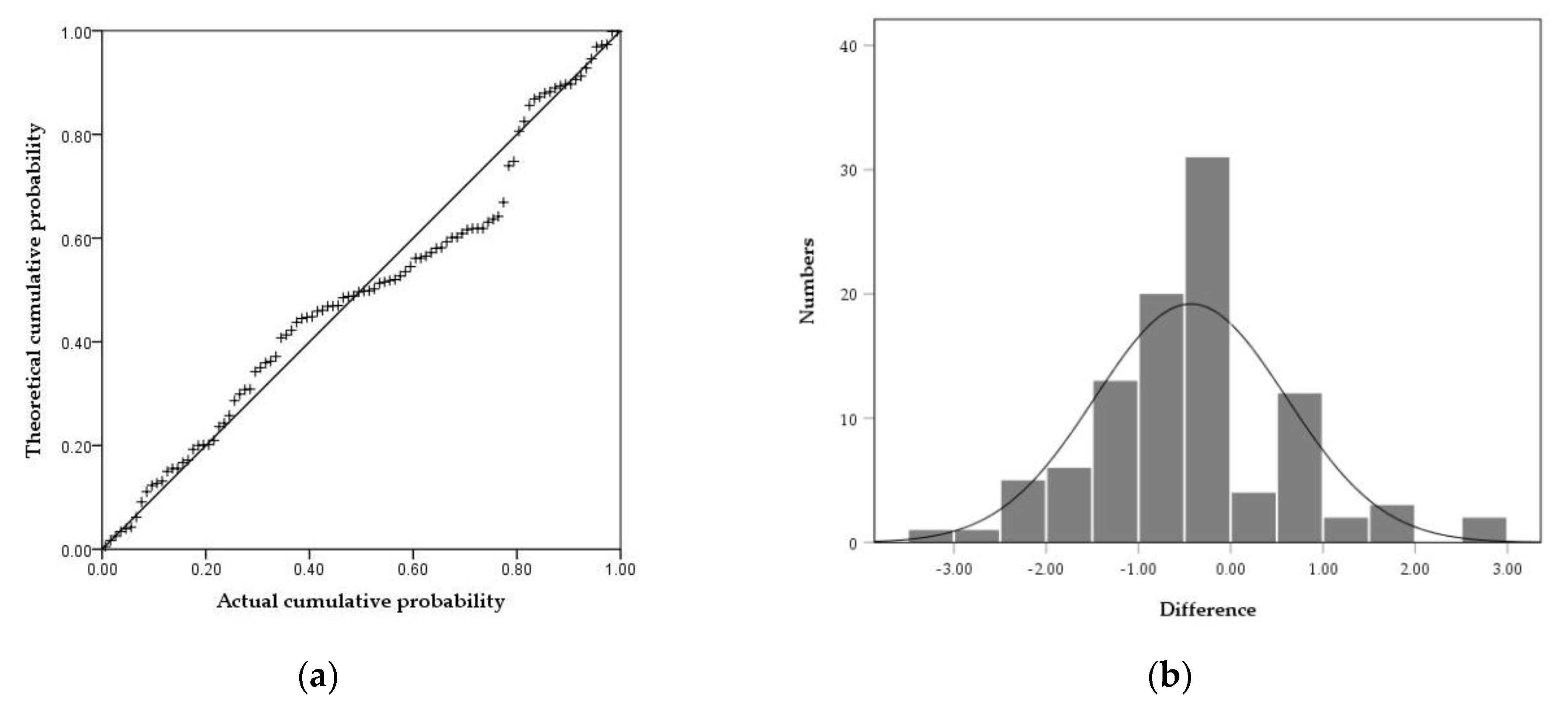
4.1.1. Paired Difference Analysis at Farmland Scale
4.1.2. The Linear Analysis at Individual Plant Scale
4.2. Subsampling Threshold of Rapeseed Point Cloud
5. Discussion
6. Conclusions
Author Contributions
Funding
Institutional Review Board Statement
Informed Consent Statement
Data Availability Statement
Conflicts of Interest
References
- Liu, S.; Raman, H.; Xiang, Y.; Zhao, C.; Huang, J.; Zhang, Y. De Novo Design of Future Rapeseed Crops: Challenges and Opportunities. Crop. J. 2022, 10, 587–596. [Google Scholar] [CrossRef]
- Zheng, M.; Terzaghi, W.; Wang, H.; Hua, W. Integrated Strategies for Increasing Rapeseed Yield. Trends Plant. Sci. 2022, 27, 742–745. [Google Scholar] [CrossRef] [PubMed]
- Yuan, H.; Liu, Y.; Song, M.; Zhu, Y.; Cao, W.; Jiang, X.; Ni, J. Design of the Mechanical Structure of a Field-Based Crop Phenotyping Platform and Tests of the Platform. Agronomy 2022, 12, 2162. [Google Scholar] [CrossRef]
- Kim, W.-S.; Lee, D.-H.; Kim, Y.-J.; Kim, T.; Lee, W.-S.; Choi, C.-H. Stereo-Vision-Based Crop Height Estimation for Agricultural Robots. Comput. Electron. Agric. 2021, 181, 105937. [Google Scholar] [CrossRef]
- Jin, S.; Sun, X.; Wu, F.; Su, Y.; Li, Y.; Song, S.; Xu, K.; Ma, Q.; Baret, F.; Jiang, D.; et al. Lidar Sheds New Light on Plant Phenomics for Plant Breeding and Management: Recent Advances and Future Prospects. ISPRS J. Photogramm. Remote Sens. 2021, 171, 202–223. [Google Scholar] [CrossRef]
- Oberti, R.; Marchi, M.; Tirelli, P.; Calcante, A.; Iriti, M.; Tona, E.; Hočevar, M.; Baur, J.; Pfaff, J.; Schütz, C.; et al. Selective Spraying of Grapevines for Disease Control Using a Modular Agricultural Robot. Biosyst. Eng. 2016, 146, 203–215. [Google Scholar] [CrossRef]
- Su, D.; Kong, H.; Qiao, Y.; Sukkarieh, S. Data Augmentation for Deep Learning Based Semantic Segmentation and Crop-Weed Classification in Agricultural Robotics. Comput. Electron. Agric. 2021, 190, 106418. [Google Scholar] [CrossRef]
- Weiss, U.; Biber, P. Plant Detection and Mapping for Agricultural Robots Using a 3D LIDAR Sensor. Rob. Auton. Syst. 2011, 59, 265–273. [Google Scholar] [CrossRef]
- Wei, X.; Jia, K.; Lan, J.; Li, Y.; Zeng, Y.; Wang, C. Automatic Method of Fruit Object Extraction under Complex Agricultural Background for Vision System of Fruit Picking Robot. Optik 2014, 125, 5684–5689. [Google Scholar] [CrossRef]
- Indirabai, I.; Nair, M.V.H.; Jaishanker, R.N.; Nidamanuri, R.R. Terrestrial Laser Scanner Based 3D Reconstruction of Trees and Retrieval of Leaf Area Index in a Forest Environment. Ecol. Inform. 2019, 53, 100986. [Google Scholar] [CrossRef]
- Indirabai, I.; Nair, M.V.H.; Nair, J.R.; Nidamanuri, R.R. Direct Estimation of Leaf Area Index of Tropical Forests Using LiDAR Point Cloud. Remote Sens. Appl. Soc. Environ. 2020, 18, 100295. [Google Scholar] [CrossRef]
- Sultan Mahmud, M.; Zahid, A.; He, L.; Choi, D.; Krawczyk, G.; Zhu, H.; Heinemann, P. Development of a LiDAR-Guided Section-Based Tree Canopy Density Measurement System for Precision Spray Applications. Comput. Electron. Agric. 2021, 182, 106053. [Google Scholar] [CrossRef]
- Hashimoto, N.; Saito, Y.; Yamamoto, S.; Ishibashi, T.; Ito, R.; Maki, M.; Homma, K. Feasibility of Yield Estimation Based on Leaf Area Dynamics Measurements in Rice Paddy Fields of Farmers. F. Crop. Res. 2022, 286, 108609. [Google Scholar] [CrossRef]
- Li, H.; Liu, Z.; Chen, Y.; Zhang, X.; Chen, D.; Chen, Y. A Positive Correlation between Seed Cotton Yield and High-Efficiency Leaf Area Index in Directly Seeded Short-Season Cotton after Wheat. F. Crop. Res. 2022, 285, 108594. [Google Scholar] [CrossRef]
- Horák, M.; Balík, J.; Bieniasz, M. Effect of Leaf Area Size on the Main Composition in Grape Must of Three Varieties of Vitis Vinifera, L. in an Organic Vineyard. Sustainability 2021, 13, 13298. [Google Scholar] [CrossRef]
- Hu, T.; Wei, D.; Su, Y.; Wang, X.; Zhang, J.; Sun, X.; Liu, Y.; Guo, Q. Quantifying the Shape of Urban Street Trees and Evaluating Its Influence on Their Aesthetic Functions Based Mobile Lidar Data. ISPRS J. Photogramm. Remote Sens. 2022, 184, 203–214. [Google Scholar] [CrossRef]
- Shen, Z.; Liang, H.; Lin, L.; Wang, Z.; Huang, W.; Yu, J. Fast Ground Segmentation for 3D LiDAR Point Cloud Based on Jump-Convolution-Process. Remote Sens. 2021, 13, 3239. [Google Scholar] [CrossRef]
- Geng, X.; Ji, S.; Lu, M.; Zhao, L. Multi-Scale Attentive Aggregation for LiDAR Point Cloud Segmentation. Remote Sens. 2021, 13, 691. [Google Scholar] [CrossRef]
- Zhang, C.; Zhang, K.; Ge, L.; Zou, K.; Wang, S.; Zhang, J.; Li, W. A Method for Organs Classification and Fruit Counting on Pomegranate Trees Based on Multi-Features Fusion and Support Vector Machine by 3D Point Cloud. Sci. Hortic. 2021, 278, 109791. [Google Scholar] [CrossRef]
- Yun, T.; Jiang, K.; Li, G.; Eichhorn, M.P.; Fan, J.; Liu, F.; Chen, B.; An, F.; Cao, L. Individual Tree Crown Segmentation from Airborne LiDAR Data Using a Novel Gaussian Filter and Energy Function Minimization-Based Approach. Remote Sens. Environ. 2021, 256, 112307. [Google Scholar] [CrossRef]
- Carr, J.C.; Slyder, J.B. Individual Tree Segmentation from a Leaf-off Photogrammetric Point Cloud. Int. J. Remote Sens. 2018, 39, 5195–5210. [Google Scholar] [CrossRef]
- Dersch, S.; Heurich, M.; Krueger, N.; Krzystek, P. Combining Graph-Cut Clustering with Object-Based Stem Detection for Tree Segmentation in Highly Dense Airborne Lidar Point Clouds. ISPRS J. Photogramm. Remote Sens. 2021, 172, 207–222. [Google Scholar] [CrossRef]
- Zhang, Q. Hybrid Filtering. In Stochastic Theory and Control; Springer: Berlin/Heidelberg, Germany, 2002; pp. 549–564. [Google Scholar]
- Kushwaha, S.; Kumar Singh, R. A New Hybrid Filtering Technique for Minimization of Over-Filtering Issues in Ultrasound Images. Biomed. Res. 2018, 29, 2908–2918. [Google Scholar] [CrossRef]
- Cantú, V.H.; Azzaro-Pantel, C.; Ponsich, A. Multi-Objective Evolutionary Algorithm Based on Decomposition (MOEA/D) for Optimal Design of Hydrogen Supply Chains. Comput. Aided Chem. Eng. 2020, 48, 883–888. [Google Scholar]
- Li, L.; Yang, M.; Wang, C.; Wang, B. Hybrid Filtering Framework Based Robust Localization for Industrial Vehicles. IEEE Trans. Ind. Inform. 2018, 14, 941–950. [Google Scholar] [CrossRef]
- Liu, S.; Chan, K.C.; Wang, C.C.L. Iterative Consolidation of Unorganized Point Clouds. IEEE Comput. Graph. Appl. 2012, 32, 70–83. [Google Scholar] [CrossRef] [PubMed]
- Zaman, F.; Wong, Y.P.; Ng, B.Y. Density-Based Denoising of Point Cloud. Lect. Notes Electr. Eng. 2017, 398, 287–295. [Google Scholar]
- Han, X.-F.; Jin, J.S.; Wang, M.-J.; Jiang, W.; Gao, L.; Xiao, L. A Review of Algorithms for Filtering the 3D Point Cloud. Signal Process. Image Commun. 2017, 57, 103–112. [Google Scholar] [CrossRef]
- Kuhn, A.; Mayer, H. Incremental Division of Very Large Point Clouds for Scalable 3D Surface Reconstruction. In Proceedings of the 2015 IEEE International Conference on Computer Vision Workshop (ICCVW), Santiago, Chile, 7–13 December 2015; pp. 157–165. [Google Scholar]
- Guo, B.; Wang, J.; Jiang, X.; Li, C.; Su, B.; Cui, Z.; Sun, Y.; Yang, C. A 3D Surface Reconstruction Method for Large-Scale Point Cloud Data. Math. Probl. Eng. 2020, 2020, 8670151. [Google Scholar] [CrossRef]
- Chen, M.-B.; Chuang, T.-R.; Wu, J.-J. Efficient Parallel Implementations of near Delaunay Triangulation with High Performance Fortran. Concurr. Comput. Pract. Exp. 2004, 16, 1143–1159. [Google Scholar] [CrossRef]
- Lo, S.H. 3D Delaunay Triangulation of 1 Billion Points on a PC. Finite Elem. Anal. Des. 2015, 102–103, 65–73. [Google Scholar] [CrossRef]
- Wu, H.; Guan, X.; Gong, J. ParaStream: A Parallel Streaming Delaunay Triangulation Algorithm for LiDAR Points on Multicore Architectures. Comput. Geosci. 2011, 37, 1355–1363. [Google Scholar] [CrossRef]
- Kohout, J.; Kolingerová, I.; Žára, J. Parallel Delaunay Triangulation in E2 and E3 for Computers with Shared Memory. Parallel Comput. 2005, 31, 491–522. [Google Scholar] [CrossRef]
- Nave, D.; Chrisochoides, N.; Chew, L.P. Guaranteed-Quality Parallel Delaunay Refinement for Restricted Polyhedral Domains. Comput. Geom. 2004, 28, 191–215. [Google Scholar] [CrossRef]
- Huo, Y.; Wang, T.; Li, H.; Zhang, Y.; Li, X.; Liu, B.; Wang, G. Delaunay Mesh Construction and Simplification with Feature Preserving Based on Minimal Volume Destruction. Appl. Sci. 2022, 12, 1831. [Google Scholar] [CrossRef]
- Li, Q.; Nevalainen, P.; Peña Queralta, J.; Heikkonen, J.; Westerlund, T. Localization in Unstructured Environments: Towards Autonomous Robots in Forests with Delaunay Triangulation. Remote Sens. 2020, 12, 1870. [Google Scholar] [CrossRef]
- Jiang, S.; Jiang, W.; Li, L.; Wang, L.; Huang, W. Reliable and Efficient UAV Image Matching via Geometric Constraints Structured by Delaunay Triangulation. Remote Sens. 2020, 12, 3390. [Google Scholar] [CrossRef]
- Ryu, Y.; Nilson, T.; Kobayashi, H.; Sonnentag, O.; Law, B.E.; Baldocchi, D.D. On the Correct Estimation of Effective Leaf Area Index: Does It Reveal Information on Clumping Effects? Agric. For. Meteorol. 2010, 150, 463–472. [Google Scholar] [CrossRef]
- Nilson, T.; Kuusk, A. Improved Algorithm for Estimating Canopy Indices from Gap Fraction Data in Forest Canopies. Agric. For. Meteorol. 2004, 124, 157–169. [Google Scholar] [CrossRef]
- Rusu, R.B.; Cousins, S. 3D Is Here: Point Cloud Library (PCL). In Proceedings of the 2011 IEEE International Conference on Robotics and Automation, Shanghai, China, 9–13 May 2011; pp. 1–4. [Google Scholar]
- Wu, G.; Li, B.; Zhu, Q.; Huang, M.; Guo, Y. Using Color and 3D Geometry Features to Segment Fruit Point Cloud and Improve Fruit Recognition Accuracy. Comput. Electron. Agric. 2020, 174, 105475. [Google Scholar] [CrossRef]
- Dorj, U.O.; Lee, M.; Yun, S.-S. An Yield Estimation in Citrus Orchards via Fruit Detection and Counting Using Image Processing. Comput. Electron. Agric. 2017, 140, 103–112. [Google Scholar] [CrossRef]
- Leach, R. Surface Topography Characterisation. In Fundamental Principles of Engineering Nanometrology; Elsevier: Amsterdam, The Netherlands, 2014; pp. 241–294. ISBN 9781455777532. [Google Scholar]
- Patiño, H.; Zapico, P.; Rico, J.C.; Fernández, P.; Valiño, G. A Gaussian Filtering Method to Reduce Directionality on High-Density Point Clouds Digitized by a Conoscopic Holography Sensor. Precis. Eng. 2018, 54, 91–98. [Google Scholar] [CrossRef]
- Schall, O.; Belyaev, A.; Seidel, H.-P. Robust Filtering of Noisy Scattered Point Data. In Proceedings of the Eurographics/IEEE VGTC Symposium Point-Based Graphics, Stony Brook, NY, USA, 21–22 June 2005; pp. 71–144. [Google Scholar]
- Jenke, P.; Wand, M.; Bokeloh, M.; Schilling, A.; Straßer, W. Bayesian Point Cloud Reconstruction. Comput. Graph. Forum 2006, 25, 379–388. [Google Scholar] [CrossRef]
- Särkkä, S. Bayesian Filtering and Smoothing; Cambridge University Press: Cambridge, UK, 2013; ISBN 9781107030657. [Google Scholar]
- Wang, W.; Su, T.; Liu, H.; Li, X.; Jia, Z.; Zhou, L.; Song, Z.; Ding, M. Surface Reconstruction from Unoriented Point Clouds by a New Triangle Selection Strategy. Comput. Graph. 2019, 84, 144–159. [Google Scholar] [CrossRef]
- Lancaster, P.; Salkauskas, K. Surfaces Generated by Moving Least Squares Methods. Math. Comput. 1981, 37, 141. [Google Scholar] [CrossRef]
- Alexa, M.; Behr, J.; Cohen-Or, D.; Fleishman, S.; Levin, D.; Silva, C.T. Point Set Surfaces. In Proceedings of the Proceedings of the IEEE Visualization Conference; San Diego, CA, USA, 21–26 October 2001, pp. 21–28.
- Thayyil, S.B.; Yadav, S.K.; Polthier, K.; Muthuganapathy, R. Local Delaunay-Based High Fidelity Surface Reconstruction from 3D Point Sets. Comput. Aided Geom. Des. 2021, 86, 101973. [Google Scholar] [CrossRef]
- Zhu, R.; Sun, K.; Yan, Z.; Yan, X.; Yu, J.; Shi, J.; Hu, Z.; Jiang, H.; Xin, D.; Zhang, Z.; et al. Analysing the Phenotype Development of Soybean Plants Using Low-Cost 3D Reconstruction. Sci. Rep. 2020, 10, 7055. [Google Scholar] [CrossRef]
- Zhu, F.; Thapa, S.; Gao, T.; Ge, Y.; Walia, H.; Yu, H. 3D Reconstruction of Plant Leaves for High-Throughput Phenotyping. In Proceedings of the Proceedings—2018 IEEE International Conference on Big Data, Big Data 2018, Seattle, WA, USA, 10–13 December 2019; pp. 4285–4293. [Google Scholar]













| Rapeseed-01 | Rapeseed-02 | Rapeseed-03 | |
|---|---|---|---|
| Field area (m2) | 18 | 18 | 18 |
| Number of rapeseed plants | 189 | 194 | 190 |
| Planting density (plant/m2) | 10.50 | 10.78 | 10.56 |
| Scan date | 3 November 2021 | 13 November 2021 | 1 December 2021 |
| LiDAR scans numbers | 7 | 7 | 8 |
| Number of Points | 13188836 | 16910431 | 14299328 |
| Data size | 576 MB | 749 MB | 622 MB |
| Correlation | Paired Difference | |||||
|---|---|---|---|---|---|---|
| Mean | Std. Deviation | Std. Error Mean | ||||
| Pair: LAI-2200C & LA-DT | 3 | 0.99 | <0.01 | 0.14 | 0.06 | 0.04 |
| Correlation | Paired Difference | t | df | p (2-Tailed) | |||||
|---|---|---|---|---|---|---|---|---|---|
| Mean | Std. Deviation | Std. Error Mean | |||||||
| Pair: LAI-2200C & LA-DT | 100 | 0.97 | <0.01 | 0.43 | 1.04 | 0.10 | −4.17 | 99 | <0.01 |
| Rapeseed-01 | Rapeseed-02 | Rapeseed-03 | ||||||||||
|---|---|---|---|---|---|---|---|---|---|---|---|---|
| Voxel Side Length (mm) | Points | Time (s) | Area (m2) | Area ratio | Points | Time (s) | Area (m2) | Area ratio | Points | Time(s) | Area (m2) | Area Ratio |
| 0 | 3,097,531 | 472 | 6.48 | 100.00% | 1,911,845 | 291 | 5.75 | 100.00% | 6,372,744 | 972 | 17.98 | 100.00% |
| 2 | 1,465,520 | 167 | 6.43 | 99.23% | 1,064,273 | 122 | 5.58 | 97.04% | 3,441,350 | 393 | 17.53 | 97.50% |
| 3 | 828,484 | 95 | 5.69 | 87.81% | 619,393 | 71 | 4.93 | 85.74% | 2,000,021 | 228 | 16.20 | 90.10% |
| 5 | 336,320 | 38 | 4.15 | 64.04% | 259,456 | 30 | 3.79 | 65.91% | 842,424 | 96 | 12.33 | 68.58% |
| 7 | 179,157 | 20 | 0.99 | 15.28% | 141,698 | 16 | 2.18 | 37.91% | 458,141 | 53 | 6.64 | 36.93% |
| Voxel Side Length (mm) | N | Correlation | p | Paired Difference | ||
|---|---|---|---|---|---|---|
| Mean | Std. Deviation | Std. Error Mean | ||||
| Pair: 0 & 2 | 3 | 0.99 | <0.01 | 0.22 | 0.21 | 0.12 |
| Pair: 0 & 3 | 3 | 0.99 | <0.01 | 1.13 | 0.56 | 0.33 |
| Pair: 0 & 5 | 3 | 0.99 | <0.05 | 3.31 | 2.03 | 1.17 |
| Pair: 0 & 7 | 3 | 0.97 | <0.05 | 6.80 | 4.04 | 2.34 |
Publisher’s Note: MDPI stays neutral with regard to jurisdictional claims in published maps and institutional affiliations. |
© 2022 by the authors. Licensee MDPI, Basel, Switzerland. This article is an open access article distributed under the terms and conditions of the Creative Commons Attribution (CC BY) license (https://creativecommons.org/licenses/by/4.0/).
Share and Cite
Hu, F.; Lin, C.; Peng, J.; Wang, J.; Zhai, R. Rapeseed Leaf Estimation Methods at Field Scale by Using Terrestrial LiDAR Point Cloud. Agronomy 2022, 12, 2409. https://doi.org/10.3390/agronomy12102409
Hu F, Lin C, Peng J, Wang J, Zhai R. Rapeseed Leaf Estimation Methods at Field Scale by Using Terrestrial LiDAR Point Cloud. Agronomy. 2022; 12(10):2409. https://doi.org/10.3390/agronomy12102409
Chicago/Turabian StyleHu, Fangzheng, Chengda Lin, Junwen Peng, Jing Wang, and Ruifang Zhai. 2022. "Rapeseed Leaf Estimation Methods at Field Scale by Using Terrestrial LiDAR Point Cloud" Agronomy 12, no. 10: 2409. https://doi.org/10.3390/agronomy12102409
APA StyleHu, F., Lin, C., Peng, J., Wang, J., & Zhai, R. (2022). Rapeseed Leaf Estimation Methods at Field Scale by Using Terrestrial LiDAR Point Cloud. Agronomy, 12(10), 2409. https://doi.org/10.3390/agronomy12102409
