Comparative Response of Fermented and Non-Fermented Animal Manure Combined with Split Dose of Phosphate Fertilizer Enhances Agronomic Performance and Wheat Productivity through Enhanced P Use Efficiency
Abstract
1. Introduction
2. Materials and Methods
2.1. Incubation Experiment and Preparation of Fermented Animal Manure
2.2. Preparation and Analysis of the Experimental Soil
2.3. Pot Experiment and Cultivation of Wheat Crop
2.4. Harvesting and Determination of Agronomic Parameters
2.5. Determination of Physiological Parameters
2.6. Profiling Biochemical Parameters of Wheat Grains
2.7. Determination of the Chemical Parameters
2.8. Statistical Analyses
3. Results
3.1. Characteristics of Fermented Manure
3.2. Crop Performance under Applied Fermented Manure
3.3. Influence of Fermented Animal Manure and DAP Fertilizer on Yield Parameters
3.4. Physiological Attributes
3.5. Influence of Fermented Animal Manure and DAP Fertilizer on Biochemical Parameters
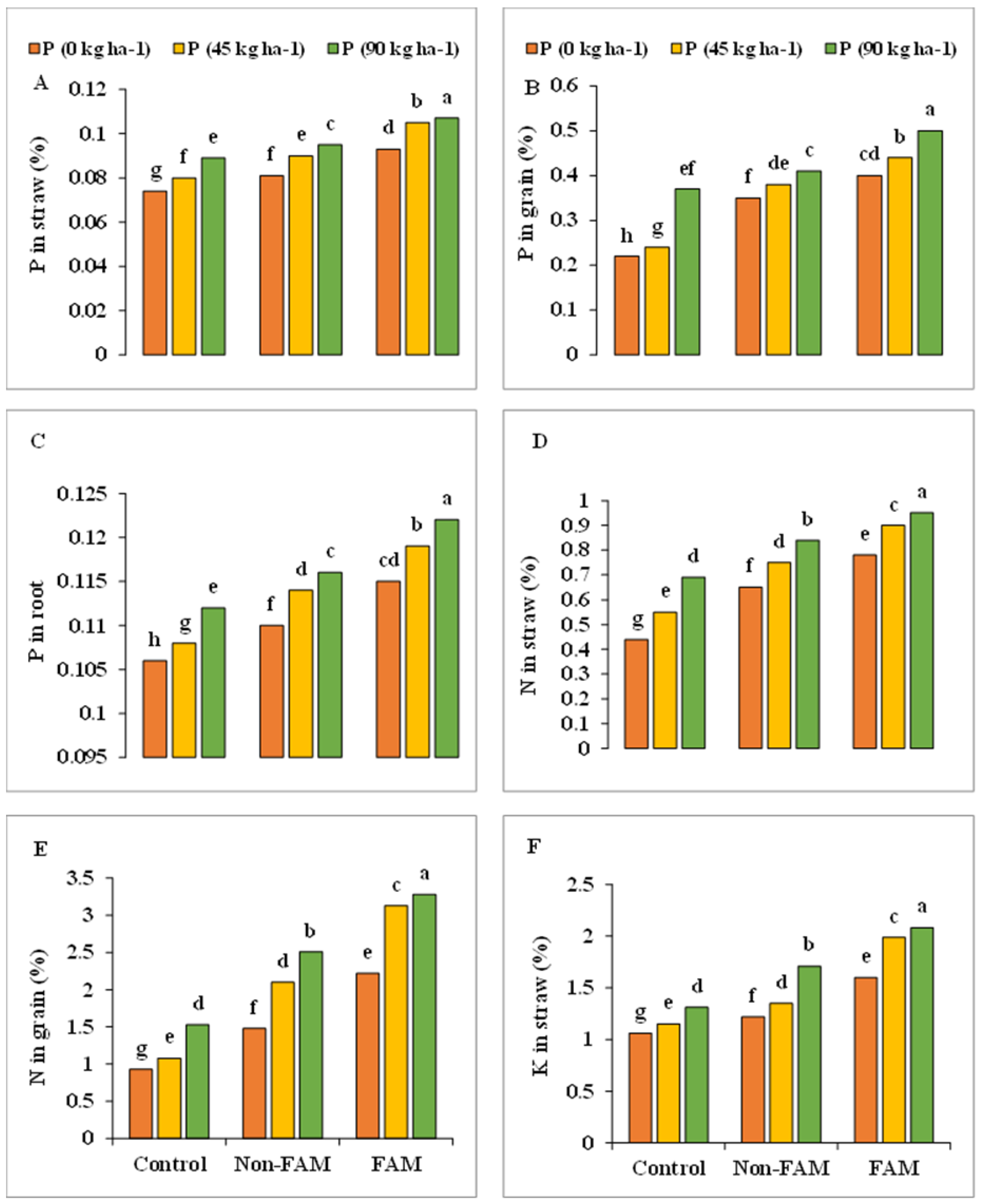
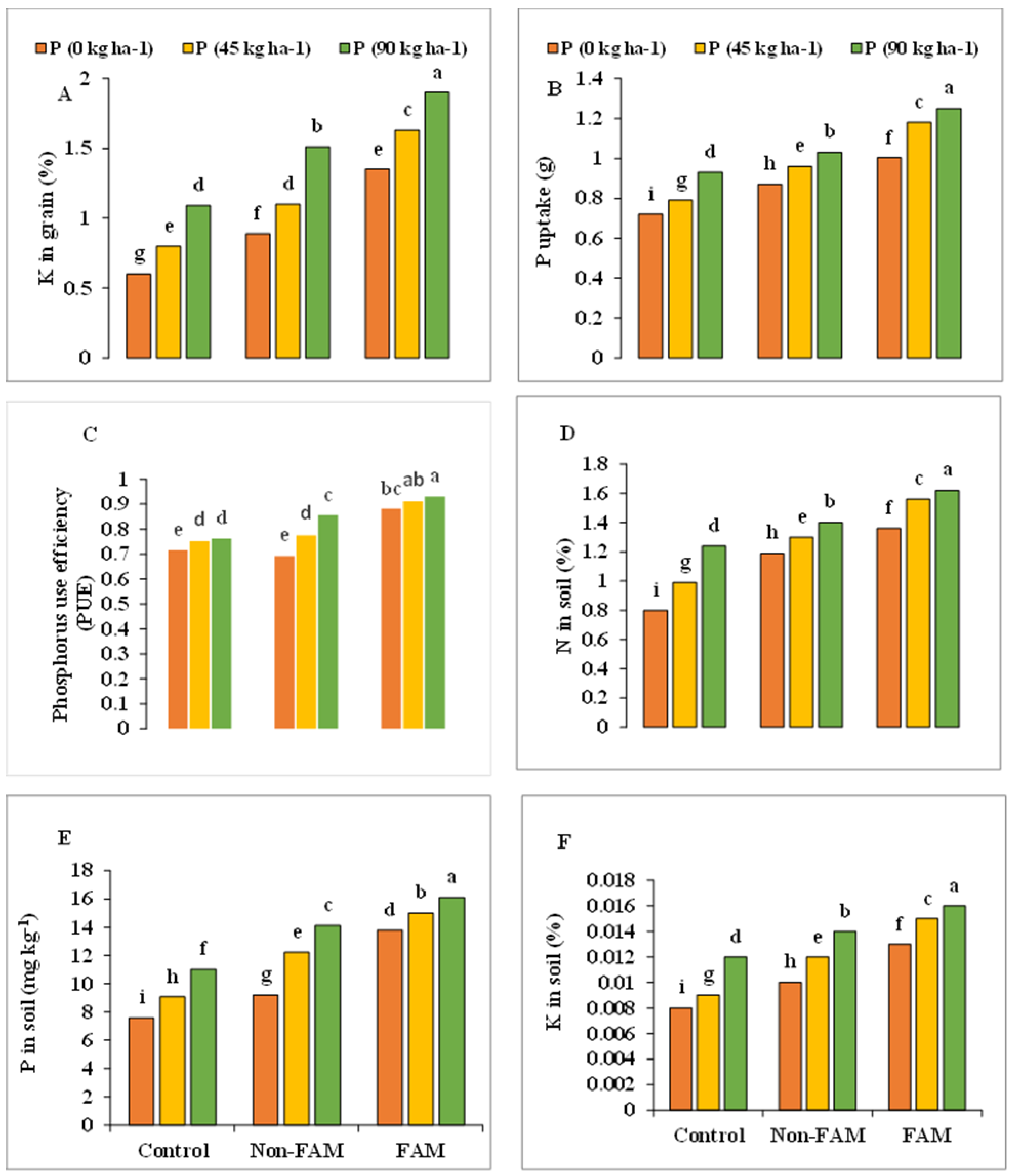
3.6. Influence of Fermented Animal Manure and DAP Fertilizer on Chemical Parameters
3.7. Regression and Heat Map Analyses
4. Discussion
5. Conclusions
Author Contributions
Funding
Institutional Review Board Statement
Informed Consent Statement
Data Availability Statement
Acknowledgments
Conflicts of Interest
References
- FAO. The Future of Food and Agriculture: Trends and Challenges; FAO: Rome, Italy, 2015. [Google Scholar]
- Doso, S. Land degradation and agriculture in the Sahel of Africa: Causes, impacts and recommendations. J. Agric. Sci. Appl. 2014, 3, 67–73. [Google Scholar]
- Ibrahim, A.; Fatondji, D. Optimizing manure management for enhancing millet yields and resources use efficiency under rehabilitated plinthosols in the Sahel. J. Arid Environ. 2020, 181, 104–225. [Google Scholar] [CrossRef]
- Tripathi, A.; Mishra, A.K. The Wheat Sector in India: Production, Policies and Food Security. In Eurasian Wheat Belt and Food Security; Springer: Cham, Switzerland, 2017; pp. 275–296. [Google Scholar]
- Government of Pakistan. Economic Survey of Pakistan; Economic Adviser’s Wing, Finance Division: Islamabad, Pakistan, 2018.
- Tang, X.; Ma, Y.; Hao, X.; Li, X.; Li, J.; Huang, S.; Yang, X. Determining critical values of soil Olsen-P for maize and winter wheat from long-term experiments in China. Plant Soil 2009, 323, 143–151. [Google Scholar] [CrossRef]
- Tariq, M. Uptake of Phosphorus by Wheat Seedling as Influenced by Acidified Rock Phosphate in Calcareous Soil; B.Sc. (Hons) Internship Report Department Soil & Environmental Sciences; The University of Agriculture Peshawar: Peshawar, Pakistan, 2009. [Google Scholar]
- Bashir, S.; Anwar, S.; Ahmad, B.; Sarfraz, Q.; Khattak, W.; Islam, M. Response of wheat crop to phosphorus levels and application methods. J. Environ. Earth Sci. 2015, 5, 9. [Google Scholar]
- Holford, I.C.R. Soil phosphorus: Its measurement and its uptake by plants. Aust. J. Soil Res. 1997, 35, 227–239. [Google Scholar] [CrossRef]
- Sattari, S.Z.; Bouwman, A.F.; Giller, K.E.; van Ittersum, M.K. Residual soil phosphorus as the missing piece in the global phosphorus crisis puzzle. Proc. Natl. Acad. Sci. USA 2012, 109, 6348–6353. [Google Scholar] [CrossRef]
- Aziz, M.Z.; Yaseen, M.; Naveed, M.; Wang, X.; Fatima, K.; Saeed, Q.; Mustafa, A. Polymer-Paraburkholderia phytofirmans PsJN coated diammonium phosphate enhanced microbial survival, phosphorous use efficiency and production of wheat. Agronomy 2020, 10, 1344. [Google Scholar] [CrossRef]
- Arfan-ul-HaqR, M.; Yaseen, M.; Naveed, M.; Mustafa, A.; Siddique, S.; Alamri, S.; Siddiqui, M.H.; Al-Amri, A.A.; Alsubaie, Q.D.; Ali, H.M. Deciphering the potential of bioactivated rock phosphate and di-ammonium phosphate on agronomic performance, nutritional quality and productivity of wheat (Triticum aestivum L.). Agronomy 2021, 11, 684. [Google Scholar] [CrossRef]
- Li, H.; Shen, J.; Zhang, F.; Clairotte, M.; Drevon, J.J.; le Cadre, E.; Hinsinger, P. Dynamics of phosphorus fractions in the rhizosphere of common bean (Phaseolus vulgaris L.) and durum wheat (Triticum turgidum durum L.) grown in monocropping and intercropping systems. Plant Soil 2008, 312, 139–150. [Google Scholar] [CrossRef]
- Zhang, M.; Li, C.L.; Li, Y.C.; Harris, W.G. Phosphate minerals and solubility in native and agricultural calcareous soils. Geoderma 2014, 232, 164–171. [Google Scholar] [CrossRef]
- Gérard, F. Clay minerals, iron/aluminum oxides, and their contribution to phosphate sorption in soils—A myth revisited. Geoderma 2016, 262, 213–226. [Google Scholar] [CrossRef]
- Kang, J.; Amoozegar, A.; Hesterberg, D.; Osmond, D.L. Phosphorus leaching in a sandy soil as affected by organic and incomposted cattle manure. Geoderma 2011, 161, 194–201. [Google Scholar] [CrossRef]
- DEFRA. Farming Statistics Provisional Crop Areas, Yields and Livestock Populations; United Kingdom. F.R.A. Department for Environment: London, UK, 2016. [Google Scholar]
- Carolina, F.P. Methods for the Treatment of Cattle Manure: A Review; Department of Chemical Engineering, Faculty of Science and Engineering: Thornton Science Park, UK, 2019; Volume 5, p. 27. [Google Scholar]
- Zhu, J.; Li, M.; Whelan, M. Phosphorus activators contribute to legacy phosphorus availability in agricultural soils: A review. Sci. Total Environ. 2008, 612, 522–537. [Google Scholar] [CrossRef] [PubMed]
- Iyamuremye, F.; Dick, R.P.; Baham, J. Organic amendments and phosphorus dynamics: II. Distribution of soil phosphorus fractions. Soil Sci. 1996, 161, 436–443. [Google Scholar] [CrossRef]
- Von Wandruszka, R. Phosphorus retention in calcareous soils and the effect of organic matter on its mobility. Geochem. Trans. 2006, 7, 6. [Google Scholar] [CrossRef]
- Wang, L.J.; Nancollas, G.H. Calcium orthophosphates: Crystallization and dissolution. J. Chem. Rev. 2008, 108, 4628–4669. [Google Scholar] [CrossRef]
- Antelo, J.; Arce, F.; Avena, M.; Fiol, S.; Lopez, R.; Macias, F. Adsorption of a soil humic acid at the surface of goethite and its competitive interaction with phosphate. Geoderma 2007, 138, 12–19. [Google Scholar] [CrossRef]
- Mustafa, A.; Hu, X.; Abrar, M.M.; Shah, S.A.A.; Nan, S.; Saeed, Q.; Kamran, M.; Naveed, M.; Conde-Cid, M.; Hongjun, G.; et al. Long-term fertilization enhanced carbon mineralization and maize biomass through physical protection of organic carbon in fractions under continuous maize cropping. Appl. Soil Ecol. 2021, 165, 103971. [Google Scholar] [CrossRef]
- Holatko, J.; Hammerschmiedt, T.; Mustafa, A.; Kintl, A.; Radziemska, M.; Baltazar, T.; Jaskulska, I.; Malicek, O.; Latal, O.; Brtnicky, M. Carbon-enriched organic amendments differently affect the soil chemical, biological properties and plant biomass in a cultivation time-dependent manner. Chem. Biol. Technol. Agric. 2022, 9, 1–13. [Google Scholar] [CrossRef]
- Pagliari, P.H. Variety and solubility of phosphorus forms in animal manure and their effects on soil test phosphorus. In Applied Manure and Nutrient Chemistry for Sustainable Agriculture and Environment; Springer: Dordrecht, The Netherlands, 2014; pp. 141–161. [Google Scholar]
- Rubæk, G.H.; Sibbesen, F. Soil phosphorus dynamics in long-term field experiment at Askov. Biol. Fertil. Soils. 1995, 20, 86–92. [Google Scholar] [CrossRef]
- Ouattara, B.; Hien, V.; Lompo, F. Development of water management technologies for rainfed crops in Burkina Faso. Efficient soil water use: The key to sustainable crop production in the dry areas of West Asia, and North and Sub-Saharan Africa. In Proceedings of the Workshops Organized by the Optimizing Soil Water Use Consortium, Niamey, Niger, 9–13 May 1999; pp. 265–281. [Google Scholar]
- Fatondji, D.; Martius, C.; Bielders, C.; Vlek, P.L.G.; Bationo, A.; Gerard, B. Effect of planting technique and amendment type on pearl milet yield, nutrient uptake and water use on degraded land in Nigeria. Nutr. Cycl. Agroecosyst. 2006, 76, 203–217. [Google Scholar] [CrossRef]
- Smith, J.L.; Doran, J.W. Measurement and use of pH and electrical conductivity for soil quality analysis. Methods Assess. Soil Qual. 1996, 49, 169–185. [Google Scholar]
- Olsen, S.R.; Cole, C.V.; Watanabe, F.S.; Dean, L.A. Estimation of Available Phosphorus in Soils by Extraction with Sodium Bicarbonate; Circular No. 939, USDA; US Government Printing Office: Washington, DC, USA, 1954.
- Jackson, M.L. Soil Chemical Analysis: Advanced Course; UW-Madison Libraries Parallel Press: Madisson, WI, USA, 1962; pp. 1–854. [Google Scholar]
- Richards, L.A. Diagnosis and improvement of saline and alkali soils. LWW 1954, 78, 154. [Google Scholar] [CrossRef]
- Ryan, J.; Estefan, G.; Rashid, A. Soil and Plant Analysis: Laboratory Manual; ICARDA: Aleppo, Syria, 2001. [Google Scholar]
- Bouyoucos, G.J. Hydrometer Method Improved for Making Particle Size Analysis of Soils. Agron. J. 1962, 54, 464–465. [Google Scholar] [CrossRef]
- Walkley, A. A critical examination of a rapid method for determining organic carbon in soils: Effect of variations in digestion conditions and of organic soil constituents. Soil Sci. 1947, 63, 251–263. [Google Scholar] [CrossRef]
- Lindsay, W.L.; Norvell, W.A. Development of a DTPA soil test for zinc, iron, manganese, and copper. Soil Sci. Soc. Am. J. 1978, 42, 421–428. [Google Scholar] [CrossRef]
- Mayak, S.; Tirosh, T.; Glick, B.R. Plant growth-promoting bacteria that confer resistance to water stress in tomatoes and peppers. J. Plant Sci. 2004, 166, 525–530. [Google Scholar] [CrossRef]
- Lutts, S.; Kinet, J.M.; Bouharmont, J. Changes in plant response to NaCl during development of rice (Oryza sativa L.) varieties differing in salinity resistance. J. Exp. Bot. 1995, 46, 1843–1852. [Google Scholar] [CrossRef]
- Yang, G.; Rhodes, D.; Joly, R.J. Effects of high temperature on membrane stability and chlorophyll fluorescence in glycinebetaine-deficient and glycinebetaine-containing maize lines. J. Funct. Plant Biol. 1996, 23, 437–443. [Google Scholar] [CrossRef]
- James, G.S. Analytical Chemistry of Foods; Blackie Academic and Professional: London, UK, 1995; pp. 117–120. [Google Scholar]
- Arlington, V.A. Official Methods of Analysis of the Association of Official’s Analytical Chemists, 17th ed.; Association of Official Analytical Chemists: Rockville, MD, USA, 2003. [Google Scholar]
- Jones, D.B. Factors for converting percentages of nitrogen in foods and feeds into percentages of protein. USDA Circ. 1931, 183, 1–21. [Google Scholar]
- Chapman, H.D.; Pratt, P.F. Methods of Analysis for Soils, Plants and Water; Division of Agriculture Science; University of California: Riverside, CA, USA, 1962. [Google Scholar]
- Steel, R.G.D.; Torrie, J.H. Principles and Procedures of Statistics: A Biometrical Approach, 3rd ed.; McGraw-Hill: New York, NY, USA, 1997. [Google Scholar]
- Yılmaz, V.; Demirer, G.N. Improved anaerobic acidification of unscreened dairy manure. Environ. Eng. Sci. 2008, 25, 309–318. [Google Scholar] [CrossRef]
- Jin, Y.; Wen, J.; Nie, Y.; Chen, H.; Wang, G. Biomass-biogas recycling technique studies of municipal food waste disposal: A reviw. Rocz. Ochr. Środowiska 2012, 14, 21–55. [Google Scholar]
- Sanjaya, A.P.; Cahyanto, M.N.; Millati, R. Mesophilic batch anaerobic digestion from fruit fragments. Renew. Energy 2016, 98, 135–141. [Google Scholar] [CrossRef]
- Moukazis, I.; Pellera, F.M.; Gidarakos, E. Slaughterhouse by-products treatment using anaerobic digestion. Waste Manag. 2018, 71, 652–662. [Google Scholar] [CrossRef]
- Njorogea, S.; Antonius, B.G.T.S.; Ken, E.G.; Shamie, Z. Learning from the soil’s memory: Tailoring of fertilizer application based on past manure applications increases fertilizer use efficiency and crop productivity on Kenyan smallholder farms. Eur. J. Agron. 2019, 105, 52–61. [Google Scholar] [CrossRef]
- Badr, M.A.; Shafei, A.M.; Sharaf El-Deen, S.H. The dissolution of K and P-bearing minerals by silicate dissolving bacteria and their effect on sorghum growth. Res. J. Agric. Biol. Sci. 2006, 2, 5–11. [Google Scholar]
- Ribeiro, I.D.A.; Volpiano, C.G.; Vargas, L.K.; Granada, C.E.; Lisboa, B.B.; Passaglia, L.M.P. Use of mineral weathering bacteria to enhance nutrient availability in crops: A review. Front. Plant Sci. 2020, 11, 590774. [Google Scholar] [CrossRef]
- Yan, X.Y.; Gong, W. The role of chemical and organic fertilizers on yield, yield variability and carbon sequestration-results of a 19-year experiment. Plant Soil 2010, 33, 471–480. [Google Scholar] [CrossRef]
- Janssen, B.H.; Lathwell, D.J.; Wolf, J. Modeling long-term crop response to fertilizer phosphorus. II. Comparison with field results. Agron. J. 1987, 79, 452–458. [Google Scholar]
- Wolf, J.; DeWit, C.; Janssen, B.; Lathwell, D. Modelling long-term crop response to fertilizer phosphorus. I. The model. Agron. J. 1987, 79, 445–451. [Google Scholar] [CrossRef]
- Bationo, A.; Kihara, J.; Vanlauwe, B.; Waswa, B.; Kimetu, J. Soil organic carbon dynamics, functions and management in West African agro-ecosystems. Agric. Syst. 2007, 94, 13–25. [Google Scholar] [CrossRef]
- Tittonell, P.; Rufino, M.C.; Janssen, B.H.; Giller, K.E. Carbon and nutrient losses during manure storage under traditional and improved practices in smallholder crop livestock systems—Evidence from Kenya. Plant Soil 2010, 328, 253–269. [Google Scholar] [CrossRef]
- Castellanos-Navarrete, A.; Tittonell, P.; Rufino, M.C.; Giller, K.E. Feeding, crop residue and manure management for integrated soil fertility management—A case study from Kenya. Agric. Syst. 2015, 134, 24–35. [Google Scholar] [CrossRef]
- Tejada, M.; Garcia, C.; González, J.; Hernandez, M. Use of organic amendment as a strategy for saline soil remediation: Influence on the physical, chemical and biological properties of soil. Soil Biol. Biochem. 2006, 38, 1413–1421. [Google Scholar] [CrossRef]
- Wang, L.; Sun, X.; Li, S.; Zhang, T.; Zhang, W.; Zhai, P. Application of Organic Amendments to a Coastal Saline Soil in North China. Effects on Soil Physical and Chemical Properties and Tree Growth. PLoS ONE 2014, 9, e89185. [Google Scholar]
- Naveed, M.; Ditta, A.; Ahmad, M.; Mustafa, A.; Ahmad, Z.; Conde-Cid, M.; Tahir, S.; Shah, S.A.A.; Abrar, M.M.; Fahad, S. Processed animal manure improves morpho-physiological and biochemical characteristics of Brassica napus L. under nickel and salinity stress. Environ. Sci. Pollut. Res. 2021, 28, 45629–45645. [Google Scholar] [CrossRef]
- Khan, M.S.; Naveed, M.; Qadir, M.F.; Bashir, M.A.; Rafique, M.; Siddiqui, M.H.; Alamri, S.; Brtnicky, M.; Holatko, J.; Mustafa, A. Combined effect of animal manures and di-ammonium phosphate (DAP) on growth, physiology, root nodulation and yield of chickpea. Agronomy 2022, 12, 674. [Google Scholar] [CrossRef]
- Diacono, M.; Montemurro, F. Long-term effects of organic amendments on soil fertility. A review. Agron. Sustain. Dev. 2010, 30, 401–422. [Google Scholar] [CrossRef]
- Yang, T.; Yang, X.; Meng, J.; Lan, Y.; Chen, W.; Yuan, J.; Liu, S.; Han, J. Effects of maize stover and its biochar on soil CO2 emissions and labile organic carbon fractions in Northeast China. Agric. Ecosyst. Environ. 2017, 240, 24–31. [Google Scholar] [CrossRef]
- Bhattacharyya, R.; Pandey, A.K.; Gopinath, K.A.; Mina, B.L.; Bisht, J.K.; Bhatt, J.C. Fertilization and crop residue addition impacts on yield sustainability under rainfed maize-wheat system in the Himalayas. Proc. Natl. Acad. Sci. USA India Sect. B Biol. Sci. 2016, 86, 21–32. [Google Scholar] [CrossRef]
- Bhatt, B.; Chandra, R.; Ram, S.; Pareek, N. Long-term effects of fertilization and manuring on productivity and soil biological properties under rice (Oryza sativa)-wheat (Triticum aestivum) sequence in Mollisols. Arch. Agron. Soil Sci. 2016, 62, 1–22. [Google Scholar] [CrossRef]
- Liu, E.; Zhao, B.; Hu, C.; Li, X.; Zhang, F. Effects of long-term fertilization systems on yield and quality of maize. Sci. Agric. Sin. 2004, 37, 16–71. [Google Scholar]
- Saha, M.; Mondal, S.S. Influence of integrated plant nutrient supply on growth, productivity and quality of baby corn (Zea mays L.) in Indo-Gangetic plains. Indian J. Agron. 2006, 51, 202–205. [Google Scholar]
- Singh, A.B.; Ghosh, P.K. Effect of integrated nutrient management practices on improvement in grain quality of soybean, sorghum (Sorghum bicolor) and wheat in multiple cropping systems in Vertisol. Indian J. Agric. Sci. 2003, 73, 65–68. [Google Scholar]
- Patil, N.B.; Ingole, G.L.; Raut, P.D.; Dangore, S.T. Impact of manuring and fertilization on yield, quality and nutrient uptake of soybean. Ann. Plant Physiol. 2013, 16, 166–169. [Google Scholar]
- Nitika, D.P.; Khetarpaul, N. Physico-chemical characteristics, nutrient composition and consumer acceptability of wheat varieties grown under organic and inorganic farming conditions. Int. J. Food Sci. Nutr. 2008, 59, 224–245. [Google Scholar] [CrossRef]
- Chauhan, N.; Sankhyan, N.K.; Sharma, R.P.; Singh, J. Effect of long-term application of inorganic fertilizers, farm yard manure and lime on wheat (Triticum aestivum L.) productivity, quality and nutrient content in an acid alfisol. J. Plant Nutr. 2020, 43, 2569–2578. [Google Scholar] [CrossRef]
- Dordas, C.A.; Lithourgidis, A.S.; Matsi, T.; Barbayiannis, N. Application of liquid cattle manure and inorganic fertilizers affect dry matter, nitrogen accumulation, and partitioning in maize. Nutr. Cycl. Agroecosyst. 2008, 80, 283–296. [Google Scholar] [CrossRef]
- Celestina, C.; Hunt, J.R.; Sale, P.W.G.; Franks, A.E. Attribution of crop yield responses to application of organic amendments: A critical review. Soil Tillage Res. 2019, 186, 135–145. [Google Scholar] [CrossRef]
- Zafar, M.; Rizwan, M.S.; Shahid, M. Introduction of composted rock phosphate and poultry manure enhances winter wheat phosphorus use efficiency, grain yield and soil quality. J. Plant Nutr. 2017, 40, 1887–1899. [Google Scholar] [CrossRef]
- Andriamananjara, A.; Rakotoson, T.; Razanakoto, O.R.; Razafimanantsoa, M.P.; Rabeharisoa, L.; Smolders, E. Farmyard manure application in weathered upland soils of Madagascar sharply increase phosphate fertilizer use efficiency for upland rice. Field Crop Res. 2018, 222, 94–100. [Google Scholar] [CrossRef]
- Malhi, S.S.; Haderlein, L.K.; Pauly, D.G.; Johnston, A.M. Improving fertilizer phosphorus use efficiency. Development 2002, 85, 18–23. [Google Scholar]
- Gupta, R.K.; Singh, Y.; Ladha, J.K.; Singh, B.; Singh, J.; Singh, G.; Pathak, H. Yield and phosphorus transformations in a rice-wheat system with crop residue and phosphorus management. Soil Sci. Soc. Am. J. 2007, 71, 1500–1507. [Google Scholar] [CrossRef]
- Rowe, H.; Withers, P.J.A.; Baas, P.; Chan, N.I.; Doody, D.; Holiman, J.; Jacobs, B.; Li, H.; MacDonald, G.K.; McDowell, R.; et al. Integrating legacy soil phosphorus into sustainable nutrient management strategies for future food, bioenergy and water security. Nutr. Cycl. Agroecosyst. 2016, 104, 393–412. [Google Scholar] [CrossRef]








| Treatments | Description | |
|---|---|---|
| 1 | Control (no P) | Unamended control |
| 2 | P (45 kg·ha−1) | DAP applied at the rate of 45 kg·ha−1 |
| 3 | P (90 kg·ha−1) | DAP applied at the rate of 90 kg·ha−1 |
| 4 | Non-FAM [pH 7.26] | Non-fermented animal manure of pH 7.26 |
| 5 | P (45 kg·ha−1) + non-FAM | DAP applied at the rate of 45 kg·ha−1 combined with non-fermented animal manure |
| 6 | P (90 kg·ha−1) + non-FAM | DAP applied at the rate of 90 kg·ha−1 combined with non-fermented animal manure |
| 7 | FAM [pH 4.5] | Fermented animal manure of pH 4.5 |
| 8 | P (45 kg·ha−1) + FAM | DAP applied at the rate of 45 kg·ha−1 combined with fermented animal manure |
| 9 | P (90 kg·ha−1) + FAM | DAP applied at the rate of 90 kg·ha−1 combined with fermented animal manure |
| Properties | Pre-Soil Analysis | Animal Manure Properties | |
|---|---|---|---|
| Non-Fermented Animal Manure | Fermented Animal Manure | ||
| Organic matter/carbon | 05 (g kg−1) | 364 (g kg−1) | 421 (g kg−1) |
| Texture | Loam | - | - |
| Saturation percentage | 28.0 (%) | 75% | 23% |
| EC | 1.83 (dS m−1) | - | - |
| pH | 8.42 | 7.26 | 4.5 |
| N | 0.8 (g kg−1) | 3.40 (g kg−1) | 7.44 (g kg−1) |
| P | 6.7 (mg kg−1) | 0.67 (g kg−1) | 3.99 (g kg−1) |
| K | 133 (mg kg−1) | 1.55 (g kg−1) | 1.92 (g kg−1) |
| Zn | 2.24 (mg kg−1) | 78 (mg kg−1) | 115 (mg kg−1) |
| Fe | 6.25 (mg kg−1) | 398 (mg kg−1) | 650 (mg kg−1) |
| Cu | 1.15 (mg kg−1) | 15 (mg kg−1) | 26 (mg kg−1) |
| Mn | 8.40 (mg kg−1) | 40 (mg kg−1) | 62 (mg kg−1) |
Publisher’s Note: MDPI stays neutral with regard to jurisdictional claims in published maps and institutional affiliations. |
© 2022 by the authors. Licensee MDPI, Basel, Switzerland. This article is an open access article distributed under the terms and conditions of the Creative Commons Attribution (CC BY) license (https://creativecommons.org/licenses/by/4.0/).
Share and Cite
Tabbassum, R.; Naveed, M.; Mehboob, I.; Babar, M.H.; Holatko, J.; Akhtar, N.; Rafique, M.; Kucerik, J.; Brtnicky, M.; Kintl, A.; et al. Comparative Response of Fermented and Non-Fermented Animal Manure Combined with Split Dose of Phosphate Fertilizer Enhances Agronomic Performance and Wheat Productivity through Enhanced P Use Efficiency. Agronomy 2022, 12, 2335. https://doi.org/10.3390/agronomy12102335
Tabbassum R, Naveed M, Mehboob I, Babar MH, Holatko J, Akhtar N, Rafique M, Kucerik J, Brtnicky M, Kintl A, et al. Comparative Response of Fermented and Non-Fermented Animal Manure Combined with Split Dose of Phosphate Fertilizer Enhances Agronomic Performance and Wheat Productivity through Enhanced P Use Efficiency. Agronomy. 2022; 12(10):2335. https://doi.org/10.3390/agronomy12102335
Chicago/Turabian StyleTabbassum, Rabia, Muhammad Naveed, Ijaz Mehboob, Muhammad Hussnain Babar, Jiri Holatko, Naseem Akhtar, Munazza Rafique, Jiri Kucerik, Martin Brtnicky, Antonín Kintl, and et al. 2022. "Comparative Response of Fermented and Non-Fermented Animal Manure Combined with Split Dose of Phosphate Fertilizer Enhances Agronomic Performance and Wheat Productivity through Enhanced P Use Efficiency" Agronomy 12, no. 10: 2335. https://doi.org/10.3390/agronomy12102335
APA StyleTabbassum, R., Naveed, M., Mehboob, I., Babar, M. H., Holatko, J., Akhtar, N., Rafique, M., Kucerik, J., Brtnicky, M., Kintl, A., Vyhnanek, T., & Mustafa, A. (2022). Comparative Response of Fermented and Non-Fermented Animal Manure Combined with Split Dose of Phosphate Fertilizer Enhances Agronomic Performance and Wheat Productivity through Enhanced P Use Efficiency. Agronomy, 12(10), 2335. https://doi.org/10.3390/agronomy12102335

