The Effect of Rotational Cropping of Industrial Hemp (Cannabis sativa L.) on Rhizosphere Soil Microbial Communities
Abstract
1. Introduction
2. Materials and Methods
2.1. Experimental Location and Design
2.2. Measurement of Wilt Disease Incidence, Crop Height, and Yield of Industrial Hemp
2.3. Soil Sample Collection
2.4. Soil Physicochemical Properties Analysis
2.5. DNA Extraction and MiSeq Sequencing
2.6. Sequencing Data Analysis
2.7. Statistical Analysis
3. Results
3.1. Wilt Disease Incidence, Crop Height, Floral and Leaf Yields of Industrial Hemp Grown in Greenhouses
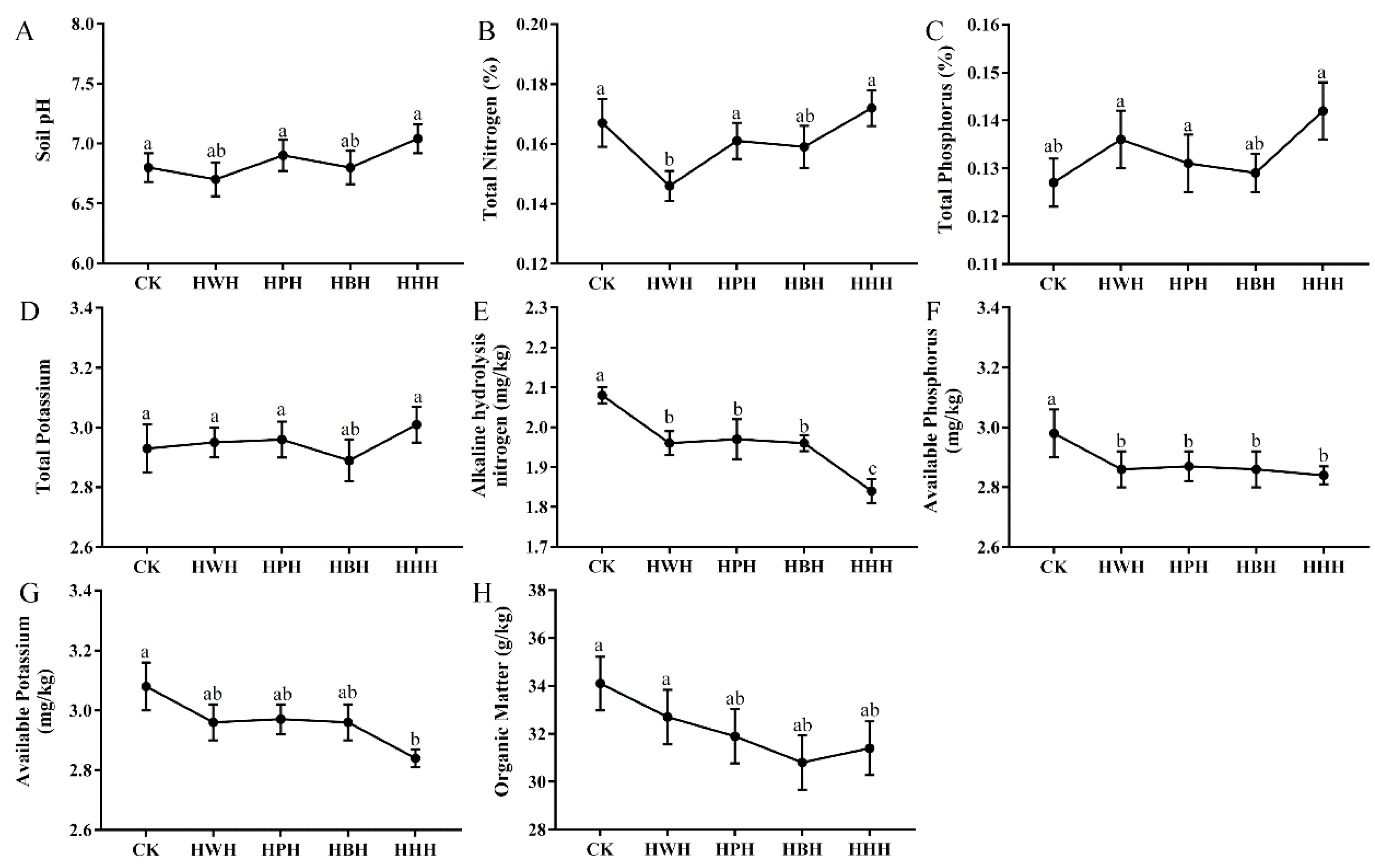
3.2. Soil Physicochemical Properties
3.3. Soil Microbial Diversity
3.4. Soil Microbial Composition
3.5. Soil Bacterial and Fungal Abundance
3.6. Correlation of Physicochemical Properties with Microbial Diversity
4. Discussion
5. Conclusions
Supplementary Materials
Author Contributions
Funding
Institutional Review Board Statement
Informed Consent Statement
Data Availability Statement
Conflicts of Interest
References
- Habiga, J.; Labuschagne, J.; Maraisc, M.; Swart, A.; Claassens, S. The effect of a medic-wheat rotational system and contrasting degrees of soil disturbance on nematode functional groups and soil microbial communities. Agric. Ecosyst. Environ. 2018, 268, 103–114. [Google Scholar] [CrossRef]
- Wang, Q.X.; Sun, H.; Xu, C.L.; Ma, L.; Li, M.J.; Shao, C.; Guan, Y.M.; Liu, N.; Liu, Z.B.; Zhang, S.N.; et al. Analysis of rhizosphere bacterial and fungal communities associated with rusty root disease of Panax ginseng. Appl. Soil Ecol. 2019, 138, 245–252. [Google Scholar] [CrossRef]
- Matsushita, Y.; Egami, K.; Sawada, A.; Saito, M.; Sano, T.; Tsushima, S.; Yoshida, S. Analyses of soil bacterial community diversity in naturally and conventionally farmed apple orchards using 16S rRNA gene sequencing. Appl. Soil Ecol. 2019, 141, 26–29. [Google Scholar] [CrossRef]
- Zhao, Q.Y.; Xiong, W.; Xing, Y.Z.; Sun, Y.; Lin, X.J.; Dong, Y.P. Long-term coffee monoculture alters soil chemical properties and microbial communities. Sci. Rep. 2018, 8, 6116–6138. [Google Scholar] [CrossRef] [PubMed]
- Mark, M. Assessment and management of soil community structure for disease suppression. Annu. Rev. Phytopathol. 2004, 42, 35–59. [Google Scholar]
- Penton, C.R.; Gupta, V.V.S.R.; Tiedje, J.M.; Neate, S.M.; Ophel-Keller, K.; Gillings, M.; Harvey, P.; Pham, A.; Roget, D.K. Fungal community structure in disease suppressive soils assessed by 28S LSU gene sequencing. PLoS ONE 2014, 9, e93893. [Google Scholar] [CrossRef] [PubMed]
- Kriese, U.; Schumann, E.; Weber, W.E.; Beyer, M.; Brühl, L.; Matthäus, B. Oil content, tocopherol composition and fatty acid patterns of the seeds of 51 Cannabis sativa L. Genotypes. Euphytica 2004, 137, 339–351. [Google Scholar] [CrossRef]
- Zuardi, A.W. History of cannabis as a medicine: A review. Rev. Bras. Psiquiatr. 2006, 28, 153–157. [Google Scholar] [CrossRef]
- Duke, J.A.; Wain, K.K. Medicinal plants of the world. In Handbook of Medicinal Herbs; Duke, J.A., Ed.; CRC Press: Boca Raton, FL, USA, 1981; pp. 305–309. [Google Scholar]
- Perucca, P.; Scheffer, I.E.; Simon Harvey, A.; James, P.A.; Lunke, S.; Thorne, N.; Gaff, C.; Regan, B.M.; Damiano, J.A.; Michael, S.; et al. Real-world utility of whole exome sequencing with targeted gene analysis for focal epilepsy. Epilepsy Res. 2017, 131, 1–8. [Google Scholar] [CrossRef]
- Desroches, J.; Beaulieu, P. Opioids and cannabinoids interactions: Involvement in pain management. Curr. Drug Targets 2010, 11, 462–473. [Google Scholar] [CrossRef]
- Choudhary, N. Floral biology and pollination biology of Cannabis sativa L. Int. J. Plant Rep. Biol. 2010, 2, 191–195. [Google Scholar]
- Martyn, R.D. Fusarium wilt of watermelon: 120 years of research. Hortic. Rev. 2014, 42, 349–442. [Google Scholar]
- Shen, Z.; Penton, C.R.; Lv, N.; Xue, C.; Yuan, X.F.; Ruan, Y.Z.; Shen, Q.R. Banana fusarium wilt disease incidence is influenced by shifts of soil microbial communities under different monoculture spans. Microb. Ecol. 2017, 75, 739–750. [Google Scholar] [CrossRef] [PubMed]
- Li, Y.; Chi, J.L.; Ao, J.; Gao, X.M.; Liu, X.H.; Sun, Y.L.; Zhu, W. Effects of different continuous cropping years on bacterial community and diversity of cucumber rhizosphere soil in solar-greenhouse. Curr. Microbiol. 2021, 78, 2380–2390. [Google Scholar] [CrossRef] [PubMed]
- Tang, L.L.; Fan, C.; Guo, X.Y.; Yuan, H.M.; Wu, G.W.; Zhang, S.Q. First report of fusarium wilt industrial hemp (Cannabis sativa L.) caused by Fusarium oxysporum in the northeast China. Plant Dis. 2022. [Google Scholar] [CrossRef]
- Dong, L.L.; Li, Y.; Xu, J.; Wei, G.F.; Shen, L.; Ding, W.L.; Chen, S.L. Biofertilizers regulate the soil microbial community and enhance Panax ginseng yields. Chin. Med. 2019, 14, 20–34. [Google Scholar] [CrossRef]
- Pervaiz, Z.H.; Iqbal, J.; Zhang, Q.M.; Chen, D.; Wei, H.; Saleem, M. Continuous cropping alters multiple biotic and abiotic indicators of soil health. Soil Syst. 2020, 4, 59. [Google Scholar] [CrossRef]
- Guo, L.; Chen, X.; Li, Z.; Wang, M.; Che, Y.; Zhang, L.; Jiang, Z.; Jie, S. Effects of continuous cropping on bacterial community and diversity in rhizosphere soil of industrial hemp: A Five-Year Experiment. Diversity 2022, 14, 250. [Google Scholar] [CrossRef]
- Alvey, S.; Yang, C.H.; Buerkert, A.; Crowley, D.E. Cereal/legume rotation effects on rhizosphere bacterial community structure in West African soils. Biol. Fert Soils 2003, 37, 73–82. [Google Scholar] [CrossRef]
- Samuelmc, N.; Zahangir, K.; Frankn, M.; Stevent, K.; Krishnav, S. Comparison of crop rotation for verticillium wilt management and effect on Pythium species in conventional and organic strawberry production. Plant Dis. 2009, 93, 519–527. [Google Scholar]
- Larkin, R.P.; Honeycutt, C.W.; Olanya, O.M.; Halloran, J.M.; He, Z. Impacts of crop rotation and irrigation on soilborne diseases and soil microbial communities. In Sustainable Potato Production: Global Case Studies; Springer: Dordrecht, The Netherlands, 2012; pp. 23–41. [Google Scholar]
- Wu, X.; Zhao, Q.Y.; Xue, C.; Xun, W.B.; Zhao, J.; Wu, H.S.; Li, R.; Shen, Q.R. Comparison of fungal community in black pepper-vanilla and vanilla monoculture systems associated with vanilla fusarium wilt disease. Front. Microbiol. 2016, 7, 117–132. [Google Scholar]
- Bao, S.D. Soil Analysis in Agricultural Chemistry, 3rd ed.; China Agricultural Press: Beijing, China, 2005. (In Chinese) [Google Scholar]
- Zhong, Y.Q.W.; Yan, W.M.; Shangguan, Z.P. Impact of long-term N additions upon coupling between soil microbial community structure and activity, and nutrient-use efficiencies. Soil Biol. Biochem. 2015, 91, 151–159. [Google Scholar] [CrossRef]
- Magoč, T.; Salzberg, S.L. FLASH: Fast length adjustment of short reads to improve genome assemblies. Bioinformatics 2011, 27, 2957–2963. [Google Scholar] [CrossRef]
- Caporaso, J.G.; Kuczynski, J.; Stombaugh, J.; Bittinger, K.; Bushman, F.D.; Costello, E.K. QIIME allows analysis of high-throughput community sequencing data. Nat. Methods 2010, 7, 335–336. [Google Scholar] [CrossRef]
- Bokulich, N.A.; Subramanian, S.; Faith, J.J. Quality-filtering vastly improves diversity estimates from Illumina amplicon sequencing. Nat. Methods 2013, 10, 57–59. [Google Scholar] [CrossRef] [PubMed]
- R Development Core Team. R, a Language and Environment for Statistic Computing; R Foundation for Statistical Computing: Vienna, Austria, 2006; Available online: http://www.R-project.org (accessed on 1 January 2022).
- Guo, J.J.; Ning, L.; Chen, H.; Chen, Z.; Kong, Y.L.; Wang, M.; Shen, Q.R.; Guo, S.W. Distinct divers of activity, abundance, diversity and composition of ammonia-oxidizers: Evidence form a long-term field experiment. Soil Biol. Biochem. 2017, 115, 403–414. [Google Scholar] [CrossRef]
- Jay, S.S.; Vimal, C.P.; Singh, D.P. Efficient soil microorganisms: A new dimension for sustainable agriculture and environmental development. Agric. Ecosyst. Environ. 2011, 140, 339–353. [Google Scholar]
- Wagg, C.; Bender, S.F.; Widmer, F.; van der Heijden, M.G.A. Soil biodiversity and soil community composition determine ecosystem multifunctionality. Proc. Natl. Acad. Sci. USA 2014, 111, 5266–5270. [Google Scholar] [CrossRef]
- Wang, M.Y.; Wu, C.M.; Cheng, Z.H.; Meng, H.W.; Zhang, M.R.; Zhang, H.J. Soil chemical property changes in eggplant/garlic relay intercropping systems under continuous cropping. PLoS ONE 2014, 9, e111040. [Google Scholar] [CrossRef]
- Zhou, X.G.; Wu, F.Z. Dynamics of the diversity of fungal and Fusarium communities during continuous cropping of cucumber in the greenhouse. FEMS Microbiol. Ecol. 2012, 80, 469–478. [Google Scholar] [CrossRef]
- Cook, R.J. Toward cropping systems that enhance productivity and sustainability. Proc. Natl. Acad. Sci. USA 2006, 103, 18389–18394. [Google Scholar] [CrossRef] [PubMed]
- Zhou, X.G.; Yu, G.B.; Wu, F.Z. Effects of intercropping cucumber with onion or garlic on soil enzyme activities, microbial communities and cucumber yield. Eur. J. Soil Biol. 2011, 47, 279–287. [Google Scholar] [CrossRef]
- Liu, T.J.; Cheng, Z.H.; Meng, H.W.; Ahmad, I.; Zhao, H.L. Growth, yield and quality of spring tomato and physicochemical properties of medium in a tomato/garlic intercropping system under plastic tunnel organic medium cultivation. Sci. Hortic. 2014, 170, 159–168. [Google Scholar] [CrossRef]
- Chamberlain, L.A.; Bolton, M.L.; Cox, M.S.; Suen, G.; Conley, S.P.; Ané, J.M. Crop rotation, but not cover crops, influenced soil bacterial community composition in a corn-soybean system in southern Wisconsin. Appl. Soil Ecol. 2020, 154, 103603. [Google Scholar] [CrossRef]
- Kennedy, A.C.; Smith, K.L. Soil microbial diversity and the sustainability of agricultural soils. Plant Soil 1995, 170, 75–86. [Google Scholar] [CrossRef]
- Shin, K.; Diepen, G.; Blok, W.; van Bruggen, A.H.C. Variability of effective micro-organisms (EM) in bokashi and soil and effects on soil-borne plant pathogens. Crop Prot. 2017, 99, 168–176. [Google Scholar] [CrossRef]
- Hunter, P.R.; Gaston, M.A. Numerical index of the discriminatory ability of typing systems: An application of Simpsons index of diversity. J. Clin. Microbiol. 1988, 26, 2465–2466. [Google Scholar] [CrossRef]
- Griffiths, B.S.; Ritz, K.; Bardgett, R.D.; Cook, R.; Christensen, S.; Ekelund, F.; Nicolardot, B. Ecosystem response of pasture soil communities to fumigation-induced microbial diversity reductions: An examination of the biodiversity–ecosystem function relationship. Oikos 2000, 90, 279–294. [Google Scholar] [CrossRef]
- Brussaard, L.; De Ruiter, P.C.; Brown, G.G. Soil biodiversity for agricultural sustainability. Agric. Ecosyst. Environ. 2007, 121, 233–244. [Google Scholar] [CrossRef]
- Marschner, P.; Yang, C.H.; Lieberei, R.; Crowley, D.E. Soil and plant specific effects on bacterial community composition in the rhizosphere. Soil Biol. Biochem. 2001, 33, 1437–1445. [Google Scholar] [CrossRef]
- Broeckling, C.D.; Broz, A.K.; Bergelson, J.; Manter, D.K.; Vivanco, J.M. Root exudates regulate soil fungal community composition and diversity. Appl. Environ. Microb. 2008, 74, 738–744. [Google Scholar] [CrossRef] [PubMed]
- Lauber, C.L.; Hamady, M.; Knight, R.; Fierer, N. Pyrosequencing- based assessment of soil pH as a predictor of soil bacterial community structure at the continental scale. Appl. Environ. Microb. 2009, 75, 5111–5120. [Google Scholar] [CrossRef]
- Dai, Z.M.; Su, W.Q.; Chen, H.H.; Barberán, A.; Zhao, H.C.; Yu, M.J.; Yu, L.; Brookes, P.C.; Schadt, C.W.; Chang, S.X.; et al. Long-term nitrogen fertilization decreases bacterial diversity and favors the growth of Actinobacteria and Proteobacteria in agroecosystems across the globe. Glob. Change Biol. 2018, 24, 3452–3461. [Google Scholar] [CrossRef] [PubMed]
- Zhou, Y.; Zhu, H.H.; Fu, S.L.; Yao, Q. Variation in soil microbial community structure associated with different legume species is greater than that associated with different grass species. Front. Microbiol. 2017, 8, 1007. [Google Scholar] [CrossRef] [PubMed]
- Navarrete, A.A.; Soares, T.; Rossetto, R.; van Veen, J.A.; Tsai, S.M.; Kuramae, E.E. Verrucomicrobial community structure and abundance as indicators for changes in chemical factors linked to soil fertility. Anton. Van. Leeuw. 2015, 108, 741–752. [Google Scholar] [CrossRef] [PubMed]
- Kim, Y.C.; Leveau, J.; Gardener, B.B.M.; Pierson, E.A.; Pierson III, L.S.; Ryu, C.M. The multifactorial basis for plant health promotion by plant-associated bacteria. Appl. Environ. Microb. 2011, 77, 1548–1555. [Google Scholar] [CrossRef]
- Doumbou, C.L.; Salove, M.K.H.; Crawford, C.; Beaulieu, D.L. Actinomycetes, promising tools to control plant diseases and to promote plant growth. Phytoprotection 2002, 82, 85–102. [Google Scholar] [CrossRef]
- Tokala, R.K.; Strap, J.L.; Jung, C.M.; Crawford, D.L.; Salove, M.H.; Deobald, L.A.; Bailey, J.F.; Morra, M.J. Novel plant-microbe rhizosphere interaction involving streptomyces lydicus wyec108 and the pea plant (Pisum sativum). Appl. Environ. Microbiol. 2002, 68, 2161–2171. [Google Scholar] [CrossRef]
- Mendes, R.; Kruijt, M.; de Bruijn, I.; Dekkers, E.; van der Voort, M.; Schneider, J.H.M.; Piceno, Y.M.; DeSantis, T.Z.; Andersen, G.L.; Bakker, P.A.H.M.; et al. Deciphering the rhizosphere microbiome for disease-suppressive bacteria. Science 2011, 332, 1097–1100. [Google Scholar] [CrossRef]
- E, Y.Y.; Yuan, J.; Yang, F.; Wang, L.; Ma, J.H.; Li, J.; Pu, X.W.; Raza, W.; Huang, Q.W.; Shen, Q.R. PGPR strain paenibacillus polymyxa SQR-21 potentially benefits watermelon growth by re-shaping root protein expression. AMB Express 2017, 7, 104–116. [Google Scholar] [CrossRef]
- Xiong, W.; Zhao, Q.Y.; Zhao, J.; Xun, W.B.; Li, R.; Zhang, R.F.; Wu, H.S.; Shen, Q.R. Different continuous cropping spans significantly affect microbial community membership and structure in a vanilla-grown soil as revealed by deep pyrosequencing. Microb. Ecol. 2015, 70, 209–218. [Google Scholar] [CrossRef] [PubMed]
- Sang, M.K.; Kim, K.D. The volatile-producing Flavobacterium johnsoniae strain GSE09 shows biocontrol activity against Phytophthora capsici in pepper. J. Appl. Microbiol. 2012, 113, 383–398. [Google Scholar] [CrossRef] [PubMed]
- Roque-Malo, S.; Woo, D.K.; Kumar, P. Modeling the role of root exudation in critical zone nutrient dynamics. Water Resour. Res. 2020, 56, e2019WR026606. [Google Scholar] [CrossRef]
- Poch, G.K.; Gloer, J.B. Auranticins A and B: Two new depsidones from a mangrove isolate of the fungus Preussia aurantiaca. J. Nat. Prod. 1991, 54, 213–217. [Google Scholar] [CrossRef]
- Lakshmanan, V.; Selvaraj, G.; Bais, H.P. Functional soil microbiome: Belowground solutions to an aboveground problem. Plant Physiol. 2014, 166, 689–700. [Google Scholar] [CrossRef] [PubMed]
- Berendsen, R.L.; Pieterse, C.M.; Bakker, P.A. The rhizosphere microbiome and plant health. Trends Plant Sci. 2012, 17, 478–486. [Google Scholar] [CrossRef] [PubMed]
- Tang, L.L.; Xia, Y.; Fan, C.; Kou, J.M.; Wu, F.Z.; Li, W.H.; Pan, K. Control of fusarium wilt by wheat straw is associated with microbial network changes in watermelon rhizosphere. Sci. Rep. 2020, 10, 12736–12750. [Google Scholar] [CrossRef]
- Punja, Z.K.; Scott, C.; Chen, S. Root and crown rot pathogens causing wilt symptoms on field-grown marijuana (Cannabis sativa L.) plants. Can. J. Plant Pathol. 2018, 40, 1715–2992. [Google Scholar] [CrossRef]
- Maitlo, S.; Rajput, A.Q.; Syed, R.N.; Khanzada, M.A.; Lodhi, A.M. Influence of physiological factors on vegetative growth and sporulation of Fusarium oxysporum f. sp. ciceris. Pak. J. Bot. 2017, 49, 311–316. [Google Scholar]
- Adhikari, T.B.; Joseph, C.M.; Yang, G.P.; Phillips, D.A.; Nelson, L.M. Evaluation of bacteria isolated from rice for plant growthpromotion and biological control of seedling disease of rice. Can. J. Microbiol. 2001, 47, 916–924. [Google Scholar] [CrossRef]
- Wang, Y.H.; Yu, Z.; Wang, G.; Liu, J.; Liu, X.; Jin, J. Microbial association with the dynamics of particulate organic carbon in response to the amendment of elevated CO2-derived wheat residue into a Mollisol. Sci. Total Environ. 2017, 607–608, 972–981. [Google Scholar] [CrossRef] [PubMed]







Publisher’s Note: MDPI stays neutral with regard to jurisdictional claims in published maps and institutional affiliations. |
© 2022 by the authors. Licensee MDPI, Basel, Switzerland. This article is an open access article distributed under the terms and conditions of the Creative Commons Attribution (CC BY) license (https://creativecommons.org/licenses/by/4.0/).
Share and Cite
Tang, L.; Fan, C.; Yuan, H.; Wu, G.; Sun, J.; Zhang, S. The Effect of Rotational Cropping of Industrial Hemp (Cannabis sativa L.) on Rhizosphere Soil Microbial Communities. Agronomy 2022, 12, 2293. https://doi.org/10.3390/agronomy12102293
Tang L, Fan C, Yuan H, Wu G, Sun J, Zhang S. The Effect of Rotational Cropping of Industrial Hemp (Cannabis sativa L.) on Rhizosphere Soil Microbial Communities. Agronomy. 2022; 12(10):2293. https://doi.org/10.3390/agronomy12102293
Chicago/Turabian StyleTang, Lili, Chao Fan, Hongmei Yuan, Guangwen Wu, Jing Sun, and Shuquan Zhang. 2022. "The Effect of Rotational Cropping of Industrial Hemp (Cannabis sativa L.) on Rhizosphere Soil Microbial Communities" Agronomy 12, no. 10: 2293. https://doi.org/10.3390/agronomy12102293
APA StyleTang, L., Fan, C., Yuan, H., Wu, G., Sun, J., & Zhang, S. (2022). The Effect of Rotational Cropping of Industrial Hemp (Cannabis sativa L.) on Rhizosphere Soil Microbial Communities. Agronomy, 12(10), 2293. https://doi.org/10.3390/agronomy12102293

