Abstract
The New Zealand native plant mānuka (Leptospermum scoparium) is representative of the country’s North and South Islands flora. This species is essential to the growing community of honey producers due to its honey’s antimicrobial and antioxidant properties, attributed to the presence of methylglyoxal (MGO), derived from dihydroxyacetone (DHA) in the nectar. Several clones and cultivars have been selected to optimize DHA production. Still, nothing is known about the volatile emissions of these artificially selected plants. Volatile organic compounds (VOCs) can influence their interactions with the environment, such as pollinator foraging decisions, which may subsequently affect the plants’ products. This study explored the aboveground volatile organic compounds (VOCs) emitted by eight different mānuka genotypes (six clones and two wild cultivars) under field conditions during the spring season. Volatiles were collected using the “push–pull” headspace sampling technique and analyzed using gas chromatography-mass spectrometry (GC-MS). Our results show that mānuka plants emit large amounts of terpenoids, with sesquiterpenes and monoterpenoids being the most abundant groups of compounds. The results also show variation in the total green leaf volatiles, total sesquiterpenes, and specific compounds between genotypes and suggest that artificially selected plants have a significant variation in their chemical profiles. The potential impacts of these results on the plant’s defence, pollinator attraction and bee products are discussed.
1. Introduction
Plants emit volatile organic compounds (VOCs) that mediate communication with other organisms (such as pollinators or nearby plants) and responses to biotic and abiotic stress (such as herbivory or UV radiation), making them essential elements in plant ecology [1,2,3,4]. VOC emission is species-specific but can vary between plant populations, cultivars, and genotypes [5,6,7,8]. These specificities in plant volatile emissions could be relevant to plants’ ecological relationships and their responses to the environment [7,9].
Mānuka (Leptospermum scoparium) is a New Zealand native woody perennial species. This shrub commonly occurs on the North and South Islands, where it persists in harsh environments, such as areas with low soil fertility, drought, waterlogged and frost [10,11,12]. Mānuka is highly polymorphic, linked to environmental and genetic determinants, which is maintained in cultivation [13]. This species varies in size and form, ranging from medium-sized, prostrate and dwarf-form shrub to trees [13] and has been described as an andromonoecious species [14]. Mānuka is of economic importance to honey producers due to the antimicrobial and antioxidant properties of its honey, attributed to the compound methylglyoxal (MGO) [15], which is derived from dihydroxyacetone (DHA) in the nectar [16,17]. However, the levels of DHA differ between mānuka plants [18], leading to the investigation of the genetic and environmental factors influencing nectar composition and yield. Previous studies have confirmed a genetic component associated with DHA production, prompting the selection of DHA-rich clones for commercial use [19,20,21,22]. However, whether pollinators are attracted to high DHA-producing clones is a different matter.
The attraction of beneficial organisms such as pollinators to plants is a combination of multiple factors, including floral visual displays, flower density, nectar traits, and plant scents [1,23,24]. While most of these factors have been extensively characterized for different clones of mānuka [19,20,21,22], their volatile emission has not been explored. Knowledge of mānuka volatile emissions, in general, is limited, and only recently was the scent of wild mānuka plants under field conditions reported [25].
This study aims to characterize the volatile organic compounds (VOCs) emitted by different mānuka genotypes and discuss the potential roles of the results in relation to defence, pollinator attraction and bee products. This information could be important for plant breeders in selecting quality traits (VOCs) vital for the plant’s ecology and maximizing the richness of its products, including the mānuka honey. To achieve this, we measured the aboveground volatile emissions of eight New Zealand originated mānuka genotypes in a common garden setting in spring 2017. VOCs were measured under natural conditions without manipulating any variable. Based on previous studies on the tested mānuka genotypes, reporting significant variation in floral display and nectar chemistry [21,26], we expect to encounter significant diferences in their volatile profiles.
2. Materials and Methods
2.1. Study Site and Biological Material
The study was conducted in spring 2017 at the Pasture and Crop Research Unit (Moginie block, Long. 175.61155—Lat. -40.387483), Massey University, Palmerston North, New Zealand (Figure 1). Eight mānuka genotypes that were pot-grown clones and propagated from cuttings of elite mānuka cultivars provided by Comvita New Zealand Limited as part of the breeding programme for their DHA content were transplanted on this farm in 2011, with 1.5 m spacing between plants. For easy identification, Comvita assigned colour codes: blue, lime green, mint green, orange, pink, and yellow to the six clones and CVT2 and CVT4 to the cultivars. Table 1 shows the parentage, growth form and flower appearance of the clones used in this study. Previous studies by Bohórquez Rodríguez de Medina [21] and Sheridan [26] provide detailed information on the different clones including environmental and genetic influences on flowering and nectar production, nectar DHA and sugar content, and pollinator visitation.
Figure 1.
(a) Google earth image indicating study area inside the red square. (b) Layout of mānuka plants in the area, with colours indicating different genotypes. CVT2 and CVT4 were in a separate plot within the study area. Plants were spaced 1.5 m within plots, and five samples per genotype were collected using non-adjacent plants at the edge of each plot for convenience when placing equipment and to avoid damaging nearby plants.
Table 1.
Characteristics of the mānuka clonal genotypes used in this study. Photo credit: Julia Bohórquez Rodríguez de Medina.
We measured the aboveground volatile emissions of the eight mānuka genotypes using the “push–pull” headspace sampling technique. The volatile collection was done following the same protocol described by [9]. In summary, a portion of foliage with flowers was enclosed in a new multi-purpose oven bag. Using a portable volatile collection system (PVAS22; Volatile Assay Systems, Rensselaer, NY, USA) connected with PTFE tubes, air was simultaneously pushed into and pulled out of the bag through a volatile collection trap containing 30 mg HayeSep Q adsorbent (Volatile Assay Systems, Rensselaer, NY, USA). Volatiles were collected for 2 h per plant, after which the enclosed foliage was excised and oven-dried at 60 °C until constant weight to estimate emission per dry weight. All volatile collections were done in three days (21–23 November 2017) under similar environmental conditions (sunny and dry days), with 26 °C and 0.0 mm average maximum air temperature and rainfall, respectively. Volatiles were collected from five plants of each genotype. All plants were flowering and looked healthy and lush at the time of sampling.
The volatile collection traps were eluted using 200 µL of 95% hexane (Sigma Aldrich) containing 10 ng/mL nonyl acetate (C11H22O2) (Sigma Aldrich) as an internal standard in the laboratory. The samples were then analyzed using gas chromatography coupled to mass spectrometry (Shimadzu technologies), which had a 30 m × 250 µm × 0.25 µm TG-5MS column and helium as a carrier gas. The operation conditions of the gas chromatography-mass spectrometry and identification of compounds followed the same protocol as in [9]. The oven temperature was 50 °C, held for 3 min, increased to 95 °C at 5 °C/min, then ramped up to 230 °C. Compounds were identified by comparing target spectra to the National Institute of Standards library and confirmed by commercial standards when available. Blank samples were collected and analyzed as described, and compounds identified were excluded from the analysis.
2.2. Data Analysis
Statistical analyses were performed using R v.4.1.0 [27]. All volatile compounds identified from mānuka plants were grouped into their respective chemical classes, and their proportions were compared between the eight plant genotypes using generalized linear models with Gamma distribution (link = log). The “relevel” function was used to construct a set of level contrast for the plant genotypes [9,28].
The composition of volatile blends produced by plants was investigated using sparse partial least square discriminant analysis (sPLS-DA) [29]. Before performing sPLS-DA, the data was normalized by log transformation (log10x + 1) and autoscaled. sPLS-DA was performed using the package “mixOmics” [30]. The “tune.splsda” with 5-fold cross-validation, over 200 repeats, was first used to select the optimal number of components and variables to keep in the model. VOCs with variable importance in projection (VIP) coefficient ≥ 1.0 were considered as compounds contributing to discriminating genotypes. Using this threshold, some compounds were selected and compared between the eight mānuka genotypes using generalized linear models (GLMs), assuming Gamma distributed errors (link = log) and the “relevel” function was used to construct sets of level contrast between genotypes. For all the GLMs performed, a small constant (0.001) was added to the response variables (either chemical class or individual VOC) to avoid zeros, as described in [9].
3. Results
Thirty-four compounds were identified in the headspace collections of mānuka plants, and these were grouped into their respective chemical classes. Most of the identified compounds were sesquiterpenes (14), followed by monoterpenes (11), other aldehydes (4), green leaf volatiles (3), and two other volatile compounds (isoamyl acetate and α-ionone) (Supplementary Table S1). The emission rates of monoterpenes were relatively high, followed by sesquiterpenes (Figure 2).
Figure 2.
The proportion of major chemical classes from eight mānuka genotypes (n = 5). A set of level contrasts was constructed using the “relevel” function in R. Bars show mean ± SE emissions, and different letters indicate significant differences between genotypes.
The proportions of respective chemical classes were compared between the eight plant genotypes (Figure 2, Supplementary Table S2). The results show a significant reduction in total monoterpenoids in the mint green clone than the blue (t = 3.35, p = 0.002), lime green (t = 2.62, p = 0.013), orange (t = 2.83, p = 0.008), pink (t = 2.72, p = 0.011), yellow (t = 3.13, p = 0.004), and the CVT4 cultivar (t = 2.97, p = 0.006). Green leaf volatiles were significantly high in lime green clone compared to mint green (t = −3.16, p = 0.003), orange (t = −2.09, p = 0.045), CVT2 (t = −3.19, p = 0.003), and CVT4 (t = −3.32, p = 0.002), whereas the proportion of other volatiles was significantly high in the mint green clone than blue (t = −2.48, p = 0.019), orange (t = −2.95, p = 0.006), pink (t = −3.56, p = 0.001), and CVT2 (t = −2.49, p = 0.018). Monoterpenoids, other aldehydes, and the total volatile emissions did not differ between genotypes (Figure 2, Supplementary Table S2).
The sparse partial least square discriminant analysis based on the individual volatile compounds identified from mānuka plants clearly separates some genotypes. For example, the first two components, which accounted for over 35% of the total variance, show a separation of the yellow clone from others, while the lime green and pink clones highly overlap. There was also a separation between the two cultivars (CVT2 and CVT4) and some clones (Figure 3).
Figure 3.
Sparse partial least square discriminant analysis scores plot based on the thirty-four volatile compounds identified from the headspace of eight mānuka genotypes (n = 5). The plot shows the first two latent variables (components 1 and 2), which explained about 35% of the total variance.
Using a threshold of VIP coefficient ≥ 1, twenty-three volatile compounds were selected as the most contributory compounds in discriminating the eight plant genotypes (Supplementary Table S1 and Figure S1). The proportions of selected compounds, including green leaf volatiles, monoterpenoids, sesquiterpenes, and other compounds, were compared between plant genotypes. The results show significant differences in all selected green leaf volatiles (Figure 4, Supplementary Table S3).
Figure 4.
Comparison of selected green leaf volatiles and other compounds (α-ionene and isoamyl acetate) between genotypes (n = 5). Compounds were selected based on their VIP coefficients (≥1). A set of level contrasts was constructed using the “relevel” function in R. Bars show mean ± SE emissions, and different letters indicate significant differences between genotypes.
Emission of (Z)-3-hexenol was significantly higher in the lime green clone than mint green (t = −2.26, p = 0.031), orange (t = −2.07, p = 0.046), CVT2 (t = −7.17, p < 0.001), and CVT4 (t = −2.67, p = 0.012). Similarly, (Z)-3-hexenyl acetate was significantly higher in the lime green clone compared to mint green (t = −3.46, p = 0.002), orange (t = −2.13, p = 0.041), CVT2 (t = −3.11, p = 0.004), and CVT4 (t = −3.40, p = 0.002), while a significantly low amount of hexanol was identified in the lime green clone and the CVT4 cultivar (Figure 4, Supplementary Table S3). The proportions of isoamyl acetate and α-ionene also differed significantly between genotypes. The emission of isoamyl acetate was significantly higher in the mint green clone than the blue (t = −2.84, p = 0.008), pink (t = −5.29, p < 0.001), and CVT2 (t = −3.47, p = 0.002), while the compound was not identified in lime green, orange, yellow, and CVT4. α-ionene, on the other hand, was not identified in the blue and mint green clones (Figure 4, Supplementary Table S3).
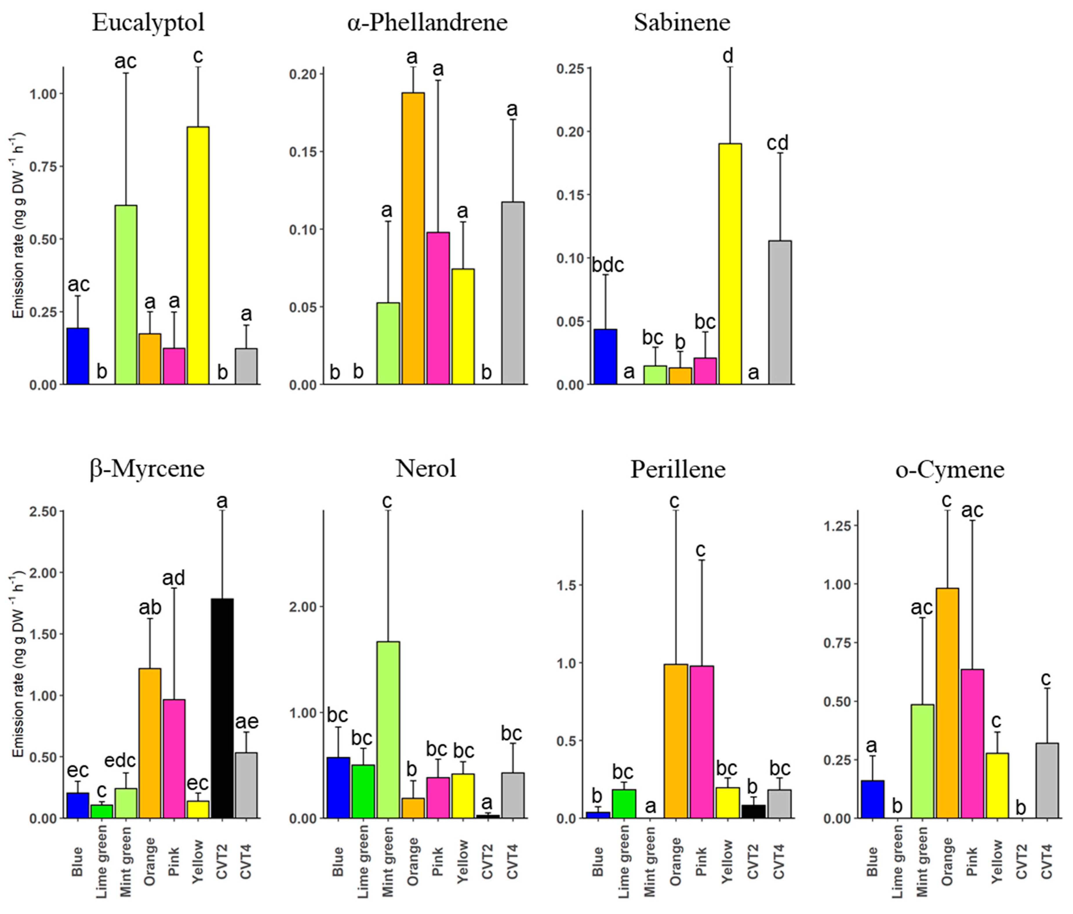
The proportions of the selected monoterpenoids varied significantly between genotypes (Figure 5, Supplementary Table S4). For instance, the yellow clone emitted significantly higher amount of eucalyptol than the orange (t = −2.05, p = 0.049), pink (t = −2.46, p = 0.019), and CVT4 (t = −2.47, p = 0.019). Similary, sabinene’s emission was significantly higher in the yellow clone compared to the mint green (t = −2.48, p = 0.019), orange (t = −2.59, p = 0.015), and pink clones (t = −2.16, p = 0.039), while β-myrcene was significantly higher in CVT2 than the blue (t = −3.05, p = 0.005), lime green (t = −3.96, p < 0.001), mint green (t = −2.81, p = 0.008), and yellow clones (t = −3.58, p = 0.001). Eucalyptol, α-phellandrene, sabinene, and o-cymene were not identified in the lime green clone and CVT2 cultivar, while the emission of nerol and perillene also varied between genotypes (Figure 5). A summary of all the comparisons is available in Supplementary Table S4.
Figure 5.
Emission rates for selected monoterpenoids by different genotypes (n = 5). Compounds were selected based on their VIP coefficients (≥1). A set of level contrasts was constructed using the “relevel” function in R. Bars show mean ± SE emissions, and different letters show significant differences between genotypes.
The emission rates of selected sesquiterpenes also differed significantly between manuka genotypes. For instance, the yellow clone emitted a significantly high amount of (E)-α-bergamotene compared to blue (t = −7.95, p < 0.001), lime green (t = −3.54, p = 0.001), mint green (t = −7.95, p < 0.001), orange (t = −3.30, p = 0.002), pink (t = −3.26, p = 0.003), CVT2 (t = −7.95, p < 0.001), and CVT4 (t = −7.95, p < 0.001). A significant amount of isoledene, ylangene, γ-cadinene, and β-elemene was also released by the yellow clone (Figure 6, Supplementary Table S2). The blue clone also emitted a higher amount of isoledene, ylangene, α-amorphene, and β-selinene than the mint green clone and the two cultivars (Figure 6, Supplementary Table S5).
Figure 6.
Emission rates for selected sesquiterpenes by different genotypes (n = 5). Compounds were selected based on their VIP coefficients (≥1). A set of level contrasts was constructed using the “relevel” function in R. Bars show mean ± SE emissions, and different letters show significant differences between genotypes.
4. Discussion
Mānuka plants are prolific VOC emitters, with terpenoids being very abundant in the blend, as reported earlier [25]. Therefore, it is not surprising that several terpenoids and compounds belonging to other classes differ between clones, giving them a distinct scent. The multivariate analysis shows that some clones are clearly distinguishable from others based on their VOC profile (e.g., the yellow clone is well separated from others), while other profiles have a high overlap (e.g., lime green and pink clones). The patterns in the plants chemical profiles may be strongly shaped by their genetic composition. For instance, the yellow clone originates from a field selection of L. scoparium var. scoparium, whereas both the lime green and pinks clones were obtained by crossing L. scoparium var. scoparium selection and L. rotundifolium cultivar (Table 1).
Green leaf volatiles (GLVs) were found, as a group, to differ significantly between clones, with the pink and lime green clones producing more GLVs than the remaining clones. This trend can also be observed when looking at individual compounds (Z)-3-hexenol and (Z)-3-hexenyl acetate. GLVs are typically foliar volatiles emitted upon mechanical damage such as that caused by herbivory, and are well known to be involved in plant defences against herbivores and pathogens by acting as insect repellents or deterrents, natural enemy (parasitoid and predator) attractants, microbial growth inhibitors, and by directly eliciting or priming plants defence responses [31,32]. For example, (Z)-3-hexenol, a ubiquitous wound-induced compound, can repel herbivores, attract predators and parasitoids, and is involved in priming [33]. Other GLVs that differed between clones such as (Z)-3-hexenyl acetate and hexanol also mediate direct and indirect plant defences [34,35]. Therefore, selecting plant clones rich in GLVs could be useful to take advantage of plants’ natural defences, especially under the increased pressure of introduced pests and pathogens due to global commerce, human mobility, and climate change.
GLVs are also used by plants to attract other beneficial community members, such as pollinators. For instance, plants can use GLVs, including (Z)-3-hexenol and (Z)-3-hexenyl acetate, to recruit non-specific pollinators like wasps, which are typically attracted to prey-related plant scents [36]. Pollinators may also use the foliage scent as a background to identify the right host. A study by Karpati and colleagues [37] showed that hawkmoths (Manduca sexta) are more attracted to floral scents when these are presented against the right background (i.e., host plant foliage) than to floral scents alone or presented simultaneously with non-host foliage.
Total sesquiterpenoids and individual monoterpenes eucalyptol, α-phellandrene, β-myrcene, sabinene, o-cymene nerol, perillene, and 11 sesquiterpenes also differed between clones (Figure 5 and Figure 6). Terpenoids have been associated with differential pollinator attraction in other systems. For instance, myrcene, along with two other monoterpenes, was found to be a strong determinant of bumble bee visitation in monkeyflowers [38] and are involved in distinguishing the bouquet of six different species in the family Apiaceae visited by different pollinators [39], while bergamotene was found to drive pollinator preferences independently from pollen rewards in seep monkeyflower [40] and have a dual role in pollinator attraction and anti-herbivore defence in wild tobacco (Nicotiana attenuata) [41]. These studies suggest that specific terpenoids can mediate pollinator preference. In this case, compounds, including both β-myrcene and (E)-α-bergamotene, show more differences in emission between clones and would be interesting candidates for further exploration.
Given that VOCs change in response to biotic and abiotic stress, changes in their emission can be an honest signal of plant quality to the pollinator. A study by Burkle and Runyon [42] manipulated drought and herbivory for four forb species to determine their individual and combined effects on visual plant traits, plant scents, and pollinator visitation. The authors found VOCs, but not visual traits, to be highly responsive to drought and herbivory and closely correlated with pollinator visitation, suggesting that VOCs, rather than visual cues, provide information on plant quality to pollinators. Another study showed that ozone exposure of Brassica nigra degrades floral scents and changes the ratios of compounds, leading to reduced pollinator attractiveness [43]. These studies highlight the importance of VOCs as plant quality indicators, especially under changing environmental conditions.
A previous study using the same mānuka plants to investigate pollinator visitation found the pink and lime green clones to be the most visited plants by honey bees in 2014 [21]. The two clones emit higher quantities of GLVs, suggesting that these compounds could be involved in honey bee attraction. The same study showed that sugar content (µg) per flower was a better predictor of bee visitation than visual cues such as flower density; and that the amount of DHA (the molecule of interest for honey producers) was not significantly correlated with pollinator visitation, showing that high DHA-producing plants are not necessarily more attractive to honey bees. Therefore, it would be interesting to explore the relationship between VOCs and sugar content.
Mānuka honey has high recognition globally as a rich and essential food. Like other bee products, mānuka honey contains many secondary metabolites, including VOCs. Volatile compounds in honey are diverse and include terpenes, fatty acid-derived compounds, ketones, and aldehydes, among others [44,45]. Measuring plant volatiles and the presence of these compounds in honey may contribute to characterizing the aroma of honey (volatile markers) and increase our understanding of their botanical and geographical origins. Besides, mānuka honey has high antimicrobial properties [15], and it would be interesting to explore whether plant-derived volatiles contribute to this and other known properties of honey and other bee products such as propolis [46].
This study only comprises data from a single year, season and plants tested under similar environmental conditions. However, VOCs are highly dynamic in response to internal and external changes experienced by plants, such as phenological stage and environmental factors [3]. A study on wild mānuka plants conducted on the Central Plateau of North Island (New Zealand) showed that factors such as season, herbivore damage, soil properties, and the vicinity of invasive plant species have a substantial impact on VOC emissions [25]. Therefore, further studies need to explore the VOC emissions of different mānuka clones in their cultivation areas and how internal and external factors influence these emissions. Moreover, further bee visitation tests need to be conducted, integrating plant scent as a variable, and the relationship between other plant traits and VOC emissions must be further explored. Finally, bees’ use of plant scent as an indicator of plant quality in mānuka promises to be an exciting area for new research.
5. Conclusions
The market’s interest in honey with high bioactive compounds, such as MGO, has driven the selection of mānuka clones based on the DHA content (the MGO precursor) in their nectar. However, a high DHA content does not secure high honey bee visitation. Floral scents are key to pollinator attraction and preference. Therefore, a better understanding of the role of plant volatiles in honey bee visitation to mānuka plants would significantly contribute to the honey industry seeking to balance high DHA nectar contents with successful pollinator visitation to enhance honey production. This study shows that eight mānuka genotypes (six clones and two wild varieties) differ significantly in their VOC emissions. The lime green and pink clones emitted more GLVs, while the production of terpenoids was mainly compound-dependent and invites further research to elucidate their relationship with pollinator attraction and preference and to explore the role of VOCs in the chemical composition and properties of bee products (honey and propolis) and plant defence.
Supplementary Materials
The following are available online at https://www.mdpi.com/article/10.3390/agronomy12010169/s1, Figure S1. Loading values of variables selected on each component. Table S1. List of volatile compounds identified from mānuka plants, under their respective chemical classes and their variable importance in projection (VIP) coefficients under various components. Table S2. GLM summary for major chemical classes. Table S3. GLM summary for green leaf volatiles and other compounds with VIP coefficient ≥ 1. Table S4. GLM summary for monoterpenoids with VIP coefficient ≥ 1. Table S5. GLM summary for sesquiterpenoids with VIP coefficient ≥ 1.
Author Contributions
A.C.M. conceived and designed the experiment. All authors contributed to data collection. E.E. analyzed the data. A.C.M. and E.E. led the writing of the manuscript. K.M.T. and N.R. were involved in editing and providing comments on the manuscript. All authors have read and agreed to the published version of the manuscript.
Funding
Massey University supported this work through a summer scholarship provided to NR.
Data Availability Statement
Data will be made available upon request.
Acknowledgments
We wish to thank Julia Bohórquez Rodríguez de Medina for permission to use her pictures of mānuka flowers. We also thank Jonathan Stephens and COMVITA for allowing us to use their clones for this experiment. We are also grateful to Jorge Bresciano for his assistance on data collection, and to Cleland Wallace, Tracy Harris, Shaun Nielson and Paul Barrett (all at Massey University) for their technical support.
Conflicts of Interest
The authors declare no conflict of interest.
References
- Pichersky, E.; Gershenzon, J. The formation and function of plant volatiles: Perfumes for pollinator attraction and defense. Curr. Opin. Plant Biol. 2002, 5, 237–243. [Google Scholar] [CrossRef]
- Clavijo McCormick, A.; Unsicker, S.B.; Gershenzon, J. The specificity of herbivore-induced plant volatiles in attracting herbivore enemies. Trends Plant Sci. 2012, 17, 303–310. [Google Scholar] [CrossRef]
- Clavijo McCormick, A. Can plant–natural enemy communication withstand disruption by biotic and abiotic factors? Ecol. Evol. 2016, 6, 8569–8582. [Google Scholar] [CrossRef]
- Effah, E.; Holopainen, J.K.; McCormick, A.C. Potential roles of volatile organic compounds in plant competition. Perspect. Plant Ecol. Evol. Syst. 2019, 38, 58–63. [Google Scholar] [CrossRef]
- Pettersson, J.; Ninkovic, V.; Ahmed, E. Volatiles from different barley cultivars affect aphid acceptance of neighbouring plants. Acta Agric. Scand. B—Plant Soil Sci. 1999, 49, 152–157. [Google Scholar]
- Keskitalo, M.; Pehu, E.; Simon, J.E. Variation in volatile compounds from tansy (Tanacetum vulgare L.) related to genetic and morphological differences of genotypes. Biochem. Syst. Ecol. 2001, 29, 267–285. [Google Scholar] [CrossRef]
- Vivaldo, G.; Masi, E.; Taiti, C.; Caldarelli, G.; Mancuso, S. The network of plants volatile organic compounds. Sci. Rep. 2017, 7, 11050. [Google Scholar] [CrossRef] [Green Version]
- Moreira, X.; Abdala-Roberts, L. Specificity and context-dependency of plant–plant communication in response to insect herbivory. Curr. Opin. Insect Sci. 2019, 32, 15–21. [Google Scholar] [CrossRef]
- Effah, E.; Barrett, D.P.; Peterson, P.G.; Godfrey, A.J.R.; Potter, M.A.; Holopainen, J.K.; Clavijo McCormick, A. Natural variation in volatile emissions of the invasive weed Calluna vulgaris in New Zealand. Plants 2020, 9, 283. [Google Scholar] [CrossRef] [Green Version]
- Ronghua, Y.; Mark, A.F.; Wilson, J.B. Aspects of the ecology of the indigenous shrub Leptospermum scoparium (Myrtaceae) in New Zealand. N. Z. J. Bot. 1984, 22, 483–507. [Google Scholar] [CrossRef]
- Stephens, J.M.C.; Molan, P.C.; Clarkson, B.D. A review of Leptospermum scoparium (Myrtaceae) in New Zealand. N. Z. J. Bot. 2005, 43, 431–449. [Google Scholar] [CrossRef]
- Derraik, J.G. New Zealand manuka (Leptospermum scoparium; Myrtaceae): A brief account of its natural history and human perceptions. N. Z. Gard. J. 2008, 11, 4–8. [Google Scholar]
- Dawson, M. A history of Leptospermum scoparium in cultivation-discoveries from the wild. New Plantsman 1997, 4, 51–59. [Google Scholar]
- Primack, R.B.; Lloyd, D.G. Andromonoecy in the New Zealand montane shrub manuka, Leptospermum scoparium (Myrtaceae). Am. J. Bot. 1980, 67, 361–368. [Google Scholar] [CrossRef]
- Mavric, E.; Wittmann, S.; Barth, G.; Henle, T. Identification and quantification of methylglyoxal as the dominant antibacterial constituent of Manuka (Leptospermum scoparium) honeys from New Zealand. Mol. Nutr. Food Res. 2008, 52, 483–489. [Google Scholar] [CrossRef] [PubMed]
- Alvarez-Suarez, J.M.; Gasparrini, M.; Forbes-Hernández, T.Y.; Mazzoni, L.; Giampieri, F. The composition and biological activity of honey: A focus on manuka honey. Foods 2014, 3, 420–432. [Google Scholar] [CrossRef] [Green Version]
- Niaz, K.; Maqbool, F.; Bahadar, H.; Abdollahi, M. Health benefits of manuka honey as an essential constituent for tissue regeneration. Curr. Drug Metab. 2017, 18, 881–892. [Google Scholar] [CrossRef]
- Williams, S.; King, J.; Revell, M.; Manley-Harris, M.; Balks, M.; Janusch, F.; Kiefer, M.; Clearwater, M.; Brooks, P.; Dawson, M. Regional, annual, and individual variations in the dihydroxyacetone content of the nectar of ma̅nuka (Leptospermum scoparium) in New Zealand. J. Agric. Food Chem. 2014, 62, 10332–10340. [Google Scholar] [CrossRef] [PubMed]
- King, J. An Investigation of Factors That Contribute to Dihydroxyacetone Variation Observed in New Zealand Leptospermum scoparium. Ph.D. Dissertation, University of Waikato, Hamilton, New Zealand, 2013. [Google Scholar]
- Nickless, E.M. Influential Factors in Nectar Composition and Yield in Leptospermum scoparium. Ph.D. Dissertation, Massey University, Palmerston North, New Zealand, 2015. [Google Scholar]
- Bohórquez Rodríguez de Medina, J. Companion Biota Associated with Leptospermum scoparium (mānuka; Myrtaceae). Ph.D. Dissertation, Massey University, Palmerston North, New Zealand, 2018. [Google Scholar]
- Clearwater, M.J.; Revell, M.; Noe, S.; Manley-Harris, M. Influence of genotype, floral stage, and water stress on floral nectar yield and composition of mānuka (Leptospermum scoparium). Ann. Bot. 2018, 121, 501–512. [Google Scholar] [CrossRef] [PubMed] [Green Version]
- Irwin, R.E.; Adler, L.S.; Brody, A.K. The dual role of floral traits: Pollinator attraction and plant defense. Ecology 2004, 85, 1503–1511. [Google Scholar] [CrossRef]
- Ayasse, M.; Stökl, J.; Francke, W. Chemical ecology and pollinator-driven speciation in sexually deceptive orchids. Phytochemistry 2011, 72, 1667–1677. [Google Scholar] [CrossRef] [PubMed]
- Effah, E.; Barrett, D.P.; Peterson, P.G.; Potter, M.A.; Holopainen, J.K.; Clavijo McCormick, A. Seasonal and environmental variation in volatile emissions of the New Zealand native plant Leptospermum scoparium in weed-invaded and non-invaded sites. Sci. Rep. 2020, 10, 11736. [Google Scholar] [CrossRef] [PubMed]
- Sheridan, R.E. Environmental and Genetic Influences on Growth, Flowering, and Nectar Production in Mānuka (Leptospermum scoparium JR Forst. & G. Forst.). Ph.D. Dissertation, Massey University, Palmerston North, New Zealand, 2019. [Google Scholar]
- Team, R.C. R: A language and environment for statistical computing. R Foundation for Statistical Computing. Vienna, Austria. 2021. Available online: https://www.R-project.org/ (accessed on 27 December 2021).
- Dowdy, N.J.; Conner, W.E. Nonchalant flight in tiger moths (Erebidae: Arctiinae) is correlated with unpalatability. Front. Ecol. Evol. 2019, 7, 480. [Google Scholar] [CrossRef] [Green Version]
- Lê Cao, K.-A.; Boitard, S.; Besse, P. Sparse PLS discriminant analysis: Biologically relevant feature selection and graphical displays for multiclass problems. BMC Bioinform. 2011, 12, 253. [Google Scholar] [CrossRef] [Green Version]
- Rohart, F.; Gautier, B.; Singh, A.; Lê Cao, K.-A. mixOmics: An R package for ‘omics feature selection and multiple data integration. PLoS Comput. Biol. 2017, 13, e1005752. [Google Scholar] [CrossRef] [PubMed] [Green Version]
- Scala, A.; Allmann, S.; Mirabella, R.; Haring, M.A.; Schuurink, R.C. Green leaf volatiles: A plant’s multifunctional weapon against herbivoRes. and pathogens. Int. J. Mol. Sci. 2013, 14, 17781–17811. [Google Scholar] [CrossRef] [Green Version]
- ul Hassan, M.N.; Zainal, Z.; Ismail, I. Green leaf volatiles: Biosynthesis, biological functions and their applications in biotechnology. Plant Biotechnol. J. 2015, 13, 727–739. [Google Scholar] [CrossRef] [PubMed]
- Wei, J.; Kang, L. Roles of (Z)-3-hexenol in plant-insect interactions. Plant Signal. Behav. 2011, 6, 369–371. [Google Scholar] [CrossRef] [PubMed] [Green Version]
- Frost, C.J.; Mescher, M.C.; Dervinis, C.; Davis, J.M.; Carlson, J.E.; De Moraes, C.M. Priming defense genes and metabolites in hybrid poplar by the green leaf volatile cis-3-hexenyl acetate. New Phytol. 2008, 180, 722–734. [Google Scholar] [CrossRef] [PubMed]
- Williams, L.; Rodriguez-Saona, C.; Castle, S.C.; Zhu, S. EAG-active herbivore-induced plant volatiles modify behavioral responses and host attack by an egg parasitoid. J. Chem. Ecol. 2008, 34, 1190–1201. [Google Scholar] [CrossRef] [PubMed]
- Brodmann, J.; Twele, R.; Francke, W.; Hölzler, G.; Zhang, Q.-H.; Ayasse, M. Orchids mimic green-leaf volatiles to attract prey-hunting wasps for pollination. Curr. Biol. 2008, 18, 740–744. [Google Scholar] [CrossRef] [Green Version]
- Kárpáti, Z.; Knaden, M.; Reinecke, A.; Hansson, B.S. Intraspecific combinations of flower and leaf volatiles act together in attracting hawkmoth pollinators. PLoS ONE 2013, 8, e72805. [Google Scholar] [CrossRef] [PubMed]
- Byers, K.J.R.P.; Bradshaw, H.D., Jr.; Riffell, J.A. Three floral volatiles contribute to differential pollinator attraction in monkeyflowers (Mimulus). J. Exp. Biol. 2014, 217, 614–623. [Google Scholar] [CrossRef] [Green Version]
- Borg-Karlson, A.-K.; Valterová, I.; Nilsson, L.A. Volatile compounds from flowers of six species in the family Apiaceae: Bouquets for different pollinators? Phytochemistry 1993, 35, 111–119. [Google Scholar] [CrossRef]
- Haber, A.I.; Sims, J.W.; Mescher, M.C.; De Moraes, C.M.; Carr, D.E. A key floral scent component (β-trans-bergamotene) drives pollinator preferences independently of pollen rewards in seep monkeyflower. Funct. Ecol. 2019, 33, 218–228. [Google Scholar] [CrossRef]
- Zhou, W.; Kügler, A.; McGale, E.; Haverkamp, A.; Knaden, M.; Guo, H.; Beran, F.; Yon, F.; Li, R.; Lackus, N.; et al. Tissue-Specific Emission of (E)-α-Bergamotene Helps Resolve the Dilemma When Pollinators Are Also Herbivores. Curr. Biol. 2017, 27, 1336–1341. [Google Scholar] [CrossRef] [PubMed] [Green Version]
- Burkle, L.A.; Runyon, J.B. Drought and leaf herbivory influence floral volatiles and pollinator attraction. Glob. Change Biol. 2016, 22, 1644–1654. [Google Scholar] [CrossRef] [PubMed]
- Farré-Armengol, G.; Peñuelas, J.; Li, T.; Yli-Pirilä, P.; Filella, I.; Llusia, J.; Blande, J.D. Ozone degrades floral scent and reduces pollinator attraction to flowers. New Phytol. 2016, 209, 152–160. [Google Scholar] [CrossRef] [Green Version]
- Langford, V.; Gray, J.; Foulkes, B.; Bray, P.; McEwan, M.J. Application of selected ion flow tube-mass spectrometry to the characterization of monofloral New Zealand honeys. J. Agric. Food Chem. 2012, 60, 6806–6815. [Google Scholar] [CrossRef]
- Machado, A.M.; Miguel, M.G.; Vilas-Boas, M.; Figueiredo, A.C. Honey volatiles as a fingerprInt. for botanical origin—A review on their occurrence on monofloral honeys. Molecules 2020, 25, 374. [Google Scholar] [CrossRef] [PubMed] [Green Version]
- Mountford-McAuley, R.; Prior, J.; Clavijo McCormick, A. Factors affecting propolis production. J. Apic. Res. 2021, 1–9. [Google Scholar] [CrossRef]
Publisher’s Note: MDPI stays neutral with regard to jurisdictional claims in published maps and institutional affiliations. |
© 2022 by the authors. Licensee MDPI, Basel, Switzerland. This article is an open access article distributed under the terms and conditions of the Creative Commons Attribution (CC BY) license (https://creativecommons.org/licenses/by/4.0/).











