Sound Splits as Influenced by Seed Size for Runner and Virginia Market Type Peanut Shelled on a Reciprocating Sheller
Abstract
1. Introduction
2. Materials and Methods
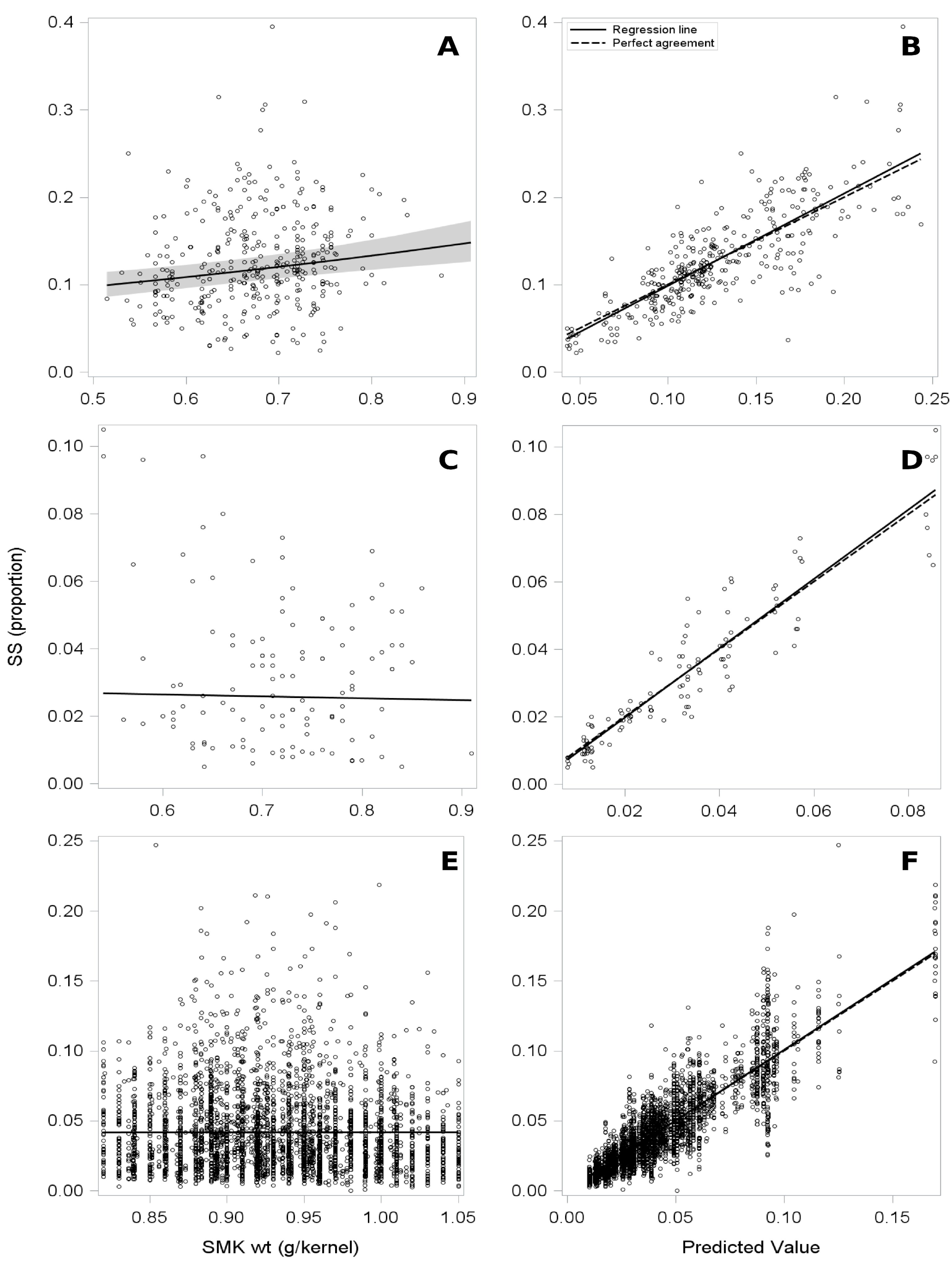
3. Results
4. Discussion
Author Contributions
Funding
Data Availability Statement
Acknowledgments
Conflicts of Interest
References
- USDA AMS. United States Standards for Grades of Shelled Runner Type Peanuts. 1956. Available online: https://www.ams.usda.gov/sites/default/files/media/Shelled_Runner_Type_Peanuts_Standard%5B1%5D.pdf (accessed on 20 June 2021).
- USDA AMS. United States Standards for Grades of Shelled Virginia Type Peanuts. 1959. Available online: https://www.ams.usda.gov/sites/default/files/media/Shelled_Virginia_Type_Peanuts_Standard%5B1%5D.pdf (accessed on 20 June 2021).
- USDA AMS. Minimum quality and handling standards for domestic and imported peanuts marketed in the United States; Change to the quality and handling requirements. Fed. Regist. 2016, 81, 2775–2782. [Google Scholar]
- USDA FSA. Peanut Buyers and Handlers Program Guidelines; United States Department of Agriculture: Washington, DC, USA, 2018; pp. 1–118.
- USDA FSA. Peanut Premiums and Discounts for 2018 Crop Year. 2018. Available online: https://www.fsa.usda.gov/Assets/USDA-FSA-Public/usdafiles/Price-Support/pdf/2018/2018_peanuts.pdf (accessed on 20 June 2021).
- USDA AMS. Inspection Instructions for Farmers’ Stock Peanuts. 2019. Available online: https://www.ams.usda.gov/grades-standards/farmers-stock-peanut-inspection-instructions (accessed on 20 June 2021).
- Anco, D.; Thomas, J.S.; Marshall, M.; Kirk, K.R.; Smith, N. Peanut Money-Maker 2019 Production Guide, Circular; Clemson University Extension: Clemson, SC, USA, 2019; p. 588. [Google Scholar]
- Chu, Y.; Chee, P.; Isleib, T.G.; Holbrook, C.C.; Ozias-Akins, P. Major seed size QTL on chromosome A05 of peanut (Arachis hypogaea) is conserved in the US mini core germplasm collection. Mol. Breed. 2020, 40, 6. [Google Scholar] [CrossRef]
- USDA ARS. Uniform Peanut Performance Tests 2012–Shelling & Physical Properties. 2012. Available online: https://www.ars.usda.gov/ARSUserFiles/60440500/UPPT_2012.pdf (accessed on 20 June 2021).
- Isleib, T.G.; Holbrook, C.C.; Gorbet, D.W. Use of plant introductions in peanut cultivar development. Peanut Sci. 2001, 28, 96–113. [Google Scholar] [CrossRef]
- Carver, W.A.; Hull, F.H. Dixie Runner peanuts. Florida Agric. Exp. Sta. Circ. 1950, S-16, 3. [Google Scholar]
- Carver, W.A.; Hull, F.H.; Clark, F. The Early Runner peanut variety. Florida Agric. Exp. Sta. Circ. 1952, S-52, 4. [Google Scholar]
- Blackstone, J.H. Peanut production practices in southeastern Alabama. Agricultural Experiment Station of the Alabama Polytechnic Institute. Circular 1952, 3, 108. [Google Scholar]
- McGraw, R.L. Yield Physiology of Peanuts (Arachis hypogaea L.). Ph.D. Dissertation, University of Florida, Gainesville, FL, USA, 1979. [Google Scholar]
- Norden, A.J.; Lipscomb, R.W.; Carver, W.A. Registration of Florunner peanuts (Reg. No. 2). Crop Sci. 1969, 9, 850. [Google Scholar] [CrossRef]
- Branch, W.D. Registration of ‘Georgia Green’ peanut. Crop Sci. 1996, 36, 806. [Google Scholar] [CrossRef]
- Culbreath, A.K.; Todd, J.W.; Demski, J.W. Productivity of Florunner peanut infected with tomato spotted wilt virus. Peanut Sci. 1992, 19, 11–14. [Google Scholar] [CrossRef]
- Norden, A.J. Effect of curing method on peanut seed quality. Peanut Sci. 1975, 2, 33–37. [Google Scholar] [CrossRef]
- UGA. UGA Peanut Production 2020 Quick Reference Guide. UGA Extension AP-118. 2020. Available online: https://peanuts.caes.uga.edu (accessed on 20 June 2021).
- Branch, W.D. Registration of ‘Georgia-06G’ peanut. J. Plant. Reg. 2007, 1, 120. [Google Scholar] [CrossRef]
- Gorbet, D.W.; Tillman, B.L. Registration of ‘Florida-07′ peanut. J. Plant. Reg. 2009, 3, 14–18. [Google Scholar] [CrossRef]
- Tillman, B.L. Registration of ‘TUFRunner ‘297′’ peanut. J. Plant Regist. 2018, 12, 31–34. [Google Scholar] [CrossRef]
- Tillman, B.L.; Gorbet, D.W. Registration of ‘TUFRunner ‘511′’ peanut. J. Plant Regist. 2017, 11, 235–239. [Google Scholar] [CrossRef]
- Knauft, D.A.; Norden, A.J.; Gorbet, D.W. Principles of Cultivar Development; Fehr, W.A., Peanut, P., Eds.; McMillan: New York, NY, USA, 1987; Volume 2, pp. 346–384. [Google Scholar]
- Balota, M.; Dunne, J.; Cazenave, A.B.; Anco, D. Peanut Variety and Quality Evaluation Results, 2018: I. Agronomic and Grade Data; Information Series 512; Virginia Polytechnic Institute and State University, Tidewater Agricultural Research and Extension Center: Suffolk, VA, USA, 2019. [Google Scholar]
- Coker, D.L.; Shokes, F.M. Peanut Variety and Quality Evaluation Results, 2006: I. Agronomic and Grade Data; Information Series 483; Virginia Polytechnic Institute and State University, Tidewater Agriculture Research and Extension Center: Suffolk, VA, USA, 2007. [Google Scholar]
- Mozingo, R.W.; Coffelt, T.A.; Phipps, P.M.; Coker, D.L. Registration of ‘CHAMPS’ peanut. Crop Sci. 2006, 46, 2711–2712. [Google Scholar] [CrossRef]
- Shokes, F.M.; Isleib, T.G.; Chapin, J.W. Peanut Variety and Quality Evaluation Results, 2007: I. Agronomic and Grade Data; Information Series No. 485; Virginia Polytechnic Institute and State University, Tidewater Agriculture Research and Extension Center: Suffolk, VA, USA, 2008. [Google Scholar]
- Balota, M.; Jordan, D.; Langston, D.; Shortridge, J.; Taylor, S. 2021 Virginia Peanut Production Guide; Virginia Cooperative Extension: Suffolk, VA, USA, 2021. [Google Scholar]
- Jordan, D.L.; Brandenburg, R.L.; Brown, A.B.; Buol, G.; Foote, B.; Roberson, G.T.; Shew, B.; Washburn, D. 2021 Peanut Information; NC State Extension: Raleigh, NC, USA, 2021. [Google Scholar]
- Lin, L.I.-K. A concordance correlation coefficient to evaluate reproducibility. Biometrics 1989, 45, 255–268. [Google Scholar] [CrossRef]
- Branch, W.D. Registration of ‘Georgia-13M’ peanut. J. Plant Reg. 2014, 8, 253–256. [Google Scholar] [CrossRef]
- Anco, D.J.; Thomas, J.S.; Monfort, S.W. Efficacy and profitability of insecticide treatments for tomato spotted wilt management on peanut in South Carolina. Plant Dis. 2020, 104, 1096–1104. [Google Scholar] [CrossRef]
- Madden, L.V.; Paul, P.A. Meta-analysis for evidence synthesis in plant pathology: An overview. Phytopathology 2011, 101, 16–30. [Google Scholar] [CrossRef] [PubMed]
- Paul, P.A.; Lipps, P.E.; Hershman, D.E.; McMullen, M.P.; Draper, M.A.; Madden, L.V. Efficacy of triazole-based fungicides for Fusarium head blight and deoxynivalenol control in wheat: A multivariate meta-analysis. Phytopathology 2008, 98, 999–1011. [Google Scholar] [CrossRef] [PubMed]
- van Houwelingen, H.C.; Arends, L.R.; Stijnen, T. Advanced methods in meta-analysis: Multivariate approach and meta-regression. Stat. Med. 2002, 21, 589–624. [Google Scholar] [CrossRef]
- Madden, L.V.; Piepho, H.-P.; Paul, P.A. Statistical models and methods for network meta-analysis. Phytopathology 2016, 106, 792–806. [Google Scholar] [CrossRef]
- Aydin, C. Some engineering properties of peanut and kernel. J. Food Eng. 2007, 79, 810–816. [Google Scholar] [CrossRef]
- Bagheri, I.; Payman, S.H.; Rahimi-Ajdadi, F. Mechanical behavior of peanut kernel under compression loading as a function of moisture contents. Elixir Agric. 2011, 36, 3552–3557. [Google Scholar]
- Ghanem, T.H.; Shetawy, M.E.-S.; Zaalouk, A.K. Physical properties of hulled peanuts and kernels. MISR J. Agric. Eng. 2009, 26, 1598–1609. [Google Scholar] [CrossRef]
- Gojiya, D.K.; Dobariya, U.D.; Pandya, P.A.; Gojiya, K.M. Studies on physical properties of peanut seed. Acta Sci. Agric. 2020, 4, 1–5. [Google Scholar] [CrossRef]
- Hoque, M.A. Physical and engineering properties of BARI released three groundnut varieties. Bangladesh J. Agril. Res. 2019, 44, 609–620. [Google Scholar] [CrossRef][Green Version]
- Nelson, S.O. Dimensional and density data and relationships for seeds of agricultural crops. Seed Technol. 2002, 24, 76–88. [Google Scholar]
- Blankenship, P.D.; Person, J.L. Effects of restoring peanut moisture with aeration before shelling. Peanut Sci. 1974, 1, 99–104. [Google Scholar] [CrossRef]
- Bloome, P.D.; Allen, W.S. Comparisons of low temperature with commercial curing of peanuts. J. Amer. Peanut Res. Educ. Assoc. 1974, 6, 41–44. [Google Scholar]
- Bloome, P.D.; Kletke, D.D.; Sholar, J.R. Comparisons of on-farm peanut drying systems in the southwest. Peanut Sci. 1983, 10, 69–72. [Google Scholar] [CrossRef]
- St. Angelo, A.J.; Arant, F.S.; Bass, M.H.; Buchanan, G.A.; Cobb, W.Y.; Cox, F.R.; Davidson, J.M.; Dickens, J.W.; Diener, U.L.; Garren, K.H.; et al. Peanuts–Culture and Uses; American Peanut Research and Education Association, Inc.: Stillwater, OK, USA, 1973. [Google Scholar]
- Singleton, J.A.; Pattee, H.E.; Johns, E.B. Influence of curing temperature on the volatile components of peanuts. J. Am. Peanut Res. Educ. Assoc. 1969, 1, 99. [Google Scholar] [CrossRef]
- USDA NASS. USDA NASS. 2021. Available online: http://www.nass.usda.gov/ (accessed on 20 June 2021).
- Zimmer, K.; (Premium Peanut, Douglas, GA, USA); Izmirlian, A.; (Alimenta Agri, Alpharetta, GA, USA). Personal communication, 2021.
- USDA ARS. Uniform Peanut Performance Tests 2015–Shelling & Physical Properties. 2015. Available online: https://www.ars.usda.gov/ARSUserFiles/60440500/UPPT_2015.pdf (accessed on 20 June 2021).
- Anco, D.J.; Hiers, J.B. Peanut (Arachis hypogaea L.) cultivar pod yield production in South Carolina. Peanut Sci. 2021. submitted. [Google Scholar]
- Branch, W.D.; Balota, M.; Isleib, T.G.; Dunne, J.C.; Anco, D.J.; Balkcom, K.; Chen, C.Y.; Tillman, B.L.; Burow, M.D.; Baring, M.R.; et al. Uniform Peanut Performance Tests 2018; University of Georgia: Tifton, GA, USA, 2019. [Google Scholar]





| Model Response | Studies | Years |
|---|---|---|
| SSrunner types on runner screen | 43 | 14 |
| SSrunner types on Virginia screen | 24 | 8 |
| SSVirginia types on Virginia screen | 133 | 16 |
| ELKVirginia types | 133 | 16 |
| SMKwtrunner types | 25 | 10 |
| SMKwtVirginia types | 26 | 9 |
| Cultivar | 100 SMK wt (g) | Seed Per Pound | ||||||
|---|---|---|---|---|---|---|---|---|
| Estimate | 95% CIl 1 | 95% CIu | Estimate | 95% CIl | 95% CIu | Studies | Years | |
| ACI 3321 | 71.5 | 67.6 | 75.4 | 634 | 671 | 601 | 4 | 3 |
| AU-NPL 17 | 71.0 | 67.1 | 74.9 | 639 | 676 | 605 | 5 | 3 |
| Florida-07 | 74.6 | 71.7 | 77.5 | 608 | 632 | 585 | 21 | 7 |
| FloRun 107 | 67.5 | 61.6 | 73.4 | 672 | 737 | 618 | 6 | 3 |
| FloRun 157 | 66.4 | 63.4 | 69.4 | 683 | 716 | 654 | 11 | 4 |
| FloRun 331 | 67.9 | 65.2 | 70.6 | 668 | 695 | 643 | 14 | 4 |
| Georgia-06G | 72.4 | 69.9 | 74.9 | 626 | 648 | 606 | 23 | 9 |
| Georgia-09B | 66.0 | 63.4 | 68.6 | 688 | 716 | 662 | 21 | 9 |
| Georgia-12Y | 62.9 | 59.9 | 65.8 | 722 | 757 | 690 | 7 | 4 |
| Georgia-13M | 55.6 | 51.6 | 59.5 | 816 | 878 | 762 | 4 | 4 |
| Georgia-14N | 58.3 | 54.8 | 61.8 | 778 | 827 | 734 | 3 | 3 |
| Georgia-16HO | 71.2 | 68.4 | 74 | 637 | 663 | 613 | 9 | 5 |
| Georgia-18RU | 66.9 | 64.1 | 69.8 | 678 | 708 | 650 | 7 | 3 |
| Georgia Green | 65.8 | 61.9 | 69.7 | 690 | 733 | 651 | 10 | 5 |
| TUFRunner ‘297′ | 75.0 | 72.2 | 77.8 | 605 | 628 | 583 | 16 | 6 |
| TUFRunner ‘511′ | 73.8 | 71.1 | 76.5 | 615 | 638 | 593 | 18 | 6 |
| TUFRunner ‘727′ | 71.9 | 66.2 | 77.6 | 631 | 685 | 585 | 6 | 3 |
| TifNV-High O/L | 70.0 | 66.4 | 73.5 | 648 | 683 | 617 | 4 | 2 |
| Cultivar | 100 SMK wt (g) | Seed Per Pound | ||||||
|---|---|---|---|---|---|---|---|---|
| Estimate | 95% CIl 1 | 95% CIu | Estimate | 95% CIl | 95% CIu | Studies | Years | |
| Bailey | 90.1 | 87.7 | 92.5 | 503 | 517 | 490 | 39 | 12 |
| Bailey II | 92.3 | 89.6 | 95.0 | 491 | 506 | 478 | 25 | 8 |
| Brantley | 94.5 | 89.5 | 99.4 | 480 | 507 | 456 | 6 | 2 |
| CHAMPS | 95.6 | 92.6 | 98.7 | 474 | 490 | 460 | 18 | 7 |
| Contender | 93.9 | 90.2 | 97.6 | 483 | 503 | 465 | 3 | 3 |
| Emery | 95.4 | 92.7 | 98.1 | 476 | 490 | 462 | 31 | 11 |
| FL Fancy | 92.7 | 87.7 | 97.7 | 489 | 517 | 464 | 9 | 3 |
| Gregory | 94.5 | 91.1 | 98.0 | 480 | 498 | 463 | 18 | 6 |
| N.C. 20 | 91.0 | 87.8 | 94.2 | 498 | 517 | 481 | 16 | 7 |
| NC-V11 | 83.6 | 80.5 | 86.6 | 543 | 563 | 524 | 16 | 6 |
| Perry | 88.6 | 84.5 | 92.6 | 512 | 537 | 490 | 12 | 4 |
| Phillips | 90.4 | 86.3 | 94.5 | 502 | 526 | 480 | 12 | 4 |
| Sugg | 97.0 | 94.4 | 99.5 | 468 | 480 | 456 | 27 | 9 |
| Sullivan | 87.1 | 84.8 | 89.4 | 521 | 535 | 508 | 32 | 11 |
| Walton | 88.8 | 86.4 | 91.3 | 511 | 525 | 497 | 4 | 2 |
| Wynne | 97.5 | 94.8 | 100.2 | 465 | 478 | 453 | 27 | 9 |
| Dimension-SMK wt-Based | Density-Based | ||||||||
|---|---|---|---|---|---|---|---|---|---|
| SMK wt (g) | L (mm) | T (mm) | W (mm) | W/L | T/L | V (mm3) 1 | L (mm) | T (mm) | W (mm) |
| 75 | 17.8 | 8.5 | 9.8 * | 0.55 | 0.48 | 767 | 17.7 | 8.6 | 9.7 * |
| 82 | 18.7 | 8.6 | 9.9 * | 0.53 | 0.46 | 838 | 18.6 | 8.7 | 9.9 * |
| 91 | 19.9 | 8.5 | 10.0 * | 0.51 | 0.43 | 930 | 19.9 | 8.9 | 10.1 * |
Publisher’s Note: MDPI stays neutral with regard to jurisdictional claims in published maps and institutional affiliations. |
© 2021 by the authors. Licensee MDPI, Basel, Switzerland. This article is an open access article distributed under the terms and conditions of the Creative Commons Attribution (CC BY) license (https://creativecommons.org/licenses/by/4.0/).
Share and Cite
Anco, D.J.; Balota, M.; Dunne, J.C.; Brown, N. Sound Splits as Influenced by Seed Size for Runner and Virginia Market Type Peanut Shelled on a Reciprocating Sheller. Agronomy 2021, 11, 1869. https://doi.org/10.3390/agronomy11091869
Anco DJ, Balota M, Dunne JC, Brown N. Sound Splits as Influenced by Seed Size for Runner and Virginia Market Type Peanut Shelled on a Reciprocating Sheller. Agronomy. 2021; 11(9):1869. https://doi.org/10.3390/agronomy11091869
Chicago/Turabian StyleAnco, Daniel J., Maria Balota, Jeffrey C. Dunne, and Nino Brown. 2021. "Sound Splits as Influenced by Seed Size for Runner and Virginia Market Type Peanut Shelled on a Reciprocating Sheller" Agronomy 11, no. 9: 1869. https://doi.org/10.3390/agronomy11091869
APA StyleAnco, D. J., Balota, M., Dunne, J. C., & Brown, N. (2021). Sound Splits as Influenced by Seed Size for Runner and Virginia Market Type Peanut Shelled on a Reciprocating Sheller. Agronomy, 11(9), 1869. https://doi.org/10.3390/agronomy11091869

