Next Article in Journal
An Economic Model of Sustainable Development in the Russian Arctic: The Idea of Building Vertical Farms
Previous Article in Journal
Improved Conservation of Coffee (Coffea arabica L.) Germplasm via Micropropagation and Cryopreservation
 
 
Font Type:
Arial Georgia Verdana
Font Size:
Aa Aa Aa
Line Spacing:
Column Width:
Background:
Article

Assessing between and within Product Group Variance of Environmental Efficiency of Swiss Agriculture Using Life Cycle Assessment and Data Envelopment Analysis

1
Life Cycle Assessment Research Group, Agroscope, CH-8046 Zurich, Switzerland
2
Sustainable Agroecosystems Group, Institute of Agricultural Sciences, Department of Environmental Systems Science, Swiss Federal Institute of Technology ETH Zurich, Universitätstrasse 2, CH-8092 Zurich, Switzerland
*
Author to whom correspondence should be addressed.
Agronomy 2021, 11(9), 1862; https://doi.org/10.3390/agronomy11091862
Submission received: 22 July 2021 / Revised: 6 September 2021 / Accepted: 9 September 2021 / Published: 16 September 2021
(This article belongs to the Section Farming Sustainability)

Abstract

:
Food production systems can contribute to the degradation of the environment; thereby endangering the very resource, they depend on. However, while overall large, the environmental impacts of individual agricultural products are disparate. Therefore, in order to gain a better understanding of the impact different food production systems have on the environment, we should start at the produce level. In this study, we combine life cycle assessment (LCA) methodology and data envelopment analysis to calculate environmental efficiency scores (i.e., agricultural output divided by environmental impacts) for eight product groups (Milk, Cattle, Pig fattening, Cereals, Beets, Potatoes, Vegetables, Fruits) in Switzerland. First, LCA is used to calculate “cradle to farm-gate” environmental impacts. These impacts are then used as inputs in a data envelopment analysis, with the amount of produced agricultural products as outputs. The resulting environmental efficiency scores reflect the relative efficiency (i.e., related to the best-observed performance) of the observed product groups. We find large differences in environmental impacts and environmental efficiency score distribution between the product groups. While we find some variability of environmental efficiency between farming systems (Organic and Proof of Ecological Performance) within a product group (difference in coefficient of variation between farming systems: Fruits = 48%, Vegetables = 13%, Cereals, Potatoes = 8%), we did not find any significant differences in environmental efficiency between organic and integrated farming systems for any of the considered product groups. Furthermore, we did not find a negative effect of multifunctionality of Swiss farms (i.e., multiple simultaneously produced product groups), but found a small positive effect for Milk in the presence of other product groups. However, the high within product group variance of environmental efficiency suggests the potential for improvements (notably >40% for Fruits and >30% for Cattle and Potatoes).

1. Introduction

Swiss farmers and agricultural policymakers are under increasing pressure to reduce the environmental impacts of agricultural production while maintaining or increasing productivity. One approach to analyzing environmental performance is the concept of environmental efficiency as proposed by Huppes and Ishikawa [1]. The concept relates one or multiple outputs of a process to its environmental impacts (environmental performance). Several studies examined the environmental impacts of agricultural production on climate change [2,3,4] loss of biodiversity [5] environmental pollution (aquatic and terrestrial ecotoxicity) [6] and freshwater appropriation (water scarcity) [7,8,9] at the global scale [10,11], the local and global scale [12,13] or with a focus on the regional scale [14]. Life cycle assessment (LCA) is a commonly used tool to assess the environmental impacts of the whole value chain up to the farm gate (cradle to gate) [15,16]. While the overall impact of agricultural production is quite large (ca. 32% of global terrestrial acidification, ca. 26% anthropogenic greenhouse gas (GHG) emissions, ca. 38% arable land use [10]), the environmental impacts show high variability, depending on, among other factors, the product groups (PG) produced on the farms [4,17,18]. In the context of this study, a product group is defined as a grouping of similar agricultural products that can be considered an output of the farm (i.e., internal flows of feed and intermediary products are not considered product groups, but their economic and environmental effects are attributed to the output of the product group, for example, Cattle and Milk). The product group-based approach is an extension of the suggestion of Keating and McCown [19] that, in order to assess differences between farms, one has to account for single fields as the basic managerial unit of a farm.
The way in which individual product groups contribute to the environmental impact is only partially understood. However, some studies investigated the environmental performance of farms as a whole [20,21] or assessed multiple product groups of a farm simultaneously [22,23]. In order to better understand the different potentials for improvement between product groups, we suggest analyzing the within-group variance of environmental efficiency.
Applied to agricultural products, the environmental efficiency approach requires aggregation of all outputs and all environmental impacts (so-called midpoint impacts) into one single value each. In order to summarize the environmental impacts, a methodology that allows adding impacts with different units and magnitudes is needed. One well-established method that allows the reduction of dimensions of life cycle impact measures is endpoint analysis. Endpoints aggregate all impacts to one or more areas of protection (e.g., damage to human health, damage to ecosystems, damage to resource availability) using so-called “damage-pathways” [24] and finally to a small number of single-score impact indicators. The selection and definition of the damage-pathways require normative valuation and knowledge that transcends LCAs scope [25]. An alternative method to calculate environmental efficiency (or eco-efficiency) was formulated by Kuosmanen and Kortelainen [26]. They used data envelopment analysis (DEA) to estimate eco-efficiency scores. DEA [27], a linear programming technique, serves here two goals: it allows the aggregation of impacts without having to specify damage-pathways or any other weighting or normalization factors and, as a benchmarking technique, it calculates efficiency scores in relation to observed efficiencies (as opposed to a theoretical efficiency). For this study, we decided to use DEA for two reasons: we wanted to specify (environmental) efficiency in relation to observed behavior (and not with regard to a theoretically achievable maximum) and avoiding specifying a production function, damage pathways, or weighting factors.
Thus, the objective of this study is to assess the environmental efficiency of agricultural production systems at the product group level. In order to achieve this, we first develop the methodology. Then, we test the method on a sample of 239 farm-year observations of Swiss farms. The environmental efficiency scores are used to identify explanatory variables for the differences in performance, assess the potential for improvement, and quantify environmental impacts.
Then, we discuss the results and methodological aspects of combining LCA and DEA in order to assess environmental efficiency. Ultimately, the newly developed methodology allows to address the following research questions:
  • What are the environmental impacts for the different product groups?
  • What is the relative environmental efficiency (compared to its peers) of the observed product groups produced on the farms?
  • What is the within-product group variance of environmental efficiency?
  • What are the effects of farming-system (Organic and Proof of Ecological Performance (PEP)), production-region (valley, hills, and mountain), product-group size, and number of simultaneously produced product groups on product group environmental efficiency variance?
  • What is the potential for improvement if below-median producers achieve above-median environmental efficiency?

2. Materials and Methods

LCA is an established methodology to assess the environmental impacts of a product over its whole lifespan. The method allows the comparison of different agricultural production technologies or agricultural products while considering all impacts from the production of inputs, the on-farm emissions, and impacts from the usage phase.
Our LCA was conducted in four steps, “goal and scope definition”, “inventory analysis”, “impact assessment”, and “interpretation”, according to ISO 14040 and 14044 [28,29].

2.1. Goal and Scope

Our goal of the LCA is to estimate environmental impacts per functional unit (1 unit of product (kg)) at the product group level. The choice of a functional unit (FU) is crucial for the interpretability of the results. The FU should reflect the function fulfilled by the agricultural production. In order to reflect the function of agriculture to provide food, the amount of produced goods in (kg) was chosen as FU. The goal of this study is to assess intra-product group variability of environmental efficiency. The product groups are chosen such that their homogeneity is suitable and one unit of agricultural product is comparable within the product group.
In LCA studies of agricultural production, the usage phase is often omitted and a so-called “cradle to farm gate” system boundary is used. Since this study is focused on the effects of farm managers’ decision-making on environmental impacts, the “cradle to farm gate” approach was indeed employed. The temporal system boundary is 1 year.

2.2. Inventory Analysis

The inventory data for this study were collected from 2006 to 2008 during the Swiss Farm Accountancy Network FADN-LCA project [23]. The inventory data consists of records of all inputs and outputs of the farm (animal husbandry and crops), management data, as well as detailed information about the farm (buildings, technologies, farming systems, etc.). Effects on the environment from managerial decisions, production intensity, and production techniques are considered when calculating the impact.
In order to be able to use the updated emissions model and impact assessment methodology, the inventory data had to be supplemented and updated. Due to errors during data recording by the farmers, amounts of used plant protection products were in some cases recorded with the wrong units, i.e., the recorded value was 1000 times too large (g instead of kg) or 1000 times too small (kg instead of g). We used the suggested amounts and number of applications from the Swiss plant protection products inventory to estimate sensible lower and upper limits for each substance and corrected values outside of this range accordingly. In order to specify the composition of feed (e.g., protein content, ash content, etc.), we used average daily rations from the Swiss Agricultural Life Cycle Assessment (SALCA) model farms, corrected for net energy lactation (NEL) for dairy cows. If available, existing information on the specific farm was used to get the best estimates for the missing values. Where no additional information was available, the “SALCA model farm” default values, which consider the farming system and production region and farm type were used (Appendix A, Table A1). Up-stream emissions were included using the SALCA database and the ecoinvent V3.6 database [30]. The calculations were done with the SALCA farm tool V3.60 (Agroscope, Zurich, Switzerland) and the SimaPro V9.1.0.11 software (PRé Sustainability B.V., Amersfoort, The Netherlands). All inventory and on-farm emission data were assessed for plausibility (value ranges, consistency of land occupation data and check for complete allocation of farm values on the product group). All direct (on-farm) environmental impacts were calculated using SALCA and checked for plausibility.

2.3. Allocation

The environmental impacts had to be allocated to one of 14 product groups (see Appendix A, Table A2). A hierarchical process was used to assign all infrastructure, processes, and inputs to a product group:
  • If possible, the whole impact was assigned to the causal product group (i.e., environmental impacts from concentrated feed for milk production are assigned to product group Milk). In these cases, no allocation is necessary.
  • If an impact could not be assigned causally, physical criteria were used. In these cases, the allocation was done using livestock units (animal products) or area (crop products).
  • If physical criteria were not sensible (for example when allocating between multiple diverse product groups) monetary criteria (economic return) were used.
    If the allocation was necessary (type 2 or 3), the following distinction was made:
  • Emissions from fields: one allocation key per field (i.e., 14 allocation factors per field, one for each potential SALCA product group).
  • Emissions from buildings, machines, energy, animals, feed, and direct emissions from stables: one allocation factor for each potential SALCA product group.
In the case of milk production, the environmental impacts and output from surplus animals (surplus calves and heifers, male calves, and culled cows) were allocated to the product group Cattle. The biophysical allocation of the environmental impacts was done using the ratio of the required net energy for the produced amount of milk and life weight, respectively (net energy for pregnancy and growth) [31].

2.4. Emission Models

The direct field and farm emissions were calculated by the SALCA farm tool as follows:
  • Flows of N, P, and K in animal production were modeled by a mass flow approach. For a detailed description see Bystricky, et al. [32]. N excretion was partitioned between urine and dung based on the N concentration in the diet [33].
  • The losses of ammonia (NH3) from animal husbandry, manure management, including manure application, were calculated according to the Agrammon model [34,35]. Emissions from mineral N fertilizers were calculated with emissions factors according to EEA (2013). For mineral N fertilizers, different factors for pH above and below seven apply (see Bystricky, Nemecek, Baumgartner, and Gaillard [32]).
  • Emissions of nitrogen oxides (NOx) were modeled according to EEA (2013) [32].
  • Direct and indirect emissions of nitrous oxide (N2O) were considered according to the IPCC method [36]. Direct emissions come from the application of mineral N fertilizer (factor 1% of N released as N2O), incorporation of crop residues (1% of the N released as N2O). Emissions from organic fertilizer application were calculated according to Nemecek and Ledgard [33]. In addition to the direct emissions, indirect emissions from ammonia and nitrate losses were considered. The respective factors are 1% for ammonia-N and 0.75% for nitrate-N. Emissions from manure storage were 0.5% of the N in slurry and liquid manure and 2% of the N in solid manure [32].
  • Nitrate (NO3) leaching was estimated on a monthly basis by accounting for N mineralization in the soil and N-uptake by the vegetation, specific to each crop by the SALCA-nitrate model [37]. If mineralization exceeds uptake, nitrate leaching can potentially occur. In addition, the risk of nitrate leaching from fertilizer application during unfavorable periods was calculated, taking into account the crop, month of application, and the potential rooting depth.
  • Nitrogenous emissions on pasture during grazing (NH3, N2O, NO3) were calculated according to Nemecek and Ledgard [33].
  • Methane (CH4) emissions from enteric fermentation and manure management were calculated by using emission factors from IPCC [36] and considering the amount and quality of the feed and the manure management system. Methane emissions from dairy cows can be calculated by the model of Kirchgessner, et al. [38] (see Bystricky, Nemecek, Baumgartner and Gaillard [32]).
  • Direct (fossil) CO2 emissions emerge as a consequence of the application of urea, lime, and dolomite. For their calculation, the emission factors of IPCC [36] were used.
  • Three paths of phosphorus emissions to water were included, namely run-off as phosphate and erosion as phosphorus to rivers as well as leaching to ground water as phosphate [39]. Furthermore, the land-use category, the type of fertilizer, the quantity of P spread, characteristics, and duration of soil cover (for erosion) were considered.
  • Heavy metal emissions (Cd, Cr, Cu, Hg, Ni, Pb, Zn) were assessed by an input-output balance [40]. The following inputs were considered: seed, fertilizers, and pesticides. Outputs by harvested products, erosion, and leaching were included. Only part of the quantities lost to the aquatic environment by erosion or leaching was considered, since the farmer controls these processes to some extent only due to the deposition of heavy metals. The allocation factor was derived from the share of agricultural inputs in the total inputs (including deposition).

2.5. Impact Assessment

The impact assessment for the on-farm emissions was conducted using the Swiss Agricultural LCA tool SALCA [41]. The resulting (midpoint) indicators were assessed for correlation and relevance. The relevance criteria were introduced because the environmental impact data showed high covariance, and we wanted to include at least one value for human toxicity, ecotoxicity, water usage, and eutrophication each. A principal component analysis found two components that explained >70% of the variance (Appendix A, Figure A1). Nonetheless, the decision was made to use nine impact indicators (despite their high correlation (Appendix A, Figure A2)), mostly for their relevance and importance for the domains air, water, soil, and (human) health. Therefore, the final set of environmental impacts (see Table 1) still showed some correlation, especially between “nonrenewable energy usage”, “global warming potential 100a” and “eutrophication potential” (Appendix A, Figure A2). The decision to keep impacts considered as important even if they show high covariance is in accordance with the suggested protocol for DEA in cases of correlated factors [42,43]. The life cycle impact calculation was conducted using SimaPro [44].
The nine environmental impacts (midpoint indicators) were chosen in order to reflect as many domains (land, water, air, health) as possible while reducing unwanted redundancy. “Non-renewable fossil and nuclear energy” refers to fossil fuels and uranium resources for nuclear power generation [46]. “Global warming potential 100a” [47] also reflects the usage of fossil fuels, but the former reflects the depletion of finite resources and the latter reflects the environmental impact of the related greenhouse gas emissions. “Land competition” indicates the occupation of land for agricultural production and all upstream processes. It covers the sum of all land occupation flows (agricultural and non-agricultural uses). The “Deforestation” (SALCA) indicator reflects the change from forests to farmland (minus farmland to forest area) due to on-farm measures or more often due to imported feed. Positive values for deforestation signal a loss of forest area, negative values reflect an increase. The method is similar to the ReCiPe 2008 method [48] but also includes scrubland. “Total water use” reflects the elementary flows of water from water bodies for on-farm activities. Since most water usage occurs on farms, we can use this simplified measure. “Freshwater toxicity” and “Human toxicity” use the USEtox methodology to quantify the toxicity of organic and inorganic compounds and their effect on human health (cancer and non-cancer) [49,50]. The method was adjusted in order to reflect the latest developments on the toxicity assessment of pesticides [51]: the characterization factors for aquatic ecotoxicity for pesticides were adapted in order to include the distribution to the different environmental compartments, as described by Bystricky, Nemecek, Krause and Gaillard [37]. For human toxicity, the characterization factors for pesticides provided by Fantke and Jolliet [45] were used. “Acidification” reflects the change in the acidity of soils and water. The method for the acidification potential follows the recommendation of ILCD 2011 [52] and uses the method Accumulative Exceedance [53,54]. The default method is denoted as “Acidification, GLO”, which uses a European reference. “Eutrophication” reflects the eutrophication potential (impact of the losses of N and P to aquatic and terrestrial ecosystems) and is calculated according to the EDIP2003 method [55]. The method provides indicators for terrestrial eutrophication (dominated by NH3, with a contribution of NOx), aquatic eutrophication N (dominated by NO3, followed by NH3 and NOx), and aquatic eutrophication P (all emissions of P to water). For easier interpretation, these three categories were aggregated by normalization. Human and aquatic toxicity, as well as eutrophication, also cover negative impacts from erosion.

2.6. Functional Unit

For most analyses, the amount of produced agricultural products in kg dry matter (kg DM) for crop products and kg live weight(kg LW) for Cattle and Pig fattening and kg (kg) for Milk was used. In order to facilitate product group comparisons, we additionally used the amount of human digestible energy (MJ). The conversion of (kg) to (MJ) was done using the values shown in Appendix A, Table A4.

2.7. Interpretation

For the environmental efficiency score calculation, the environmental impacts were aggregated using data envelopment analysis (DEA). DEA was used in order to relate the impacts to the amount of agricultural products and to aggregate the impacts using non-normative weightings.

2.8. Data Envelopment Analysis

Data envelopment analysis (DEA) was originally developed in the 1970s for operation research and economics [56]. The method allows the objective estimation of weights for a set of inputs and outputs, which describe an enterprise. The resulting linear maximization problems find for each observed enterprise (Decision Making Unit (DMU)) the best (i.e., maximal) weighting for each of its inputs and outputs under the constraint that, using the same weights, no other DMU would achieve a better ratio of outputs /inputs. The resulting efficiency scores (values between 0 and 1) quantify the relative efficiency, compared to the observed best practice. Recently, the method has seen increasing usage in combination with LCA data for eco-efficiency [57]. Using DEA for eco-efficiency or environmental efficiency solves the problem of having to aggregate multiple outputs (i.e., kg agricultural produce, monetary receipts) and/or multiple inputs (i.e., environmental impacts) where we cannot define a common unit. The R package “deaR” [58] was used to calculate the efficiency scores using “input oriented DEA”. In this study, we used input-oriented DEA with a constant return to scale assumption to aggregate the environmental impacts to a single environmental efficiency score. The input orientation results in the linear programming problem to minimize inputs while fixing the output. The assumption of constant return to scale (CRS) prevents the DEA from correcting for different farm sizes. We used the CRS assumption because we are also interested in inefficiency due to non-optimal product group size. The resulting scores were assessed for sensitivity to included impacts (Appendix A, Figure A7 and Figure A8).

2.9. Environmental Efficiency

Our definition of environmental efficiency is inspired by the eco-efficiency framework. Eco-efficiency relates the added value of production or service to its environmental impact. This falls in line with Huppes and Ishikawa’s [1] definition of environmental productivity, which is “Economy divided by Environment”. Since we want to reflect society’s view on agriculture, we chose to use the mass of produced agricultural goods instead of their monetary value. We named this new measure environmental efficiency. This also avoids the problem of varying prices and is more suitable to assess the “public function” of agriculture, which is to produce agricultural products with as little environmental impact as possible.

2.10. Farm Data Description

The data set consists of 239 farm-year observations of 113 unique farms. The farms produce multiple agricultural products with on average three product groups per farm. Table 2 shows the number of observations for each product group–production region combination. The data were collected during 2006–2008. It covers the three production regions in Switzerland: plain region, pre-alpine hills, and mountains region. The production region was used as a measure for biotic and abiotic factors related to region and altitude (i.e., climate, vegetation period, etc.). Twenty percent of the farms are certified organic farms and the remaining farms operate under the “Proof of Ecological Performance” (PEP) guidelines, which corresponds to an implementation of integrated production principles. Both farming systems implement guidelines regarding crop rotation, usage of auxiliary substances, and preservation of biodiversity.
Very small product groups that amounted to less than 3% of the farms’ total working hours were excluded from the analysis. For example, almost all farms have some fruit trees. However, in order to assess the product group Fruits, we would like to only include observations where a substantial amount of attention was spent on the product group. Furthermore, the data for very small product groups tend to have higher uncertainty (Appendix A, Figure A3 and Figure A4). We decided to quantify this with the work hours per product group. The data for this filtering was obtained from the Swiss Farm Accountancy Network. Since the data are relatively sparse, some combination of factors at the higher level of detail (i.e., farming system vs. production region) lead to groups with too few observations for analysis. We dropped combinations with less than 5 observations per subgroup from the analysis.
To address research question 1, an analysis was done to assess each of the nine environmental impacts (with fresh water ecotoxicity differentiated for organic and inorganic compounds) individually. We assessed the environmental impacts per functional unit “produced amount” (kg) and “produced amount human digestible energy” (MJ). Then, the environmental impacts were used to calculate the within-product group environmental efficiency (research question 2). The resulting scores reflect the differences in environmental efficiencies between observations that produce the same product group. Additionally, we calculated the environmental efficiency over all product groups, using nutritional functional units (the produced amount of human digestible energy (MJ)), in order to allow for between-product group comparisons.
The differences in environmental efficiency score variance were assessed with regard to the farming system, the production region, the product group size, and the number of other product groups on the same farm (research questions 3 and 4). Finally, we calculated the potential for improvement, by assessing the differences in environmental efficiencies for the below and above median environmental efficiency groups for each product group (research question 5). In order to do so, we grouped all observations per product group into two classes: below and above median environmental efficiency. Then, we calculated the mean for these two groups. The difference between these two values is then used as the potential for improvement if the below-median producers achieved above-median environmental efficiency.

3. Results

3.1. Environmental Impacts

In general, we found large differences for the environmental impacts per functional unit (kg (Milk), kg live weight (Cattle, Pig fattening), kg dry matter (Cereals, Beets, Potatoes, Vegetables, Fruits)) between the product groups (Figure 1 and Figure 2; see also Appendix A, Figure A5 for mean values). Cattle, Milk, and Pig fattening were associated with the highest environmental impacts per functional unit, followed by Potatoes, Vegetables, and Fruits. The impact of organic farms was smaller than the impact of PEP farms for most product groups, with the exceptions discussed above.
We found—for eight out of the nine impacts—the highest values in integrated farming systems (PEP). The only exception is Cattle; for Cattle we found the largest environmental impact regarding human toxicity on organic farms. Reasons for this result are the lower productivity of organic husbandry (the observed Cattle productivity per animal is 9% lower for organic farms than for PEP farms, additionally the variance is 50% larger for organic farms) and the large base emissions from manure, infrastructure, and feed production that are relatively independent of the productivity. The environmental impacts for the other product groups do not show large differences between organic and PEP, except for the product group Fruits where we find a much larger impact for PEP farms. This is related to the relatively large-scale application of plant protection products (especially inorganic compounds). The high impact on “deforestation” in the product group Pig fattening stems from the imported feedstuff. For Cattle and Milk, where we find a base feed (i.e., roughage) ratio of 0.8–0.9 [59] the effect on deforestation is much smaller. This also highlights the differences between roughage eaters and other animals like pigs or poultry. The large difference between “Total Water Use” for vegetable production on PEP farms vs. organic farms can be explained by the differences in produced crops (mostly vegetables with high water demand like salad, fennel, and leek for PEP farms and more robust crops like beans, peas and sweet corn for organic farms). The relatively high freshwater ecotoxicity for potatoes stems from plant protection products against potato blight, with different substances used for the two farming systems. There were, however, no observations for organically produced beets in the sample.

3.2. Analysis of Environmental Efficiency

3.2.1. Within Product Group Variance of Environmental Efficiency

As shown in Figure 3, the eight product groups showed different distributions of environmental efficiency. The distribution of environmental efficiency for animal products was less skewed than for crop products (mean skewness of animal product groups is −0.4 versus 0.4 of crop product groups). The product group Milk and Pig fattening showed the highest average environmental efficiency (average Milk = 0.65, average Pig fattening = 0.73) (Appendix A, Table A5). This means that these two product groups have more often (relative) high environmental efficiency than the other product groups, although the actual impact for these two product groups was larger than for crop product groups. The product group Cattle is very heterogeneous, including dairy animals, animals from extensive suckler cow systems, and intensive beef fattening; therefore, the environmental efficiency of this group varies widely (standard deviation = 0.2).
An analysis of variance (ANOVA) showed that there were no significant differences between the product groups for the within product group environmental efficiency distributions. We found the largest proportion of observations with low environmental efficiency for Fruits, Cattle, and Vegetables (Appendix A, Figure A10).
Analyzing the variance of the environmental efficiency score using the coefficient of variance (CV) analysis (Table 3), we found the larges CV for the product groups Fruits and Vegetables, where we also find the largest heterogeneity with regard to produced crops and weight per yield. The smallest coefficient was found for pig fattening followed by Beets. While there are some differences in CV between the farming systems for each product group, we could not find significant differences in mean values (Appendix A, Table A9).

3.2.2. Explanations for Variance in Environmental Efficiency

In order to find explanatory variables for the within product group variance in environmental efficiency, the differences between organic farms and PEP farms and production-region as well as the effect of product group size were assessed.
There was only a small difference between the two farming systems regarding environmental efficiency (Figure 4). All considered product groups showed no significant difference at the 5% level between organic and PEP farming systems, but a large variability within each farming system.
For the product group Milk, the difference between valley and hill was negligible, but mountain farms had the lowest averaged environmental efficiency (Figure 5). The product group Cattle showed a similar distribution, with valley farms having the highest averaged environmental efficiency. For Cereals, the distribution of values and the averages were similar although with slightly higher environmental efficiency for the production region hill. For the product group Potatoes, we found a large variance for environmental efficiency for the production region hill, and higher, less variable efficiency for the region valley; however, we did not have enough observations for production region mountain for the two crop product groups (Appendix A, Table A7).
When calculating environmental efficiency, we can allow the model to compensate for non-optimal product group size by specifying a “variable return to scale” assumption. When comparing these environmental efficiency scores to the scores used in the analysis above (“constant return to scale” assumption) we can use the difference in environmental efficiency scores as a measure for inefficiency due to size, where higher values indicate higher in-efficiency. For Milk, Cattle, and Cereals, we found the largest (positive) differences for the smallest product group sizes (Figure 6), indicating inefficiency due to too small product groups. For Pig fattening, we found the largest differences for the largest product group sizes. This difference indicates inefficiency due to the large product group size. For the product groups Beets and Potatoes, we found no clear relationship between product group size and inefficiency due to scale. Since the product groups Vegetables and Fruits consists of multiple smaller product groups, these observations were omitted from this analysis.

3.3. Product Group Environmental Efficiency of Farms with Multiple Product Groups

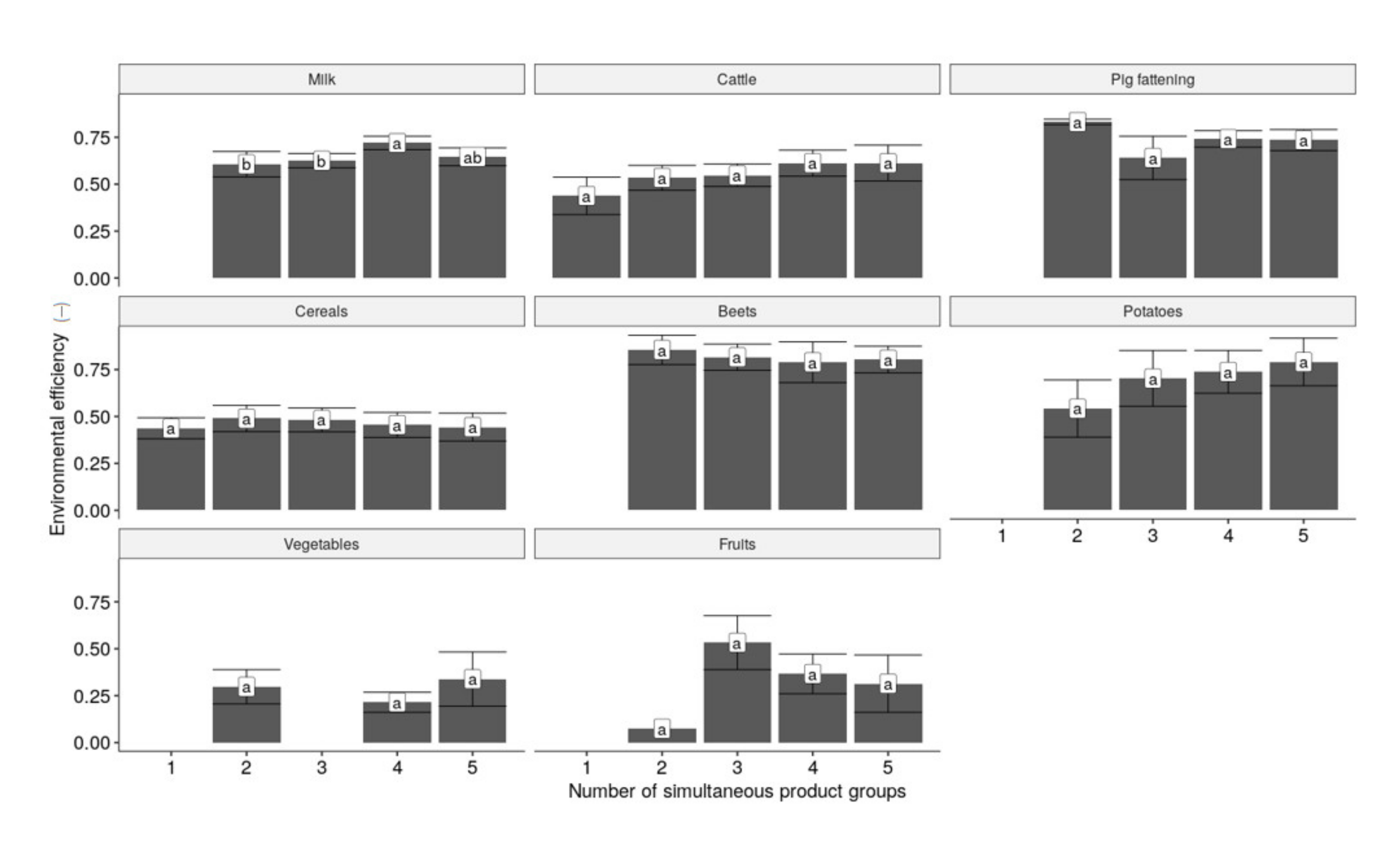
3.3.1. Effect of Number of Simultaneous Product Groups

In order to assess the effect of multiple simultaneous product groups over all farms, the number of product groups was compared to the product group’s environmental efficiency. Figure 7 shows all farm-year observations with their number of product groups (regardless of the actual size of the product groups) and the environmental efficiencies. While there are some small significant positive effects of multiple simultaneous product groups for Milk, we could not find negative effects of higher diversity.

3.3.2. Effect of Product Group Size on Environmental Efficiency for Mixed and Specialized Farms

The observations were analyzed for the difference in environmental efficiency between specialized and mixed farms. In this context, a mixed farm is a farm with more than one large (=over 33% of average product group size) product group. A specialized farm, on the other hand, has only one (large) product group. When analyzing the environmental efficiencies for the three product groups that appeared the most often together on farms, the farms did not have similar high (or low) environmental efficiencies for all products they produce (Figure 8). Instead, there was no significant correlation between the environmental efficiencies of Cattle, Milk, and Cereals.
We also found no effect of the product group’s size on environmental efficiency for mixed and non-mixed farms. The three product groups that were most often simultaneously produced on farms were analyzed with regard to the product group size (measured in hectares for crop products and livestock units for animal products). Appendix A, Figure A11 shows that for mixed farms, only the product group Cereals showed a significant effect of product group size on environmental efficiency (R = 0.26, p-value < 0.05). Similarly, product-group environmental efficiency for products from farms with only one (large) product group also showed no significant correlation (Appendix A, Figure A12).
In order to assess the potential for improvement we calculated the difference in average environmental efficiency for the two groups “below median” and “above median” environmental efficiency (Table 4).

4. Discussion

With regard to research question 1 (environmental impacts of product groups), we found large differences between the product groups, with animal products having the largest impacts per produced amount (measured in kg or in human digestible energy). Environmental impacts differed between animal products and crop products when using a functional unit reflecting digestible energy (Figure 2), confirming results found by e.g., Poore and Nemecek [10]. The high variance in impacts for Fruits and Vegetables is notable and is mostly related to the heterogeneity of the product groups.
Regarding the differences between farming systems, we found that, while the overall impact of organic farming is smaller, there were large differences for the impact categories. For organic farms, the freshwater ecotoxicity stems from inorganic compounds (e.g., metals, mostly plant protection products like copper) while for PEP farms, the largest impact on freshwater ecotoxicity stems from synthetic plant protection products, which belong to organic chemicals.
We found only a weak link between the farming system and global warming potential, with large differences only for heterogeneous product groups (i.e., Vegetables and Fruits), where we have also the smallest number of observations. This result is similar to the findings of Lynch, et al. [60] with regard to GHG emissions per produced unit. For their study, they conducted a meta-analysis of 130 studies analyzing the effect of farming systems on GHG emissions and global warming potential. They concluded that organic farming has lower GHG emissions per unit of product, with the largest differences (but also largest variances) for Vegetables. However, on average, we found smaller environmental impacts associated with organic farming systems for most product groups. The mostly small effects on global warming potential and energy use fall in line with the findings of a meta-analysis on the effects of organic production vs. conventional production by Lee, et al. [61]. They conclude that the differences in GWP between organic and conventional farming are small when calculating emissions per produced unit, with a tendency favoring organic farming. They found, however, a large impact on cropping systems (mono-cropping vs. multi-cropping). Considering that in our sample we do not have mono-cropping (PEP requires some crop rotation), the small differences between the farming systems are not necessarily so surprising.
Regarding research questions 2 and 3 (between and within product group environmental efficiency variance), we found the largest differences between animal product groups and crop product groups when using human digestible energy as output (Figure 2). Additionally, we found a large overlap of environmental efficiencies between farming systems for all product groups. While there are differences in average environmental efficiencies, the variance within the product group and within the farming system is large. This general finding of high within as well as the between-group variance is similar to the findings from Poore and Nemecek [10] In their meta-analysis, they found up to five times larger impacts on climate change for wheat, maize, and rice production for the 90th percentile than for the 10th percentile (i.e., 10% most efficient producers vs. rest). For beef production, they found that 25% of producers with the highest emissions are responsible for 56% of the beef herd’s emissions. They conclude, that across all products, 25% of producers contribute on average 53% to the total impacts, therefore identifying a large potential for improvement. With regard to between-product group variance, they found large differences between product groups, with animal products exceeding the environmental impact of vegetable substitutes, producing 56 to 58% of the total food emissions while producing only 37% of protein and 18% of human digestible energy.
With regard to research question 4 (effects of farming-system, production-region, number of simultaneously produced products, and product group size), we found, that while individual variables explain some variance, there is no single factor that predicts environmental efficiency, and a large share of variability remains unexplained. We found for all product groups, but Cereals, the highest environmental efficiency for organic farming systems. However, none of the differences in variances were significant at the 5% percent level (Figure 4 and Appendix A, Table A9). This relatively small overall effect of a farming system when only considering organic and integrated farming is similar to the results from Tuomisto, et al. [62] who also found that integrated farming (PEP) can lead to a more favorable trade-off between reduced inputs and high yields than organic farming. A study on the environmental impacts of Swiss integrated and organic farming systems [63] also found that the better environmental performance could not compensate for the decreased yield in organic farming. Overall, the study found similar or better performances for organic farming systems. However, there were differences between the considered product groups, with notably beets and potatoes performing worse in the organic case with regard to global warming potential and organic cereals (barley) having higher eutrophication potential per produced amount.
The comparison of farms with multiple large product groups (mixed farms) versus specialized farms did not result in a conclusive answer to the question of whether multiple product groups are beneficial for environmental efficiency or not. However, if we include also observations where the product group in question is very small (less than 3% of workload), we find that these product groups display a larger variability with regard to environmental efficiency than larger enterprises of the same product group. Further analysis with a larger sample size that would allow comparisons with more specialized farms (i.e., farms that produce mostly/only Vegetables, Milk, Beef, etc.) are necessary to elaborate on this result.
With regard to research question 5, we found a substantial potential for the improvement of environmental efficiency. If we assume an increase in the environmental efficiency of the below-average group to the mean environmental efficiency of the “above average” group, we calculate the potential for improvement between ca. 15% and 25% for Milk, Pig fattening, Cereals, and Vegetables, and 30 to 40% for Cattle, Beets, Potatoes, and Fruits. A study by Cassman, et al. [64] analyzed the potential for improvement in cereal production by assessing crop yields, land and nitrogen fertilizer use, carbon sequestration, and greenhouse gas emissions. They found a substantial potential for increasing yields (up to 30%) and reducing N losses and improving soil C content (ca. 20%) with regard to GHG emissions per unit of grain yield. However, they also noted the need for further research in order to close the exploitable yield gap. A study assessing the potential improvement of water use efficiency in agriculture [65] looked at potential efficiency gains at each step of the food value chain and identified a large potential for improvement with 50 to 100% potential efficiency gain. It should be noted, however, that the sample used in their study was much more diverse than the one used here, including vastly different farming and irrigation techniques.
Our analysis at the product group level leads to a diverse picture of the effects of farming-system, production-region, and multifunctionality. We also found no significant negative effect of less favorable production regions on Milk or Cattle, but a large, albeit not significant difference for Cereals and Potatoes. These results are similar to the findings by Herserner, et al. [23] and Nemecek, et al. [66]. Both studies found increasing environmental impacts for the production region “mountains” with less favorable conditions such as shorter vegetation period with longer barn feeding, lower yields, higher slopes (increasing erosion risks and requiring more fuel), etc.). By assessing each product group individually, we gained insight into how the impacts related to the farms’ output. Additionally, product groups are clearly better approximations of the goods that consumers purchase. Similarly, product groups reflect the level at which farm managers make a decision. Therefore, in order to develop better and more granular policies and guidelines, we suggest that policies should focus on individual product groups.
With this study, we also show that the analysis of agricultural production at the product group level with LCA and DEA is useful in order to aggregate environmental impacts for environmental efficiency. Our resulting environmental efficiency scores are representative of the assessed farms’ environmental productivity and are as objective as possible, given the data. This conclusion on the usage of LCA + DEA methodology falls in line with the findings of the systematic literature review by Vásquez-Ibarra, et al. [57]. They also emphasize the complementary characteristics of LCA and DEA. However, our study does not account for all products and services rendered by the farms. For example, non-market goods are not included as outputs. In general, impacts that are hard or impossible to quantify are not included in the life cycle impacts (for example animal welfare, biodiversity, long-term–low exposure effects, etc.) or in the considered functional units. In addition, our sample is not fully representative of the whole Swiss agriculture, so we should avoid extrapolating from our results to the actual population of Swiss farming systems.
An advantage of the here defined environmental efficiency as normalized values (normalized to the ‘best-observed practice’), is that the resulting environmental efficiency scores for different product groups can be compared. Furthermore, the observed variability in environmental efficiency distribution for the assessed product groups is an indicator of different underlying mechanisms that limit environmental efficiency. Interactions between product group, production-region, farming-system, and farm manager’s priorities and capabilities result in a complex typology of production systems. The relatively low average environmental efficiency for many of the assessed product groups suggests a large potential for improvement. This is especially true for Cattle, Pig fattening, and Vegetables since these product groups also show the highest absolute impacts. This result is similar to the findings for global warming potential of agricultural products by [3].
The data that was used in this study is, while unique in its completeness, relatively small, which limits the explanatory power of this analysis. The need to distinguish effects of multiple discrete categories (farming-system, production-region) leads to many groupings with only a few (less than 20) observations. Accordingly, we found mostly insignificant effects of the assessed variables on environmental efficiency. With a larger dataset, possibly more significant relationships could have been detected.
There are future developments such as effects of climate change or changes in the socio-economic context that could affect the relationships found in this study (e.g., climate conditions, environmental and trade policies, consumer behavior, and others). Therefore, the findings of this study are only valid for the considered sample and the related context.
Even though the data used in this study were collected in the years 2006–2008, we could not find any indication that the used sample, results, and conclusions are not valid for the current situation. While there are some changes regarding the direct payment regime and consumer behavior (mainly regarding production and consumption of animal products), their effect on the environmental efficiency relationships in production systems seems to be inconclusive.
The data envelopment analysis was implemented using a bootstrapped method. This led to a robust result that accounts for sensitivity to the sample. The reported environmental efficiency scores were corrected for bias and showed no super efficiency problem. In the context of DEA, super efficiency describes the situation where due to not enough observations in relation to the number of considered inputs and outputs, many observations are characterized as efficient [67]. Additionally, we assessed the sensitivity to the included impacts (Appendix A, Figure A7) and found that all impacts affect the environmental efficiency scores, albeit some for only a few product groups (i.e., “IPCC GWP 100a” has only an effect on the environmental efficiency score of Milk). Furthermore, we found that the DEA environmental efficiency scores were robust with regard to the sample of decision-making units as well as with regard to the included environmental impacts.

5. Conclusions

The assessment of environmental efficiency of agricultural product groups is, while labor and data-intensive, a promising approach to gain detailed insights into the origin and cause of undesirable environmental impacts of agricultural production.
We found that the inputs vary for the two assessed farming systems, with organic farming having a higher environmental impact on freshwater ecotoxicity from inorganic pollutants, while integrated farming had higher impacts from synthetic pesticides with organic compounds. Moreover, there were higher impacts on deforestation for integrated than for organic farming for Pig fattening, which are related to imported soy in concentrated feed. For Cattle, we found a larger impact from acidification for integrated than for organic farming systems.
We conclude that, while there are differences between farming systems and ‘number of simultaneously produced product groups’, we could not identify one of the assessed variables as a single driver for environmental efficiency for all product groups. Accordingly, we could not find a significant effect of the production-region and product group size.
Additionally, we could not find a negative impact of the relatively high multifunctionality of Swiss agriculture on environmental efficiency. The hypothesis that multiple simultaneous product groups lead to a lower overall environmental efficiency could not be supported. However, the large within-product group variation of environmental efficiency indicates a large potential for improvement. If farmers with less than average environmental efficiency were to improve their production, we could reduce the overall impact of agriculture without a reduction in output.

Author Contributions

Conceptualization, D.P., J.S. and T.N.; Data curation, D.P.; Formal analysis, D.P.; Funding acquisition, T.N.; Investigation, D.P.; Methodology, T.N.; Project administration, T.N.; Supervision, J.S. and T.N.; Validation, D.P. and T.N.; Writing—original draft, D.P.; Writing—review and editing, J.S. and T.N. All authors have read and agreed to the published version of the manuscript.

Funding

Supported by the Swiss National Science Foundation (SNSF) within the framework of the National Research Program “Sustainable Economy: resource-friendly, future-oriented, innovative” (NRP 73) Grant-No. 407340_172373.

Data Availability Statement

All relevant data have been submitted with this manuscript.

Acknowledgments

The authors express their thanks to Markus Lips, who developed the original research proposal as well as to Gérard Gaillard and Nadja El Benni for their helpful comments, as well as the LCA group at Agroscope, the Sustainable Ecosystems group at ETH Zurich and Michael Stauffacher at ETH Zurich for their support.

Conflicts of Interest

The authors declare no conflict of interest. The funders had no role in the design of the study; in the collection, analyses, or interpretation of data; in the writing of the manuscript, or in the decision to publish the results.

Appendix A

Table A1. Updated fields in production inventories.
Table A1. Updated fields in production inventories.
FieldTaskAuxiliary Information
feedestimate missing informationaverage Milk production, feedbase, SALCA model farms
climate dataestimate missing informationSwiss Meteo monthly averages
fertilizer application dateestimate missing information“Feldkalender AUI”
plant protectioncorrectionSwiss Register of plant protection products
Nitrogen in farmyard manureestimate missing informationGRUD “Grundlagen für die Düngung landwirtschaftlicher Kulturen in der Schweiz”
straw applicationestimate missing informationSALCA model farms
GVE coefficientsestimate missing information“Faktoren für die Umrechnung des Tierbestandes in Grossvieheinheiten”
fresh substance to dry matter coefficientsestimate missing informationSALCA internal data
farmyard manure systemsestimate missing informationSALCA model farms
period on pastureestimate missing informationSALCA model farms
occupationestimate missing informationSALCA internal data
time spent in yardestimate missing informationSALCA model farms
time spent on pastureestimate missing informationSALCA model farms
fertilizer compositionestimate missing informationSALCA internal data
crop codesestimate missing informationSALCA internal data
Table A2. Overview of all defined product groups. The column “Included in study” indicates if the product group was considered important and homogenous enough to be included in this study. N denotes the total available observations.
Table A2. Overview of all defined product groups. The column “Included in study” indicates if the product group was considered important and homogenous enough to be included in this study. N denotes the total available observations.
FieldTaskAuxiliary Information
Cattle240TRUE
Milk180TRUE
Cereals173TRUE
Remaining feed/arable crops139FALSE
Remaining animals107FALSE
Fruits55TRUE
Pig fattening47TRUE
Potatoes44TRUE
Beets40TRUE
Vegetables38TRUE
Corn19FALSE
Non-food15FALSE
Viticulture15FALSE
Pig breeding10FALSE
Figure A1. Principal component analysis of environmental impacts: Two main components explain 77.4% of the total variance. 1 = Non renewable fossil and nuclear (MJ eq), 2 = Non renewable fossil (MJ eq), 3 = Non renewable nuclear (MJ eq), 4 = Resources abiotic (kg of Antimony eq), 5 = Resources potassium K (kg), 6 = Resources phosphorus P (kg), 7 = Land competition (m2a), 8 = Human digestible protein production potential (kg), 9 = Deforestation (m2), 10 = Total water use blue water (m3), 11 = Water Stress Index (m3), 12 = Exergy non renewable fossil (MJ), 13 = Exergy non renewable nuclear (MJ), 14 = Exergy renewable wind (MJ), 15 = Exergy renewable solar (MJ), 16 = Exergy renewable hydro (MJ), 17 = Exergy non renewable primary forest (MJ), 18 = Exergy renewable water (MJ), 19 = Exergy non renewable metals (MJ), 20 = Exergy non renewable minerals (MJ), 21 = Exergy land resources (MJ), 22 = Exergy total (MJ), 23 = IPCC GWP 100a 2013 (kg CO2 eq), 24 = IPCC GWP 20a 2013 (kg CO2 eq), 25 = Ozone depletion (kg Trichlorfluormethan eq), 26 = Photochemical ozone formation (kg Non Methane Volatile Organic Compounds eq), 27 = Acidification GLO (molc H+ eq), 28 = Eutrophication terr. GLO (m2), 29 = Eutrophication aq. N GLO (kg N), 30 = Eutrophication aq. P GLO (kg P), 31 = Eutrophication norm. GLO (person year), 32 = Acidification CH (molc H+ eq), 33 = Eutrophication terrestrial CH (m2), 34 = Eutrophication aq. N CH (kg N), 35 = Eutrophication aq. P CH (kg P), 36 = Eutrophication normalized CH (person year), 37 = Freshwater ecotoxicity USEtox org (PAF m3 day), 38 = Freshwater ecotoxicity USEtox inorg (PAF m3 day), 39 = Freshwater ecotoxicity USEtox (PAF m3 day), 40 = Human toxicity USEtox cancer (cases), 41 = Human toxicity USEtox noncancer (cases), 42 = Human toxicity USEtox (cases). (MJ = megajoule, eq = equivalent, GWP = Global warming potential, GLO = Global, CH = Switzerland, aq = aquatic, FWater = Freshwater, PAF m3 day = potentially affected fraction of species integrated over time and volume).
Figure A1. Principal component analysis of environmental impacts: Two main components explain 77.4% of the total variance. 1 = Non renewable fossil and nuclear (MJ eq), 2 = Non renewable fossil (MJ eq), 3 = Non renewable nuclear (MJ eq), 4 = Resources abiotic (kg of Antimony eq), 5 = Resources potassium K (kg), 6 = Resources phosphorus P (kg), 7 = Land competition (m2a), 8 = Human digestible protein production potential (kg), 9 = Deforestation (m2), 10 = Total water use blue water (m3), 11 = Water Stress Index (m3), 12 = Exergy non renewable fossil (MJ), 13 = Exergy non renewable nuclear (MJ), 14 = Exergy renewable wind (MJ), 15 = Exergy renewable solar (MJ), 16 = Exergy renewable hydro (MJ), 17 = Exergy non renewable primary forest (MJ), 18 = Exergy renewable water (MJ), 19 = Exergy non renewable metals (MJ), 20 = Exergy non renewable minerals (MJ), 21 = Exergy land resources (MJ), 22 = Exergy total (MJ), 23 = IPCC GWP 100a 2013 (kg CO2 eq), 24 = IPCC GWP 20a 2013 (kg CO2 eq), 25 = Ozone depletion (kg Trichlorfluormethan eq), 26 = Photochemical ozone formation (kg Non Methane Volatile Organic Compounds eq), 27 = Acidification GLO (molc H+ eq), 28 = Eutrophication terr. GLO (m2), 29 = Eutrophication aq. N GLO (kg N), 30 = Eutrophication aq. P GLO (kg P), 31 = Eutrophication norm. GLO (person year), 32 = Acidification CH (molc H+ eq), 33 = Eutrophication terrestrial CH (m2), 34 = Eutrophication aq. N CH (kg N), 35 = Eutrophication aq. P CH (kg P), 36 = Eutrophication normalized CH (person year), 37 = Freshwater ecotoxicity USEtox org (PAF m3 day), 38 = Freshwater ecotoxicity USEtox inorg (PAF m3 day), 39 = Freshwater ecotoxicity USEtox (PAF m3 day), 40 = Human toxicity USEtox cancer (cases), 41 = Human toxicity USEtox noncancer (cases), 42 = Human toxicity USEtox (cases). (MJ = megajoule, eq = equivalent, GWP = Global warming potential, GLO = Global, CH = Switzerland, aq = aquatic, FWater = Freshwater, PAF m3 day = potentially affected fraction of species integrated over time and volume).
Agronomy 11 01862 g0a1
Figure A2. Correlation coefficients environmental impact indicators (all shown coefficients have p-values < 0.05).
Figure A2. Correlation coefficients environmental impact indicators (all shown coefficients have p-values < 0.05).
Agronomy 11 01862 g0a2
Figure A3. Variance in environmental efficiency estimate vs. product group size (measured as output). Smaller product groups show larger variance in estimates. (PAF m3 day = potentially affected fraction of species integrated over time and volume, eq = equivalent, MJ = megajoule).
Figure A3. Variance in environmental efficiency estimate vs. product group size (measured as output). Smaller product groups show larger variance in estimates. (PAF m3 day = potentially affected fraction of species integrated over time and volume, eq = equivalent, MJ = megajoule).
Agronomy 11 01862 g0a3
Figure A4. Variance in environmental efficiency estimate vs. product group size (measured as working hours). Smaller product groups show larger variance in estimates. (PAF m3 day = potentially affected fraction of species integrated over time and volume, eq = equivalent, MJ = megajoul.
Figure A4. Variance in environmental efficiency estimate vs. product group size (measured as working hours). Smaller product groups show larger variance in estimates. (PAF m3 day = potentially affected fraction of species integrated over time and volume, eq = equivalent, MJ = megajoul.
Agronomy 11 01862 g0a4
Table A3. Amount of product groups by farming system (LW = live weight, DM = dry matter, PEP = Proof of Ecological Performance). Groups with N in parenthesis were not used in the analysis.
Table A3. Amount of product groups by farming system (LW = live weight, DM = dry matter, PEP = Proof of Ecological Performance). Groups with N in parenthesis were not used in the analysis.
OrganicPEP
Product GroupUnitNTotalMeanMedianSDNTotalMeanMedianSD
MilkKg343,670,000108,00099,10039,70011915,000,000126,000111,00072,900
CattleKg LW31175,0005650524019601121,500,00013,400711021,600
Pig fatteningKg LW478,10019,50023,50011,70027893,00033,10020,20036,200
CerealsKg DM12225,00018,80015,20011,500853,170,00037,30031,60022,600
BeetsKg DM 19826,00043,50045,40020,000
PotatoesKg DM418,90047201170739025419,00016,700834018,500
VegetablesKg DM659,80099609010744021295,00014,000970015,800
FruitsKg DM455301380137035832111,000347015704840
Table A4. Human digestible energy content of product groups. DM = Dry Matter, LW = Live Weight.
Table A4. Human digestible energy content of product groups. DM = Dry Matter, LW = Live Weight.
Product GroupUnitsEnergy Content
Milk(MJ/kg)2.8
Fruits(MJ/kg DM)13.4
Cereals(MJ/kg DM)7.3
Cattle(MJ/kg LW)6.1
Pig fattening(MJ/kg LW)14.7
Vegetables(MJ/kg DM)16.5
Beets(MJ/kg DM)12.5
Potatoes(MJ/kg DM)10.5
Figure A5. Environmental impacts per produced amount (kg) for the different product groups and farming systems. Shown are mean values and 95% confidence interval.
Figure A5. Environmental impacts per produced amount (kg) for the different product groups and farming systems. Shown are mean values and 95% confidence interval.
Agronomy 11 01862 g0a5
In order to compare the environmental efficiency of different product groups, we have to define a common functional unit that allows for the comparison of the different products. Here we used the nutritional criteria “human digestible energy content in mega joules [MJ]” (Appendix A, Table A4 for conversion factors) as outputs. Accordingly, the resulting environmental efficiency relates the amount of human digestible energy to the environmental impacts. As shown in Appendix A, Figure A6, the different product groups differed up to an order of magnitude in their environmental efficiency. We found the lowest average environmental efficiency for the animal product groups, followed by Vegetables and Fruits, Potatoes, Beets, and Cereals. With regard to the low environmental efficiency of the product group Vegetables and Fruits, we have to consider that the chosen functional unit of energy does probably not reflect the main function of these product groups.
Figure A6. “Environmental efficiency”: Observations, product group means and standard errors and ANOVA results. Significant differences in mean values between product groups are marked with distinct letters.
Figure A6. “Environmental efficiency”: Observations, product group means and standard errors and ANOVA results. Significant differences in mean values between product groups are marked with distinct letters.
Agronomy 11 01862 g0a6
Figure A7. For each subplot, the impact described in the column title was omitted. The values on the x-axis are the original environmental efficiency scores, the value on the y-axis are the scores without the impact.
Figure A7. For each subplot, the impact described in the column title was omitted. The values on the x-axis are the original environmental efficiency scores, the value on the y-axis are the scores without the impact.
Agronomy 11 01862 g0a7
As shown in Appendix A, Figure A7, all impacts contribute to the environmental efficiency score, albeit not all with the same strength. Notably “IPCC GWP 100a” has only an effect on the environmental efficiency score of Milk. In order to qualify the effect of a single (omitted) impact on the environmental efficiency scores, a “leave one out” analysis was conducted. The environmental efficiency was calculated with N = one, two, three, etc. impacts omitted. Each time all possible combinations of (9–N) impacts were used to calculate the environmental efficiency and a mean was recorded. As shown in Appendix A, Figure A8, the number of used impacts has an effect on the environmental efficiency score.
Figure A8. Environmental efficiency without N impacts. For each subplot, only N impacts were used. The values on the x-axis are the original environmental efficiency scores, the value on the y-axis are the scores calculated using only a subset of N impacts.
Figure A8. Environmental efficiency without N impacts. For each subplot, only N impacts were used. The values on the x-axis are the original environmental efficiency scores, the value on the y-axis are the scores calculated using only a subset of N impacts.
Agronomy 11 01862 g0a8
Table A5. Summary environmental efficiency scores (−).
Table A5. Summary environmental efficiency scores (−).
Product GroupNMeanMedianSDSkew
Milk1530.6530.6540.154−0.623
Cattle1430.5530.5510.207−0.134
Pig fattening310.7320.7530.096−0.437
Cereals970.4660.4610.160.487
Beets190.8070.8150.098−0.388
Potatoes290.7010.7670.195−0.655
Vegetables270.2650.2380.1581.1
Fruits360.3720.3540.2450.0738
Figure A9. Post-hoc test variance analysis: Product groups vs. environmental efficiency. Shown are the 95% confidence levels for between product group differences in mean environmental efficiency scores. The abbreviations indicate contrasting product groups: Ve = Vegetables, Pi = Pig Fattening, Mi = Milk, Fr = Fruits, Ce = Cereals, Be = Beets, Po = Potatoes, Ca = Cattle.
Figure A9. Post-hoc test variance analysis: Product groups vs. environmental efficiency. Shown are the 95% confidence levels for between product group differences in mean environmental efficiency scores. The abbreviations indicate contrasting product groups: Ve = Vegetables, Pi = Pig Fattening, Mi = Milk, Fr = Fruits, Ce = Cereals, Be = Beets, Po = Potatoes, Ca = Cattle.
Agronomy 11 01862 g0a9
Table A6. Summary one-way ANOVA environmental efficiency. The group column indicates significant differences. (i.e., the same letter indicates non–significant differences in variance, see also Appendix A, Figure A10).
Table A6. Summary one-way ANOVA environmental efficiency. The group column indicates significant differences. (i.e., the same letter indicates non–significant differences in variance, see also Appendix A, Figure A10).
Product GroupMean Environmental EfficiencyGroup
Milk0.653b
Cattle0.553c
Pig fattening0.732ab
Cereals0.466d
Beets0.807a
Potatoes0.701ab
Vegetables0.265e
Fruits0.372de
Figure A10. ANOVA Product Groups vs. environmental efficiency. The grey dots mark observations. Black dots mark mean value, error bars mark standard error. Different letters indicate a difference of means is significant at the 5% level.
Figure A10. ANOVA Product Groups vs. environmental efficiency. The grey dots mark observations. Black dots mark mean value, error bars mark standard error. Different letters indicate a difference of means is significant at the 5% level.
Agronomy 11 01862 g0a10
Table A7. Summary environmental efficiency scores grouped by production-region.
Table A7. Summary environmental efficiency scores grouped by production-region.
Production RegionProduct GroupNMeanMedianSD
ValleyMilk780.6940.6930.122
HillMilk420.6820.6760.118
MountainMilk330.5220.510.191
ValleyCattle640.620.630.194
HillCattle400.5750.590.213
MountainCattle390.4180.4140.155
ValleyPig fattening200.7440.7630.0842
HillPig fattening110.7110.6760.116
ValleyCereals760.4470.4340.146
HillCereals210.5380.50.19
ValleyBeets190.8070.8150.098
ValleyPotatoes140.7250.8230.189
HillPotatoes150.6780.7280.204
ValleyVegetables240.2260.2050.11
HillVegetables30.5780.6150.151
ValleyFruits220.4040.4040.247
HillFruits120.350.3570.249
MountainFruits20.1390.1390.0135
Table A8. Summary two-way ANOVA environmental efficiency. The group column indicates significant differences (i.e., the same letter indicates non–significant differences in variance).
Table A8. Summary two-way ANOVA environmental efficiency. The group column indicates significant differences (i.e., the same letter indicates non–significant differences in variance).
ContrastNScoreSDMinMaxQ25Q50Q75Group
Milk:Valley780.6940.1220.3590.9130.60.6930.801abcd
Milk:Hill420.6820.1180.4330.8950.6170.6760.761abcd
Milk:Mountain330.5220.1910.210.880.4010.510.622de
Cattle:Valley640.620.1940.1530.910.520.630.776bcd
Cattle:Hill400.5750.2130.07670.8850.4420.590.752cde
Cattle:Mountain390.4180.1550.1590.8410.3090.4140.543e
Pig fattening:Valley200.7440.08420.5950.8760.7240.7630.803ab
Pig fattening:Hill110.7110.1160.5750.8390.6070.6760.828abcd
Cereals:Valley760.4470.1460.2050.8240.3240.4340.533e
Cereals:Hill210.5380.190.1690.850.4540.50.655cde
Beets:Valley190.8070.0980.5980.9470.7230.8150.893a
Potatoes:Valley140.7250.1890.3630.9180.6950.8230.838abc
Potatoes:Hill150.6780.2040.3360.9550.5140.7280.854abcd
Vegetables:Valley240.2260.110.05270.4580.1440.2050.321e
Vegetables:Hill30.5780.1510.4120.7070.5140.6150.661bcde
Fruits:Valley220.4040.2470.01070.7590.2390.4040.587e
Fruits:Hill120.350.2490.04280.6970.1430.3570.556e
Fruits:Mountain20.1390.01350.1290.1480.1340.1390.144e
Table A9. Summary environmental efficiency scores proof of ecological performance (PEP) and Organic farming. The column “p.val” shows the p-value from an ANOVA.
Table A9. Summary environmental efficiency scores proof of ecological performance (PEP) and Organic farming. The column “p.val” shows the p-value from an ANOVA.
Product GroupFarming SystemNMeanMedianSdp.Val
MilkOrganic340.6860.7250.1490.159
MilkPEP1190.6440.6510.1550.159
CattleOrganic310.5710.5510.20.578
CattlePEP1120.5470.5520.2090.578
CerealsOrganic120.3950.370.1640.825
CerealsPEP850.4760.4660.1580.825
PotatoesOrganic40.7210.7590.1510.102
PotatoesPEP250.6980.7670.2030.102
VegetablesOrganic60.2810.2590.20.787
VegetablesPEP210.2610.2380.150.787
Figure A11. Environmental efficiency for farms with multiple product groups (mixed farms). Farms, where multiple product groups are larger than 33% of the average product group size (see Appendix A), were considered as ‘mixed’ or ‘specialized’ farms. Shown are only farms, which have the three product groups “Milk”, “Cattle breeding”, “Cereals” simultaneously (N = 20). The x-axis shows the size of the product group in Livestock units for animal product groups and hectares for crops. The grey area around the regression line marks the 95% confidence interval. Additionally, the regression coefficient (R) and its p-value (p) are shown.
Figure A11. Environmental efficiency for farms with multiple product groups (mixed farms). Farms, where multiple product groups are larger than 33% of the average product group size (see Appendix A), were considered as ‘mixed’ or ‘specialized’ farms. Shown are only farms, which have the three product groups “Milk”, “Cattle breeding”, “Cereals” simultaneously (N = 20). The x-axis shows the size of the product group in Livestock units for animal product groups and hectares for crops. The grey area around the regression line marks the 95% confidence interval. Additionally, the regression coefficient (R) and its p-value (p) are shown.
Agronomy 11 01862 g0a11
Figure A12. Environmental efficiency for farms with only one (dominant) product group. Farms with all other product groups smaller than 33% of the average product group size (see Appendix A) were considered as ‘non-mixed’ or ‘specialized’ farms. The x-axis shows the size of the product group in Livestock units for animal product groups and hectares for crops. The grey area around the regression line marks the 95% confidence interval. Additionally, the regression coefficient (R) and its p-value (p) are shown.
Figure A12. Environmental efficiency for farms with only one (dominant) product group. Farms with all other product groups smaller than 33% of the average product group size (see Appendix A) were considered as ‘non-mixed’ or ‘specialized’ farms. The x-axis shows the size of the product group in Livestock units for animal product groups and hectares for crops. The grey area around the regression line marks the 95% confidence interval. Additionally, the regression coefficient (R) and its p-value (p) are shown.
Agronomy 11 01862 g0a12
Table A10. Correlation coefficients (p-value) for mixed farms product group environmental efficiency.
Table A10. Correlation coefficients (p-value) for mixed farms product group environmental efficiency.
CattleMilkCereals
Cattle1 (0)0.545 (0.013)0.124 (0.601)
Milk0.545 (0.013)1 (0)−0.247 (0.295)
Cereals0.124 (0.601)−0.247 (0.295)1 (0)

References

  1. Huppes, G.; Ishikawa, M. Eco-efficiency and Its Terminology. J. Ind. Ecol. 2005, 9, 43–46. [Google Scholar] [CrossRef]
  2. Vida, E.; Tedesco, D.E.A. The carbon footprint of integrated milk production and renewable energy systems—A case study. Sci. Total Environ. 2017, 609, 1286–1294. [Google Scholar] [CrossRef]
  3. Virtanen, Y.; Kurppa, S.; Saarinen, M.; Katajajuuri, J.-M.; Usva, K.; Mäenpää, I.; Mäkelä, J.; Grönroos, J.; Nissinen, A. Carbon footprint of food—Approaches from national input–output statistics and a LCA of a food portion. J. Clean. Prod. 2011, 19, 1849–1856. [Google Scholar] [CrossRef]
  4. Pelletier, N.; Tyedmers, P. Forecasting potential global environmental costs of livestock production 2000–2050. Proc. Natl. Acad. Sci. USA 2010, 107, 18371–18374. [Google Scholar] [CrossRef] [PubMed] [Green Version]
  5. Tscharntke, T.; Klein, A.M.; Kruess, A.; Steffan-Dewenter, I.; Thies, C. Landscape perspectives on agricultural intensification and biodiversity—Ecosystem service management. Ecol. Lett. 2005, 8, 857–874. [Google Scholar] [CrossRef]
  6. Koudijs, E.; Dutilh, C.E. Aquatic ecotoxicity for common crop protection aids. Int. J. Life Cycle Assess. 1998, 3, 200–202. [Google Scholar] [CrossRef]
  7. Stoessel, F.; Juraske, R.; Pfister, S.; Hellweg, S. Life Cycle Inventory and Carbon and Water FoodPrint of Fruits and Vegetables: Application to a Swiss Retailer. Environ. Sci. Technol. 2012, 46, 3253–3262. [Google Scholar] [CrossRef] [PubMed]
  8. Ridoutt, B.G.; Pfister, S. A revised approach to water footprinting to make transparent the impacts of consumption and production on global freshwater scarcity. Glob. Environ. Chang. 2010, 20, 113–120. [Google Scholar] [CrossRef]
  9. Pfister, S.; Bayer, P.; Koehler, A.; Hellweg, S. Environmental Impacts of Water Use in Global Crop Production: Hotspots and Trade-Offs with Land Use. Environ. Sci. Technol. 2011, 45, 5761–5768. [Google Scholar] [CrossRef]
  10. Poore, J.; Nemecek, T. Reducing food’s environmental impacts through producers and consumers. Science 2018, 360, 987–992. [Google Scholar] [CrossRef] [PubMed] [Green Version]
  11. Tilman, D.; Balzer, C.; Hill, J.; Befort, B.L. Global food demand and the sustainable intensification of agriculture. Proc. Natl. Acad. Sci. USA 2011, 108, 20260–20264. [Google Scholar] [CrossRef] [Green Version]
  12. Repar, N. On the Interplay of Local versus Global Environmental and Economic Performance of Swiss Alpine Dairy Farms; Kommunikations-, Informations- und Medienzentrum der Universität Hohenheim: Hohenheim, Germany, 2018. [Google Scholar]
  13. Repar, N.; Jan, P.; Nemecek, T.; Dux, D.; Alig Ceesay, M.; Doluschitz, R. Local versus Global Environmental Performance of Dairying and Their Link to Economic Performance: A Case Study of Swiss Mountain Farms. Sustainability 2016, 8, 1294. [Google Scholar] [CrossRef] [Green Version]
  14. Notarnicola, B.; Tassielli, G.; Renzulli, P.A.; Castellani, V.; Sala, S. Environmental impacts of food consumption in Europe. J. Clean. Prod. 2017, 140, 753–765. [Google Scholar] [CrossRef]
  15. Audsley, E.; Alber, S.; Clift, R.; Cowell, S.; Crettaz, P.; Gaillard, G.; Hausheer, J.; Jolliet, O.; Kleijn, R.; Mortensen, B. Harmonisation of Environmental Life Cycle Assessment for Agriculture; Final Report, Concerted Action AIR3-CT94-2028; European Commission, DG VI Agriculture: Brussels, Belgium, 1997; p. 139. [Google Scholar]
  16. Andersson, K. LCA of food products and production systems. Int. J. Life Cycle Assess. 2000, 5, 239. [Google Scholar] [CrossRef]
  17. Roy, P.; Nei, D.; Orikasa, T.; Xu, Q.; Okadome, H.; Nakamura, N.; Shiina, T. A review of life cycle assessment (LCA) on some food products. J. Food Eng. 2009, 90, 1–10. [Google Scholar] [CrossRef]
  18. Hallström, E.; Carlsson-Kanyama, A.; Börjesson, P. Environmental impact of dietary change: A systematic review. J. Clean. Prod. 2015, 91, 1–11. [Google Scholar] [CrossRef]
  19. Keating, B.A.; McCown, R.L. Advances in farming systems analysis and intervention. Agric. Syst. 2001, 70, 555–579. [Google Scholar] [CrossRef]
  20. Vázquez-Rowe, I.; Villanueva-Rey, P.; Iribarren, D.; Teresa Moreira, M.; Feijoo, G. Joint life cycle assessment and data envelopment analysis of grape production for vinification in the Rías Baixas appellation (NW Spain). J. Clean. Prod. 2012, 27, 92–102. [Google Scholar] [CrossRef]
  21. Rybaczewska-Błażejowska, M.; Masternak-Janus, A. Eco-efficiency assessment of Polish regions: Joint application of life cycle assessment and data envelopment analysis. J. Clean. Prod. 2018, 172, 1180–1192. [Google Scholar] [CrossRef]
  22. Guggenberger, T.; Herndl, M. Kombination von Betriebskennzahlen und Umweltinformationen Als Basis zur Beratung für Eine Standortangepasste und Umweltverträgliche Landbewirtschaftung; VDLUFA Kongressband: Freising, Germany, 2017; p. 6. [Google Scholar]
  23. Hersener, J.-L.; Baumgartner, D.; Dux, D.; Aeschbacher, U.; Alig, M.; Blaser, S.; Gaillard, G.; Glodé, M.; Jan, P.; Jenni, M.; et al. Zentrale Auswertung Von Ökobilanzen Landwirtschaftlicher Betriebe (ZA-ÖB): Schlussbericht; Agroscope Reckenholzstrasse 191 8046 Zürich: Zürich, Switzerland, 2011. [Google Scholar]
  24. Dekker, E.; Zijp, M.C.; van de Kamp, M.E.; Temme, E.H.M.; van Zelm, R. A taste of the new ReCiPe for life cycle assessment: Consequences of the updated impact assessment method on food product LCAs. Int. J. Life Cycle Assess. 2020, 25, 2315–2324. [Google Scholar] [CrossRef] [Green Version]
  25. Bare, J.C.; Hofstetter, P.; Pennington, D.W.; de Haes, H.A.U. Midpoints versus endpoints: The sacrifices and benefits. Int. J. Life Cycle Assess. 2000, 5, 319. [Google Scholar] [CrossRef] [Green Version]
  26. Kuosmanen, T.; Kortelainen, M. Measuring Eco-efficiency of Production with Data Envelopment Analysis. J. Ind. Ecol. 2005, 9, 59–72. [Google Scholar] [CrossRef]
  27. Banker, R.D.; Charnes, A.; Cooper, W.W. Some Models for Estimating Technical and Scale Inefficiencies in Data Envelopment Analysis. Manag. Sci. 1984, 30, 1078–1092. [Google Scholar] [CrossRef] [Green Version]
  28. International Standard Organization. ISO 14040: Environmental Management—Life Cycle Assessment—Principles and Framework; ISO: London, UK, 1997. [Google Scholar]
  29. International Standard Organization. ISO 14044: Environmental Management, Life Cycle Assessment, Requirements and Guidelines; ISO: London, UK, 2006. [Google Scholar]
  30. Wernet, G.; Bauer, C.; Steubing, B.; Reinhard, J.; Moreno-Ruiz, E.; Weidema, B. The ecoinvent database version 3 (part I): Overview and methodology. Int. J. Life Cycle Assess. 2016, 21, 1218–1230. [Google Scholar] [CrossRef]
  31. Nemecek, T.; Thoma, G. Allocation between milk and meat in dairy LCA: Critical discussion of the IDF’s standard methodology. In Proceedings of the 12th International Conference on Life Cycle Assessment of Food LCAFood2020, Berlin, Germany, 13–16 October 2020. [Google Scholar]
  32. Bystricky, M.; Nemecek, T.; Baumgartner, D.U.; Gaillard, G. Meilenstein zum Forschungsprojekt 100800—Einzelbetriebliche Ökobilanzierung Landwirtschaftlicher Betriebe in Österreich (FarmLife)—Bericht zur Anpassung der SALCA-Modelle für FarmLife; Agroscope: Zurich, Switzerland, 2014; p. 41. [Google Scholar]
  33. Nemecek, T.; Ledgard, S. Modelling farm and field emissions in LCA of farming systems: The case of dairy farming. In Proceedings of the 10th International Conference on Life Cycle Assessment of Food 2016, Dublin, Ireland, 19–21 October 2006; pp. 1135–1144. [Google Scholar]
  34. HAFL. Technische Parameter Modell Agrammon; Hochschule für Agrar-, Forst- und Lebensmittelwissenschaften: Zollikofen, Switzerland, 2013; p. 19. [Google Scholar]
  35. HAFL. Dokumentation Technische Parameter Modell Agrammon—Version 20.3.2013; Hochschule für Agrar-, Forst- und Lebensmittelwissenschaften: Zollikofen, Switzerland, 2013; p. 25. [Google Scholar]
  36. IPCC. 2006 IPCC Guidelines for National Greenhouse Gas Inventories; Agriculture, Forestry and Other Land Use; IGES: Kanagawa, Japan, 2006; Volume 4. [Google Scholar]
  37. Bystricky, M.; Nemecek, T.; Krause, S.; Gaillard, G. Potenzielle Umweltfolgen Einer Umsetzung der Trinkwasserinitiative; Agroscope, Institute for Sustainability Sciences: Reckenholz, Switzerland, 2020; p. 221. [Google Scholar]
  38. Kirchgessner, M.; Roth, F.X.; Windisch, W. Verminderung der Stickstoff- und Methanausscheidung von Schwein und Rind durch die Fütterung. Tierernährung 1993, 21, 89–120. [Google Scholar]
  39. Prasuhn, V. Erfassung der PO4-Austräge für die Ökobilanzierung—SALCA-Phosphor; Agroscope FAL Reckenholz: Zürich, Switzerland, 2006; p. 22. [Google Scholar]
  40. Freiermuth, R. Modell zur Berechnung der Schwermetallflüsse in der Landwirtschaftlichen Ökobilanz; Agroscope FAL Reckenholz: Zürich, Switzerland, 2006; p. 42. [Google Scholar]
  41. Gaillard, G.; Nemecek, T. Swiss Agricultural Life Cycle Assessment (SALCA): An integrated environmental assessment concept for agriculture. Integr. Assess. Agric. Sustain. Dev. 2009, 134–136. [Google Scholar]
  42. Dyson, R.G.; Allen, R.; Camanho, A.S.; Podinovski, V.V.; Sarrico, C.S.; Shale, E.A. Pitfalls and protocols in DEA. Eur. J. Oper. Res. 2001, 132, 245–259. [Google Scholar] [CrossRef]
  43. Nunamaker, T.R. Using data envelopment analysis to measure the efficiency of non-profit organizations: A critical evaluation. Manag. Decis. Econ. 1985, 6, 50–58. [Google Scholar] [CrossRef]
  44. PRé Sustainability. SimaPro Database Manual Methods Library, 9.0; PRé Sustainability: Amersfoort, The Netherlands, 2019. [Google Scholar]
  45. Fantke, P.; Jolliet, O. Life cycle human health impacts of 875 pesticides. Int. J. Life Cycle Assess. 2016, 21, 722–733. [Google Scholar] [CrossRef] [Green Version]
  46. Frischknecht, R.; Althaus, H.-J.; Bauer, C.; Doka, G.; Heck, T.; Jungbluth, N.; Kellenberger, D.; Nemecek, T. The Environmental Relevance of Capital Goods in Life Cycle Assessments of Products and Services. Int. J. Life Cycle Assess. 2007, 12. [Google Scholar] [CrossRef]
  47. Stocker, T.F.; Qin, D.; Plattner, G.-K.; Alexander, L.V.; Allen, S.K.; Bindoff, N.L.; Bréon, F.-M.; Church, J.A.; Cubasch, U.; Emori, S. Technical summary. In Climate Change 2013: The Physical Science Basis. Contribution of Working Group I to the Fifth Assessment Report of the Intergovernmental Panel on Climate Change; Cambridge University Press: Cambridge, UK, 2013; pp. 33–115. [Google Scholar]
  48. Goedkoop, M.; Heijungs, R.; Huijbregts, M.; Schryver, A.; Struijs, J.; Zelm, R. ReCiPE 2008: A life Cycle Impact Assessment Method which Comprises Harmonised Category Indicators at the Midpoint and the Endpoint Level; Ministerie van VROM: Den Haag, The Netherlands, 2008. [Google Scholar]
  49. Henderson, A.D.; Hauschild, M.Z.; van de Meent, D.; Huijbregts, M.A.J.; Larsen, H.F.; Margni, M.; McKone, T.E.; Payet, J.; Rosenbaum, R.K.; Jolliet, O. USEtox fate and ecotoxicity factors for comparative assessment of toxic emissions in life cycle analysis: Sensitivity to key chemical properties. Int. J. Life Cycle Assess. 2011, 16, 701. [Google Scholar] [CrossRef]
  50. Rosenbaum, R.K.; Huijbregts, M.A.J.; Henderson, A.D.; Margni, M.; McKone, T.E.; van de Meent, D.; Hauschild, M.Z.; Shaked, S.; Li, D.S.; Gold, L.S.; et al. USEtox human exposure and toxicity factors for comparative assessment of toxic emissions in life cycle analysis: Sensitivity to key chemical properties. Int. J. Life Cycle Assess. 2011, 16, 710. [Google Scholar] [CrossRef]
  51. Rosenbaum, R.K.; Anton, A.; Bengoa, X.; Bjørn, A.; Brain, R.; Bulle, C.; Cosme, N.; Dijkman, T.J.; Fantke, P.; Felix, M.; et al. The Glasgow consensus on the delineation between pesticide emission inventory and impact assessment for LCA. Int. J. Life Cycle Assess. 2015, 20, 765–776. [Google Scholar] [CrossRef] [Green Version]
  52. Hauschild, M.; Goedkoop, M.; Guinee, J.; Heijungs, R.; Huijbregts, M.; Olivier, J.; Margnit, M.; De Schryver, A. Recommendations for Life Cycle Impact Assessment in the European Context—Based on Existing Environmental Impact Assessment Models and Factors (International Reference Life Cycle Data System—ILCD Handbook); Publications Office of the European Union: Luxembourg, 2011. [Google Scholar]
  53. Posch, M.; Seppälä, J.; Hettelingh, J.P.; Johansson, M.; Margni, M.; Jolliet, O. The role of atmospheric dispersion models and ecosystem sensitivity in the determination of characterisation factors for acidifying and eutrophying emissions in LCIA. Int. J. Life Cycle Assess. 2008, 13, 477–486. [Google Scholar] [CrossRef]
  54. Seppälä, J.; Posch, M.; Johansson, M.; Hettelingh, J.P. Country-dependent characterisation factors for acidification and terrestrial eutrophication based on accumulated exceedance as an impact category indicator. Int. J. Life Cycle Assess. 2006, 11, 403–416. [Google Scholar] [CrossRef]
  55. Hauschild, M.Z.; Potting, J. Spatial Differentiation in Life Cycle Impact Assessment—The EDIP2003 Methodology; The Danish Ministry of the Environment, Environmental Protection Agency: Copenhagen, Denmark, 2005; p. 195. [Google Scholar]
  56. Charnes, A.; Cooper, W.W.; Rhodes, E. Measuring the efficiency of decision making units. Eur. J. Oper. Res. 1978, 2, 429–444. [Google Scholar] [CrossRef]
  57. Vásquez-Ibarra, L.; Rebolledo-Leiva, R.; Angulo-Meza, L.; González-Araya, M.C.; Iriarte, A. The joint use of life cycle assessment and data envelopment analysis methodologies for eco-efficiency assessment: A critical review, taxonomy and future research. Sci. Total Environ. 2020, 738, 139538. [Google Scholar] [CrossRef] [PubMed]
  58. Coll-Serrano, V.; Bolos, V.; Suarez, R.B. deaR: Conventional and Fuzzy Data Envelopment Analysis, R Package Version 1.2.1; School of Economics: Valencia, Spain, 2020. [Google Scholar]
  59. Mack, G.; Heitkämper, K.; Käufeler, B.; Möbius, S. Evaluation der Beiträge für Graslandbasierte Milch- und Fleischproduktion (GMF); Agroscope: Ettenhausen, Switzerland, 2017; Volume 54. [Google Scholar]
  60. Lynch, D.H.; MacRae, R.; Martin, R.C. The Carbon and Global Warming Potential Impacts of Organic Farming: Does It Have a Significant Role in an Energy Constrained World? Sustainability 2011, 3, 322–362. [Google Scholar] [CrossRef] [Green Version]
  61. Lee, K.S.; Choe, Y.C.; Park, S.H. Measuring the environmental effects of organic farming: A meta-analysis of structural variables in empirical research. J. Environ. Manag. 2015, 162, 263–274. [Google Scholar] [CrossRef] [Green Version]
  62. Tuomisto, H.L.; Hodge, I.D.; Riordan, P.; Macdonald, D.W. Does organic farming reduce environmental impacts?—A meta-analysis of European research. J. Environ. Manag. 2012, 112, 309–320. [Google Scholar] [CrossRef]
  63. Nemecek, T.; Dubois, D.; Huguenin-Elie, O.; Gaillard, G. Life cycle assessment of Swiss farming systems: I. Integrated and organic farming. Agric. Syst. 2011, 104, 217–232. [Google Scholar] [CrossRef]
  64. Cassman, K.G.; Dobermann, A.; Walters, D.T.; Yang, H. Meeting Cereal Demand While Protecting Natural Resources and Improving Environmental Quality. Annu. Rev. Environ. Resour. 2003, 28, 315–358. [Google Scholar] [CrossRef] [Green Version]
  65. Hsiao, T.C.; Steduto, P.; Fereres, E. A systematic and quantitative approach to improve water use efficiency in agriculture. Irrig. Sci. 2007, 25, 209–231. [Google Scholar] [CrossRef]
  66. Nemecek, T.; Huguenin-Elie, O.; Dubois, D.; Gaillard, G. Ökobilanzierung von Anbausystemen im schweizerischen Acker und Futterbau; Agroscope FAL Reckenholz, Eidgenössische Forschungsanstalt für Agrarökologie und Landbau: Reckenholz, Switzerland, 2005. [Google Scholar]
  67. Andersen, P.; Petersen, N.C. A Procedure for Ranking Efficient Units in Data Envelopment Analysis. Manag. Sci. 1993, 39, 1261–1264. [Google Scholar] [CrossRef]
Figure 1. Relative average impact per produced amount (kg dry matter or live weight for each product group. All values are averaged over all observations and normalized by the largest observed averaged value per impact (largest value = 100%). In order to better illustrate the differences between the two farming systems, the impact “Freshwater ecotoxicity USEtox potentially affected fraction of species (PAF) integrated over time and volume (PAF m3 day)” is split into ecotoxicity of organic and inorganic compounds. (GLO = Global, FWater = Freshwater, eq = equivalent).
Figure 1. Relative average impact per produced amount (kg dry matter or live weight for each product group. All values are averaged over all observations and normalized by the largest observed averaged value per impact (largest value = 100%). In order to better illustrate the differences between the two farming systems, the impact “Freshwater ecotoxicity USEtox potentially affected fraction of species (PAF) integrated over time and volume (PAF m3 day)” is split into ecotoxicity of organic and inorganic compounds. (GLO = Global, FWater = Freshwater, eq = equivalent).
Agronomy 11 01862 g001
Figure 2. Relative average impact per produced amount of human digestible energy (MJ) for each product group. All values are averaged over all observations and normalized by the largest observed averaged value per impact (largest value = 100%). In order to better illustrate the differences between the two farming systems, the impact “Fresh Water Eco-Toxicity USEtox (PAF m3 day)” is split into ecotoxicity of organic and inorganic compounds. (PAF m3 day = potentially affected fraction of species integrated over time and volume, GLO = Global, FWater = Freshwater, eq = equivalent).
Figure 2. Relative average impact per produced amount of human digestible energy (MJ) for each product group. All values are averaged over all observations and normalized by the largest observed averaged value per impact (largest value = 100%). In order to better illustrate the differences between the two farming systems, the impact “Fresh Water Eco-Toxicity USEtox (PAF m3 day)” is split into ecotoxicity of organic and inorganic compounds. (PAF m3 day = potentially affected fraction of species integrated over time and volume, GLO = Global, FWater = Freshwater, eq = equivalent).
Agronomy 11 01862 g002
Figure 3. Distribution of environmental efficiency for product groups. The dotted line marks the average environmental efficiency for each product group. The tick marks below the x-axis denote actual observations. The density is retrieved by calculating the kernel density estimate, i.e., by weighting the distances of all the data points at each value. The more points nearby, the higher the estimate. The probability of finding a value between a given interval is the area below the curve, confined by this interval.
Figure 3. Distribution of environmental efficiency for product groups. The dotted line marks the average environmental efficiency for each product group. The tick marks below the x-axis denote actual observations. The density is retrieved by calculating the kernel density estimate, i.e., by weighting the distances of all the data points at each value. The more points nearby, the higher the estimate. The probability of finding a value between a given interval is the area below the curve, confined by this interval.
Agronomy 11 01862 g003
Figure 4. Distribution of environmental efficiency for product groups: Comparison of PEP (proof of ecological performance) and organic farming systems. The dotted line marks the average environmental efficiency for the product group. The tick marks below the x-axis denote actual observations.
Figure 4. Distribution of environmental efficiency for product groups: Comparison of PEP (proof of ecological performance) and organic farming systems. The dotted line marks the average environmental efficiency for the product group. The tick marks below the x-axis denote actual observations.
Agronomy 11 01862 g004
Figure 5. Differences in effects of production region on environmental efficiency. The dotted line marks the average environmental efficiency for the product group–production region combination. The tick marks below the x-axis denote actual observations.
Figure 5. Differences in effects of production region on environmental efficiency. The dotted line marks the average environmental efficiency for the product group–production region combination. The tick marks below the x-axis denote actual observations.
Agronomy 11 01862 g005
Figure 6. Comparison of environmental efficiency under constant return to scale assumption vs. variable return to scale assumption. The environmental efficiency was calculated twice, with both, constant and variable return to scale assumption. The ratio of the environmental efficiency scores indicates in-efficiency due to too small or too large product group size. (Omitted values for Vegetables and Fruits and subgroups with less than five observations.)
Figure 6. Comparison of environmental efficiency under constant return to scale assumption vs. variable return to scale assumption. The environmental efficiency was calculated twice, with both, constant and variable return to scale assumption. The ratio of the environmental efficiency scores indicates in-efficiency due to too small or too large product group size. (Omitted values for Vegetables and Fruits and subgroups with less than five observations.)
Agronomy 11 01862 g006
Figure 7. Comparison of the number of product groups and environmental efficiency. Shown are mean values (bar height) and standard errors. Mean values with different letters (a, b) differ significantly.
Figure 7. Comparison of the number of product groups and environmental efficiency. Shown are mean values (bar height) and standard errors. Mean values with different letters (a, b) differ significantly.
Agronomy 11 01862 g007
Figure 8. Environmental efficiency for farms with multiple product groups. Only farms, which have the three product groups “Milk”, “Cattle”, “Cereals” simultaneously (N = 20) were considered as Mixed farms. The figure shows the relationship between environmental efficiencies for the three product groups if they appear simultaneously on the same farm. The x-axis shows the environmental efficiency values for Milk, the y-axis the values for Cattle, and the size the values for Cereals respectively. The environmental efficiency for the three product groups shows no significant correlation (see Appendix A, Table A10).
Figure 8. Environmental efficiency for farms with multiple product groups. Only farms, which have the three product groups “Milk”, “Cattle”, “Cereals” simultaneously (N = 20) were considered as Mixed farms. The figure shows the relationship between environmental efficiencies for the three product groups if they appear simultaneously on the same farm. The x-axis shows the environmental efficiency values for Milk, the y-axis the values for Cattle, and the size the values for Cereals respectively. The environmental efficiency for the three product groups shows no significant correlation (see Appendix A, Table A10).
Agronomy 11 01862 g008
Table 1. Used mid-point indicators in the impact assessment.
Table 1. Used mid-point indicators in the impact assessment.
DescriptionUnitMethod
Non-renewable fossil and nuclear energyMJ eqecoinvent
Land competitionm2 yearCML 2001
Deforestationm2SALCA (LCI calculation)
Total water usem3SALCA (LCI calculation)
Global warming potential 100akg CO2 eqIPCC
Acidificationcmol H+ eqGLO
EutrophicationPerson yearGLO
Freshwater ecotoxicity organic + inorganicPAF m3 dayUSEtox V2.11
Human toxicity cancer + non-cancercasesUSEtox V2.11, combined with Fantke and Jolliet [45]
Table 2. Number of observations for product groups and production regions. Counts in parenthesis mark subgroups with not enough observations for the analysis.
Table 2. Number of observations for product groups and production regions. Counts in parenthesis mark subgroups with not enough observations for the analysis.
Product GroupTotalValleyHillMountain
Milk153784233
Cattle143644039
Pig fattening312011
Cereals977621
Beets1919
Potatoes291415
Vegetables2724(3)
Fruits362212(2)
Table 3. Coefficient of variance of environmental efficiency for the product groups.
Table 3. Coefficient of variance of environmental efficiency for the product groups.
Product GroupOver allOrganicPEP
Milk0.240.220.24
Cattle0.370.350.38
Pig fattening0.130.110.13
Cereals0.340.410.33
Beets0.12 0.12
Potatoes0.280.210.29
Vegetables0.600.710.58
Fruits0.660.220.7
Table 4. Potential for improvement if below average environmental efficient farms achieve average environmental efficiency of above-average farms.
Table 4. Potential for improvement if below average environmental efficient farms achieve average environmental efficiency of above-average farms.
Product GroupMean Environmental Efficiency above Average FarmsMean Environmental Efficiency below Average FarmsDifference
Milk0.770.530.24
Cattle0.720.380.34
Pig fattening0.810.650.16
Cereals0.590.340.25
Beets0.890.720.16
Potatoes0.860.530.32
Vegetables0.380.140.24
Fruits0.590.160.43
Publisher’s Note: MDPI stays neutral with regard to jurisdictional claims in published maps and institutional affiliations.

Share and Cite

MDPI and ACS Style

Pedolin, D.; Six, J.; Nemecek, T. Assessing between and within Product Group Variance of Environmental Efficiency of Swiss Agriculture Using Life Cycle Assessment and Data Envelopment Analysis. Agronomy 2021, 11, 1862. https://doi.org/10.3390/agronomy11091862

AMA Style

Pedolin D, Six J, Nemecek T. Assessing between and within Product Group Variance of Environmental Efficiency of Swiss Agriculture Using Life Cycle Assessment and Data Envelopment Analysis. Agronomy. 2021; 11(9):1862. https://doi.org/10.3390/agronomy11091862

Chicago/Turabian Style

Pedolin, Dario, Johan Six, and Thomas Nemecek. 2021. "Assessing between and within Product Group Variance of Environmental Efficiency of Swiss Agriculture Using Life Cycle Assessment and Data Envelopment Analysis" Agronomy 11, no. 9: 1862. https://doi.org/10.3390/agronomy11091862

APA Style

Pedolin, D., Six, J., & Nemecek, T. (2021). Assessing between and within Product Group Variance of Environmental Efficiency of Swiss Agriculture Using Life Cycle Assessment and Data Envelopment Analysis. Agronomy, 11(9), 1862. https://doi.org/10.3390/agronomy11091862

Note that from the first issue of 2016, this journal uses article numbers instead of page numbers. See further details here.

Article Metrics

Back to TopTop