The Impact of Global Warming on the Winter Wheat Production of China
Abstract
:1. Introduction
2. Materials and Methods
2.1. Collection of Crop and Weather Data
2.2. Calculation of GDD and HDD between Wheat Growth Stages
2.3. Data Analysis
3. Results and Discussion
3.1. Trends of Temperature during Growth Periods
3.2. Variations of GDD during Growth Periods
3.3. Variations of Growth Period
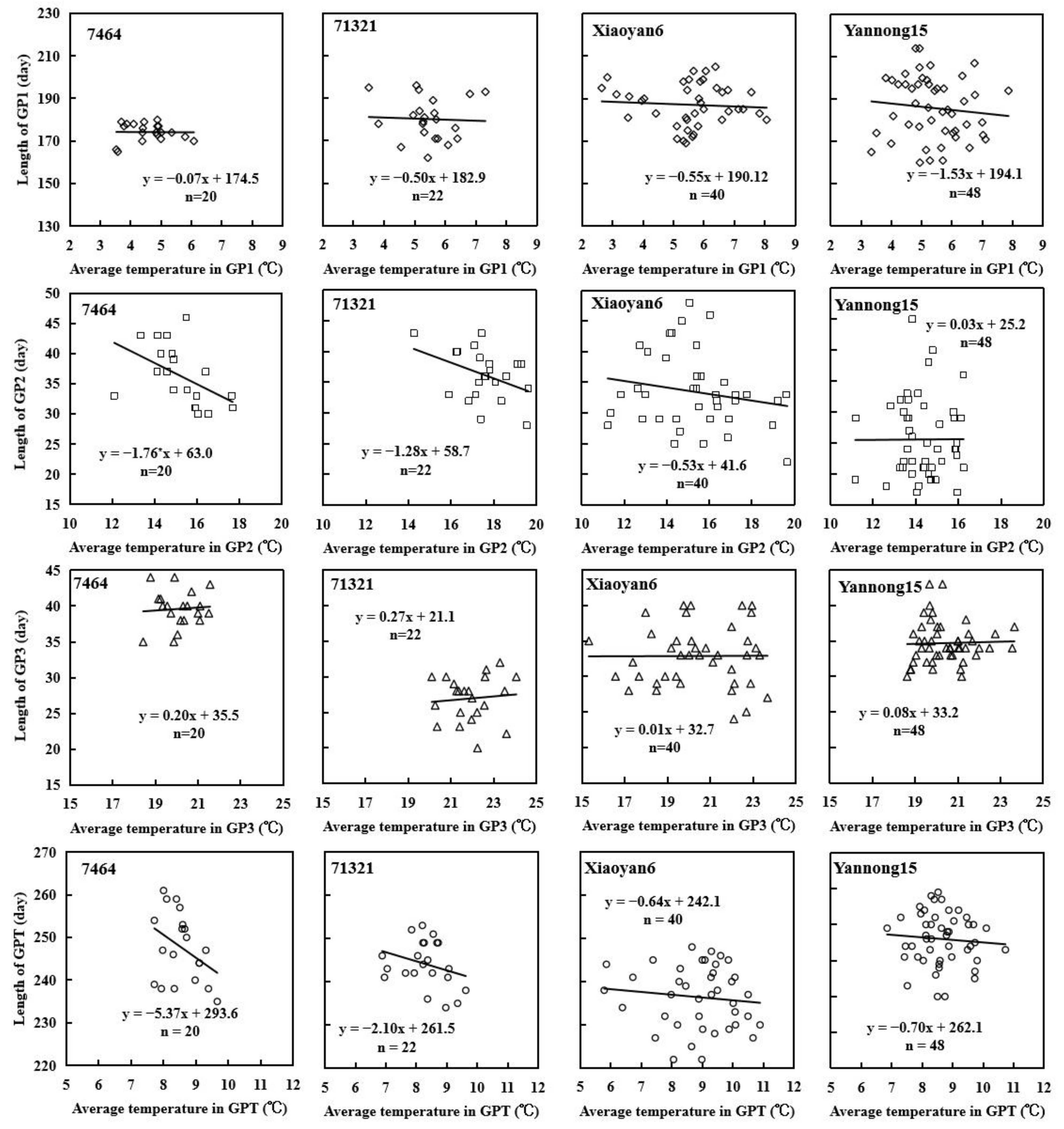
3.4. Relationships between Average Temperature and Growth Durations
3.5. Relationships between Average Temperature and HDD and Yield Components and Grain Yield
4. Conclusions
Author Contributions
Funding
Institutional Review Board Statement
Informed Consent Statement
Data Availability Statement
Conflicts of Interest
References
- Godfray, H.C.; Beddington, J.R.; Crute, I.R.; Haddad, L.; Lawrence, D.; Muir, J.F.; Pretty, J.; Robinson, S.; Thomas, S.M.; Toulmin, C. Food security: The challenge of feeding 9 billion people. Science 2010, 327, 812–818. [Google Scholar] [CrossRef] [Green Version]
- Tilman, D.; Balzer, C.; Hill, J.; Befort, B.L. Global food demand and the sustainable intensification of agriculture. Proc. Natl. Acad. Sci. USA 2011, 108, 20260–20264. [Google Scholar] [CrossRef] [Green Version]
- Rosegrant, M.W.; Ringler, C.; Zhu, T.J. Water for agriculture: Maintaining food security under grow-ing scarcity. Ann. Rev. Environ. Resour. 2009, 34, 205–222. [Google Scholar] [CrossRef]
- Asseng, S.; Foster, I.A.N.; Turner, N.C. The impact of temperature variability on wheat yields. Glob. Chang. Biol. 2011, 17, 997–1012. [Google Scholar] [CrossRef]
- FAOSTAT. Food and agriculture organisation of the United Nations. In FAOSTAT Database; FAOSTAT: Rome, Italy, 2019; Available online: http://www.fao.org/faostat/en/#data/QC (accessed on 9 September 2021).
- Gouis, J.L.; Oury, F.X.; Charmet, G. How changes in climate and agricultural practices in-fluenced wheat production in Western Europe. J. Cereal Sci. 2020, 93, 102960. [Google Scholar] [CrossRef]
- Chen, Y.; Zhang, Z.; Tao, F.L.; Wang, P.; Wei, X. Spatio-temppral patterns of winter wheat yield potential and yield gap during the past three decades in North China. Field Crops Res. 2017, 206, 11–20. [Google Scholar] [CrossRef]
- Wiesmeier, M.; Hubner, R.; Kogel-Knabner, I. Stagnating crop yields: An overlooked risk for the carbon balance of agricultural soils? Sci. Total Environ. 2015, 536, 1045–1051. [Google Scholar] [CrossRef] [PubMed]
- Cassman, K.G.; Grassini, P. A global perspective on sustainable intensification research. Nat. Sustain. 2020, 3, 262–268. [Google Scholar] [CrossRef] [Green Version]
- Jaiswal, S.; Sheoran, S.; Arora, V.; Angadi, U.B.; Iquebal, M.A.; Raghav, N.; Aneja, B.; Kumar, D.; Singh, R.; Sharma, P.; et al. Putative microsatellite DNA marker-based wheat genomic resource for varietal improvement and management. Front. Plant Sci. 2017, 8, 2009. [Google Scholar] [CrossRef] [PubMed] [Green Version]
- Tilman, D.; Cassman, K.G.; Matson, P.A.; Naylor, R.; Polasky, S. Agricultural sustainability and intensive production practices. Nature 2002, 418, 671–677. [Google Scholar] [CrossRef]
- Peng, S.; Huang, J.; Sheehy, J.E.; Laza, R.C.; Visperas, R.M.; Zhong, X.; Centeno, G.S.; Khush, G.S.; Cassman, K.G. Rice yields decline with higher night temperature from global warming. Proc. Natl. Acad. Sci. USA 2004, 101, 9971–9975. [Google Scholar] [CrossRef] [Green Version]
- Grassini, P.; Cassman, K.G. High-yield maize with large net energy yield and small global warming intensity. Proc. Natl. Acad. Sci. USA 2012, 109, 1074–1079. [Google Scholar] [CrossRef] [PubMed] [Green Version]
- Sacks, W.J.; Kucharik, C.J. Crop management and phenology trends in the U.S. Corn Belt: Impacts on yields, evapotranspiration and energy balance. Agric. For. Meteorol. 2011, 151, 882–894. [Google Scholar] [CrossRef]
- Bastidas, A.M.; Setiyono, T.D.; Dobermann, A.; Cassman, K.G.; Elmore, R.W.; Graef, G.L.; Specht, J.E. Soybean sowing date: The vegetative, reproductive, and agronomic impacts all rights reserved. Crop Sci. 2008, 48, 727–740. [Google Scholar] [CrossRef] [Green Version]
- Long, S.P.; Ainsworth, E.A.; Leakey, A.D.B.; Nösberger, J.; Ort, D.R. Food for thought: Lower-than-expected crop yield stimulation with rising CO2 concentrations. Science 2006, 312, 1918–1921. [Google Scholar] [CrossRef] [PubMed]
- Feng, Z.; Kobayashi, K. Assessing the impacts of current and future concentrations of surface ozone on crop yield with meta-analysis. Atmos. Environ. 2009, 43, 1510–1519. [Google Scholar] [CrossRef]
- Battisti, D.S.; Naylor, R.L. Historical warnings of future food insecurity with unprecedented seasonal heat. Science 2009, 323, 240–244. [Google Scholar] [CrossRef] [Green Version]
- Lobell, D.B.; Schlenker, W.; Costa-Roberts, J. Climate trends and global crop production since 1980. Science 2011, 333, 616–620. [Google Scholar] [CrossRef] [Green Version]
- Planton, S.; Déqué, M.; Chauvin, F.; Terray, L. Expected impacts of climate change on extreme climate events. Comptes Rendus Geosci. 2008, 340, 564–574. [Google Scholar] [CrossRef]
- Liu, B.; Liu, L.; Tian, L.; Cao, W.; Zhu, Y.; Asseng, S. Post-heading heat stress and yield impact in winter wheat of China. Glob. Chang. Biol. 2014, 20, 372–381. [Google Scholar] [CrossRef]
- Liu, L.; Ma, J.; Tian, L.; Wang, S.; Tang, L.; Cao, W.; Zhu, Y. Effects of postanthesis high temperature on grain quality formation for wheat. Agron. J. 2017, 109, 1970–1980. [Google Scholar] [CrossRef]
- Piao, S.; Ciais, P.; Huang, Y.; Shen, Z.; Peng, S.; Li, J.; Zhou, L.; Liu, H.; Ma, Y.; Ding, Y.; et al. The impacts of climate change on water resources and agriculture in China. Nature 2010, 467, 43–51. [Google Scholar] [CrossRef]
- Nelson, G.C.; Valin, H.; Sands, R.D.; Havlík, P.; Ahammad, H.; Deryng, D.; Elliott, J.; Fujimori, S.; Hasegawa, T.; Heyhoe, E.; et al. Climate change effects on agriculture: Economic responses to biophysical shocks. Proc. Natl. Acad. Sci. USA 2014, 111, 3274–3279. [Google Scholar] [CrossRef] [PubMed] [Green Version]
- Rosenzweig, C.; Elliott, J.; Deryng, D.; Ruane, A.C.; Müller, C.; Arneth, A.; Boote, K.J.; Folberth, C.; Glotter, M.; Khabarov, N.; et al. Assessing agricultural risks of climate change in the 21st century in a global gridded crop model intercomparison. Proc. Natl. Acad. Sci. USA 2014, 111, 3268–3273. [Google Scholar] [CrossRef] [PubMed] [Green Version]
- Liu, B.; Liu, L.L.; Asseng, S.; Zhang, D.; Ma, W.; Tang, L.; Cao, W.; Zhu, Y. Modelling the effects of post-heading heat stress on biomass partitioning, and grain number and weight of wheat. J. Exp. Bot. 2020, 71, 6015–6031. [Google Scholar] [CrossRef] [PubMed]
- Menzel, A.; Sparks, T.H.; Estrella, N.; Koch, E.; Aasa, A.; Ahas, R.; Alm-Kübler, K.; Bissolli, P.; Braslavská, O.G.; Briede, A.; et al. European phenological response to climate change matches the warming pattern. Glob. Chang. Biol. 2006, 12, 1969–1976. [Google Scholar] [CrossRef]
- Liu, Y.; Wang, E.; Yang, X.; Wang, J. Contributions of climatic and crop varietal changes to crop production in the North China Plain, since 1980’s. Glob. Chang. Biol. 2010, 16, 2287–2299. [Google Scholar] [CrossRef]
- Liu, L.; Wang, E.; Zhu, Y.; Tang, L. Contrasting effects of warming and autonomous breeding on single-rice productivity in China. Agric. Ecosyst. Environ. 2012, 149, 20–29. [Google Scholar] [CrossRef]
- Ceglar, A.; Van der Wijngaart, R.; De Wit, A.; Lecerf, R.; Boogaard, H.; Seguini, L.; Van den Berg, M.; Toreti, A.; Zampieri, M.; Fumagalli, D. Improving WOFOST model to simulate winter wheat phenology in Europe: Evaluation and effects on yield. Agric. Syst. 2019, 168, 168–180. [Google Scholar] [CrossRef]
- Asseng, S.; Ewert, F.; Rosenzweig, C.; Jones, J.W.; Hatfield, J.L.; Ruane, A.C.; Boote, K.J.; Thorburn, P.J.; Rotter, R.P.; Cammarano, D.; et al. Uncertainty in simulating wheat yields under climate change. Nat. Clim. Chang. 2013, 3, 827–832. [Google Scholar] [CrossRef] [Green Version]
- Liu, Z.; Hubbard, K.G.; Lin, X.; Yang, X. Negative effects of climate warming on maize yield are reversed by the changing of sowing date and cultivar selection in Northeast China. Glob. Chang. Biol. 2013, 19, 3481–3492. [Google Scholar] [CrossRef] [PubMed]
- Asseng, S.; Ewert, F.; Martre, P.; Rotter, R.P.; Lobell, D.B.; Cammarano, D.; Kimball, B.A.; Ottman, M.J.; Wall, G.W.; White, J.W.; et al. Rising temperatures reduce global wheat production. Nat. Clim. Chang. 2015, 5, 143–147. [Google Scholar] [CrossRef]
- Shaykewich, C.F. An appraisal of cereal crop phenology modelling. Can. J. Plant Sci. 1995, 75, 329–341. [Google Scholar] [CrossRef] [Green Version]
- Cao, W.; Moss, D.N. Modelling phasic development in wheat: A conceptual integration of physiological components. J. Agric. Sci. 1997, 129, 163–172. [Google Scholar] [CrossRef]
- Tao, F.; Zhang, S.; Zhang, Z. Spatiotemporal changes of wheat phenology in China under the effects of temperature, day length and cultivar thermal characteristics. Eur. J. Agron. 2012, 43, 201–212. [Google Scholar] [CrossRef]
- Liu, Y.; Xie, R.; Hou, P.; Li, S.; Zhang, H.; Ming, B.; Long, H.; Liang, S. Phenological responses of maize to changes in environment when grown at different latitudes in China. Field Crops Res. 2013, 144, 192–199. [Google Scholar] [CrossRef]
- Olesen, J.E.; Børgesen, C.D.; Elsgaard, L.; Palosuo, T.; Rötter, R.P.; Skjelvåg, A.O.; Peltonen-Sainio, P.; Börjesson, T.; Trnka, M.; Ewert, F.; et al. Changes in time of sowing, flowering and maturity of cereals in Europe under climate change. Food Addit. Contam. A 2012, 29, 1527–1542. [Google Scholar] [CrossRef]
- Shimono, H. Earlier rice phenology as a result of climate change can increase the risk of cold damage during reproductive growth in northern Japan. Agric. Ecosyst. Environ. 2011, 144, 201–207. [Google Scholar] [CrossRef]
- Fang, X.; Wang, Y.; Xu, T.; Yun, Y. Contribution of climate warming to rice yield in Heilongjiang Province. Acta Geogr. Sinica. 2004, 59, 820–828, (In Chinese with Eglish abstract). [Google Scholar]
- Lobell, D.; Field, C. Global scale climate-crop yield relationships and the impacts of recent warming. Environ. Res. Lett. 2007, 2, 014002. [Google Scholar] [CrossRef]
- Tao, F.; Zhang, S.; Zhang, Z.; Rötter, R.P. Maize growing duration was prolonged across China in the past three decades under the combined effects of temperature, agronomic management, and cultivar shift. Glob. Chang. Biol. 2014, 20, 3686–3699. [Google Scholar] [CrossRef] [PubMed]
- Hawkins, E.; Fricker, T.E.; Challinor, A.J.; Ferro, C.A.T.; Ho, C.K.; Osborne, T.M. Increasing influence of heat stress on French maize yields from the 1960’s to the 2030’s. Glob. Chang. Biol. 2013, 19, 937–947. [Google Scholar] [CrossRef] [PubMed] [Green Version]
- Liu, L.; Wang, E.; Zhu, Y.; Tang, L.; Cao, W. Effects of warming and autonomous breeding on the phenological development and grain yield of double-rice systems in China. Agric. Ecosyst. Environ. 2013, 165, 28–38. [Google Scholar] [CrossRef]
- Porter, J.R.; Gawith, M. Temperatures and the growth and development of wheat: A review. Eur. J. Agron. 1999, 10, 23–36. [Google Scholar] [CrossRef]
- Ferris, R.; Ellis, R.H.; Wheeler, T.R.; Hadley, P. Effect of high temperature stress at anthesis on grain yield and biomass of field-grown crops of wheat. Ann. Bot. 1998, 82, 631–639. [Google Scholar] [CrossRef] [Green Version]
- Zhao, H.; Dai, T.; Jing, Q.; Jiang, D.; Cao, W. Leaf senescence and grain filling affected by post-anthesis high temperatures in two different wheat cultivars. Plant Growth Regul. 2007, 51, 149–158. [Google Scholar] [CrossRef]
- Dias, A.S.; Lidon, F.C. Evaluation of grain filling rate and duration in bread and durum wheat, under heat stress after anthesis. J. Agron. Crop Sci. 2009, 195, 137–147. [Google Scholar] [CrossRef]
- Zhang, M.; Gao, Y.M.; Zhang, Y.H.; Fischer, T.; Zhao, Z.G.; Zhou, X.N.; Wang, Z.M.; Wang, E.L. The contribution of spike photosynthesis to wheat yield needs to be considered in process-based crop models. Field Crops Res. 2020, 257, 107931. [Google Scholar] [CrossRef]
- Challinor, A.J.; Watson, J.; Lobell, D.B.; Howden, S.M.; Smith, D.R.; Chhetri, N. A meta-analysis of crop yield under climate change and adaptation. Nat. Clim. Chang. 2014, 4, 287–291. [Google Scholar] [CrossRef]
- Sun, T.; Hasegawa, T.; Liu, B.; Tang, L.; Liu, L.L.; Cao, W.X.; Zhu, Y. Current rice models underestimate yield losses form short-term heat stress. Glob. Chang. Biol. 2021, 27, 402–416. [Google Scholar] [CrossRef]
- Gao, Y.; Wallach, D.; Liu, B.; Dingkuhn, M.; Boote, K.J.; Singh, U.; Asseng, S.; Kahveci, T.; He, J.; Zhang, R.; et al. Comparison of three calibration methods for modeling rice phenology. Agric. For. Meteorol. 2020, 280, 107785. [Google Scholar] [CrossRef]
- Wallach, D.; Palosuo, T.; Thorburn, P.; Gourdain, E.; Asseng, S.; Basso, B.; Buis, S.; Crout, N.; Dibari, C.; Dumont, B.; et al. How well do crop modeling groups predict wheat phenology, given calibration data from the target population? Eur. J. Agron. 2021, 124, 126195. [Google Scholar] [CrossRef]
- Liu, L.; Wallach, D.; Li, J.; Liu, B.; Zhang, L.; Tang, L.; Zhang, Y.; Qiu, X.; Cao, W.; Zhu, Y. Uncertainty in wheat phenology simulation induced by cultivar parameterization under climate warming. Eur. J. Agron. 2018, 94, 46–53. [Google Scholar] [CrossRef]





| Province | Station | Latitude and Longitude | Temperature 1 (°C) | Rainfall 2 (mm) | Sunshine Hours 3 (h) | Irrigation 4 (m3 ha−1) | Cultivar | Years | Number of Seasons |
|---|---|---|---|---|---|---|---|---|---|
| Gansu | Tianshui | 34°35′, 105°45′ | 7.8 | 180.1 | 1300.8 | 1070.8 | 7464 | 1990–2010 | 19 |
| Hebei | Huanghua | 38°22′, 117°21′ | 7.8 | 141.4 | 1622.3 | — | 71321 | 1989–2011 | 21 |
| Shaanxi | Hancheng | 35°28′, 110°27′ | 4.6 | 183.2 | 1712.1 | 1019.4 | Xiaoyan6 | 1991–2011 | 19 |
| Pucheng | 35°05′, 109°04′ | 5.1 | 169.1 | 1678.8 | — | Xiaoyan6 | 1992–2009 | 17 | |
| Wugong | 34°15′, 108°13′ | 8.6 | 223.1 | 1077.8 | 1456.8 | Xiaoyan6 | 1983–2000 | 16 | |
| Shandong | Laiyang | 36°58′, 120°44′ | 7.3 | 214.5 | 1815.1 | 1126.2 | Yannong15 | 1984–2000 | 15 |
| Laizhou | 37°37′, 120°19′ | 8.7 | 201.8 | 1866.4 | 1769.1 | Yannong15 | 1991–2007 | 15 | |
| Yantai | 37°32′, 121°24′ | 8.9 | 211.9 | 1698.1 | 971.5 | Yannong15 | 1994–2011 | 16 |
| Station | Cultivar | n 1 | T_GP1 (°C/Year) | T_GP2 (°C/Year) | T_GP3 (°C/Year) | T_GPT (°C/Year) | HDD (°C d/Year) |
|---|---|---|---|---|---|---|---|
| Tianshui | 7464 | 19 | 0.01 | 0.01 | 0.05 | 0.02 | 0.34 ** |
| Huanghua | 71321 | 21 | −0.01 | 0.09 * | 0.07 * | 0.03 | 0.27 ** |
| Hancheng | Xiaoyan6 | 19 | −0.01 | 0.09 * | 0.05 | 0.03 | 0.27 ** |
| Pucheng | Xiaoyan6 | 17 | 0.20 ** | 0.09 * | 0.11 * | 0.17 ** | 0.05 |
| Wugong | Xiaoyan6 | 16 | 0.11 * | 0.19 ** | 0.07 | 0.14 ** | 0.28 ** |
| Laiyang | Yannong15 | 15 | 0.07 * | 0.02 | 0.03 | 0.07 * | 0.81 ** |
| Laizhou | Yannong15 | 15 | −0.03 | 0.03 | 0.11 * | 0.03 | 0.45 ** |
| Yantai | Yannong15 | 16 | 0.07 * | 0.02 | 0.02 | 0.09 * | 0.33 ** |
| Cultivar | n 1 | GDD1 (°C d/Year) | GDD2 (°C d/Year) | GDD3 (°C d/Year) | GDDT (°C d/Year) |
|---|---|---|---|---|---|
| 7464 | 19 | 2.47 | −5.04 ** | −2.07 | −4.64 |
| 71321 | 21 | −2.91 | 4.31 * | 3.99 * | 5.39 |
| Xiaoyan6 | 52 | 3.65 | 0.23 | 2.12 | 6.00 |
| Yannong15 | 46 | −1.77 | 4.10 ** | 0.38 | 2.71 |
| Cultivar | n 1 | GP1 (Day/Year) | GP2 (Day/Year) | GP3 (Day/Year) | GPT (Day/Year) |
|---|---|---|---|---|---|
| 7464 | 20 | −0.51 ** | −0.58 ** | −0.02 | −1.17 ** |
| 71321 | 22 | −0.37 | −0.01 | 0.14 | −0.30 |
| Xiaoyan6 | 40 | −0.73 ** | −0.31 * | 0.09 | −0.63 ** |
| Yannong15 | 48 | −0.25 | 0.13 | −0.01 | −0.49 ** |
Publisher’s Note: MDPI stays neutral with regard to jurisdictional claims in published maps and institutional affiliations. |
© 2021 by the authors. Licensee MDPI, Basel, Switzerland. This article is an open access article distributed under the terms and conditions of the Creative Commons Attribution (CC BY) license (https://creativecommons.org/licenses/by/4.0/).
Share and Cite
Zhang, Y.; Qiu, X.; Yin, T.; Liao, Z.; Liu, B.; Liu, L. The Impact of Global Warming on the Winter Wheat Production of China. Agronomy 2021, 11, 1845. https://doi.org/10.3390/agronomy11091845
Zhang Y, Qiu X, Yin T, Liao Z, Liu B, Liu L. The Impact of Global Warming on the Winter Wheat Production of China. Agronomy. 2021; 11(9):1845. https://doi.org/10.3390/agronomy11091845
Chicago/Turabian StyleZhang, Yu, Xiaolei Qiu, Tingwei Yin, Zhiyi Liao, Bing Liu, and Leilei Liu. 2021. "The Impact of Global Warming on the Winter Wheat Production of China" Agronomy 11, no. 9: 1845. https://doi.org/10.3390/agronomy11091845
APA StyleZhang, Y., Qiu, X., Yin, T., Liao, Z., Liu, B., & Liu, L. (2021). The Impact of Global Warming on the Winter Wheat Production of China. Agronomy, 11(9), 1845. https://doi.org/10.3390/agronomy11091845

