Co-Composting of Brewers’ Spent Grain with Animal Manures and Wheat Straw: Influence of Two Composting Strategies on Compost Quality
Abstract
:1. Introduction
2. Materials and Methods
2.1. Composting Trial and Experimental Conditions
2.2. Temperature Monitoring
2.3. Compost Sampling and Analytical Measurements
2.4. Germination Index
2.5. Statistical Analyses
3. Results and Discussion
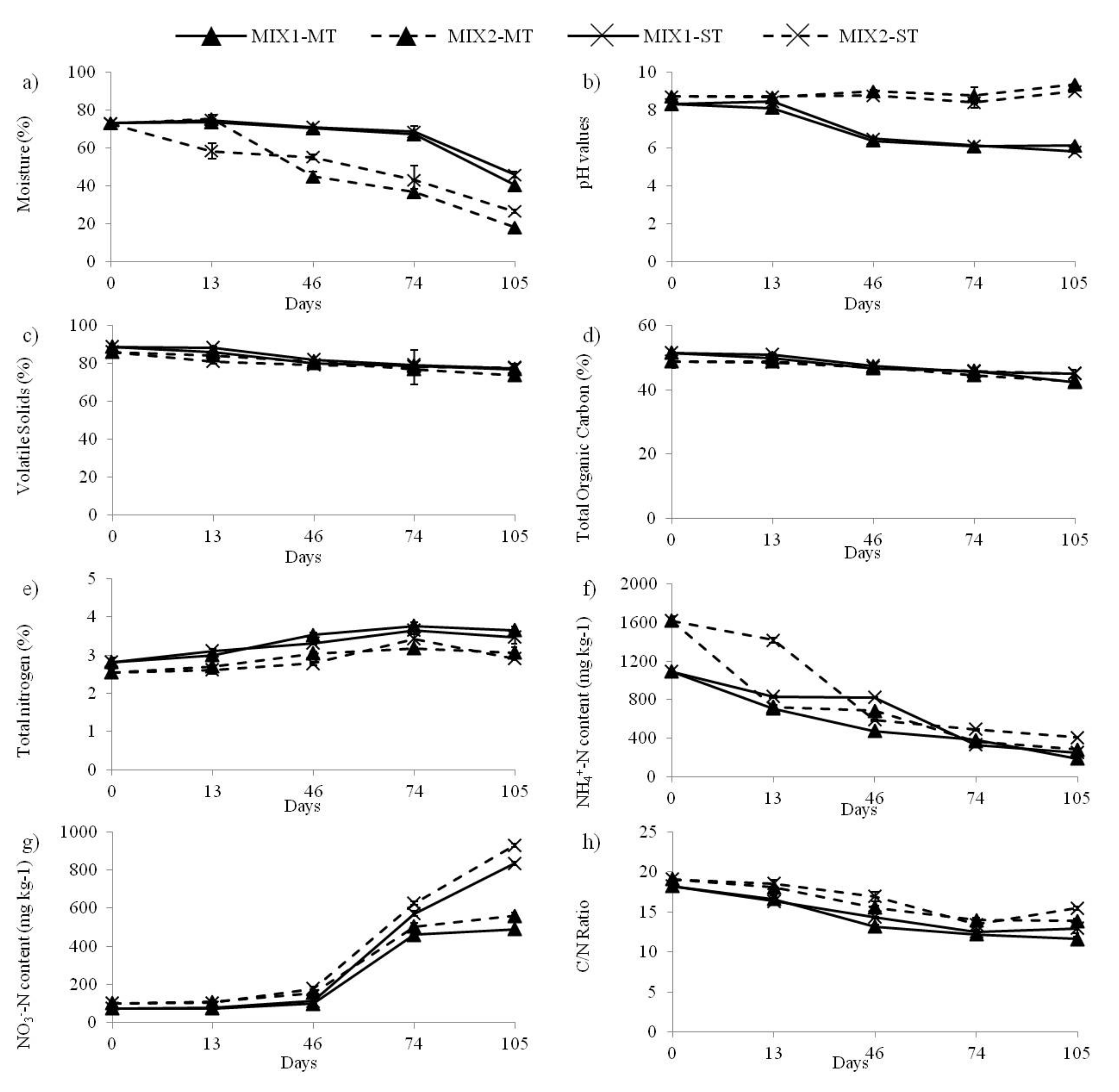
3.1. Temperature Evolution
3.2. Moisture Content Variation
3.3. pH Trend
3.4. Volatile Solids
3.5. Total Organic Carbon
3.6. Nitrogen Dynamics
3.7. Carbon to Nitrogen Ratio
3.8. Maturity of the Final Composts
3.9. European and Italian Law Limits
4. Practical Implications of This Study
5. Conclusions
Author Contributions
Funding
Institutional Review Board Statement
Informed Consent Statement
Data Availability Statement
Acknowledgments
Conflicts of Interest
References
- Bianco, A.; Budroni, M.; Zara, S.; Mannazzu, I.; Fancello, F.; Zara, G. The role of microorganisms on biotransformation of brewers’ spent grain. Appl. Microbiol. Biotechnol. 2020. [Google Scholar] [CrossRef]
- Barth-Haas Group. The Barth Report Hops 2018/2019; Joh. Barth & Sohn GmbH & Co. KG: Nuremberg, Germany, 2019. [Google Scholar]
- Mussatto, S.I. Brewer’s spent grain: A valuable feedstock for industrial applications. J. Sci. Food Agric. 2014, 94, 1264–1275. [Google Scholar] [CrossRef] [Green Version]
- Lynch, K.M.; Steffen, E.J.; Arendt, E.K. Brewers’ spent grain: A review with an emphasis on food and health. J. Inst. Brew. 2016, 122, 553–568. [Google Scholar] [CrossRef]
- Arranz, J.I.; Miranda, M.T.; Sepúlveda, F.J.; Montero, I.; Rojas, C.V. Analysis of drying of brewers’ spent grain. Proceedings 2018, 2, 1467. [Google Scholar] [CrossRef] [Green Version]
- Aliyu, S.; Bala, M. Brewer’s spent grain: A review of its potentials and applications. Afr. J. Biotechnol. 2011, 10, 324–331. [Google Scholar]
- Stefanello, F.S.; dos Santos, C.O.; Bochi, V.C.; Fruet, A.P.B.; Soquetta, M.B.; Dörr, A.C.; Nörnberg, J.L. Analysis of polyphenols in brewer’s spent grain and its comparison with corn silage and cereal brans commonly used for animal nutrition. Food Chem. 2018, 239, 385–401. [Google Scholar] [CrossRef]
- Lao, E.J.; Dimoso, N.; Raymond, J.; Mbega, E.R. The prebiotic potential of brewers’ spent grain on livestock’s health: A review. Trop. Anim. Health Prod. 2020. [Google Scholar] [CrossRef]
- Gupta, M.; Abu-Ghannam, N.; Gallaghar, E. Barley for brewing: Characteristic changes during malting, brewing and applications of its by-products. Compr. Rev. Food Sci. Food Saf. 2010, 9, 318–328. [Google Scholar] [CrossRef] [Green Version]
- Ikram, S.; Huang, L.Y.; Zhang, H.; Wang, J.; Yin, M. Composition and nutrient value proposition of brewers spent grain. J. Food Sci. 2017, 82, 2232–2242. [Google Scholar] [CrossRef] [Green Version]
- Wen, C.; Zhang, J.; Duan, Y.; Zhang, H.; Ma, H. A mini-review on brewer’s spent grain protein: Isolation, physicochemical properties, application of protein, and functional properties of hydrolysates. J. Food Sci. 2019, 84, 3330–3340. [Google Scholar] [CrossRef] [Green Version]
- Weger, A.; Binder, S.; Franke, M.; Hornung, A.; Ru, W.; Mayer, W. Solid biofuel production by mechanical pre-treatment of brewers’ spent grain. Chem. Eng. Trans. 2014, 37, 661–666. [Google Scholar]
- Panjičko, M.; Zupančič, G.D.; Fanedl, L.; Logar, R.M.; Tišma, M.; Zelić, B. Biogas production from brewery spent grain as a mono-substrate in a two-stage process composed of solid-state anaerobic digestion and granular biomass reactors. J. Clean. Prod. 2017, 166, 519–529. [Google Scholar] [CrossRef]
- Rojas-Chamorro, J.A.; Romero, I.; López-Linares, J.C.; Castro, E. Brewer’s spent grain as a source of renewable fuel through optimized dilute acid pretreatment. Renew. Energy 2020, 148, 81–90. [Google Scholar] [CrossRef]
- Siva Shangari, G.; Agamuthu, P. Enhancing methane oxidation in landfill cover using brewery spent srain as biocover. Malays. J. Sci. 2012, 31, 91–97. [Google Scholar]
- Chanzu, H.A.; Onyari, J.M.; Shiundu, P.M. Brewers’ spent grain in adsorption of aqueous Congo red and malachite green dyes: Batch and continuous flow systems. J. Hazard. Mater. 2019, 380, 120897. [Google Scholar] [CrossRef]
- Johnson, P.; Paliwal, J.; Cenkowski, S. Issues with utilisation of brewers’ spent grain. Stewart Postharvest Rev. 2010, 6, 1–8. [Google Scholar]
- Pampuro, N.; Busato, P.; Cavallo, E. Effect of densification conditions on specific energy requirements and physical properties of compacts made from hop cone. Energies 2018, 11, 2389. [Google Scholar] [CrossRef] [Green Version]
- Olszewski, M.P.; Arauzo, P.J.; Maziarka, P.A.; Ronsse, F.; Kruse, A. Pyrolysis Kinetics of Hydrochars Produced from Brewer’s Spent Grains. Catalysts 2019, 9, 625. [Google Scholar] [CrossRef] [Green Version]
- Jackowski, M.; Niedzwiecki, L.; Lech, M.; Wnukowski, M.; Arora, A.; Tkaczuk-Serafin, M.; Baranowski, M.; Krochmalny, K.; Veetil, V.K.; Seruga, P.; et al. HTC of wet residues of the brewing process: Comprehensive characterization of produced beer, spent grain and valorized residues. Energies 2020, 13, 2058. [Google Scholar] [CrossRef] [Green Version]
- Singh, A.P.; Mandal, R.; Shojaei, M.; Singh, A.; Kowalczewski, P.L.; Ligaj, M.; Pawlicz, J.; Jarzebski, M. Novel drying methods for sustainable upcycling of brewers’ spent grains as a plant protein source. Sustainability 2020, 12, 3660. [Google Scholar] [CrossRef]
- Bekchanov, M.; Mirzabaev, A. Circular economy of composting in Sri Lanka: Opportunities and challenges for reducing waste related pollution and improving soil health. J. Clean. Prod. 2018, 202, 1107–1119. [Google Scholar] [CrossRef]
- Jara-Samaniego, J.; Pérez-Murcia, M.D.; Bustamante, M.A.; Pérez-Espinosa, A.; Paredes, C.; López, M.; López-Lluch, D.B.; Gavilanes-Terán, I.; Moral, R. Composting as sustainable strategy for municipal solid waste management in the Chimborazo Region, Ecuador: Suitability of the obtained composts for seedling production. J. Clean. Prod. 2017, 141, 1349–1358. [Google Scholar] [CrossRef]
- Pampuro, N.; Caffaro, F.; Cavallo, E. Reuse of animal manure: A case study on stakeholders’ perceptions about pelletized compost in Northwestern Italy. Sustainability 2018, 10, 2028. [Google Scholar] [CrossRef] [Green Version]
- Nolan, T.; Troy, S.M.; Healy, M.G.; Kwapinski, W.; Leahy, J.J.; Lawlor, P.G. Characterization of compost produced from separated pig manure and a variety of bulking agents at low initial C/N ratios. Bioresour. Technol. 2011, 102, 7131–7138. [Google Scholar] [CrossRef]
- Pampuro, N.; Bisaglia, C.; Romano, E.; Brambilla, M.; Pedretti, E.F.; Cavallo, E. Phytotoxicity and chemical characterization of compost derived from pig slurry solid fraction for organic pellet production. Agriculture 2017, 7, 94. [Google Scholar] [CrossRef] [Green Version]
- De Wit, M.; Hoogzaad, J.; von Daniels, C. The Circularity gap report. In When Circularity Goes from Bad to Worse: The Power of Countries to Change the Game; PACE: Hague, The Netherlands, 2020. [Google Scholar]
- Ellen MacArthur Foundation. Cities and Circular Economy for Food; Ellen MacArthur Foundation and Ellen MacArthur Foundation Trading Limited: Cowes, UK, 2019. [Google Scholar]
- Assandri, D.; Pampuro, N.; Zara, G.; Cavallo, E.; Budroni, M. Suitability of composting process for the disposal and valorization of brewer’s spent grain. Agriculture 2021, 11, 2. [Google Scholar] [CrossRef]
- European Commission—European Statistical Office (Eurostat) agr_r_animal. Available online: https://appsso.eurostat.ec.europa.eu/nui/show.do?dataset=agr_r_animal&lang=en (accessed on 20 July 2020).
- Karnchanawong, S.; Suriyanon, N. Household organic waste composting using bins with different types of passive aeration. Resour. Conserv. Recycl. 2011, 55, 548–553. [Google Scholar] [CrossRef]
- Pampuro, N.; Bertora, C.; Sacco, D.; Dinuccio, E.; Grignani, C.; Balsari, P.; Cavallo, E.; Bernal, M.P. Fertilizer value and greenhouse gas emissions from solid fraction pig slurry compost pellets. J. Agric. Sci. 2017, 155, 1646–1658. [Google Scholar] [CrossRef]
- Association of Official Analytical Chemists. Official Methods of Analysis, 15th ed.; Association of Official Analytical Chemists: Arlington, TX, USA, 1990. [Google Scholar]
- Garcia-Gomez, A.; Bernal, M.P.; Roig, A. Growth of ornamental plants in two composts prepared from agroindustrial wastes. Bioresour. Technol. 2002, 83, 81–87. [Google Scholar] [CrossRef]
- ANPA. Metodi di Analisi del Compost; Agenzia Nazionale per la Protezione dell’Ambiente: Rome, Italy, 2001; ISBN 8844802589. [Google Scholar]
- Pampuro, N.; Dinuccio, E.; Balsari, P.; Cavallo, E. Evaluation of two composting strategies for making pig slurry solid fraction suitable for pelletizing. Atmos. Pollut. Res. 2016, 7, 288–293. [Google Scholar] [CrossRef]
- Roletto, E.; Consiglio, M.; Jodice, R.; Barberis, R. Chemical parameters for evaluating compost maturity. Biocycle 1985, 26, 46–47. [Google Scholar]
- Bernal, M.P.; Alburquerque, J.A.; Moral, R. Composting of animal manures and chemical criteria for compost maturity assessment. A review. Bioresour. Technol. 2009, 100, 5444–5453. [Google Scholar] [CrossRef] [PubMed]
- European Commission. Decreto Legislativo 29 aprile 2010, n. 75. In Riordino e Revisione Della Disciplina in Materia di Fertilizzanti a Norma Dell’articolo 13 Della Legge 7 Luglio 2009, n. 88; Gazzetta Ufficiale: Rome, Italy, 2019; pp. 1–146. [Google Scholar]
- Gigliotti, G.; Proietti, P.; Said-Pullicino, D.; Nasini, L.; Pezzolla, D.; Rosati, L.; Porceddu, P.R. Co-composting of olive husks with high moisture contents: Organic matter dynamics and compost quality. Int. Biodeterior. Biodegrad. 2012, 67, 8–14. [Google Scholar] [CrossRef]
- Entis, P.; Lerner, I. Enumeration of B-Glucuronidase-positive Escherichia coli in foods by using the ISO-GRID method with SD-39 Agar. J. Food Prot. 1998, 61, 913–916. [Google Scholar] [CrossRef]
- Zucconi, F.; Forte, M.; Monaco, A.; de Bertoldi, M. Biological evaluation of compost maturity. Biocycle 1981, 22, 27–29. [Google Scholar]
- Mohamed, O.Z.; Yassine, B.; Hilali Rania, E.; El Hassan, A.; Abdellatif, H.; Rachid, B. Evaluation of compost quality and bioprotection potential against Fusarium wilt of date palm. Waste Manag. 2020, 113, 12–19. [Google Scholar] [CrossRef]
- De Bertoldi, M.; Vallini, G.; Pera, A. The biology of composting: A review. Waste Manag. Res. 1983, 1, 157–176. [Google Scholar] [CrossRef]
- Rodríguez, L.; Cerrillo, M.I.; García-Albiach, V.; Villaseñor, J. Domestic sewage sludge composting in a rotary drum reactor: Optimizing the thermophilic stage. J. Environ. Manag. 2012, 112, 284–291. [Google Scholar] [CrossRef] [PubMed]
- Liu, K.; Price, G.W. Evaluation of three composting systems for the management of spent coffee grounds. Bioresour. Technol. 2011, 102, 7966–7974. [Google Scholar] [CrossRef]
- Stentiford, E.I. Composting Control: Principles and Practice. In The Science of Composting; De Bertoldi, M., Sequi, P., Lemmes, B., Papi, T., Eds.; Springer: Dordrecht, The Netherlands, 1996; pp. 49–59. [Google Scholar]
- Arrigoni, J.P.; Paladino, G.; Garibaldi, L.A.; Laos, F. Inside the small-scale composting of kitchen and garden wastes: Thermal performance and stratification effect in vertical compost bins. Waste Manag. 2018, 76, 284–293. [Google Scholar] [CrossRef]
- Luo, W.; Chen, T.B.; Zheng, G.D.; Gao, D.; Zhang, Y.A.; Gao, W. Effect of moisture adjustments on vertical temperature distribution during forced-aeration static-pile composting of sewage sludge. Resour. Conserv. Recycl. 2008, 52, 635–642. [Google Scholar] [CrossRef]
- Isobaev, P.; McCartney, D.; Wichuk, K.M.; Scott, C.; Neumann, N.F. An enhanced direct process temperature validation framework in composting: Case study of a full-scale covered aerated static pile. Compost Sci. Util. 2014, 22, 164–178. [Google Scholar] [CrossRef]
- Khalib, S.N.B.; Zakarya, I.A.; Izhar, T.N.T. The effect of low initial C:N ratio during composting of rice straw ash with food waste in evaluating the compost quality. IOP Conf. Ser. Earth Environ. Sci. 2020, 476. [Google Scholar] [CrossRef]
- Zhu, N. Composting of high moisture content swine manure with corncob in a pilot-scale aerated static bin system. Bioresour. Technol. 2006, 97, 1870–1875. [Google Scholar] [CrossRef]
- Stocks, C.; Barker, A.J.; Guy, S. The composting of brewery sludge. J. Inst. Brew. 2002, 108, 452–458. [Google Scholar] [CrossRef]
- Getahun, T.; Nigusie, A.; Entele, T.; Van Gerven, T.; Van Der Bruggen, B. Effect of turning frequencies on composting biodegradable municipal solid waste quality. Resour. Conserv. Recycl. 2012, 65, 79–84. [Google Scholar] [CrossRef]
- Chiumenti, A.; Da Borso, F.; Rodar, T.; Chiumenti, R. Swine manure composting by means of experimental turning equipment. Waste Manag. 2007, 27, 1774–1782. [Google Scholar] [CrossRef]
- Brito, L.M.; Coutinho, J.; Smith, S.R. Methods to improve the composting process of the solid fraction of dairy cattle slurry. Bioresour. Technol. 2008, 99, 8955–8960. [Google Scholar] [CrossRef] [PubMed]
- Liang, C.; Das, K.C.; Mcclendon, R.W. The influence of temperature and moisture contents regimes on the aerobic microbial activity of a biosolids composting blend. Bioresour. Technol. 2003, 86, 131–137. [Google Scholar] [CrossRef]
- Vázquez, M.A.; De La Varga, D.; Plana, R.; Soto, M. Integrating liquid fraction of pig manure in the composting process for nutrient recovery and water re-use. J. Clean. Prod. 2015, 104, 80–89. [Google Scholar] [CrossRef]
- Zhu, N. Effect of low initial C/N ratio on aerobic composting of swine manure with rice straw. Bioresour. Technol. 2007, 98, 9–13. [Google Scholar] [CrossRef] [PubMed]
- Azim, K.; Soudi, B.; Boukhari, S.; Perissol, C.; Roussos, S.; Thami Alami, I. Composting parameters and compost quality: A literature review. Org. Agric. 2018, 8, 141–158. [Google Scholar] [CrossRef]
- Vallini, G.; Di Gregorio, S.; Pera, A.; Cristina, A.; Cunha Queda, F. Exploitation of composting management for either reclamation of organic wastes or solid-phase treatment of contaminated environmental matrices. Environ. Rev. 2002, 10, 195–207. [Google Scholar] [CrossRef] [Green Version]
- Huang, G.F.; Fang, M.; Wu, Q.T.; Zhou, L.X.; Liao, X.D.; Wong, J.W.C. Co-compositing of pig manure with leaves. Environ. Technol. 2001, 22, 1203–1212. [Google Scholar] [CrossRef]
- Storino, F.; Menéndez, S.; Muro, J.; Aparicio-Tejo, P.M.; Irigoyen, I. Effect of Feeding Regime on Composting in Bins. Compost Sci. Util. 2017, 25, 71–81. [Google Scholar] [CrossRef]
- Agapios, A.; Andreas, V.; Marinos, S.; Katerina, M.; Antonis, Z.A. Waste aroma profile in the framework of food waste management through household composting. J. Clean. Prod. 2020, 257, 120340. [Google Scholar] [CrossRef]
- Kumar, M.; Ou, Y.-L.; Lin, J.-G. Co-composting of green waste and food waste at low C/N ratio. Waste Manag. 2010, 30, 602–609. [Google Scholar] [CrossRef] [PubMed]
- Mupondi, L.T.; Mnkeni, P.N.S.; Brutsch, M.O. The effects of goat manure, sewage sludge and effective microorganisms on the composting of pine bark. Compost Sci. Util. 2006, 14, 201–210. [Google Scholar] [CrossRef]
- Namkoong, W.; Hwang, E.Y.; Cheong, J.G.; Choi, J.Y. A comparative evaluation of maturity parameters for food waste composting. Compost Sci. Util. 1999, 7, 55–62. [Google Scholar] [CrossRef]
- Varma, V.S.; Kalamdhad, A.S.; Kumar, B. Optimization of waste combinations during in-vessel composting of agricultural waste. Waste Manag. Res. 2017, 35, 101–109. [Google Scholar] [CrossRef]
- Andersen, J.K.; Boldrin, A.; Samuelsson, J.; Christensen, T.H.; Scheutz, C. Quantification of Greenhouse Gas Emissions from Windrow Composting of Garden Waste. J. Environ. Qual. 2010, 39, 713–724. [Google Scholar] [CrossRef] [PubMed] [Green Version]
- Sánchez, A.; Artola, A.; Font, X.; Gea, T.; Barrena, R.; Gabriel, D.; Sánchez-Monedero, M.Á.; Roig, A.; Cayuela, M.L.; Mondini, C. Greenhouse gas emissions from organic waste composting. Environ. Chem. Lett. 2015, 13, 223–238. [Google Scholar] [CrossRef] [Green Version]
- Ahmed, M.; Idris, A.; Omar, S.R.S. Physicochemical characterization of compost of the industrial tannery sludge. J. Eng. Sci. Technol. 2007, 2, 81–94. [Google Scholar]
- Ogunwande, G.A.; Osunade, J.A.; Adekalu, K.O.; Ogunjimi, L.A.O. Nitrogen loss in chicken litter compost as affected by carbon to nitrogen ratio and turning frequency. Bioresour. Technol. 2008, 99, 7495–7503. [Google Scholar] [CrossRef] [PubMed]
- Guo, R.; Li, G.; Jiang, T.; Schuchardt, F.; Chen, T.; Zhao, Y.; Shen, Y. Effect of aeration rate, C/N ratio and moisture content on the stability and maturity of compost. Bioresour. Technol. 2012, 112, 171–178. [Google Scholar] [CrossRef]
- Bernal, M.P.; Navarro, A.F.; Roig, A.; Cegarra, J.; García, D. Carbon and nitrogen transformation during composting of sweet sorghum bagasse. Biol. Fertil. Soils 1996, 22, 141–148. [Google Scholar] [CrossRef]
- Santos, C.; Goufo, P.; Fonseca, J.; Pereira, J.L.S.; Ferreira, L.; Coutinho, J.; Trindade, H. Effect of lignocellulosic and phenolic compounds on ammonia, nitric oxide and greenhouse gas emissions during composting. J. Clean. Prod. 2018, 171, 548–556. [Google Scholar] [CrossRef]
- Cook, K.L.; Ritchey, E.L.; Loughrin, J.H.; Haley, M.; Sistani, K.R.; Bolster, C.H. Effect of turning frequency and season on composting materials from swine high-rise facilities. Waste Manag. 2015, 39, 86–95. [Google Scholar] [CrossRef] [Green Version]
- Huang, J.; Yu, Z.; Gao, H.; Yan, X.; Chang, J.; Wang, C.; Hu, J.; Zhang, L. Chemical structures and characteristics of animal manures and composts during composting and assessment of maturity indices. PLoS ONE 2017, 12, 0178110. [Google Scholar] [CrossRef] [PubMed]
- Sánchez-Monedero, M.A.; Roig, A.; Paredes, C.; Bernal, M.P. Nitrogen transformation during organic waste composting by the Rutgers system and its effects on pH, EC and maturity of the composting mixtures. Bioresour. Technol. 2001, 78, 301–308. [Google Scholar] [CrossRef]
- Venglovsky, J.; Sasakova, N.; Vargova, M.; Pacajova, Z.; Placha, I.; Petrovsky, M.; Harichova, D. Evolution of temperature and chemical parameters during composting of the pig slurry solid fraction amended with natural zeolite. Bioresour. Technol. 2005, 96, 181–189. [Google Scholar] [CrossRef] [PubMed]
- Benjawan, L.; Sihawong, S.; Chayaprasert, W.; Liamlaem, W. Composting of biodegradable organic waste from Thai household in a semi-continuous composter. Compost Sci. Util. 2015, 23, 11–17. [Google Scholar] [CrossRef]
- Cerda, A.; Artola, A.; Font, X.; Barrena, R.; Gea, T.; Sánchez, A. Composting of food wastes: Status and challenges. Bioresour. Technol. 2018, 248, 57–67. [Google Scholar] [CrossRef] [PubMed] [Green Version]
- Hwang, H.Y.; Kim, S.H.; Kim, M.S.; Park, S.J.; Lee, C.H. Co-composting of chicken manure with organic wastes: Characterization of gases emissions and compost quality. Appl. Biol. Chem. 2020, 63. [Google Scholar] [CrossRef]
- Tabrika, I.; Azim, K.; Mayad, E.H.; Zaafrani, M. Composting of tomato plant residues: Improvement of composting process and compost quality by integration of sheep manure. Org. Agric. 2020, 10, 229–242. [Google Scholar] [CrossRef]
- Abdoli, M.A.; Omrani, G.; Safa, M.; Samavat, S. Comparison between aerated static piles and vermicomposting in producing co-compost from rural organic wastes and cow manure. Int. J. Environ. Sci. Technol. 2019, 16, 1551–1562. [Google Scholar] [CrossRef] [Green Version]
- Paradelo, R.; Prieto, B.; Sandu, R.G.; Barral, M.T.; Moldes, A.B. Can stability and maturity be evaluated in finished composts from different sources? Compost Sci. Util. 2010, 18, 22–31. [Google Scholar] [CrossRef]
- Moretti, B.; Bertora, C.; Grignani, C.; Lerda, C.; Celi, L.; Sacco, D. Conversion from mineral fertilisation to MSW compost use: Nitrogen fertiliser value in continuous maize and test on crop rotation. Sci. Total Environ. 2020, 705, 135308. [Google Scholar] [CrossRef] [PubMed]
- Bustamante, M.A.; Paredes, C.; Marhuenda-Egea, F.C.; Pérez-Espinosa, A.; Bernal, M.P.; Moral, R. Co-composting of distillery wastes with animal manures: Carbon and nitrogen transformations in the evaluation of compost stability. Chemosphere 2008, 72, 551–557. [Google Scholar] [CrossRef] [PubMed]
- Bernal, M.P.; Paredes, C.; Sánchez-Monedero, M.A.; Cegarra, J. Maturity and stability parameters of composts prepared with a wide range of organic wastes. Bioresour. Technol. 1998, 63, 91–99. [Google Scholar] [CrossRef]
- Ko, H.J.; Kim, K.Y.; Kim, H.T.; Kim, C.N.; Umeda, M. Evaluation of maturity parameters and heavy metal contents in composts made from animal manure. Waste Manag. 2008, 28, 813–820. [Google Scholar] [CrossRef]
- Tiquia, S.M. Microbiological parameters as indicators of compost maturity. J. Appl. Microbiol. 2005, 99, 816–828. [Google Scholar] [CrossRef] [PubMed] [Green Version]
- Seal, A.; Bera, R.; Chatterjee, A.K.; Dolui, A.K. Evaluation of a new composting method in terms of its biodegradation pathway and assessment of compost quality, maturity and stability. Arch. Agron. Soil Sci. 2012, 58, 995–1012. [Google Scholar] [CrossRef]
- Vázquez, M.A.; Soto, M. The efficiency of home composting programmes and compost quality. Waste Manag. 2017, 64, 39–50. [Google Scholar] [CrossRef] [PubMed]
- The European Parliament and the Council of the European Union. Regulation (EU) 2019/1009 of the European Parliament and of the Council of 5 June 2019 Laying Down Rules on the Making Available on the Market of EU Fertilising Products and Amending Regulation (EC) No 1069/2009 and (EC) No 1107/2009 and Repealing Regulat. European Parliament: Bruxelles, Belgium, 2019; pp. 1–114. [Google Scholar]


| Parameters | WS | PSF | SM | BSG | ||||
|---|---|---|---|---|---|---|---|---|
| Mean | s.d. | Mean | s.d. | Mean | s.d. | Mean | s.d. | |
| Moisture (%) 1 | 8.0 | 1.94 | 66.3 | 0.97 | 62.7 | 1.29 | 79.6 | 1.28 |
| pH | 5.7 | 0.06 | 8.9 | 0.06 | 9.3 | 0.06 | 4.9 | 0.75 |
| TOC (%) | 55.4 | 0.30 | 46.3 | 0.79 | 45.8 | 0.26 | 55.9 | 0.05 |
| TKN (%) | 0.3 | 0.03 | 1.9 | 0.01 | 3.3 | 0.40 | 4.9 | 0.28 |
| NH4+-N (mg kg−1) | 205 | 5.03 | 2120 | 13.02 | 2426 | 25.08 | 21 | 1.85 |
| NO3−-N (mg kg−1) | 154 | 8.72 | 32 | 3.87 | 81 | 7.36 | 10 | 0.00 |
| VS (%) | 95.5 | 0.51 | 79.8 | 1.37 | 79.0 | 0.44 | 96.3 | 0.08 |
| C/N | 207.3 | 2.41 | 24.4 | 0.28 | 14.0 | 1.54 | 11.4 | 0.67 |
| Compost | Weight | BSG | WS | PSF | SM | Total |
|---|---|---|---|---|---|---|
| MIX1 | kg | 26 | 8 | 20 | - | 54 |
| percentage | 48% | 15% | 37% | - | 100% | |
| MIX2 | kg | 21 | 9 | - | 20 | 50 |
| percentage | 42% | 18% | - | 40% | 100% |
| Parameters | Unit | MT | ST | Italian Law Limits | EU Regulation Limits | ||||||
|---|---|---|---|---|---|---|---|---|---|---|---|
| MIX1 | s.d. | MIX2 | s.d. | MIX1 | s.d. | MIX2 | s.d. | ||||
| pH | 6.2 | 0.06 | 9.4 | 0.00 | 6.0 | 0.12 | 9.0 | 0.00 | 6.0 - 8.5 | - | |
| Moisture 1 | % | 40.6 | 0.63 | 18.4 | 0.73 | 46.0 | 1.76 | 26.6 | 0.86 | <50% | <80% |
| TOC | % | 42.4 | 0.13 | 42.5 | 0.95 | 44.9 | 0.03 | 45.1 | 1.15 | >20% | >7.5% |
| Total organic N | % | 3.5 | 0.06 | 2.8 | 0.21 | 3.1 | 0.15 | 2.8 | 0.06 | >80% of TKN | - |
| C/N | 11.6 | 0.29 | 13.9 | 0.28 | 12.9 | 0.64 | 15.5 | 0.21 | <25 | - | |
| CHA + FCA | % | 13.6 | 0.25 | 15.8 | 0.72 | 11.9 | 0.14 | 15.9 | 0.32 | >7% | - |
| Total Zn | mg kg−1 | 479 | 2.76 | 202 | 2.40 | 419 | 1.69 | 228 | 1.16 | <500 mg kg−1 | <800 mg kg−1 |
| Total Cu | mg kg−1 | 73 | 0.50 | 24 | 3.36 | 68 | 3.04 | 30 | 0.76 | <150 mg kg−1 | <300 mg kg−1 |
| GI (30%) | % | 95 | 1.00 | 37 | 2.52 | 93 | 5.69 | 65 | 5.86 | >60% | - |
| Salmonella spp. | CFU 25g−1 | abs | - | abs | - | abs | - | abs | - | absent in 25 g | absent in 25 g |
| E. coli | CFU g−1 | abs | - | abs | - | abs | - | abs | - | <1000 CFU g−1 | <1000 CFU g−1 |
Publisher’s Note: MDPI stays neutral with regard to jurisdictional claims in published maps and institutional affiliations. |
© 2021 by the authors. Licensee MDPI, Basel, Switzerland. This article is an open access article distributed under the terms and conditions of the Creative Commons Attribution (CC BY) license (https://creativecommons.org/licenses/by/4.0/).
Share and Cite
Assandri, D.; Pampuro, N.; Zara, G.; Bianco, A.; Cavallo, E.; Budroni, M. Co-Composting of Brewers’ Spent Grain with Animal Manures and Wheat Straw: Influence of Two Composting Strategies on Compost Quality. Agronomy 2021, 11, 1349. https://doi.org/10.3390/agronomy11071349
Assandri D, Pampuro N, Zara G, Bianco A, Cavallo E, Budroni M. Co-Composting of Brewers’ Spent Grain with Animal Manures and Wheat Straw: Influence of Two Composting Strategies on Compost Quality. Agronomy. 2021; 11(7):1349. https://doi.org/10.3390/agronomy11071349
Chicago/Turabian StyleAssandri, Davide, Niccolò Pampuro, Giacomo Zara, Angela Bianco, Eugenio Cavallo, and Marilena Budroni. 2021. "Co-Composting of Brewers’ Spent Grain with Animal Manures and Wheat Straw: Influence of Two Composting Strategies on Compost Quality" Agronomy 11, no. 7: 1349. https://doi.org/10.3390/agronomy11071349
APA StyleAssandri, D., Pampuro, N., Zara, G., Bianco, A., Cavallo, E., & Budroni, M. (2021). Co-Composting of Brewers’ Spent Grain with Animal Manures and Wheat Straw: Influence of Two Composting Strategies on Compost Quality. Agronomy, 11(7), 1349. https://doi.org/10.3390/agronomy11071349

