Effects of Nitrogen and Water Deficiency on Agronomic Properties, Root Characteristics and Expression of Related Genes in Soybean
Abstract
1. Introduction
2. Materials and Methods
2.1. Plant Material and Growth Conditions
2.2. Data Collection
2.3. Chlorophyll-a Fluorescence Induction Measurements
2.4. Gene expression Studies
2.5. Statistical Analysis
3. Results
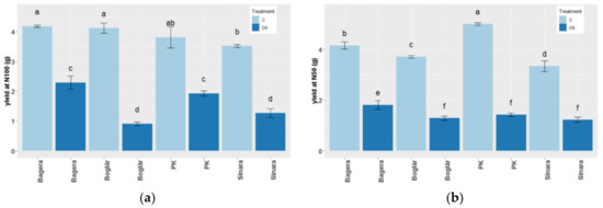
3.1. Phenological and Yield Parameters
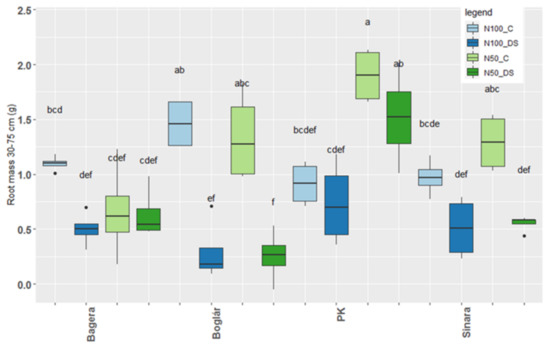
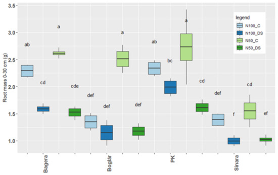
3.2. Root Parameters
3.3. Chlorophyll Content of Leaves
3.4. Activity of Photosystem 2
3.5. Gene Expression Studies
4. Discussion
5. Conclusions
Author Contributions
Funding
Informed Consent Statement
Conflicts of Interest
References
- FAO. Oilcrops Complex Policy Changes and Industry Measures. Annual Compendium; FAO: Rome, Italy, 2020; ISBN 978-92-5-132528-5. [Google Scholar]
- FAO. Faostat. 2021. Available online: http://www.fao.org/faostat/en/#data (accessed on 29 June 2021).
- Sudarić, A.; Matoša Kočar, M.; Duvnjak, T.; Zdunić, Z.; Markulj Kulundžić, A. Improving Seed Quality of Soybean Suitable for Growing in Europe. In Soybean for Human Consumption and Animal Feed, 1st ed.; Sudarić, A., Ed.; IntechOpen Limited: London, UK, 2020. [Google Scholar]
- Devi, M.J.; Sinclair, T.R.; Chen, P.; Carter, T. Evaluation of elite southern maturity soybean breeding lines for drought tolerant traits. Agron. J. 2014, 106, 1947–1954. [Google Scholar] [CrossRef]
- Prince, S.J.; Murphy, M.; Mutava, R.N. Evaluation of high yielding soybean germplasm under water limitation. J. Integr. Plant Biol. 2016, 58, 475–491. [Google Scholar]
- Zou, J.N.; Jin, X.J.; Zhang, Y.X.; Ren, C.Y.; Zhang, M.C.; Wang, M.X. Effects of melatonin on photosynthesis and soybean seed growth during grain filling under drought stress. Photosynthetica 2019, 57, 512–520. [Google Scholar] [CrossRef]
- Villamil, M.B.; Davis, V.M.; Nafziger, E.D. Estimating factor contributions to soybean yield from farm field data. Agron. J. 2012, 104, 881–887. [Google Scholar] [CrossRef]
- Jha, P.K.; Kumar, S.N.; Ines, A.V.M. Responses of soybean to water stress and supplemental irrigation in upper Indo-Gangetic plain: Field experiment and modelling approach. Field Crops Res. 2018, 219, 76–86. [Google Scholar] [CrossRef]
- Montoya, F.; García, C.; Pintos, F.; Otero, A. Effects of irrigation regime on the growth and yield of irrigated soybean in temperate humid climatic conditions. Agric. Water Manag. 2017, 193, 30–45. [Google Scholar] [CrossRef]
- Anda, A.; Soós, G.; Menyhárt, L.; Kucserka, T.; Simon, B. Yield features of two soybean varieties under different water supplies and field conditions. Field Crops Res. 2020, 107673. [Google Scholar] [CrossRef]
- Monostori, T. Crop Production; University of Szeged: Szeged, Hungary, 2014; ISBN 978-963-306-360-6. Available online: http://publicatio.bibl.u-szeged.hu/5833/ (accessed on 29 June 2021).
- Chen, G.; Cao, H.; Liang, J.; Ma, W.; Guo, L.; Zhang, S.; Jiang, R.; Zhang, H.; Goulding, K.W.T.; Zhang, F. Factors affecting nitrigen use efficiency and grain yield of summer maize on smallholder farms in the North China Plain. Sustainability 2018, 10, 363. [Google Scholar] [CrossRef]
- Ullah, H.; Santiago-Arenas, R.; Ferdous, Z.; Attia, A.; Datta, A. Chapter Two–Improving water use efficiency, nitrogen use efficiency, and radiation use efficiency in field crops under drought stress: A review. Adv. Agron. 2019, 156, 109–157. [Google Scholar]
- Cameron, K.C.; Di, H.J.; Moir, J.L. Nitrogen losses from the soil/plant system: A review. Ann. Appl. Biol. 2013, 162, 145–173. [Google Scholar] [CrossRef]
- Ciampitti, I.A.; Salvagiotti, F. Nwes insights into soybean biological nitrogen fixation. Agron. J. 2018, 110, 1185–1196. [Google Scholar] [CrossRef]
- Salvagiotti, F.; Cassmann, K.G.; Specht, J.E.; Walters, D.T.; Weiss, A.; Dobermann, A. Nitrogen uptake, fixation and response to fertilizer N in soybeans: A review. Field Crops Res. 2008, 108, 1–13. [Google Scholar] [CrossRef]
- Murray, J.; Liu, C.-W.; Chen, Y.; Miller, A. Nitrogen sensing in legumes. J. Exp. Bot. 2017, 68, 1919–1926. [Google Scholar] [CrossRef]
- Gibson, A.H.; Harper, J.E. Nitrate effect on nodulation of soybean by Bradyhizobium japonicum. Crop Sci. 1985, 25, 497–501. [Google Scholar] [CrossRef]
- Kraiser, T.; Gras, D.E.; Gutiérrez, A.G.; González, B.; Gutiérrez, R.A. A holistic view of nitrogen acquisition in plants. J. Exp. Bot. 2011, 62, 1455–1466. [Google Scholar] [CrossRef]
- Kiba, T.; Krapp, A. Plant Nitrogen Acquisition Under Low Availability: Regulation of Uptake and Root Architecture. Plant Cell Physiol. 2016, 57, 707–714. [Google Scholar] [CrossRef]
- Lynch, J.P.; Chimungu, J.G.; Brown, K.M. Root anatomical phenes associated with water acquisition from drying soil: Targets for crop improvement. J. Exp. Bot. 2014, 65, 6155–6166. [Google Scholar] [CrossRef]
- Marček, T.; Hamow, K.Á.; Végh, B.; Janda, T.; Darko, É. Metabolic response to drought in six winter wheat genotypes. PLoS ONE 2019, 14, e0212411. [Google Scholar] [CrossRef]
- MacAlister, D.; Muasya, A.M.; Crespo, O.; Ogola, J.B.O.; Maseko, S.; Valentine, A.J.; Ottosen, C.O.; Rosenqvist, E.; Chimphango, S.B.M. Stress tolerant traits and root proliferation of Aspalathus linearis (Burm.f.) R. Dahlgren grown under differing moisture regimes and exposed to drought. S. Afr. J. Bot. 2020, 131, 342–350. [Google Scholar] [CrossRef]
- Ryan, P.R.; Delhaize, E.; Watt, M.; Richardson, A.E. Plant roots: Understanding structure and function in an ocean of complexity. Ann. Bot. 2016, 118, 555–559. [Google Scholar] [CrossRef]
- Meister, R.; Rajani, M.S.; Ruzicka, D.; Schachtman, D.P. Challenges of modifying root traits in crops for agriculture. Trends Plant Sci. 2014, 19, 779–788. [Google Scholar] [CrossRef]
- Kong, X.; Zhang, M.; De Smet, I.; Ding, Z. Designer crops: Optimal root system architecture for nutrient acquisition. Trends Biotechnol. 2014, 32, 597–598. [Google Scholar] [CrossRef]
- Ehdaie, B.; Layne, A.; Waines, J. Root system plasticity to drought influences grain yield in bread wheat. Euphytica 2012, 186, 219–232. [Google Scholar] [CrossRef]
- Smith, G.S.; Johnston, C.M.; Cornforth, I.S. Comparison of nutrient solutions for growth of plants in sand culture. New Phytol. 1983, 94, 537–548. [Google Scholar] [CrossRef]
- Lancashire, P.D.; Bleiholder, H.; van den Boom, T.; Langlüdekke, P.; Stauss, R.; Weber, E.; Witzenberger, A. A uniform decimal code for growth stages of crops and weeds. Ann. Appl. Biol. 1991, 119, 561–601. [Google Scholar] [CrossRef]
- Genty, B.; Briantais, J.-M.; Baker, N.R. The relationship between the quantum yield of photosynthetic electron transport and quenching of chlorophyll fluorescence. Biochim. Biophys. Acta 1989, 990, 87–92. [Google Scholar] [CrossRef]
- Stolf-Moreira, R.; Lemos, E.G.M.; Abdelnoor, R.V.; Beneventi, M.A.; Rolla, A.A.P.; Pereira, S.S.; Oliveira, M.C.N.; Nepomuceno, A.L.; Marcelino-Guimarães, F.C. Identification of reference genes for expression analysis by real-time quantitative PCR in drought-stressed soybean. Pesqui. Agropecu. Bras. 2011, 46, 58–65. [Google Scholar] [CrossRef]
- Shukla, P.S.; Shotton, K.; Norman, E.; Neily, W.; Critchley, A.T.; Prithiviraj, B. Seaweed extract improve drought tolerance of soybean by regulating stress-response genes. AoB Plants 2018, 10. [Google Scholar] [CrossRef]
- Rao, X.; Huang, X.; Zhou, Z.; Lin, X. An improvement of the 2^ (−delta delta CT) method for quantitative real-time polymerase chain reaction data analysis. Biostat. Bioinform. Biomath. 2012, 3, 71–85. [Google Scholar]
- R Core Team. R: A Language and Environment for Statistical Computing; R Foundation for Statistical Computing: Vienna, Austria, 2017; Available online: https://www.R-project.org/ (accessed on 29 June 2021).
- De Mendiburu, F.; Yaseen, M. Agricolae: Statistical Procedures for Agricultural Research. R package version 1.4.0. 2020. Available online: https://myaseen208.github.io/agricolae/ (accessed on 29 June 2021).
- Wickham, H. ggplot2: Elegant Graphics for Data Analysis; Springer: New York, NY, USA, 2016; ISBN 978-3-319-24277-4. Available online: https://ggplot2.tidyverse.org (accessed on 29 June 2021).
- Onor, I.O.; Onor, G.I., Jr.; Kambhampati, M.S. Ecophysiological Effects of Nitrogen on Soybean [Glycine max (L.) Merr.]. Open J. Soil Sci. 2014, 4, 357–365. [Google Scholar] [CrossRef]
- Hansel, F.D.; Amado, T.J.C.; Ruiz Diaz, D.A.; Rosso, L.H.M.; Nicoloso, F.T.; Schorr, M. Phosphorus fertilizer plavement and tilliage affect soybean root growth and drought tolerance. Agron. J. 2017, 109, 2936–2944. [Google Scholar] [CrossRef]
- Valliyodan, B.; Ye, H.; Song, L.; Murphy, M.; Shannon, G.; Nguyen, H. Genetic diversity and genomic strategies for improving drought and waterlogging tolerance in soybeans. J. Exp. Bot. 2017, 68, 1835–1849. [Google Scholar] [CrossRef] [PubMed]
- Ye, H.; Li, S.; Chen, H.; Valliyodan, B.; Cheng, P.; Ali, L.; Vuong, T.; Wu, C.; Orlowski, J.; Buckley, B.; et al. A major natural genetic variation associated with root system architecture and plasticity improves waterlogging tolerance and yield in soybean. Plant Cell Environ. 2018, 41, 2169–2182. [Google Scholar] [CrossRef] [PubMed]
- Lynch, J.P.; Wojciechowski, T. Opportunities and challenges in the subsoil: Pathways to deeper rooted crops. J. Exp. Bot. 2015, 66, 2199–2210. [Google Scholar] [CrossRef]
- Hao, Q.N.; Shang, W.J.; Zhang, C.J.; Chen, H.F.; Chen, L.M.; Yuan, S.L.; Chen, S.L.; Zhang, X.J.; Zhou, X.N. Identification and comparative analysis of cbs domain-containing proteins in soybean (Glycine max) and the primary function of GmCBS21 in enhanced tolerance to low nitrogen stress. Int. J. Mol. Sci. 2016, 17, 620. [Google Scholar] [CrossRef]
- Wu, S.; Lu, Q.; Kriz, A.L.; Harper, J.E. Identification of cDNA clones corresponding to two inducible nitrate reductase genes in soybean: Analysis in wild-type and nr1 mutant. Plant Mol. Biol. 1995, 29, 491–506. [Google Scholar] [CrossRef]
- Klimenko, S.B.; Peshkova, A.A.; Dorofeev, N.V. Nitrate reductase activity during heat shock in winter wheat. J. Stress Physiol. Biochem. 2006, 2, 50–55. [Google Scholar]
- Kolbert, Z.; Ortega, L.; Erdei, L. Involvement of nitrate reductase (NR) in osmotic stress-induced NO generation of Arabidopsis thaliana L. roots. J. Plant Physiol. 2010, 167, 77–80. [Google Scholar] [CrossRef]
- Rodrigues, S.M.; Andrade, M.O.; Gomes, A.P.; Damatta, F.M.; Baracat-Pereira, M.C.; Fontes, E.P. Arabidopsis and tobacco plants ectopically expressing the soybean antiquitin-like aldh7 gene display enhanced tolerance to drought, salinity, and oxidative stress. J. Exp. Bot. 2006, 57, 1909–1918. [Google Scholar] [CrossRef]
- Zheng, Y.; Huang, Y.; Xian, W.; Wang, J.; Liao, H. Identification and expression analysis of the Glycine max cyp707a gene family in response to drought and salt stresses. Ann. Bot. 2012, 110, 743–756. [Google Scholar] [CrossRef]







| Genotype | Ripening | Special Property | Growth Type | Origin |
|---|---|---|---|---|
| Bagera | extra early | drought-tolerant | semi-determined | Switzerland |
| Boglár | early | high stem stability | semi-determined | Hungary |
| Pannónia Kincse | mid | high-yielding capacity | non-determined | Hungary |
| Sinara | extra early | high-yielding capacity | semi-determined | Austria |
| Treatment | Abbreviation |
|---|---|
| 100% water and 100% nitrogen | N100_C |
| 100% nitrogen and 50% water | N100_DS |
| 50% nitrogen and 100% water | N50_C |
| 50% nitrogen and 50% water | N50_DS |
| Gene Name | Primer Sequences (5′ → 3′) | Reference | |
|---|---|---|---|
| Gmß-actin | Forward Reverse | GAGCTATGAATTGCCTGATGG CGTITCATGAATTCCAGTAGC | [31] |
| GmDREB1B | Forward | GTAAAGATTGTTCGTATGGGACAAG | |
| GmCYP707A3b | Reverse Forward Reverse | ACACCTAAAATGAGCAACCGTACTA GGCTAACCTTCTGACTTTCC CAAGTGTCTGGTTCTGAGGT | [32] |
| GmTP55 | Forward | CGAAAAGGGAGAGGAGGACTTC | |
| Reverse | TCTGGGTCACCGAAAGGCAA | ||
| GmINR1 | Forward | TCAATACGGCACCCACATAA | NCBI Reference Sequence: |
| Reverse | GTCGTCGTTTTGGTCTTCGT | NM_001251161.1 |
| Genotypes | Treatments | Plant Height (cm) | Pod Number per Plant | Grain Number per Pod | Aboveground Dry Biomass | Harvest Index |
|---|---|---|---|---|---|---|
| Bagera | N100_C | 64.2 c | 9.5 de | 2.38 de | 10.04 c | 0.42 bcd |
| N100_DS | 82.4 b | 8.0 e | 2.07 hi | 6.24 e | 0.37 cde | |
| N50_C | 99.0 a | 8.75 de | 2.61 abc | 11.90 b | 0.35 def | |
| N50_DS | 85.6 b | 3.75 fg | 2.66 a | 5.75 e | 0.31 efg | |
| Boglár | N100_C | 26.5 gih | 12.32 bc | 2.26 efg | 10.13 c | 0.41 bcd |
| N100_DS | 23.2 i | 4.25 fg | 2.59 abc | 3.34 g | 0.27 g | |
| N50_C | 37.0 ef | 8.0 e | 2.71 a | 8.50 d | 0.44 abc | |
| N50_DS | 25.3 hi | 2.25 g | 2.08 ghi | 3.51 g | 0.37 cde | |
| Pannónia Kincse | N100_C | 46.3 d | 21.5 a | 2.37 de | 13.48 a | 0.28 fg |
| N100_DS | 33.2 fg | 10.75 cd | 1.93 i | 6.63 e | 0.29 efg | |
| N50_C | 44.7 d | 13.5 d | 2.47 bcd | 14.09 a | 0.35 def | |
| N50_DS | 40.5 de | 4.75 fg | 2.43 cde | 4.60 f | 0.31 efg | |
| Sinara | N100_C | 31.5 fgh | 10.5 cde | 2.28 ef | 7.77 d | 0.45 ab |
| N100_DS | 27.3 ghi | 4.75 fg | 2.09 ghi | 3.73 fg | 0.34 defg | |
| N50_C | 44.6 d | 5.0 f | 2.65 ab | 6.51 e | 0.51 a | |
| N50_DS | 25.4 hi | 3.75 fg | 2.13 fgh | 2.69 g | 0.46 ab |
Publisher’s Note: MDPI stays neutral with regard to jurisdictional claims in published maps and institutional affiliations. |
© 2021 by the authors. Licensee MDPI, Basel, Switzerland. This article is an open access article distributed under the terms and conditions of the Creative Commons Attribution (CC BY) license (https://creativecommons.org/licenses/by/4.0/).
Share and Cite
Hoffmann, B.; Varga, B.; Nagy, E.; Hoffmann, S.; Darkó, É.; Tajti, J.; Janda, T. Effects of Nitrogen and Water Deficiency on Agronomic Properties, Root Characteristics and Expression of Related Genes in Soybean. Agronomy 2021, 11, 1329. https://doi.org/10.3390/agronomy11071329
Hoffmann B, Varga B, Nagy E, Hoffmann S, Darkó É, Tajti J, Janda T. Effects of Nitrogen and Water Deficiency on Agronomic Properties, Root Characteristics and Expression of Related Genes in Soybean. Agronomy. 2021; 11(7):1329. https://doi.org/10.3390/agronomy11071329
Chicago/Turabian StyleHoffmann, Borbála, Balázs Varga, Erzsébet Nagy, Sándor Hoffmann, Éva Darkó, Judit Tajti, and Tibor Janda. 2021. "Effects of Nitrogen and Water Deficiency on Agronomic Properties, Root Characteristics and Expression of Related Genes in Soybean" Agronomy 11, no. 7: 1329. https://doi.org/10.3390/agronomy11071329
APA StyleHoffmann, B., Varga, B., Nagy, E., Hoffmann, S., Darkó, É., Tajti, J., & Janda, T. (2021). Effects of Nitrogen and Water Deficiency on Agronomic Properties, Root Characteristics and Expression of Related Genes in Soybean. Agronomy, 11(7), 1329. https://doi.org/10.3390/agronomy11071329
