Accelerated Dissipation of Two Herbicides after Repeated Application in Field Experiments with Organically-Amended Soil
Abstract
1. Introduction
2. Materials and Methods
2.1. Field Dissipation Study
2.2. Herbicide Extraction and Analysis
2.3. Data Analysis
3. Results
3.1. Dissipation of Chlorotoluron and Flufenacet during the Second-Year Application
3.2. Comparison of the Dissipation Kinetics of Chlorotoluron and Flufenacet after Repeated Application
3.3. Relationship between Dissipation Parameters and Weather Conditions
4. Conclusions
Author Contributions
Funding
Institutional Review Board Statement
Informed Consent Statement
Acknowledgments
Conflicts of Interest
References
- Sánchez-Monedero, M.A.; Cayuela, M.L.; Sánchez-García, M.; Vandecasteele, B.; D’Hose, T.; López, G.; Martínez-Gaitán, C.; Kuikman, P.J.; Sinicco, T.; Mondini, C. Agronomic evaluation of biochar, compost and biochar-blended compost across different cropping systems: Perspective from the European project FERTIPLUS. Agronomy 2019, 9, 225. [Google Scholar] [CrossRef]
- Mamy, L.; Mougin, C.; Benoit, P.; Houot, S.; Brault, A.; Cheviron, N.; Delarue, G.; Dumeny, V.; Vieublé-Gonod, L. Effect of multiple stresses, organic amendment and compaction, on the fate and impact of isoproturon in soil. Environments 2020, 7, 79. [Google Scholar] [CrossRef]
- Marín–Benito, J.M.; Sánchez–Martín, M.J.; Rodríguez–Cruz, M.S. Impact of spent mushroom substrates on the fate of pesticides in soil, and their use for preventing and/or controlling soil and water contamination: A review. Toxics 2016, 4, 17. [Google Scholar] [CrossRef]
- Pose-Juan, E.; Marín-Benito, J.M.; Sánchez-Martín, M.J.; Rodríguez-Cruz, M.S. Dissipation of herbicides after repeated application in soils amended with green compost and sewage sludge. J. Environ. Manag. 2018, 223, 1068–1077. [Google Scholar] [CrossRef]
- Rojas, R.; Morillo, J.; Usero, J.; Delgado-Moreno, L.; Gan, J. Enhancing soil sorption capacity of an agricultural soil by addition of three different organic wastes. Sci. Total Environ. 2013, 458–460, 614–623. [Google Scholar] [CrossRef]
- García-Delgado, C.; Marín-Benito, J.M.; Sánchez-Martín, M.J.; Rodríguez-Cruz, M.S. Organic carbon nature determines the capacity of organic amendments to adsorb pesticides in soil. J. Hazard. Mater. 2020, 390, 122162. [Google Scholar] [CrossRef] [PubMed]
- Marín-Benito, J.M.; Andrades, M.S.; Rodríguez-Cruz, M.S.; Sánchez-Martín, M.J. Changes in the sorption-desorption of fungicides over time in an amended sandy clay loam soil under laboratory conditions. J. Soil Sediment 2012, 12, 1111–1123. [Google Scholar] [CrossRef]
- Barba, V.; Marín-Benito, J.M.; Sánchez-Martín, M.J.; Rodríguez-Cruz, M.S. Transport of 14C-prosulfocarb through soil columns under different amendment, herbicide incubation and irrigation regimes. Sci. Total Environ. 2020, 701, 134542. [Google Scholar] [CrossRef] [PubMed]
- García-Jaramillo, M.; Trippe, K.M.; Helmus, R.; Knicker, H.E.; Cox, L.; Hermosín, M.C.; Parsons, J.R.; Kalbitz, K. An examination of the role of biochar and biochar water-extractable substances on the sorption of ionizable herbicides in rice paddy soils. Sci. Total Environ. 2020, 706, 135682. [Google Scholar] [CrossRef] [PubMed]
- Maroušek, J.; Bartoš, P.; Filip, M.; Kolář, L.; Konvalina, P.; Maroušková, A.; Moudrý, J.; Peterka, J.; Šál, J.; Šoch, M.; et al. Advances in the agrochemical utilization of fermentation residues reduce the cost of purpose-grown phytomass for biogas production. Energy Source Part A 2020. [Google Scholar] [CrossRef]
- Marín-Benito, J.M.; Carpio, M.J.; Mamy, L.; Andrades, M.S.; Sánchez-Martín, M.J.; Rodríguez-Cruz, M.S. Field measurement and modelling of chlorotoluron and flufenacet persistence in unamended and amended soils. Sci. Total Environ. 2020, 725, 138374. [Google Scholar] [CrossRef]
- Kulshreshtha, S.; Singh, S.B.; Lal, S.P.; Yaduraju, N.T. Effect of long term application of pendimethalin enhanced degradation in soil. Pest Manag. Sci. 2000, 56, 202–206. [Google Scholar] [CrossRef]
- Arbeli, Z.; Fuentes, C.L. Accelerated biodegradation of pesticides: An overview of the phenomenon, its basis and possible solutions; and a discussion on the tropical dimension. Crop Prot. 2007, 26, 1733–1746. [Google Scholar] [CrossRef]
- Yale, R.L.; Sapp, M.; Sinclair, C.J.; Moir, J.W.B. Microbial changes linked to the accelerated degradation of the herbicide atrazine in a range of temperate soils. Environ. Sci. Pollut. Res. 2017, 24, 7359–7374. [Google Scholar] [CrossRef] [PubMed]
- Paporisch, A.; Laor, Y.; Rubin, B.; Eizenberg, H. Effect of Repeated Application of Sulfonylurea Herbicides on Sulfosulfuron Dissipation Rate in Soil. Agronomy 2020, 10, 1724. [Google Scholar] [CrossRef]
- Kaur, P.; Bhullar, M.S. Effect of repeated application of pendimethalin on its persistence and dissipation kinetics in soil under field and laboratory conditions. Environ. Technol. 2019, 40, 997–1005. [Google Scholar] [CrossRef]
- Janaki, P.; Chinnusamy, C.; Meena, S.; Shanmugasundaram, R.; Sakthivel, N. Effect of repeated and long term application of butachlor on its dissipation kinetics in rice soil. Asian J. Chem. 2016, 28, 2277–2282. [Google Scholar] [CrossRef]
- Karpouzas, D.G.; Karanasios, E.; Menkissoglu-Spiroudi, U. Enhanced microbial degradation of cadusafos in soils from potato monoculture: Demonstration and characterization. Chemosphere 2004, 56, 549–559. [Google Scholar] [CrossRef] [PubMed]
- Celis, R.; Gámiz, B.; Adelino, M.A.; Cornejo, J.; Hermosín, M.C. Effect of formulation and repeated applications on the enantioselectivity of metalaxyl dissipation and leaching in soil. Pest Manag. Sci. 2015, 71, 1572–1581. [Google Scholar] [CrossRef]
- Zablotowicz, R.M.; Krutz, L.J.; Reddy, K.N.; Weaver, M.A.; Koger, C.H.; Locke, M.A. Rapid development of enhanced atrazine degradation in a Dundee silt loam soil under continuous corn and in rotation with cotton. J. Agric. Food Chem. 2007, 55, 852–859. [Google Scholar] [CrossRef]
- Mutua, G.K.; Ngigi, A.N.; Getenga, Z.M. Degradation characteristics of metribuzin in soils within the Nzoia River Drainage Basin, Kenya. Toxicol. Environ. Chem. 2016, 98, 800–813. [Google Scholar]
- García-Delgado, C.; Barba-Vicente, V.; Marín-Benito, J.M.; Igual, J.M.; Sánchez-Martín, M.J.; Rodríguez-Cruz, M.S. Influence of different agricultural management practices on soil microbial community over dissipation time of two herbicides. Sci. Total Environ. 2019, 646, 1478–1488. [Google Scholar] [CrossRef] [PubMed]
- PPDB, Pesticide Properties Database. UK: University of Hertfordshire. 2021. Available online: http://sitem.herts.ac.uk/aeru/ppdb/en/index.htm (accessed on 11 January 2021).
- Willkommen, S.; Lange, J.; Ulrich, U.; Pfannerstill, M.; Fohrer, N. Field insights into leaching and transformation of pesticides and fluorescent tracers in agricultural soil. Sci. Total Environ. 2021, 751, 141658. [Google Scholar] [CrossRef] [PubMed]
- EC, European Commission, Directorate-General Health & Consumer Protection. Review Report for the Active Substance Chlorotoluron; European Commission: Brussels, Belgium, 2005; 54p. [Google Scholar]
- EFSA, European Food Safety Authority. Rapporteur Assessment Report on the Active Substance Flufenacet. 2017. Available online: http://www.efsa.europa.eu (accessed on 11 January 2021).
- Rouchaud, J.; Neus, O.; Cools, K.; Bulcke, R. Flufenacet soil persistence and mobility in corn and wheat crops. Bull. Environ. Contam. Toxicol. 1999, 63, 460–466. [Google Scholar] [CrossRef]
- Rouchaud, J.; Neus, O.; Eelen, H.; Bulcke, R. Persistence, mobility, and adsorption of the herbicide flufenacet in the soil of winter wheat crops. Bull. Environ. Contam. Toxicol. 2001, 67, 609–616. [Google Scholar] [CrossRef]
- Rouchaud, J.; Neus, O.; Bulcke, R.; Cools, K.; Eelen, H.; Dekkers, T. Soil dissipation of diuron, chlorotoluron, simazine, propyzamide, and diflufenican herbicides after repeated applications in fruit tree orchards. Arch. Environ. Contam. Toxicol. 2000, 39, 60–65. [Google Scholar] [CrossRef]
- Carpio, M.J.; Rodríguez-Cruz, M.S.; García-Delgado, C.; Sánchez-Martín, M.J.; Marín-Benito, J.M. Mobility monitoring of two herbicides in amended soils: A field study for modeling applications. J. Environ. Manag. 2020, 260, 110161. [Google Scholar] [CrossRef]
- Marín-Benito, J.M.; Carpio, M.J.; Sánchez-Martín, M.J.; Rodríguez-Cruz, M.S. Previous degradation study of two herbicides to simulate their fate in a sandy loam soil: Effect of the temperature and the organic amendments. Sci. Total Environ. 2019, 653, 1301–1310. [Google Scholar] [CrossRef] [PubMed]
- FOCUS, FOrum for Co-Ordination of Pesticide Fate Models and Their USe. Guidance Document on Estimating Persistence and Degradation Kinetics from Environmental Fate Studies on Pesticides in EU Registration. Report of the FOCUS Work Group on Degradation Kinetics. EC Documents Reference Sanco/10058/2005 Version 2.0, 2006; 434p. Available online: https://esdac.jrc.ec.europa.eu/public_path/projects_data/focus/dk/docs/finalreportFOCDegKinetics.pdf (accessed on 15 December 2020).
- Rodríguez-Liébana, J.A.; ElGouzi, S.; Mingorance, M.D.; Castillo, A.; Peña, A. Irrigation of a Mediterranean soil under field conditions with urban wastewater: Effect on pesticide behavior. Agric. Ecosyst. Environ. 2014, 185, 176–185. [Google Scholar] [CrossRef]
- Krutz, L.J.; Zablotowicz, R.M.; Reddy, K.N.; Koger, C.H.; Weaver, M.A. Enhanced degradation of atrazine under field conditions correlates with a loss of weed control in the glasshouse. Pest Manag. Sci. 2007, 63, 23–31. [Google Scholar] [CrossRef] [PubMed]
- Abit, M.; Rainbolt, C.; Krutz, L.; Shaner, D.; Hanson, B. Effects of long-term use on simazine dissipation in central California vineyards. Weed Sci. 2012, 60, 531–536. [Google Scholar] [CrossRef]
- Liu, J.; Song, Y.; Tang, M.; Lu, Q.; Zong, G. Enhanced dissipation of xenobiotic agrochemicals harnessing soil microbiome in the tillage-reduced rice-dominated agroecosystem. J. Hazard. Mater. 2020, 398, 122954. [Google Scholar] [CrossRef] [PubMed]
- García-Delgado, C.; Carpio, M.J.; Marín-Benito, J.M.; Igual, J.M.; Sánchez-Martín, M.J.; Rodríguez-Cruz, M.S. Soil microbial community changes in a field treatment with chlorotoluron, flufenacet and diflufenican and two organic amendments. Agronomy 2020, 10, 1166. [Google Scholar] [CrossRef]
- Johnstone, P.K.; Jolley, A.V.; Code, G.R.; Moerkerk, M.R.; Corbett, A. Degradation of trifluralin in three Victorian soils—Long-term field trials. Aust. J. Exp. Agric. 1998, 38, 363–374. [Google Scholar] [CrossRef]





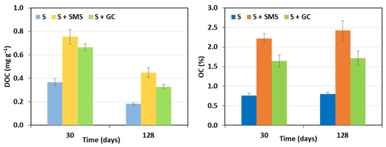
| Soil | pH | OC (%) a | DOC (mg g−1) b | N (%) | C/N | CEC (cmolc kg−1) c |
|---|---|---|---|---|---|---|
| SMS | 7.9 | 35.0 | 11.9 | 2.3 | 15.2 | 35.1 |
| GC | 7.2 | 26.7 | 7.18 | 1.1 | 24.3 | 41.4 |
| S | 6.3 | 0.76–0.80 | 0.37–0.18 | 0.05 | 15.2–16.0 | 8.5 |
| S + SMS | 7.1 | 2.22–2.43 | 0.75–0.45 | 0.24 | 9.25–10.1 | 10.9 |
| S + GC | 7.0 | 1.65–1.72 | 0.66–0.33 | 0.14 | 11.8–12.3 | 11.0 |
| Soil | M0 (%) | α | β | DT50 (Days) | DT90 (Days) | χ2 | R2 |
|---|---|---|---|---|---|---|---|
| Chlorotoluron | |||||||
| S | 99.21 | 1.14×exp4 | 6.75×exp5 | 41.1 | 136.5 | 9.3 | 0.982 |
| S + SMS | 97.54 | 6.23×exp4 | 1.96×exp6 | 21.8 | 72.3 | 8.1 | 0.983 |
| S + GC | 107.79 | 5.39×exp5 | 1.61×exp7 | 20.7 | 68.8 | 14.7 | 0.975 |
| Flufenacet | |||||||
| S | 92.41 | 64.496 | 6995.6 | 75.6 | 254.3 | 5.8 | 0.972 |
| S + SMS | 97.98 | 0.35 | 11.7 | 73.6 | 8515.6 | 6.4 | 0.951 |
| S + GC | 105.16 | 0.511 | 14.9 | 42.9 | 1333.5 | 5.3 | 0.969 |
Publisher’s Note: MDPI stays neutral with regard to jurisdictional claims in published maps and institutional affiliations. |
© 2021 by the authors. Licensee MDPI, Basel, Switzerland. This article is an open access article distributed under the terms and conditions of the Creative Commons Attribution (CC BY) license (https://creativecommons.org/licenses/by/4.0/).
Share and Cite
Carpio, M.J.; Marín-Benito, J.M.; Sánchez-Martín, M.J.; Rodríguez-Cruz, M.S. Accelerated Dissipation of Two Herbicides after Repeated Application in Field Experiments with Organically-Amended Soil. Agronomy 2021, 11, 1125. https://doi.org/10.3390/agronomy11061125
Carpio MJ, Marín-Benito JM, Sánchez-Martín MJ, Rodríguez-Cruz MS. Accelerated Dissipation of Two Herbicides after Repeated Application in Field Experiments with Organically-Amended Soil. Agronomy. 2021; 11(6):1125. https://doi.org/10.3390/agronomy11061125
Chicago/Turabian StyleCarpio, María José, Jesús M. Marín-Benito, María J. Sánchez-Martín, and M. Sonia Rodríguez-Cruz. 2021. "Accelerated Dissipation of Two Herbicides after Repeated Application in Field Experiments with Organically-Amended Soil" Agronomy 11, no. 6: 1125. https://doi.org/10.3390/agronomy11061125
APA StyleCarpio, M. J., Marín-Benito, J. M., Sánchez-Martín, M. J., & Rodríguez-Cruz, M. S. (2021). Accelerated Dissipation of Two Herbicides after Repeated Application in Field Experiments with Organically-Amended Soil. Agronomy, 11(6), 1125. https://doi.org/10.3390/agronomy11061125

