Evaluation of Mass Trapping Devices for Early Seasonal Management of Ceratitis Capitata (Diptera: Tephritidae) Populations
Abstract
1. Introduction
2. Materials and Methods
2.1. Insects and Field Cages
2.2. Trapping Devices
2.3. Experimental Procedure
2.4. Statistical Analysis
3. Results
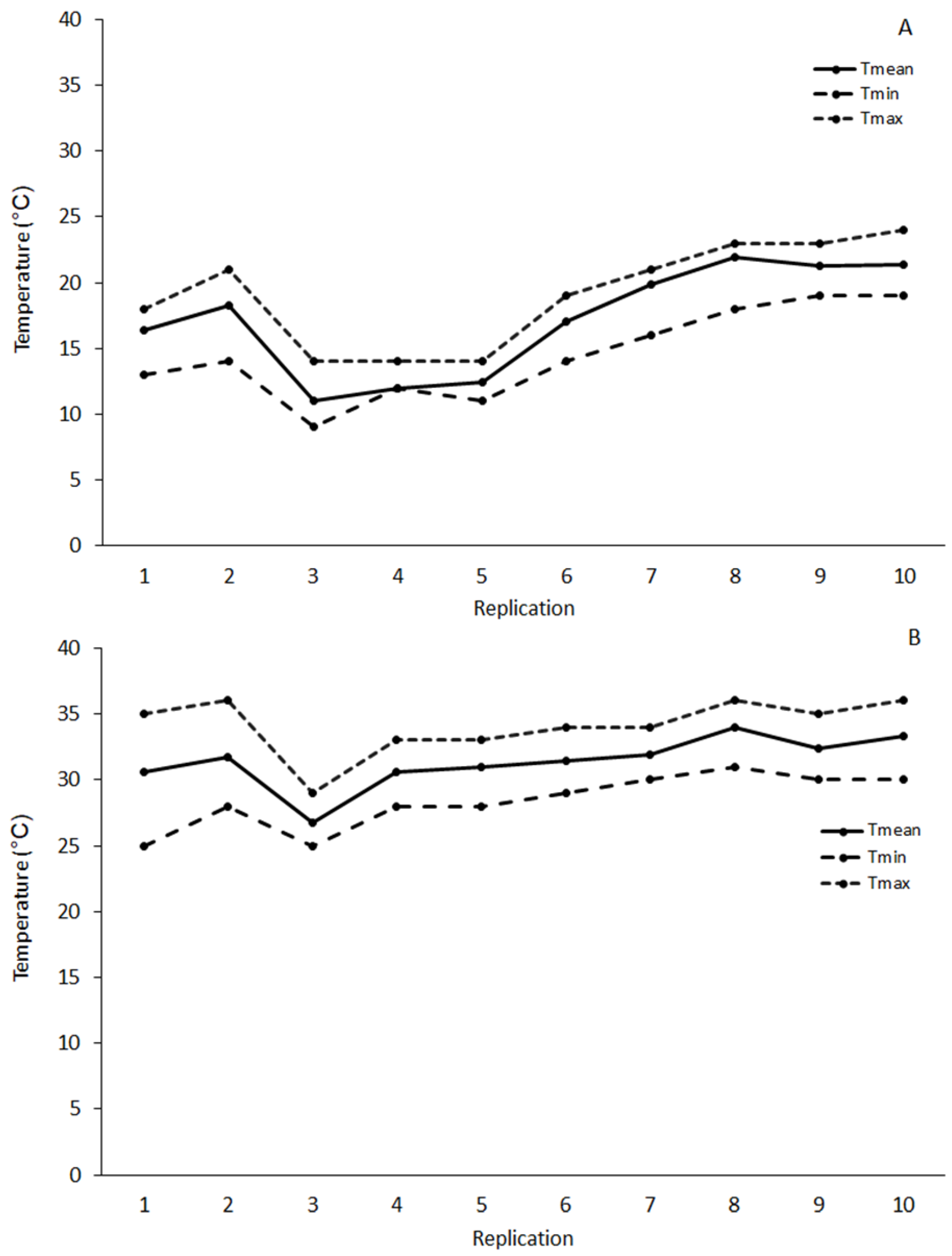
3.1. Climatic Data
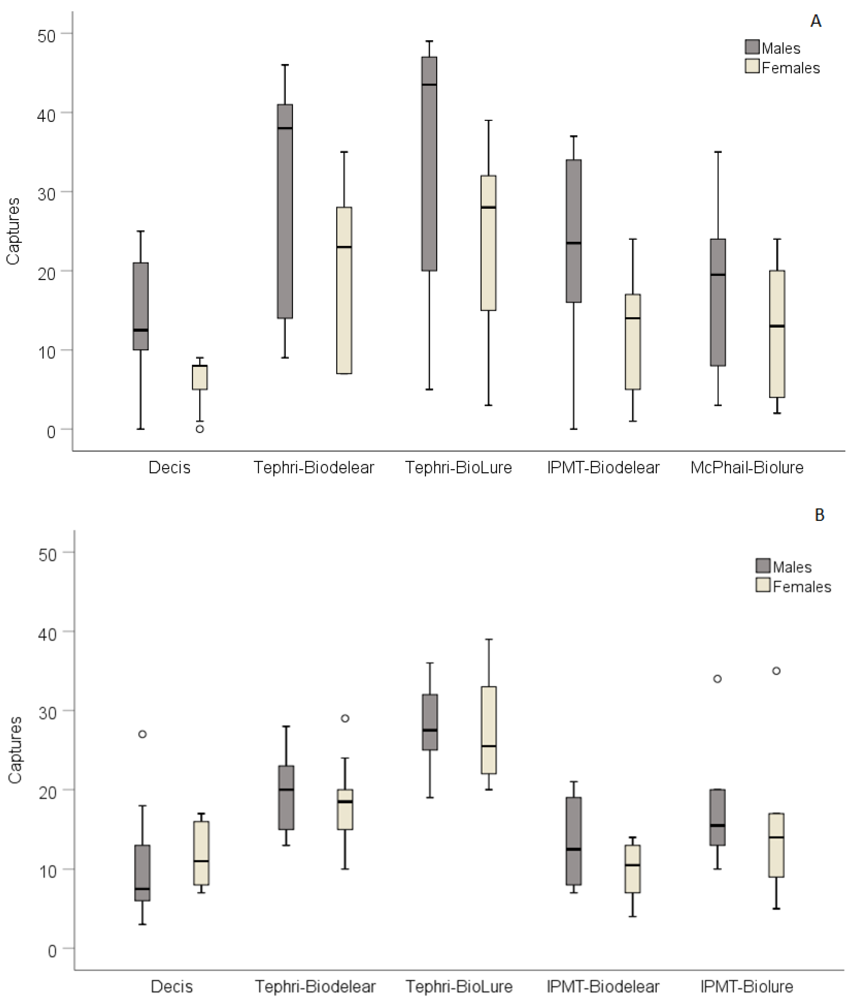
3.2. Efficacy and Female Selectivity of Trapping Devices
3.3. Relationship of Treatment Captures and Temperature for Males and Females
4. Discussion
5. Conclusions
Author Contributions
Funding
Institutional Review Board Statement
Informed Consent Statement
Data Availability Statement
Acknowledgments
Conflicts of Interest
References
- Liquido, N.J.; Cunningham, R.; Shinoda, L. Host Plants of the Mediterranean Fruit Fly, Diptera: Tephritidae, an Annotated World Review; Miscellaneous Publications of the Entomological Society of America: Annapolis, MD, USA, 1991; Volume 77, pp. 1–52. [Google Scholar]
- Papadopoulos, N.T.; Katsoyannos, B.I.; Kouloussis, N.A.; Hendrichs, J.; Carey, J.R.; Heath, R.R. Early detection and population monitoring of Ceratitis capitata (Diptera: Tephritidae) in a mixed-fruit orchard in northern Greece. J. Econ. Entomol. 2001, 94, 971–978. [Google Scholar] [CrossRef]
- Navarro-Llopis, V.; Primo, J.; Vacas, S. Efficacy of attract-and-kill devices for the control of Ceratitis capitata. Pest Manag. Sci. 2013, 69, 478–482. [Google Scholar] [CrossRef]
- Dias, N.P.; Zotti, M.J.; Montoya, P.; Carvalho, I.R.; Nava, D.E. Fruit fly management research: A systematic review of monitoring and control tactics in the world. Crop Prot. 2018, 112, 187–200. [Google Scholar] [CrossRef]
- Gregg, P.C.; Del Socorro, A.P.; Landolt, P.J. Advances in attract-and-kill for agricultural pests: Beyond pheromones. Annu. Rev. Entomol. 2018, 63, 453–470. [Google Scholar] [CrossRef]
- Rachid, E.; Ahmed, M. Cur Tephritidae) control in Morocco. J. Entomol. 2018, 15, 47. [Google Scholar] [CrossRef]
- Hafsi, A.; Rahmouni, R.; Ben Othman, S.; Abbes, K.; Elimem, M.; Chermiti, B. Mass trapping and bait station techniques as alternative methods for IPM of Ceratitis capitata Wiedmann (Diptera: Tephritidae) in citrus orchards. Orient. Insects 2020, 54, 285–298. [Google Scholar] [CrossRef]
- Hafsi, A.; Abbes, K.; Harbi, A.; Rahmouni, R.; Chermiti, B. Comparative efficacy of Malathion and spinosad bait sprays against Ceratitis capitata Wiedmann (Diptera: Tephritidae) in Tunisian citrus orchards. J. Entomol. Zool. Stud. 2015, 3, 246–249. [Google Scholar]
- Rahman, T.; Broughton, S. Suppressing Mediterranean fruit fly (Diptera: Tephritidae) with an attract-and-kill device in pome and stone fruit orchards in Western Australia. Crop Prot. 2016, 80, 108–117. [Google Scholar] [CrossRef]
- Navarro-Llopis, V.; Vacas, S. Mass trapping for fruit fly control. In Trapping and the Detection, Control, and Regulation of Tephritid Fruit Flies; Springer: Berlin/Heidelberg, Germany, 2014; pp. 513–555. [Google Scholar]
- Christenson, L.; Foote, R.H. Biology of fruit flies. Annu. Rev. Entomol. 1960, 5, 171–192. [Google Scholar] [CrossRef]
- Kouloussis, N.A.; Damos, P.T.; Ioannou, C.S.; Tsitsoulas, C.; Papadopoulos, N.T.; Nestel, D.; Koveos, D.S. Age related assessment of sugar and protein intake of Ceratitis capitata in ad libitum conditions and modeling its relation to reproduction. Front. Physiol. 2017, 8, 271. [Google Scholar] [CrossRef] [PubMed]
- Epsky, N.; Hendrichs, J.; Katsoyannos, B.; Vasquez, L.; Ros, J.; Zümreoglu, A.; Pereira, R.; Bakri, A.; Seewooruthun, S.; Heath, R. Field evaluation of female-targeted trapping systems for Ceratitis capitata (Diptera: Tephritidae) in seven countries. J. Econ. Entomol. 1999, 92, 156–164. [Google Scholar] [CrossRef]
- Katsoyannos, B.I.; Heath, R.R.; Papadopoulos, N.T.; Epsky, N.D.; Hendrichs, J. Field evaluation of Mediterranean fruit fly (Diptera: Tephritidae) female selective attractants for use in monitoring programs. J. Econ. Entomol. 1999, 92, 583–589. [Google Scholar] [CrossRef]
- Katsoyannos, B.; Papadopoulos, N.; Heath, R.; Hendrichs, J.; Kouloussis, N. Evaluation of synthetic food-based attractants for female Mediterranean fruit flies (Dipt., Tephritidae) in McPhail type traps. J. Appl. Entomol. 1999, 123, 607–612. [Google Scholar] [CrossRef]
- Holler, T.C.; Peebles, M.; Young, A.; Whiteman, L.; Olson, S.; Sivinski, J. Efficacy of the Suterra biolure individual female fruit fly attractant packages vs. the unipak version. Fla. Entomol. 2009, 92, 667–669. [Google Scholar]
- Navarro-Llopis, V.; Alfaro, F.; Domínguez, J.; Sanchis, J.; Primo, J. Evaluation of traps and lures for mass trapping of Mediterranean fruit fly in citrus groves. J. Econ. Entomol. 2008, 101, 126–131. [Google Scholar] [CrossRef] [PubMed]
- Peñarrubia-María, I.E.; Quilici, S.; Schmitt, C.; Escudero-Colomar, L.A. Evaluation of candidate systems for mass trapping against Ceratitis spp. on La Réunion island. Pest Manag. Sci 2014, 70, 448–453. [Google Scholar] [CrossRef]
- Broughton, S.; Rahman, T. Evaluation of lures and traps for male and female monitoring of Mediterranean fruit fly in pome and stone fruit. J. Appl. Entomol. 2017, 141, 441–449. [Google Scholar] [CrossRef]
- Mavraganis, G. Maillard Reaction Products for Attracting Insects. Greece Patent. Inventor WO Patent 2012/056257, 3 May 2012. [Google Scholar]
- Kouloussis, N.; Papadopoulos, N.; Ioannou, C.; Damos, P.; Koveos, D.; Bempelou, E.; Mavraganis, V. First results on mass trapping of Ceratitis capitata using the new attractant Biodelear. Iobc-Wprs Bull. 2017, 123, 39–42. [Google Scholar]
- Til, H.; Falke, H.; Prinsen, M.; Willems, M. Acute and subacute toxicity of tyramine, spermidine, spermine, putrescine and cadaverine in rats. Food Chem. Toxicol. 1997, 35, 337–348. [Google Scholar] [CrossRef]
- Wyatt, I.; Soames, A.; Clay, M.; Smith, L. The accumulation and localisation of putrescine, spermidine, spermine and paraquat in the rat lung: In vitro and in vivo studies. Biochem. Pharmacol. 1988, 37, 1909–1918. [Google Scholar] [CrossRef]
- Cohen, H.; Yuval, B. Perimeter trapping strategy to reduce Mediterranean fruit fly (Diptera: Tephritidae) damage on different host species in Israel. J. Econ. Entomol. 2000, 93, 721–725. [Google Scholar] [CrossRef]
- Hafsi, A.; Abbes, K.; Harbi, A.; Chermiti, B. Field efficacy of commercial food attractants for Ceratitis capitata (Diptera: Tephritidae) mass trapping and their impacts on non-target organisms in peach orchards. Crop Prot. 2020, 128, 104989. [Google Scholar] [CrossRef]
- Martínez-Ferrer, M.; Navarro Campos, C.; Campos Rivela, J.M.; Marzal Moreno, C.; Fibla, J.; Bargues Desolmes, L.; García Mari, F. Seasonal and annual trends in field populations of Mediterranean fruit fly, Ceratitis capitata, in Mediterranean citrus groves: Comparison of two geographic areas in eastern Spain. Span. J. Agric. Res. 2010, 8, 757–765. [Google Scholar] [CrossRef]
- Navarro-Llopis, V.; Primo, J.; Vacas, S. Bait station devices can improve mass trapping performance for the control of the Mediterranean fruit fly. Pest Manag. Sci. 2015, 71, 923–927. [Google Scholar] [CrossRef]
- Hafsi, A.; Abbes, K.; Harbi, A.; Duyck, P.F.; Chermiti, B. Attract-and-kill systems efficiency against C eratitis capitata (D iptera: T ephritidae) and effects on non-target insects in peach orchards. J. Appl. Entomol. 2016, 140, 28–36. [Google Scholar] [CrossRef]
- Miranda, M.; Alonso, R.; Alemany, A. Field evaluation of medfly (Dipt., Tephritidae) female attractants in a Mediterranean agrosystem (Balearic Islands, Spain). J. Appl. Entomol. 2001, 125, 333–339. [Google Scholar] [CrossRef]
- Boller, E. Rhagoletis cerasi and Ceratitis capitata. Handb. Insect Rearing 1985, 2, 135–144. [Google Scholar]
- Katsoyannos, B.I.; Papadopoulos, N.T. Evaluation of synthetic female attractants against Ceratitis capitata (Diptera: Tephritidae) in sticky coated spheres and McPhail type traps. J. Econ. Entomol. 2004, 97, 21–26. [Google Scholar] [CrossRef] [PubMed]
- Economopoulos, A.P. Use of traps based on color and/or shape. In World Crop Pests, Fruit Flies, Their Biology, Natural Enemies and Control; Robinson, A.S., Hooper, G., Eds.; The Elsevier Science Publishers: Amsterdam, The Netherlands, 1989; Volume 3B, pp. 315–327. [Google Scholar]
- Katsoyannos, B.I. Response to shape, size and color. In Fruit Flies: Their Biology, Natural Enemies and Control. World Crop Pests; Robinson, A.S., Hooper, G., Eds.; Elsevier: Amsterdam, The Netherlands, 1989; Volume 3A, pp. 307–324. [Google Scholar]
- Alemany, A.; Alonso, D.; Miranda, M.A. Evaluation of improved Mediterranean fruit fly attractants and retention systems in the Balearic Islands (Spain). In Proceedings of the 6th International Symposium on Fruit Flies of Economic Importance, Stellenbosch, South Africa, 6–10 May 2002; Barnes, B.N., Ed.; Isteg Scientific Publications: lrene, South Africa, 2004; pp. 355–359. [Google Scholar]
- Katsoyannos, B.; Papadopoulos, N.; Heath, R. Field evaluation of trap types and lures for Bactrocera oleae (Diptera: Tephritidae). Experiments conducted in Chios, Greece. In Proceedings of the a Final Research Coordination Meetingorganized by the Joint FAO/IAEA Programme of Nuclear Techniques in Food and Agriculture, Vienna, Austria, 5–7 May 2005; IAEA: Vienna, Austria, 2007; pp. 33–42. [Google Scholar]
- Broughton, S.; De Lima, C.F. Field evaluation of female attractants for monitoring Ceratitis capitata (Diptera: Tephritidae) under a range of climatic conditions and population levels in Western Australia. J. Econ. Entomol. 2002, 95, 507–512. [Google Scholar] [CrossRef]
- Papadopoulos, N.T.; Katsoyannos, B.I.; Nestle, D. Spatial autocorrelation analysis of a Ceratitis capitata (Diptera: Tephritidae) adult population in a mixed deciduous fruit orchard in northern Greece. Environ. Entomol. 2003, 32, 319–326. [Google Scholar] [CrossRef]
- Broughton, S.; Rahman, T.; Woods, B. Sustainable Management of Medfly without Cover Sprays, Project Number: MT12012; Horticulture Innovation Australia: Sydney, Australia, 2015; pp. 1–98. [Google Scholar]
- Manrakhan, A.; Daneel, J.H.; Beck, R.; Virgilio, M.; Meganck, K.; De Meyer, M. Efficacy of trapping systems for monitoring of Afrotropical fruit flies. J. Appl. Entomol. 2017, 141, 825–840. [Google Scholar] [CrossRef]
- Nakagawa, S.; Prokopy, R.J.; Wong, T.T.; Ziegler, J.R.; Mitchell, S.M.; Urago, T.; Harris, E.J. Visual orientation of Ceratitis capitata flies to fruit models. Entomol. Exp. Appl. 1978, 24, 193–198. [Google Scholar] [CrossRef]
- Levinson, H.Z.; Levinson, A.R.; Müller, K. Influence of some olfactory and optical properties of fruits on host location by the Mediterranean fruit fly (Cera titis capita ta Wied.). J. Appl. Entomol. 1990, 109, 44–54. [Google Scholar] [CrossRef]
- Katsoyannos, B. Effect of color properties of spheres on their attractiveness for Ceratitis capitata (Wiedemann) flies in the field. J. Appl. Entomol. 1987, 104, 79–85. [Google Scholar] [CrossRef]
- Lance, D.; Gates, D. Sensitivity of detection trapping systems for Mediterranean fruit flies (Diptera: Tephritidae) in southern California. J. Econ. Entomol. 1994, 87, 1377–1383. [Google Scholar] [CrossRef]
- Barclay, H.J.; Li, C. Combining methods of pest control: Minimizing cost during the control program. Theor. Popul. Biol. 1991, 40, 105–123. [Google Scholar] [CrossRef]
- Navarro-Llopis, V.; Domínguez-Ruiz, J.; Zarzo, M.; Alfaro, C.; Primo, J. Mediterranean fruit fly suppression using chemosterilants for area wide integrated pest management. Pest Manag. Sci. Former. Pestic. Sci. 2010, 66, 511–519. [Google Scholar] [CrossRef]
- Katsoyannos, B. Evaluation of Mediterranean fruit fly traps for use in sterile insect technique programmes. J. Appl. Entomol. 1994, 118, 442–452. [Google Scholar] [CrossRef]
- Vargas, R.I.; Souder, S.K.; Rendon, P.; Mackey, B. Suppression of Mediterranean fruit fly (Diptera: Tephritidae) with trimedlure and biolure dispensers in Coffea arabica (Gentianales: Rubiaceae) in Hawaii. J. Econ. Entomol. 2018, 111, 293–297. [Google Scholar] [CrossRef]
- El-Sayed, A.; Suckling, D.; Wearing, C.; Byers, J. Potential of mass trapping for long-term pest management and eradication of invasive species. J. Econ. Entomol. 2006, 99, 1550–1564. [Google Scholar] [CrossRef]
- Martinez-Ferrer, M.; Campos, J.; Fibla, J. Field efficacy of Ceratitis capitata (Diptera: Tephritidae) mass trapping technique on clementine groves in Spain. J. Appl. Entomol. 2012, 136, 181–190. [Google Scholar] [CrossRef]
- Rousse, P.; Duyck, P.F.; Quilici, S.; Ryckewaert, P. Adjustment of field cage methodology for testing food attractants for fruit flies (Diptera: Tephritidae). Ann. Entomol. Soc. Am. 2005, 98, 402–408. [Google Scholar] [CrossRef][Green Version]
- Lasa, R.; Velázquez, O.E.; Ortega, R.; Acosta, E. Efficacy of commercial traps and food odor attractants for mass trapping of Anastrepha ludens (Diptera: Tephritidae). J. Econ. Entomol. 2014, 107, 198–205. [Google Scholar] [CrossRef] [PubMed]



| Parameter | χ2 | df | p-Value |
|---|---|---|---|
| Trapping device | 311.744 | 4 | <0.001 |
| Sex | 48.695 | 1 | <0.001 |
| Temperature | 343.571 | 19 | <0.001 |
| Trapping device × Sex | 7.671 | 4 | 0.104 |
| Trapping device × Temperature | 184.991 | 76 | <0.001 |
| Sex × Temperature | 48.827 | 19 | <0.001 |
| Trapping Device | Average Number of Adult Captures ± SE a | Average Proportion of Females (Females/(Males + Females) b | ||
|---|---|---|---|---|
| Spring | Summer | Spring | Summer | |
| Decis® | 19.5 ± 3.4 c | 22.2 ± 3.2 c | 0.37 ± 0.08 a | 0.57 ± 0.04 a |
| Tephri-Biodelear | 51.7 ± 7.6 a | 38.6 ± 2.8 b | 0.40 ± 0.01 a | 0.47 ± 0.03 ab |
| Tephri-BioLure | 59.6 ± 8.9 a | 55.7 ± 3.2 a | 0.43 ± 0.03 a | 0.50 ± 0.02 ab |
| IPMT-Biodelear | 35.1 ± 6.2 b | 23.3 ± 2.6 c | 0.39 ± 0.07 a | 0.43 ± 0.02 b |
| IPMT-BioLure | 30.3 ± 5.6 b | 31.7 ± 4.7 b | 0.38 ± 0.03 a | 0.45 ± 0.02 b |
Publisher’s Note: MDPI stays neutral with regard to jurisdictional claims in published maps and institutional affiliations. |
© 2021 by the authors. Licensee MDPI, Basel, Switzerland. This article is an open access article distributed under the terms and conditions of the Creative Commons Attribution (CC BY) license (https://creativecommons.org/licenses/by/4.0/).
Share and Cite
Bali, E.-M.D.; Moraiti, C.A.; Ioannou, C.S.; Mavraganis, V.; Papadopoulos, N.T. Evaluation of Mass Trapping Devices for Early Seasonal Management of Ceratitis Capitata (Diptera: Tephritidae) Populations. Agronomy 2021, 11, 1101. https://doi.org/10.3390/agronomy11061101
Bali E-MD, Moraiti CA, Ioannou CS, Mavraganis V, Papadopoulos NT. Evaluation of Mass Trapping Devices for Early Seasonal Management of Ceratitis Capitata (Diptera: Tephritidae) Populations. Agronomy. 2021; 11(6):1101. https://doi.org/10.3390/agronomy11061101
Chicago/Turabian StyleBali, Eleftheria-Maria D., Cleopatra A. Moraiti, Charalampos S. Ioannou, Vasilis Mavraganis, and Nikos T. Papadopoulos. 2021. "Evaluation of Mass Trapping Devices for Early Seasonal Management of Ceratitis Capitata (Diptera: Tephritidae) Populations" Agronomy 11, no. 6: 1101. https://doi.org/10.3390/agronomy11061101
APA StyleBali, E.-M. D., Moraiti, C. A., Ioannou, C. S., Mavraganis, V., & Papadopoulos, N. T. (2021). Evaluation of Mass Trapping Devices for Early Seasonal Management of Ceratitis Capitata (Diptera: Tephritidae) Populations. Agronomy, 11(6), 1101. https://doi.org/10.3390/agronomy11061101

