An Overview of Rice Cultivation in Spain and the Management of Herbicide-Resistant Weeds
Abstract
1. Introduction
1.1. Main Rice-Growing Areas in Spain
1.2. Main Commercial Rice Varieties
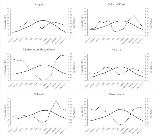
1.3. Soil Characteristics and Temperature/Water Requirements
2. Weed Control in Rice in Spain
3. Herbicide Resistance
4. Survey on Weed Control and Resistance Awareness in Spanish Rice Areas
5. Conclusions
Author Contributions
Funding
Institutional Review Board Statement
Informed Consent Statement
Acknowledgments
Conflicts of Interest
References
- Dogara, A.; Jumare, A. Origin, distribution and heading date in cultivated rice. Int. J. Plant Biol. Res. 2014, 2, 1008. [Google Scholar]
- Molina, J.; Sikara, M.; Garud, N.; Flowers, J.M.; Rubinstein, S.; Reynolds, A.; Huang, P.; Jackson, S.; Schaal, B.A.; Bustamante, C.D.; et al. Molecular evidence for a single evolutionary origin of domesticated rice. Proc. Natl. Acad. Sci. USA 2011, 108, 8351–8356. [Google Scholar] [CrossRef]
- Ferrero, A.; Vidotto, F. History of rice in Europe. In Rice: Origin, Antiquity and History; Science Publishers: Enfield, NH, USA, 2010; pp. 341–372. [Google Scholar]
- Spanish Ministry of Agriculture, Fisheries and Food. Anuario de Estadística; Spanish Ministry of Agriculture, Fisheries and Food: Madrid, Spain, 2019; p. 846.
- Pardo, G.; Marí, A.I.; Aibar, J.; Cirujeda, A. Do Crop Rotations in Rice Reduce Weed and Echinochloa spp. Infestations? Recommendations for Integrated Weed Control. Agronomy 2021, 11, 454. [Google Scholar] [CrossRef]
- Grzebisz, W.; Łukowiak, R.; Sassenrath, G.F. Virtual nitrogen as a tool for assessment of nitrogen management at the field scale: A crop rotation approach. Field Crop Res. 2018, 218, 182–194. [Google Scholar] [CrossRef]
- Arcieri, M.; Ghinassi, G. Rice cultivation in Italy under the threat of climatic change: Trends, technologies and research gaps. Irrig. Drain. 2020, 69, 517–530. [Google Scholar] [CrossRef]
- Redona, E.D.; Mackill, D.J. Quantitative trait locus analysis for rice panicle and grain characteristics. Theor. Appl. Genet. 1998, 96, 957–963. [Google Scholar] [CrossRef]
- Tesio, F.; Tabacchi, M.; Cerioli, S.; Follis, F. Sustainable hybrid rice cultivation in Italy. A review. Agron. Sustain. Dev. 2014, 34, 93–102. [Google Scholar] [CrossRef]
- Marques-Avila, A. El consumo de arroz crece en España y en el mundo. Distrib. Consumo 2021, 1, 113–116. [Google Scholar]
- Palmerín, J.A. (Junta de Extremadura, Don Benito, Badajoz, Spain). Personal communication, 2021.
- Zeng, F.; Ali, S.; Zhang, H.; Ouyang, Y.; Qiu, B.; Wu, F.; Zhang, G. The influence of pH and organic matter content in paddy soil on heavy metal availability and their uptake by rice plants. Environ. Pollut. 2011, 159, 84–91. [Google Scholar] [CrossRef] [PubMed]
- Auffhammer, M.; Ramanathan, V.; Vincent, J.R. Climate change, monsoon, and rice yield in India. Clim. Chang. 2011, 111, 411–422. [Google Scholar] [CrossRef]
- Shimono, H.; Hasegawa, T.; Fujimura, S.; Iwama, K. Responses of leaf photosynthesis and plant water status in rice to low water temperature at different growth stages. Field Crops Res. 2004, 89, 71–83. [Google Scholar] [CrossRef]
- Ferrero, A.; Tinarelli, A. Rice Cultivation in the E.U. Ecological Conditions and Agronomical Practices: 1–24. In Pesticide Risk Assessment in Rice Paddies: Theory and Practice; Elsevier: Amsterdam, The Netherlands, 2008. [Google Scholar]
- Kraehmer, H.; Jabran, K.; Mennan, H.; Chauhan, B.S. Global distribution of rice weeds—A review. Crop Prot. 2016, 80, 73–86. [Google Scholar] [CrossRef]
- Kraehmer, H.; Thomas, C.; Vidotto, F. Rice production in Europe. In Rice Production Worldwide; Springer International Publishing: Cham, Switzerland, 2017. [Google Scholar]
- Kaloumenos, N.S.; Chatzilazaridou, S.L.; Mylona, P.V.; Polidoros, A.N.; Eleftherohorinos, I.G. Target-site mutation associated with cross-resistance to ALS-inhibiting herbicides in late watergrass (Echinochloa oryzicola Vasing.). Pest Manag. Sci. 2013, 69, 865–873. [Google Scholar] [CrossRef] [PubMed]
- Scarabel, L.; Farinati, S.; Sattin, M. Occurrence of Resistance to ALS Inhibitors in European Cyperus esculentus L.: Characterisation and Implications for Management. Agronomy 2020, 10, 1133. [Google Scholar] [CrossRef]
- Norsworthy, J.K.; Bond, J.; Scott, R.C. Weed management practices and needs in Arkansas and Mississippi rice. Weed Technol. 2013, 27, 623–630. [Google Scholar] [CrossRef]
- Osuna, M.D.; Vidotto, F.; Fischer, A.J.; Bayer, D.E.; De Prado, R.; Ferrero, A. Cross-resistance to bispyribac-sodium and bensulfuron-methyl in Echinochloa phyllopogon and Cyperus difformis. Pestic. Biochem. Physiol. 2002, 73, 9–17. [Google Scholar] [CrossRef]
- Iwakami, S.; Hashimoto, M.; Matsushima, K.; Watanabe, H.; Hamamura, K.; Uchino, A. Multiple-herbicide resistance in Echinochloa crus-galli var. formosensis, an allohexaploid weed species, in dry-seeded rice. Pestic. Biochem. Physiol. 2015, 119, 1–8. [Google Scholar] [CrossRef]
- Wang, X.L.; Zhang, Z.Y.; Xu, X.M.; Li, G. The density of barnyard grass affects photosynthesis and physiological characteristics of rice. Photosynthetica 2019, 57, 705–711. [Google Scholar] [CrossRef]
- Olofsdotter, M.; Valverde, B.E.; Madsen, K.H. Herbicide resistant rice (Oryza sativa L.): Global implications for weedy rice and weed management. Ann. Appl. Biol. 2000, 137, 279–295. [Google Scholar] [CrossRef]
- López, G. Orientaciones Generales Para el Empleo de Herbicidas en el Cultivo del Arrozal y la Siembra Directa del Arrozal; Publicaciones del Departamento de Información, Prensa y Propaganda, 1965; p. 31. [Google Scholar]
- Ministerio de Agricultura, Pesca y Alimentación. Pesticide Database. Available online: https://www.mapa.gob.es/es/agricultura/temas/sanidad-vegetal/productos-fitosanitarios/registro/menu.asp (accessed on 1 May 2021).
- Osuna, M.D.; Romano, Y.; Gordo, R.; Cabanillas, T.; De Santiago, A.; Palmerin, J.A.; Quiles, J.M. Problemática de malas hierbas en el cultivo de arroz en Extremadura. Agricultura 2020, 1036, 60–64. [Google Scholar]
- Pardo, G.; Marí, A.; Fernández-Cavada, S.; García-Floria, C.; Hernández, S.; Zaragoza, C.; Cirujeda, A. Alternatives to Penoxsulam to Control Echinochloa Spp. And Cyperaceous Weeds in Rice Crop in NE Spain. ITEA Inf. Tec. Econ. Agrar. 2015, 111, 295–309. [Google Scholar]
- Amaro-Blanco, I.; Romano, Y.; Palmerin, J.A.; Gordo, R.; Palma-Bautista, C.; De Prado, R.; Osuna, M.D. Different Mutations Providing Target Site Resistance to ALS- and ACCase-Inhibiting Herbicides in Echinochloa spp. from Rice Fields. Agriculture 2021, 11, 382. [Google Scholar] [CrossRef]
- Heap, I. International Survey of Herbicide Resistant Weeds. Available online: http://www.weedscience.org/Summary/Species.aspx (accessed on 1 May 2021).
- Jugulam, M.; Shyam, C. Non-Target-Site Resistance to Herbicides: Recent Developments. Plants 2019, 15, 417. [Google Scholar] [CrossRef] [PubMed]
- Powles, S.; Yu, Q. Evolution in Action: Plants Resistant to Herbicides. Annu. Rev. Plant Biol. 2010, 61, 317–347. [Google Scholar] [CrossRef]
- Amaro, I. Resistencia de Malas Hierbas a Herbicidas en el Cultivo del Arroz y en Cultivos Leñosos: Estudios de Mecanismos de Resistencia. Tesis Doctoral, Universidad de Extremadura, 2019. Available online: http://dehesa.unex.es/handle/10662/9998 (accessed on 1 May 2021).
- Tranel, P.J.; Wright, T.R.; Heap, I.M. Mutations in Herbicide-Resistant Weeds to ALS Inhibitors. 2021. Available online: http://www.weedscience.com (accessed on 1 May 2021).
- Liu, J.; Fang, J.; He, Z.; Li, J.; Dong, L. Target site–based resistance to penoxsulam in late watergrass (Echinochloa phyllopogon) from China. Weed Sci. 2019, 67, 380–388. [Google Scholar] [CrossRef]
- Matzenbacher, F.O.; Bortoly, E.D.; Kalsing, A.; Merotto, A. Distribution and analysis of the mechanisms of resistance of barnyardgrass (Echinochloa crus-galli) to imidazolinone and quinclorac herbicides. J. Agric. Sci. 2015, 153, 1044–1058. [Google Scholar] [CrossRef]
- Panozzo, S.; Scarabel, L.; Tranel, P.J.; Sattin, M. Target-site resistance to ALS inhibitors in the polyploid species Echinochloa crus-galli. Pestic. Biochem. Physiol. 2013, 105, 93–101. [Google Scholar] [CrossRef]
- Deng, W.; Cai, J.; Zhang, J.; Chen, Y.; Di, Y.; Yuan, S. Molecular basis of resistance to ACCase-inhibiting herbicide cyhalofop-butyl in Chinese sprangletop (Leptochloa chinensis (L.) Nees) from China. Pestic. Biochem. Physiol. 2019, 158, 143–148. [Google Scholar] [CrossRef] [PubMed]
- Li, Z.; Li, X.; Chen, J.; Peng, L.; Wang, J.; Cui, H. Variation in mutations providing resistance to acetohydroxyacid synthase inhibitors in Cyperus difformis in China. Pestic. Biochem. Physiol. 2020, 166, 104571. [Google Scholar] [CrossRef] [PubMed]
- Martin, R.; Chhun, S.; Yous, S.; Rien, R.; Korn, C.; Srean, P. Survey of Weed Management Practices in Direct-Seeded Rice in North-West Cambodia. Agronomy 2021, 11, 498. [Google Scholar] [CrossRef]
- Osuna, M.D. (Centro de Investigaciones Científicas y Tecnológicas de Extremadura, Guadajira, Badajoz, Spain). Personal communication, 2021.
- Talbert, R.E.; Burgos, N.R. History and Management of Herbicide-resistant Barnyardgrass (Echinochloa crus-galli) in Arkansas Rice. Weed Technol. 2007, 21, 324–331. [Google Scholar] [CrossRef]
- Rodenburg, J.; Meinke, H.; Johnson, D.E. Challenges for weed management in African rice systems in a changing climate. J. Agric. Sci. 2011, 149, 427–435. [Google Scholar] [CrossRef]
- Refatti, J.P.; de Avila, L.A.; Camargo, E.R.; Ziska, L.H.; Oliveira, C.; Salas-Perez, R.; Rouse, C.E.; Roma-Burgos, N. High [CO2] and Temperature Increase Resistance to Cyhalofop-Butyl in Multiple-Resistant Echinochloa colona. Front. Plant. Sci. 2019, 10, 529. [Google Scholar] [CrossRef]
- Young, M.L.; Norsworthy, J.K.; Scott, R.C.; Bond, J.A.; Heiser, J. Benzobicyclon as a Post-Flood Option for Weedy Rice Control. Weed Technol. 2018, 32, 371–378. [Google Scholar] [CrossRef]
- Peng, Y.; Cheng, X.; Liu, D.; Ma, G.; Li, S.; Yang, Y.; Zhang, Y.; Bai, L. Quintrione: A new selective herbicide for weed control in rice (Oryza sativa L.). Crop Prot. 2021, 141, 105501. [Google Scholar] [CrossRef]
- Zabala, D.; Carranza, N.; Darghan, A.; Plaza, G. Spatial distribution of multiple herbicide resistance in Echinochloa colona (L.) Link. Chil. J. Agric. Res. 2019, 79, 576–585. [Google Scholar] [CrossRef]
- Iqbal, N. Effective Weed Management in Dry Direct Seeded Rice for Sustainable Productivity. Appl. Sci. Bus. Econ. 2017, 4, 1–8. [Google Scholar]
- Juliano, L.M.; Casimero, M.C.; Llewellyn, R. Multiple herbicide resistance in barnyardgrass (Echinochloa crus-galli) in direct-seeded rice in the Philippines. Int. J. Pest Manag. 2010, 56, 299–307. [Google Scholar] [CrossRef]
- Chen, G.; Wang, Q.; Yao, Z.; Zhu, L.; Dong, L. Penoxulam-resistant barnyardgrass (Echinochloa crus-galli) in rice fields in China. Weed Biol. Manag. 2016, 16, 16–23. [Google Scholar] [CrossRef]
- Fisher, A.J.; Ateh, C.M.; Bayer, D.E.; Hill, J.E. Herbicide-resistant Echinochloa oryzoides and E. phyllopogon in California Oryza sativa fields. Weed Sci. 2000, 48, 225–230. [Google Scholar] [CrossRef]
- Kacan, K.; Tursun, N.; Ullah, H.; Datta, A. Barnyardgrass (Echinochloa crus-galli (L.) P. Beauv.) resistance to acetolactate synthase-inhibiting and other herbicides in rice in Turkey. Plant Soil Environ. 2020, 66, 357–365. [Google Scholar] [CrossRef]



| Surface (ha) | Yield (kg ha−1) | |||||
|---|---|---|---|---|---|---|
| Total | Long Grain | Medium–Short Grain | Average Field | Long Grain | Medium–Short Grain | |
| Aragon | 5077 | - | 5077 | 2 | - | 5705 |
| Delta del Ebro | 19,847 | 1489 | 18,358 | 2 | 7735 | 7018 |
| Extremadura | 21,355 | 14,755 | 6600 | 4 | 7180 | 6063 |
| Marismas del Guadalquivir | 39,635 | 26,853 | 12,782 | 27 | 8721 | 8512 |
| Navarre | 2004 | - | 2004 | 2 | - | 5621 |
| Valencia | 14,806 | - | 14,806 | <1 | - | 8496 |
| Aragon | Delta del Ebro | Marismas del Guadalquivir | Navarre | Valencia | Extremadura |
|---|---|---|---|---|---|
| Guadiamar (75) | JSendra (35) | Puntal (73) | Guadiamar (91) | JSendra (44) | Sirio (25) |
| Nuovo Maratelli (8) | Argila (16) | JSendra (13) | Nuovo Maratelli (4) | Gleva (21) | Gladio (22) |
| Bomba (6) | Bomba (16) | Guadiagran (2) | Lido (2) | Bomba (12) | CLX745 (14) |
| Furia (5) | Soto (5) | Guadiamar (2) | Onice (2) | Fonsa (10) | Thaiperla (13) |
| Sirio (1) | Sirio (4) | Sirio (2) | Argila (5) | Ecco 51 (9) | |
| Montsianell (4) | Fonsa (2) | Sirio (3) | Bomba (6) | ||
| Furia (3) | Soto (2) |
| Texture | pH | Organic Matter (%) | |
|---|---|---|---|
| Aragon | Silty clay loam | 7.7 | 2.0 |
| Delta del Ebro | Silty clay loam | 8.0 | 3.5 |
| Extremadura | Sandy loam–clay loam | 5.5–6.0 | <2.0 |
| Marismas del Guadalquivir | Clay–silty clay | 7.9–8.3 | 1.5–3.2 |
| Navarre | Silty clay loam | 8.0 | 1.5–2.5 |
| Valencia | Clay loam–silty clay | 7.9 | 3.2 |
| Weed Species | Aragon | Delta del Ebro | Marismas del Guadalquivir | Navarre | Valencia | Extremadura |
|---|---|---|---|---|---|---|
| Echinochloa sp. | 5 | 4 | 5 | 4 | 5 | 5 |
| Oryza sativa | 3 | 2 | 1 | 2 | 2 | 1 |
| Leptochloa sp. | 2 | 2 | 2 | 3 | 2 | 5 |
| Leersia oryzoides | 0 | 2 | 0 | 0 | 0 | 0 |
| Cyperaceae | 4 | 4 | 5 | 5 | 3 | 4 |
| Heteranthera sp. | 2 | 3 | 1 | 5 | 1 | 2 |
| Alisma sp. | 0 | 2 | 1 | 2 | 0 | 3 |
| Ammania sp. | 0 | 0 | 1 | 0 | 0 | 1 |
| Algae | 2 | 2 | 1 | 2 | 1 | 2 |
| Active Ingredient | Mode of Action | Main Target Species | Comments |
|---|---|---|---|
| Pre-Sowing | |||
| Cycloxydim (*) | A/1 (ACCase inhibitors) | OS | |
| Propaquizafop | A/1 (ACCase inhibitors) | OS, ECH | |
| Pre-Emergence | |||
| Clomazone (**) | F4/13 (DOXP inhibitors) | ECH | Dry-seeded rice |
| Pendimethalin | K1/3 (Microtubule inhibitors) | NS | Dry-seeded rice |
| Pendimethalin + clomazone | F4/13 + K1/3 | MON, DIC | Dry-seeded rice |
| Post-Emergence | |||
| Azimsulfuron | B/2 (ALS inhibitors) | AL, AM, CYP, SC, ECH, HE | |
| Bensulfuron-methyl | B/2 (ALS inhibitors) | AL, CYP | |
| Bentazone | C3/6 (PSII inhibitors) | CYP, DIC | |
| Bispyribac-sodium | B/2 (ALS inhibitors) | CYP, ECH | |
| Cyhalofop-butyl | A/1 (ACCase inhibitors) | ECH, LP | |
| Halosulfuron-methyl | B/2 (ALS inhibitors) | CYP, DIC | |
| Imazamox | B/2 (ALS inhibitors) | NS | Clearfield® varieties |
| MCPA | O/4 (synthetic auxins) | DIC | |
| Penoxsulam | B/2 (ALS inhibitors) | ECH, AL, AM, CP | |
| Penoxsulam + cyhalofop-butyl | B/2 + A/1 | ECH, LP | |
| Penoxsulam + triclopyr | B/2 + O/4 | MON, DIC | |
| Profoxydim | A/1 (ACCase inhibitors) | ECH, LP | |
Publisher’s Note: MDPI stays neutral with regard to jurisdictional claims in published maps and institutional affiliations. |
© 2021 by the authors. Licensee MDPI, Basel, Switzerland. This article is an open access article distributed under the terms and conditions of the Creative Commons Attribution (CC BY) license (https://creativecommons.org/licenses/by/4.0/).
Share and Cite
Gómez de Barreda, D.; Pardo, G.; Osca, J.M.; Catala-Forner, M.; Consola, S.; Garnica, I.; López-Martínez, N.; Palmerín, J.A.; Osuna, M.D. An Overview of Rice Cultivation in Spain and the Management of Herbicide-Resistant Weeds. Agronomy 2021, 11, 1095. https://doi.org/10.3390/agronomy11061095
Gómez de Barreda D, Pardo G, Osca JM, Catala-Forner M, Consola S, Garnica I, López-Martínez N, Palmerín JA, Osuna MD. An Overview of Rice Cultivation in Spain and the Management of Herbicide-Resistant Weeds. Agronomy. 2021; 11(6):1095. https://doi.org/10.3390/agronomy11061095
Chicago/Turabian StyleGómez de Barreda, Diego, Gabriel Pardo, José María Osca, Mar Catala-Forner, Silvia Consola, Irache Garnica, Nuria López-Martínez, José Antonio Palmerín, and Maria Dolores Osuna. 2021. "An Overview of Rice Cultivation in Spain and the Management of Herbicide-Resistant Weeds" Agronomy 11, no. 6: 1095. https://doi.org/10.3390/agronomy11061095
APA StyleGómez de Barreda, D., Pardo, G., Osca, J. M., Catala-Forner, M., Consola, S., Garnica, I., López-Martínez, N., Palmerín, J. A., & Osuna, M. D. (2021). An Overview of Rice Cultivation in Spain and the Management of Herbicide-Resistant Weeds. Agronomy, 11(6), 1095. https://doi.org/10.3390/agronomy11061095

