Investigation of Effective Irrigation Strategies for High-Density Apple Orchards in Pennsylvania
Abstract
1. Introduction
2. Materials and Methods
2.1. Experiment Site and Setup
2.2. Drip Irrigation System
2.3. Sensor System Setup
2.3.1. Soil Moisture Sensors
2.3.2. Weather Station Data
2.4. Irrigation Strategies
2.4.1. Soil Moisture-Based Irrigation
2.4.2. ET-Based Irrigation
2.4.3. Conventional Irrigation
2.5. Irrigation Strategies Evaluation
2.6. Statistical Analysis
3. Results
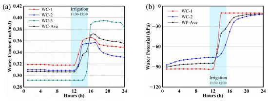
3.1. Soil Moisture-Based Irrigation
3.2. ET-Based Irrigaiton
3.3. Water Use and Fruit Yield and Quality
4. Discussion
5. Conclusions
- (1)
- Both the soil water content sensor and water potential sensor showed effectiveness for soil moisture-based irrigation scheduling. The soil moisture level at different depths in the ground changed accordingly with the irrigation event. Compared to the water content sensor, the soil water potential sensor is more sensitive, especially when the water stress is about to occur.
- (2)
- ET-based irrigation worked effectively in our study. It relies on calculating the daily ET with the weather parameters and then applies water based on the water deficit. Meanwhile, the accuracy of ET-based irrigation could be affected by the precision of weather parameters for the specific site (for example, the distance from the test orchard to the nearby weather station) as well as the ground drainage.
- (3)
- Among three tested irrigation strategies, the soil moisture-based irrigation used less water, accounting for 10.8% and 4.8% less than ET-based irrigation and conventional irrigation, respectively. The crop yield per tree under soil moisture-based irrigation and ET-based irrigation were 16.7% and 12.0% higher than that under conventional irrigation. The hardness and soluble solids of apples under the three irrigation strategies were similar.
Author Contributions
Funding
Institutional Review Board Statement
Informed Consent Statement
Acknowledgments
Conflicts of Interest
References
- Lancaster, N.A.; Torres, A.P. Investigating the drivers of farm diversification among U.S. fruit and vegetable operations. Sustainability 2019, 10, 3380. [Google Scholar] [CrossRef]
- Harper, J.; Lamont, W. Irrigation for Fruit and Vegetable Production. University Park: Penn State Extension. 2012. Available online: https://extension.psu.edu/irrigation-for-fruit-and-vegetable-production (accessed on 4 April 2020).
- Robinson, T.; Hoying, S.; Sazo, M.; DeMarree, A.; Dominguez, L. A vision for apple orchard systems of the future. N. Y. Fruit Q. 2013, 21, 11–16. [Google Scholar]
- Fernández, J.E.; Perez-Martin, A.; Torres-Ruiz, J.M.; Cuevas, M.V.; Rodriguez-Dominguez, C.M.; Elsayed-Farag, S.; Morales-Sillero, A.; García, J.M.; Hernandez-Santana, V.; Diaz-Espejo, A. A regulated deficit irrigation strategy for hedgerow olive orchards with high plant density. Plant Soil 2013, 372, 279–295. [Google Scholar] [CrossRef]
- Peters, T. Drip Irrigation for Agricultural Producers. WSU Extension. 2015. Available online: http://irrigation.wsu.edu/Secondary_Pages/Irr_Fact_Sheets/DripIrrForAgProducers.pdf (accessed on 4 April 2020).
- Al-Omran, A.M.; Sheta, A.S.; Falatah, A.M.; Al-Harbi, A.R. Effect of drip irrigation on squash (Cucurbita pepo) yield and water-use efficiency in sandy calcareous soils amended with clay deposits. Agric. Water Manag. 2005, 73, 43–55. [Google Scholar] [CrossRef]
- Sampathkumar, T.; Pandian, B.J.; Rangaswamy, M.V.; Manickasundaram, P.; Jeyakumar, P. Influence of deficit irrigation on growth, yield and yield parameters of cotton-maize cropping sequence. Agric. Water Manag. 2013, 130, 90–102. [Google Scholar] [CrossRef]
- Biswas, S.K.; Akanda, A.R.; Rahman, M.S.; Hossain, M.A. Effect of drip irrigation and mulching on yield, water-use efficiency and economics of tomato. Plant Soil Environ. 2015, 61, 97–102. [Google Scholar] [CrossRef]
- Taylor, R.; Zilberman, D. Diffusion of drip irrigation: The case of California. Appl. Econ. Perspect. Policy 2017, 39, 16–40. [Google Scholar] [CrossRef]
- O’Shaughnessy, S.A.; Evett, S.R. Canopy temperature based system effectively schedules and controls center pivot irrigation of cotton. Agric. Water Manag. 2010, 97, 1310–1316. [Google Scholar] [CrossRef]
- Casadesús, J.; Mata, M.; Marsal, J.; Girona, J. A general algorithm for automated scheduling of drip irrigation in tree crops. Comput. Electron. Agric. 2012, 83, 11–20. [Google Scholar] [CrossRef]
- Smith, R.J.; Baillie, J.N. Defining precision irrigation: A new approach to irrigation management. In Proceedings of the Irrigation and Drainage Conference 2009, Swan Hill, VIC, Australia, 18–21 October 2009; pp. 1–6. [Google Scholar]
- Dragoni, D.; Lakso, A.N.; Piccioni, R.M. Transpiration of apple trees in a humid climate using heat pulse sap flow gauges calibrated with whole-canopy gas exchange chambers. Agric. For. Meteorol. 2005, 130, 85–94. [Google Scholar] [CrossRef]
- Osroosh, Y.; Peters, R.T.; Campbell, C.S.; Zhang, Q. Comparison of irrigation automation algorithms for drip-irrigated apple trees. Comput. Electron. Agric. 2016, 128, 87–99. [Google Scholar] [CrossRef]
- Conaty, W.C.; Burke, J.J.; Mahan, J.R.; Neilsen, J.E.; Sutton, B.G. Determining the optimum plant temperature of cotton physiology and yield to improve plant-based irrigation scheduling. Crop Sci. 2012, 52, 1828–1836. [Google Scholar] [CrossRef]
- Kumar, D.; Pandey, V.; Nath, V. Effect of organic mulching and irrigation schedule through drip on growth and yield of mango var. Lal Sundari in eastern region of India. Indian J. Agric. Sci. 2008, 78, 385–388. [Google Scholar]
- Sokalska, D.I.; Haman, D.Z.; Szewczuk, A.; Sobota, J.; Dereń, D. Spatial root distribution of mature apple trees under drip irrigation system. Agric. Water Manag. 2009, 96, 917–924. [Google Scholar] [CrossRef]
- Atkinson, A.B.; Brandolini, A. Unveiling the ethics behind inequality measurement: Dalton’s contribution to economics. Econ. J. 2015, 125, 209–234. [Google Scholar] [CrossRef]
- Or, D.; Wraith, J.M.; Warrick, A.W. Soil water content and water potential relationships. Soil Phys. Companion 2002, 1, 49–84. [Google Scholar]
- Nachabe, M.H. Refining the Definition of Field Capacity in the Literature. J. Irrig. Drain. Eng. 1998, 124, 230–232. [Google Scholar] [CrossRef]
- Allen, R.G.; Jensen, M.E.; Wright, J.L.; Burman, R.D. Operational estimates of reference evapotranspiration. Agron. J. 1989, 81, 650. [Google Scholar] [CrossRef]
- Allen, R.; Pereira, L.; Raes, D.; Smith, M. ETc—Single crop coefficient. In Book Crop Evapotranspiration—Guidelines for Computing Crop Water Requirements; FAO—Food and Agriculture Organization of the United Nations: Rome, Italy, 1998. [Google Scholar]
- He, L.; Zeng, L.; Choi, D. Investigation of Sensor-Based Irrigation Systems for Apple Orchards; 2019 NEBAC Meeting Paper No. 19-013; American Society of Agricultural and Biological Engineers: St. Joseph, MI, USA, 2019. [Google Scholar]
- Mpelasoka, B.; Behboudian, M.; Green, S. Water use, yield and fruit quality of lysimeter-grown apple trees: Responses to deficit irrigation and to crop load. Irrig. Sci. 2001, 20, 107–113. [Google Scholar] [CrossRef]
- Fallahi, E.; Neilsen, D.; Neilsen, G.H.; Fallahi, B.; Shafii, B. Efficient irrigation for optimum fruit quality and yield in apples. HortScience 2010, 45, 1616–1625. [Google Scholar] [CrossRef]
- Chenafi, A.; Monney, P.; Arrigoni, E.; Boudoukha, A.; Carlen, C. Influence of irrigation strategies on productivity, fruit quality and soil-plant water status of subsurface drip-irrigated apple trees. Fruits 2016, 71, 69–78. [Google Scholar] [CrossRef]
- Robinson, T.L.; Lakso, A.N.; Lordan, J.; Francescatto, P.; Dragoni, D.; DeGaetano, A.T.; Eggleston, K. Precision irrigation management of apple with an apple-specific Penman-Monteith model. Acta Hortic. 2017, 1150, 245–250. [Google Scholar] [CrossRef]
- Domínguez-Niño, J.M.; Oliver-Manera, J.; Girona, J.; Casadesús, J. Differential irrigation scheduling by an automated algorithm of water balance tuned by capacitance-type soil moisture sensors. Agric. Water Manag. 2020, 228, 105880. [Google Scholar] [CrossRef]
- Irving, D.E.; Drost, J.H. Effects of water deficit on vegetative growth, fruit growth and fruit quality in Cox’s Orange Pippin apple. J. Hortic. Sci. 1987, 62, 427–432. [Google Scholar] [CrossRef]
- Yuan, B.Z.; Nishiyama, S.; Kang, Y. Effects of different irrigation regimes on the growth and yield of drip-irrigated potato. Agric. Water Manag. 2003, 63, 153–167. [Google Scholar] [CrossRef]
- Neilsen, D.; Neilsen, G.; Guak, S.; Forge, T. Consequences of deficit irrigation and crop load reduction on plant water relations, yield, and quality of ‘Ambrosia’apple. HortScience 2016, 51, 98–106. [Google Scholar] [CrossRef]
- Odi-Lara, M.; Campos, I.; Neale, C.M.; Ortega-Farías, S.; Poblete-Echeverría, C.; Balbontín, C.; Calera, A. Estimating evapotranspiration of an apple orchard using a remote sensing-based soil water balance. Remote Sens. 2016, 8, 253. [Google Scholar] [CrossRef]
- Ro, H.M. Water use of young ‘Fuji’apple trees at three soil moisture regimes in drainage lysimeters. Agric. Water Manag. 2001, 50, 85–196. [Google Scholar] [CrossRef]
- Treder, W.; Klamkowski, K.; Mika, A.; Wójcik, P. Response of young apple trees to different orchard floor management system. J. Fruit Ornam. Plant Res. 2004, 12, 113–123. [Google Scholar]







| Irrigation Strategies | Overall Water Use (mm) | Crop Yield/Tree (kg) (Mean ± sd) | Crop Size (g) (Mean ± sd) | Hardness (kg) (Mean ± sd) | Soluble Solids (oBrix) (Mean ± sd) |
|---|---|---|---|---|---|
| Moisture-based | 235 | 24.4 ± 3.5a * | 243.1 ± 22.9a | 8.2 ± 0.6a | 16.1 ± 0.7a |
| ET-based | 264 | 23.4 ± 4.9ab | 264.4 ± 19.1a | 8.2 ± 0.4a | 16.0 ± 1.0a |
| Conventional | 247 | 20.9 ± 3.1b | 258.2 ± 15.3a | 8.4 ± 0.5a | 15.9 ± 0.8a |
Publisher’s Note: MDPI stays neutral with regard to jurisdictional claims in published maps and institutional affiliations. |
© 2021 by the authors. Licensee MDPI, Basel, Switzerland. This article is an open access article distributed under the terms and conditions of the Creative Commons Attribution (CC BY) license (https://creativecommons.org/licenses/by/4.0/).
Share and Cite
Jiang, X.; He, L. Investigation of Effective Irrigation Strategies for High-Density Apple Orchards in Pennsylvania. Agronomy 2021, 11, 732. https://doi.org/10.3390/agronomy11040732
Jiang X, He L. Investigation of Effective Irrigation Strategies for High-Density Apple Orchards in Pennsylvania. Agronomy. 2021; 11(4):732. https://doi.org/10.3390/agronomy11040732
Chicago/Turabian StyleJiang, Xiaohu, and Long He. 2021. "Investigation of Effective Irrigation Strategies for High-Density Apple Orchards in Pennsylvania" Agronomy 11, no. 4: 732. https://doi.org/10.3390/agronomy11040732
APA StyleJiang, X., & He, L. (2021). Investigation of Effective Irrigation Strategies for High-Density Apple Orchards in Pennsylvania. Agronomy, 11(4), 732. https://doi.org/10.3390/agronomy11040732
