Autonomous Mowing and Complete Floor Cover for Weed Control in Vineyards
Abstract
1. Introduction
2. Materials and Methods
2.1. Experimental Design
2.2. Assessment
2.3. Statistical Analysis
3. Results
3.1. Ground Cover Percentage and Weed Cover Percentage
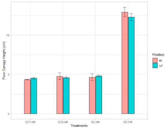
3.2. Floor Canopy Height
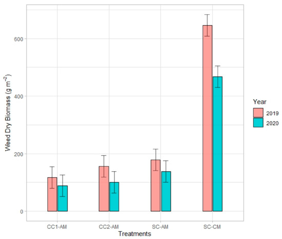
3.3. Weeds Dry Biomass
3.4. Autonomous Mower Working Data
3.5. Primary Energy Consumption
4. Discussion
4.1. Ground Cover Percentage
4.2. Weed Control
4.3. Management System
5. Conclusions
Author Contributions
Funding
Institutional Review Board Statement
Informed Consent Statement
Data Availability Statement
Acknowledgments
Conflicts of Interest
Appendix A
| Source | Wald χ2 | DF | p-Value |
|---|---|---|---|
| Intercept | 3458.86 | 1 | *** |
| Treatment | 47.48 | 3 | *** |
| Position | 22.37 | 1 | *** |
| Treatment × Position | 28.55 | 3 | *** |
| Block | 6.03 | 3 | ns |
| Source | Wald χ2 | DF | p-Value |
|---|---|---|---|
| Intercept | 5465.09 | 1 | *** |
| Treatment | 645.25 | 3 | *** |
| Position | 18.60 | 1 | *** |
| Treatment × Position | 68.89 | 3 | *** |
| Block | 17.38 | 3 | ** |
| Source | Wald χ2 | DF | p-Value |
|---|---|---|---|
| Intercept | 33,577.06 | 1 | *** |
| Treatment | 3963.55 | 3 | *** |
| Position | 0.04 | 1 | ns |
| Treatment × Position | 8.24 | 3 | * |
| Block | 4.62 | 3 | ns |
| Source | Sum of Squares (Type III) | DF | Mean Squares | F | p-Value |
|---|---|---|---|---|---|
| Model | 2,380,330.05 | 18 | 132,240.56 | 47.81 | *** |
| Intercept | 3,583,477.24 | 1 | 3,583,477.24 | 1295.42 | *** |
| Treatment | 2,215,223.65 | 3 | 738,407.88 | 266.93 | *** |
| Position | 6343.50 | 1 | 6343.50 | 2.29 | ns |
| Year | 91,954.75 | 1 | 91,954.75 | 33.24 | *** |
| Position × Treatment | 1613.40 | 3 | 537.80 | 0.19 | ns |
| Position × Year | 1652.98 | 1 | 1652.98 | 0.60 | ns |
| Treatment × Year | 58,259.36 | 3 | 19,419.79 | 7.02 | *** |
| Position × Treatment x Year | 513.85 | 3 | 171.28 | 0.06 | ns |
| Block | 4768.58 | 3 | 1589.53 | 0.58 | ns |
| Error | 124,481.65 | 45 | 2766.26 | - | - |
| Total | 6,088,288.95 | 64 | - | - | - |
| Month | Treatment | Position | 2019 | 2020 | ||
|---|---|---|---|---|---|---|
| Mean | Standard Error | Mean | Standard Error | |||
| May | CC1-AM | IR | 28 | 1.12228−2 | 31 | 1.15972−2 |
| UT | 21 | 1.01811−2 | 18 | 9.54982−3 | ||
| CC2-AM | IR | 40 | 1.22495−2 | 41 | 1.22865−2 | |
| UT | 25 | 1.07923−2 | 21 | 1.00929−2 | ||
| SC-AM | IR | 67 | 1.17666−2 | 72 | 1.11733−2 | |
| UT | 68 | 1.16890−2 | 79 | 1.01932−2 | ||
| SC-CM | IR | 38 | 1.21641−2 | 44 | 1.24221−2 | |
| UT | 43 | 1.23871−2 | 42 | 1.23545−2 | ||
| June | CC1-AM | IR | 26 | 1.09265−2 | 40 | 1.22393−2 |
| UT | 7 | 6.29899−3 | 18 | 9.55717−3 | ||
| CC2-AM | IR | 31 | 1.16037−2 | 48 | 1.24968−2 | |
| UT | 13 | 8.27811−3 | 23 | 1.04741−2 | ||
| SC-AM | IR | 34 | 1.18623−2 | 47 | 1.24841−2 | |
| UT | 43 | 1.23922−2 | 53 | 1.24804−2 | ||
| SC-CM | IR | 30 | 1.14179−2 | 56 | 1.24209−2 | |
| UT | 42 | 1.23556−2 | 51 | 1.25047−2 | ||
| July | CC1-AM | IR | 6 | 5.72908−3 | 0 | 1.38557−3 |
| UT | 12 | 8.08776−3 | 3 | 4.04448−3 | ||
| CC2-AM | IR | 5 | 5.62488−3 | 0 | 1.03521−3 | |
| UT | 16 | 9.26346−3 | 4 | 4.68945−3 | ||
| SC-AM | IR | 8 | 6.89101−3 | 0 | 1.42585−3 | |
| UT | 20 | 1.00515−2 | 2 | 3.81796−3 | ||
| SC-CM | IR | 24 | 1.07179−2 | 1 | 2.02633−3 | |
| UT | 54 | 1.24680−2 | 11 | 7.79528−3 | ||
| August | CC1-AM | IR | 1 | 2.37853−3 | 1 | 2.71709−3 |
| UT | 1 | 2.79713−3 | 2 | 3.26591−3 | ||
| CC2-AM | IR | 0 | 1.67688−3 | 1 | 2.41497−3 | |
| UT | 2 | 3.12943−3 | 2 | 3.70898−3 | ||
| SC-AM | IR | 1 | 2.07960−3 | 1 | 2.69244−3 | |
| UT | 1 | 2.79646−3 | 2 | 3.43543−3 | ||
| SC-CM | IR | 1 | 2.98750−3 | 2 | 3.62727−3 | |
| UT | 6 | 5.89924−3 | 7 | 6.45396−3 | ||
| September | CC1-AM | IR | 19 | 9.81953−3 | 18 | 9.59677−3 |
| UT | 16 | 9.27246−3 | 18 | 9.60061−3 | ||
| CC2-AM | IR | 18 | 9.55592−3 | 18 | 9.66802−3 | |
| UT | 20 | 1.00837−2 | 19 | 9.88409−3 | ||
| SC-AM | IR | 14 | 8.66408−3 | 19 | 9.87556−3 | |
| UT | 19 | 9.74000−3 | 25 | 1.08116−3 | ||
| SC-CM | IR | 35 | 1.19675−2 | 38 | 1.21256−2 | |
| UT | 32 | 1.16398−2 | 44 | 1.24240−2 | ||
| October | CC1-AM | IR | 49 | 1.25059−2 | 54 | 1.24711−2 |
| UT | 33 | 1.17318−2 | 70 | 1.15128−2 | ||
| CC2-AM | IR | 43 | 1.23906−2 | 51 | 1.25042−2 | |
| UT | 42 | 1.23305−2 | 50 | 1.25067−2 | ||
| SC-AM | IR | 52 | 1.24988−2 | 67 | 1.17286−2 | |
| UT | 39 | 1.21904−2 | 82 | 9.64860−3 | ||
| SC-CM | IR | 72 | 1.12375−2 | 65 | 1.19505−2 | |
| UT | 24 | 1.07046−2 | 30 | 1.14696−2 | ||
| Month | Treatment | Position | 2019 | 2020 | ||
|---|---|---|---|---|---|---|
| Mean | Standard Error | Mean | Standard Error | |||
| May | CC1-AM | IR | 4.76 | 0.44 | 4.43 | 0.26 |
| UT | 5.44 | 0.50 | 5.42 | 0.32 | ||
| CC2-AM | IR | 4.81 | 0.44 | 4.71 | 0.28 | |
| UT | 5.28 | 0.33 | 5.20 | 0.29 | ||
| SC-AM | IR | 4.90 | 0.45 | 4.70 | 0.28 | |
| UT | 5.59 | 0.52 | 5.61 | 0.33 | ||
| SC-CM | IR | 9.15 | 0.84 | 9.15 | 0.54 | |
| UT | 8.99 | 0.83 | 8.93 | 0.53 | ||
| June | CC1-AM | IR | 5.37 | 0.50 | 4.31 | 0.26 |
| UT | 5.15 | 0.48 | 4.62 | 0.27 | ||
| CC2-AM | IR | 4.94 | 0.46 | 4.56 | 0.27 | |
| UT | 5.08 | 0.32 | 5.00 | 0.28 | ||
| SC-AM | IR | 5.16 | 0.48 | 4.75 | 0.28 | |
| UT | 5.39 | 0.50 | 5.21 | 0.31 | ||
| SC-CM | IR | 13.20 | 1.22 | 12.01 | 0.71 | |
| UT | 11.26 | 1.04 | 11.85 | 0.70 | ||
| July | CC1-AM | IR | 3.65 | 0.34 | 3.56 | 0.21 |
| UT | 3.41 | 0.31 | 3.41 | 0.20 | ||
| CC2-AM | IR | 3.74 | 0.35 | 3.92 | 0.23 | |
| UT | 3.35 | 0.21 | 3.30 | 0.18 | ||
| SC-AM | IR | 3.81 | 0.35 | 3.47 | 0.21 | |
| UT | 3.68 | 0.34 | 3.87 | 0.23 | ||
| SC-CM | IR | 12.32 | 1.14 | 7.65 | 0.45 | |
| UT | 10.56 | 0.97 | 8.66 | 0.51 | ||
| August | CC1-AM | IR | 4.70 | 0.43 | 3.46 | 0.21 |
| UT | 5.39 | 0.50 | 4.23 | 0.25 | ||
| CC2-AM | IR | 5.83 | 0.54 | 4.03 | 0.24 | |
| UT | 5.08 | 0.32 | 5.00 | 0.28 | ||
| SC-AM | IR | 5.02 | 0.46 | 3.61 | 0.21 | |
| UT | 5.68 | 0.52 | 5.09 | 0.30 | ||
| SC-CM | IR | 14.27 | 1.32 | 9.77 | 0.58 | |
| UT | 11.88 | 1.10 | 9.34 | 0.56 | ||
| September | CC1-AM | IR | 4.59 | 0.27 | 4.47 | 0.27 |
| UT | 4.37 | 0.26 | 4.41 | 0.26 | ||
| CC2-AM | IR | 7.28 | 0.43 | 4.72 | 0.28 | |
| UT | 4.58 | 0.17 | 4.51 | 0.34 | ||
| SC-AM | IR | 4.37 | 0.26 | 4.26 | 0.25 | |
| UT | 4.47 | 0.27 | 4.75 | 0.28 | ||
| SC-CM | IR | 13.35 | 0.79 | 16.04 | 0.95 | |
| UT | 14.10 | 0.84 | 16.77 | 1.00 | ||
| October | CC1-AM | IR | 4.36 | 0.40 | 4.74 | 0.28 |
| UT | 4.21 | 0.39 | 4.36 | 0.26 | ||
| CC2-AM | IR | 4.19 | 0.39 | 4.55 | 0.27 | |
| UT | 4.44 | 0.28 | 4.37 | 0.24 | ||
| SC-AM | IR | 4.31 | 0.40 | 7.22 | 0.43 | |
| UT | 4.35 | 0.40 | 4.32 | 0.26 | ||
| SC-CM | IR | 20.67 | 1.91 | 17.50 | 1.04 | |
| UT | 15.57 | 1.44 | 18.73 | 1.11 | ||
References
- Jones, G.V.; White, M.A.; Cooper, O.R.; Storchmann, K. Climate Change and Global Wine Quality. Clim. Chang. 2005, 73, 319–343. [Google Scholar] [CrossRef]
- Christ, K.L.; Burritt, R.L. Critical environmental concerns in wine production: An integrative review. J. Clean. Prod. 2013, 53, 232–242. [Google Scholar] [CrossRef]
- García-Ruiz, J.M. The effects of land uses on soil erosion in Spain: A review. Catena 2010, 81, 1–11. [Google Scholar] [CrossRef]
- Polge de Combret-Champart, L.; Guilpart, N.; Merot, A.; Capillon, A.; Gary, C. Determinants of the degradation of soil structure in vineyards with a view to conversion to organic farming. Soil Use Manag. 2013, 29, 557–566. [Google Scholar] [CrossRef]
- Salome, C.; Coll, P.; Lardo, E.; Villenave, C.; Blanchart, E.; Hinsinger, P.; Marsden, C.; Le Cadre, E. Relevance of use-invariant soil properties to assess soil quality of vulnerable ecosystems: The case of Mediterranean vineyards. Ecol. Indic. 2014, 43, 83–93. [Google Scholar] [CrossRef]
- Chopin, E.; Marin, B.; Mkoungafoko, R.; Rigaux, A.; Hopgood, M.; Delannoy, E.; Cancès, B.; Laurain, M. Factors affecting distribution and mobility of trace elements (Cu, Pb, Zn) in a perennial grapevine (Vitis vinifera L.) in the Champagne region of France. Environ. Pollut. 2008, 156, 1092–1098. [Google Scholar] [CrossRef]
- Viers, J.H.; Williams, J.N.; Nicholas, K.A.; Barbosa, O.; Kotzé, I.; Spence, L.; Webb, L.B.; Merenlender, A.; Reynolds, M. Vinecology: Pairing wine with nature. Conserv. Lett. 2013, 6, 287–299. [Google Scholar] [CrossRef]
- Corbo, C.; Lamastra, L.; Capri, E. From Environmental to Sustainability Programs: A Review of Sustainability Initiatives in the Italian Wine Sector. Sustainability 2014, 6, 2133–2159. [Google Scholar] [CrossRef]
- Salomé, C.; Coll, P.; Lardo, E.; Metay, A.; Villenave, C.; Marsden, C.; Blanchart, E.; Hinsinger, P.; Le Cadre, E. The soil quality concept as a framework to assess management practices in vulnerable agroecosystems: A case study in Mediterranean vineyards. Ecol. Indic. 2016, 61, 456–465. [Google Scholar] [CrossRef]
- Failla, S.; Pirchio, M.; Sportelli, M.; Frasconi, C.; Fontanelli, M.; Raffaelli, M.; Peruzzi, A. Evolution of Smart Strategies and Machines Used for Conservative Management of Herbaceous and Horticultural Crops in the Mediterranean Basin: A Review. Agronomy 2021, 11, 106. [Google Scholar] [CrossRef]
- Nieto, O.M.; Castro, J.; Fernández-Ondoño, E. Conventional tillage versus cover crops in relation to carbon fixation in Mediterranean olive cultivation. Plant Soil 2012, 365, 321–335. [Google Scholar] [CrossRef]
- Guerra, B.; Steenwerth, K. Influence of Floor Management Technique on Grapevine Growth, Disease Pressure, and Juice and Wine Composition: A Review. Am. J. Enol. Vitic. 2012, 63, 149–164. [Google Scholar] [CrossRef]
- Hendgen, M.; Hoppe, B.; Döring, J.; Friedel, M.; Kauer, R.; Frisch, M.; Dahl, A.; Kellner, H. Effects of different management regimes on microbial biodiversity in vineyard soils. Sci. Rep. 2018, 8, 1–13. [Google Scholar] [CrossRef]
- Guzmán, G.; Cabezas, J.; Sánchez-Cuesta, R.; Lora, Á.; Bauer, T.; Strauss, P.; Winter, S.; Zaller, J.; Gómez, J. A field evaluation of the impact of temporary cover crops on soil properties and vegetation communities in southern Spain vineyards. Agric. Ecosyst. Environ. 2019, 272, 135–145. [Google Scholar] [CrossRef]
- Eckert, M.; Mathulwe, L.L.; Gaigher, R.; Der Merwe, L.J.-V.; Pryke, J.S. Native cover crops enhance arthropod diversity in vineyards of the Cape Floristic Region. J. Insect Conserv. 2019, 24, 133–149. [Google Scholar] [CrossRef]
- Wilson, H.; Wong, J.S.; Thorp, R.W.; Miles, A.F.; Daane, K.M.; A Altieri, M. Summer Flowering Cover Crops Support Wild Bees in Vineyards. Environ. Entomol. 2017, 47, 63–69. [Google Scholar] [CrossRef]
- Hartwig, N.L.; Ammon, H.U. Cover crops and living mulches. Weed Sci. 2002, 50, 688–699. [Google Scholar] [CrossRef]
- Kruidhof, H.M.; Bastiaans, L.; Kropff, M.J. Ecological weed management by cover cropping: Effects on weed growth in autumn and weed establishment in spring. Weed Res. 2008, 48, 492–502. [Google Scholar] [CrossRef]
- Garcia, L.; Celette, F.; Gary, C.; Ripoche, A.; Valdés-Gómez, H.; Metay, A. Management of service crops for the provision of eco-system services in vineyards: A review. Agric. Ecosyst. Environ. 2018, 251, 158–170. [Google Scholar] [CrossRef]
- Bergtold, J.S.; Ramsey, S.; Maddy, L.; Williams, J.R. A review of economic considerations for cover crops as a conservation practice. Renew. Agric. Food Syst. 2017, 34, 62–76. [Google Scholar] [CrossRef]
- Van Der Weide, R.Y.; O Bleeker, P.; Achten, V.T.J.M.; Lotz, L.A.P.; Fogelberg, F.; Melander, B. Innovation in mechanical weed control in crop rows. Weed Res. 2008, 48, 215–224. [Google Scholar] [CrossRef]
- Volaire, F.; Lelievre, F. Role of Summer Dormant Perennial Grasses as Intercrops in Rainfed Mediterranean Vineyards. Crop. Sci. 2010, 50, 2046–2054. [Google Scholar] [CrossRef]
- Baumgartner, K.; Steenwerth, K.L.; Veilleux, L. Cover-Crop Systems Affect Weed Communities in a California Vineyard. Weed Sci. 2008, 56, 596–605. [Google Scholar] [CrossRef]
- Karl, A.; Merwin, I.A.; Brown, M.G.; Hervieux, R.A.; Heuvel, J.E.V. Impact of Undervine Management on Vine Growth, Yield, Fruit Composition, and Wine Sensory Analyses of Cabernet franc. Am. J. Enol. Vitic. 2016, 67, 269–280. [Google Scholar] [CrossRef]
- Penfold, C.; Weckert, M.; Howie, J.; Nordblom, T.; Norton, M. Development of a Low-Input Under-Vine Floor Management System Which Improves Profitability without Compromising Yield or Quality; Final Report, Project Number: UA 1303; University of Adelaide Press: Adelaide, Australia, 2018; p. 98. [Google Scholar]
- Giese, G.; Velasco-Cruz, C.; Roberts, L.; Heitman, J.; Wolf, T.K. Complete vineyard floor cover crops favorably limit grapevine vegetative growth. Sci. Hortic. 2014, 170, 256–266. [Google Scholar] [CrossRef]
- Coniberti, A.; Ferrari, V.; Disegna, E.; García Petillo, M.; Lakso, A.N. Complete vineyard floor cover crop to reduce grapevine sus-ceptibility to bunch rot. Eur. J. Agron. 2018, 99, 167–176. [Google Scholar] [CrossRef]
- Magni, S.; Sportelli, M.; Grossi, N.; Volterrani, M.; Minelli, A.; Pirchio, M.; Fontanelli, M.; Frasconi, C.; Gaetani, M.; Martelloni, L.; et al. Autonomous Mowing and Turf-Type Bermudagrass as Innovations for An Environment-Friendly Floor Management of a Vineyard in Coastal Tuscany. Agriculture 2020, 10, 189. [Google Scholar] [CrossRef]
- Jordan, L.M.; Björkman, T.; Vanden Heuvel, J.E. Annual Under-vine Cover Crops Did Not Impact Vine Growth or Fruit Composi-tion of Mature Cool-climate ‘Riesling’ Grapevines. HortTechnology 2016, 26, 36–45. [Google Scholar] [CrossRef]
- Centinari, M. Impacts of under-trellis cover crops. Wines Vines Analytics. Available online: https://winesvinesanalytics.com/features/article/175449/Impacts-of-Under-Trellis-Cover-Crops (accessed on 20 January 2021).
- Abad, J.; Diana, M.L.; Gonzaga, S.; José Félix, C.; Ana, S. Under-vine cover crops: Impact on weed development, yield and grape composition. OENO One 2020, 54, 975–983. [Google Scholar] [CrossRef]
- MacLaren, C.; Bennett, J.; Dehnen-Schmutz, K. Management practices influence the competitive potential of weed communities and their value to biodiversity in South African vineyards. Weed Res. 2019, 59, 93–106. [Google Scholar] [CrossRef]
- Garnier, E.; Navas, M.-L. A trait-based approach to comparative functional plant ecology: Concepts, methods and applications for agroecology. A review. Agron. Sustain. Dev. 2012, 32, 365–399. [Google Scholar] [CrossRef]
- Novara, A.; Cerdà, A.; Gristina, L. Sustainable vineyard floor management: An equilibrium between water consumption and soil conservation. Curr. Opin. Environ. Sci. Heal. 2018, 5, 33–37. [Google Scholar] [CrossRef]
- Bechar, A.; Vigneault, C. Agricultural robots for field operations. Part 2: Operations and systems. Biosyst. Eng. 2017, 153, 110–128. [Google Scholar] [CrossRef]
- Reiser, D.; Sehsah, E.-S.; Bumann, O.; Morhard, J.; Griepentrog, H.W. Development of an Autonomous Electric Robot Implement for Intra-Row Weeding in Vineyards. Agriculture 2019, 9, 18. [Google Scholar] [CrossRef]
- Sportelli, M.; Pirchio, M.; Fontanelli, M.; Volterrani, M.; Frasconi, C.; Martelloni, L.; Caturegli, L.; Gaetani, M.; Grossi, N.; Magni, S.; et al. Autonomous Mowers Working in Narrow Spaces: A Possible Future Application in Agriculture? Agronomy 2020, 10, 553. [Google Scholar] [CrossRef]
- Pirchio, M.; Fontanelli, M.; Frasconi, C.; Martelloni, L.; Raffaelli, M.; Peruzzi, A.; Gaetani, M.; Magni, S.; Caturegli, L.; Volterrani, M.; et al. Autonomous Mower vs. Rotary Mower: Effects on Turf Quality and Weed Control in Tall Fescue Lawn. Agronomy 2018, 8, 15. [Google Scholar] [CrossRef]
- Emlid. A Reach RTK docs. Specification. Available online: https://docs.emlid.com/reach/specs/ (accessed on 20 January 2021).
- Husqvarna. Husqvarna automower 535 AWD Operator’s Manual. Available online: https://www.manualslib.com/manual/1579338/Husqvarna-Automower-535-Awd.html (accessed on 26 February 2021).
- Hoepli, Manuali Hoepli.it. Available online: http://www.manualihoepli.it/media/doc/pr243.pdf (accessed on 26 February 2021).
- ISPRA—Istituto Superiore per la Protezione e la Ricerca Ambientale. Rapporti 280/2018. Available online: http://www.isprambiente.gov.it/it/pubblicazioni/rapporti/fattori-di-emissione-in-atmosfera-di-gasa-effetto-serra-e-altri-gas-nel-settore-elettrico (accessed on 26 February 2021).
- R Core Team. R: A Language and Environment for Statistical Computing; R Foundation for Statistical Computing: Vienna, Austria, 2016; Available online: https://www.R-project.org/ (accessed on 20 January 2021).
- Gerhard, D.; Ritz, C. medrc: Mixed Effect Dose-Response Curves. R package version 1.1-0. Available online: https://rdrr.io/github/DoseResponse/medrc/man/metadrm.html (accessed on 20 January 2021).
- Ritz, C. Asymptotic regression model. In Analysis of Dose-Response Curves; Ritz, C., Strebig, J.C., Eds.; 2016; pp. 7–8. Available online: https://cran.r-project.org/web/packages/drc/drc.pdf (accessed on 20 January 2021).
- Wickham, H. Ggplot2: Elegant Graphics for Data Analysis, 3rd ed.; Springer International Publishing: New York, NY, USA, 2009. [Google Scholar]
- Pornaro, C.; Serena, M.; Macolino, S.; Leinauer, B. Drought Stress Response of Turf-Type Perennial Ryegrass Genotypes in a Medi-terranean Environment. Agronomy 2020, 10, 1810. [Google Scholar] [CrossRef]
- Sirera, À.P.; Antichi, D.; Raffa, D.W.; Rallo, G. Application of Remote Sensing Techniques to Discriminate the Effect of Different Soil Management Treatments over Rainfed Vineyards in Chianti Terroir. Remote. Sens. 2021, 13, 716. [Google Scholar] [CrossRef]
- Mainardis, M.; Boscutti, F.; Cebolla, M.D.M.R.; Pergher, G. Comparison between flaming, mowing and tillage weed control in the vineyard: Effects on plant community, diversity and abundance. PLoS ONE 2020, 15, e0238396. [Google Scholar] [CrossRef]
- Nascimbene, J.; Marini, L.; Ivan, D.; Zottini, M. Management Intensity and Topography Determined Plant Diversity in Vineyards. PLoS ONE 2013, 8, e76167. [Google Scholar] [CrossRef]
- Slaughter, D.; Giles, D.; Downey, D. Autonomous robotic weed control systems: A review. Comput. Electron. Agric. 2008, 61, 63–78. [Google Scholar] [CrossRef]
- Heckman, J.R.; Liu, H.; Hill, W.; DeMilia, M.; Anastasia, W.L. Kentucky Bluegrass Responses to Mowing Practice and Nitrogen Fertility Management. J. Sustain. Agric. 2000, 15, 25–33. [Google Scholar] [CrossRef]
- Brede, D. Turfgrass Maintenance Reduction Handbook: Sports, Lawns, and Golf, 1st ed.; John Wiley & Sons: Hoboken, NJ, USA, 2000; p. 392. [Google Scholar]
- Sportelli, M.; Martelloni, L.; Orlandi, A.; Pirchio, M.; Fontanelli, M.; Frasconi, C.; Raffaelli, M.; Peruzzi, A.; Consorti, S.B.; Vernieri, P. Autonomous Mower Management Systems Efficiency Improvement: Analysis of Greenspace Features and Planning Suggestions. Agriculture 2019, 9, 115. [Google Scholar] [CrossRef]





| Operation | Number of Operations | Prodouct/Equipement | Rate |
| 2019 | |||
| Fertilization | 1 | Verde Line (NPK 12,7,7) | 1600 kg ha−1 |
| Chemical weed control | 2 | Glyphos Dakar | 1.8 kg ha−1 |
| Mowing | 3 | Celli TCB/S mulcher | n.a. |
| 2020 | |||
| Fertilization | 1 | BTC (NPK 20,10,10) | 1300 kg ha−1 |
| Chemical weed control | 2 | Glyphos Ultra | 1.5 kg ha−1 |
| Mowing | 4 | Celli TCB/S mulcher | n.a. |
| Treatment | Position | Ground Cover (%) |
|---|---|---|
| CC2-AM | UT | 39 (±0.48) a |
| SC-AM | UT | 36 (±0.41) b |
| SC-CM | IR | 34 (±0.88) bc |
| CC2-AM | IR | 33 (±0.78) c |
| CC1-AM | UT | 33 (±0.40) c |
| SC-CM | UT | 32 (±1.01) c |
| SC-AM | IR | 32 (±0.74) c |
| CC1-AM | IR | 31 (±0.76) c |
| Treatment | Position | Weed Cover (%) |
|---|---|---|
| SC-AM | UT | 36 (±0.47) a |
| SC-CM | IR | 34 (±0.93) ab |
| SC-CM | UT | 32 (±1.00) b |
| SC-AM | IR | 32 (±0.82) b |
| CC2-AM | IR | 25 (±1.08) c |
| CC1-AM | IR | 23 (±0.73) c |
| CC2-AM | UT | 20 (±0.38) d |
| CC1-AM | UT | 18 (±0.32) d |
| d | e | Effective Time (h) | |||||
| ET15 | ET30 | ET45 | ET60 | ET75 | ET90 | ||
| 112.80 (10.44) | 220.73 (30.71) | 0.60 (0.07) | 1.31 (0.18) | 2.20 (0.31) | 3.37 (0.47) | 5.10 (0.71) | 8.47 (1.18) |
| Parameter | Unit | Value |
|---|---|---|
| Innovative | ||
| Hourly electric energy consumption * | kWh·h−1 | 0.03 |
| Estimated work capacity ** | h ha−1 | 120.18 |
| Electric energy consumption per hectare | kWh ha−1 | 3.61 |
| Electric energy consumption per year | kWh·year−1 ha−1 | 259.20 |
| Primary energy consumption per year | kWh year−1 | 474.73 |
| Conventional | ||
| Total operative time | h year−1 | 7.90 |
| Total fuel consumption | kg year−1 | 56.93 |
| Primary energy consumption per year per hectare | kWh year−1 ha−1 | 684.81 |
Publisher’s Note: MDPI stays neutral with regard to jurisdictional claims in published maps and institutional affiliations. |
© 2021 by the authors. Licensee MDPI, Basel, Switzerland. This article is an open access article distributed under the terms and conditions of the Creative Commons Attribution (CC BY) license (http://creativecommons.org/licenses/by/4.0/).
Share and Cite
Sportelli, M.; Frasconi, C.; Fontanelli, M.; Pirchio, M.; Raffaelli, M.; Magni, S.; Caturegli, L.; Volterrani, M.; Mainardi, M.; Peruzzi, A. Autonomous Mowing and Complete Floor Cover for Weed Control in Vineyards. Agronomy 2021, 11, 538. https://doi.org/10.3390/agronomy11030538
Sportelli M, Frasconi C, Fontanelli M, Pirchio M, Raffaelli M, Magni S, Caturegli L, Volterrani M, Mainardi M, Peruzzi A. Autonomous Mowing and Complete Floor Cover for Weed Control in Vineyards. Agronomy. 2021; 11(3):538. https://doi.org/10.3390/agronomy11030538
Chicago/Turabian StyleSportelli, Mino, Christian Frasconi, Marco Fontanelli, Michel Pirchio, Michele Raffaelli, Simone Magni, Lisa Caturegli, Marco Volterrani, Marco Mainardi, and Andrea Peruzzi. 2021. "Autonomous Mowing and Complete Floor Cover for Weed Control in Vineyards" Agronomy 11, no. 3: 538. https://doi.org/10.3390/agronomy11030538
APA StyleSportelli, M., Frasconi, C., Fontanelli, M., Pirchio, M., Raffaelli, M., Magni, S., Caturegli, L., Volterrani, M., Mainardi, M., & Peruzzi, A. (2021). Autonomous Mowing and Complete Floor Cover for Weed Control in Vineyards. Agronomy, 11(3), 538. https://doi.org/10.3390/agronomy11030538

