Abstract
Effects of corn steep liquor (organic fertilizer, OF) and conventional chemical fertilizer (CF) on the growth and yield of bok choy (Brassica rapa var. chinensis) in summer and autumn hydroponic growing systems were compared. When OF and CF were applied with the same amount of total nitrogen in summer cultivation, there was no significant difference between yields; however, the growth rate in OF was slower than in CF. When OF was applied with twice the amount of nitrogen in CF (OF2), bok choy growth and yield were significantly inhibited in summer cultivation, likely owing to dissolved oxygen deficiency and different rates of nitrification and nitrogen absorbance by the plant root. Although the contents of potassium, calcium, and magnesium in bok choy showed no difference among the three treatments in both cultivation seasons, the carbon/nitrogen ratio tended to be higher in OF and OF2 than in CF. Lower nitric acid and higher ascorbic acid content was found in OF and OF2 than in CF. Overall, our results suggest that a comparable yield is expected by using the same nitrogen amount with a conventional recipe of chemical fertilization in autumn cultivation. However, further improvement of hydroponic management is needed in summer cultivation.
1. Introduction
Chemical fertilizers are commonly applied in hydroponics cultivation systems for Chinese vegetables including bok choy (Brassica rapa var. chinensis) [1] during summer and autumn. However, the overuse of chemical fertilizers causes fertilizer-derived waste, growth inhibition, and soft rot damage to the cultivated vegetables. Organic fertilizers have been expected to control such problems through providing an environmentally friendly growing environment. Nevertheless, the decomposition of organic fertilizers in hydroponic solutions is often incomplete, leading to an accumulation of phytotoxic compounds such as ammonium ions and other substances with high molecular weight. In addition, the application of organic fertilizers in hydroponic solutions leads to the decline of dissolved oxygen [2]. The accumulation of phytotoxic compounds and the deficiency of dissolved oxygen both inhibit plant growth [2,3,4,5]. Due to these disadvantages, the utilization of organic fertilizers in hydroponics has not been viable until the development of the multiple parallel mineralization technique by Shinohara [6]. This technique allows the decomposition of organic materials, such as bonito soup, rapeseed oil cake, corn oil cake, fish meal, dried brewer’s yeast, fermented tomato foliage, and methane fermentation digest, in hydroponic solution without causing the accumulation of phytotoxins and dissolved oxygen deficiency. To achieve success in multiple parallel mineralization, two conditions are required: the hydroponic solution must be under an aerobic condition and the organic materials must be applied continuously in small amounts, wherein the application is combined with compost. The microorganisms in the compost facilitate the mineralization of nitrate ions and prevent the accumulation of phytotoxic compounds [7,8].
Among the organic materials introduced by Shinohara [6], corn steep liquor (CSL) has been one of the most accessible and stable organic fertilizers in hydroponics [6,7,8,9,10]. Under successful organic hydroponics, root biofilm, i.e., the microbes occupying the surface of cultivated plant roots, is formed. This biofilm promotes nutrient supply and the growth of cultivated plants [11], acts as a physical and chemical barrier against plant pathogens [12,13,14], and induces plant resistance [15,16]. Following the benefits of biofilm, plant quality can be improved. However, in the successful management of organic hydroponics, cultivation season changes the environmental conditions of hydroponics, which can affect the growth and quality of cultivated plants [17]. Thus, considering growing seasons could be valuable for hydroponic cultures using organic fertilizers. Nevertheless, the effects of organic fertilizers, particularly CSL, in different cultivation seasons have not been studied.
In general, plants absorb inorganic nitrogen for their growth. Bok choy can also directly absorb organic nitrogen from soil [18] as amino acids [19]. However, not all forms of amino acids support plant growth. Amino acids such as threonine and valine can become growth inhibitors if accumulated in plant tissues [19]. Among the 20 amino acids tested in hydroponics for bok choy, only five (tryptophan, arginine, histidine, asparagine, and glutamine) showed no growth inhibition [20]. Furthermore, these amino acids supported bok choy growth when 20% of nitrate-nitrogen was replaced. Therefore, a suitable application of organic fertilizers, such as the frequency and amount of fertilizer, is required for successful organic hydroponics.
Nitrate ions, a form of inorganic nitrogen, can affect plant growth. Absorption of nitrate ions from the cultivation medium increases nitrate ion concentration in plant tissues, which simultaneously decreases the content of ascorbic acid, an indicator of plant quality [21]. Organic nitrogen in organic fertilizers is also supplied as non-nitrate and non-nitrite forms, which potentially avoid the reduction of ascorbic acid [22]. Although it happens in a complex way, high plant quality can be achieved in organic hydroponics.
In the present research, CSL was provided as the organic fertilizer in hydroponics at two application rates of nitrogen (260 mg kg−1 and 520 mg kg−1 initial rate), and its effects on the growth, yield, and quality of bok choy were examined using the multiple parallel mineralization technique. As plant resistance due to biofilm formation may occur and contribute to plant quality, we also examined the disease resistance of bok choy under the tested conditions. For comparison, conventional hydroponics with chemical fertilizer were also assessed. In addition, plant properties were evaluated in two growing seasons. Overall, the present study aimed to elucidate the optimal organic hydroponic growing conditions for bok choy by considering the suitable CSL application rate and the seasonal changes of the suitable mixture.
2. Materials and Methods
2.1. Plant Materials and Experimental Design
Cultivation tests were conducted in the summer and autumn of 2011 in a greenhouse at the Center for International Field Agriculture Research and Education, College of Agriculture, Ibaraki University, Japan. Bok choy “Seitei Chingensai” (Sakata seeds, Yokohama, Japan) seedlings were grown for two weeks in plastic trays before planting. The treatments were chemical fertilizer (CF), organic fertilizer (OF), and organic fertilizer with twice the application rate of nitrogen (OF2). The CF treatment was conventional hydroponics with a half unit of Otsuka A formula (N-P2O5-K2O: 260-120-405 mg kg−1; Otsuka Agri Techno, Japan, current name: OAT A formula (CF), OAT Agrio, Tokyo, Japan). A half unit is commonly applied in hydroponics for leaf vegetables in Japan. The OF treatment was organic hydroponics with corn steep liquor (CSL) (Nature Aid, N-P2O5-K2O: 3-3-2%; Sakata seeds, Japan) in which the applied nitrogen amount (260 mg kg−1 initial rate) was identical to that in the CF treatment. The OF2 treatment was organic hydroponics with CSL in which the nitrogen amount was twice (520 mg kg−1 initial rate) that in CF treatment. Each treatment was conducted in triplicate using independent hydroponic lines.
2.2. Hydroponic System
The hydroponic system was based on the deep flow technique. Lines were 720 × 65 × 6.5 cm (length × width × depth) with no slope. Nutrient solution was continuously circulated between a 300-L cultivation vessel and a 200-L underground tank by a sludge pump at 7 L min−1. Bok choy seedlings were transplanted in the top panel of the cultivation tank at a density of 15 cm × 18 cm in 4 lines. Water lines were washed every week in OF and OF2 treatments to eliminate the clogging caused by CSL. Electric conductivity (EC) and pH of the nutrient solution in each tank were measured using an EC meter (CM-14P; TOA DKK, Tokyo, Japan) and a pH meter (HI 98129; Hanna Instruments, Woonsocket, RI, USA), respectively. Values of EC and pH were in the range suggested by Singh and Dunn [23] for hydroponic production of leafy greens (Table 1).
Table 1.
Electric conductivity (EC) and pH of hydroponic solutions.
2.3. Management of Nutrient Solutions
Initially, the compost of Sanyo bark (Sanyo Chip, Shimonoseki, Japan), used as the source of microorganisms at a 0.5% concentration, was packed in net bags and added to the nutrient solution in the underground tank of of and OF2 treatments. Fertilizer application started 14 days before bok choy planting; additional fertilizers were applied every 3 days for all treatments from after bok choy planting until harvesting. Additional fertilizers were used as follows: the minor element fertilizer Otsuka 5 (nitrogen (N)-phosphorus (as P2O5)-potassium (as K2O)-manganese (as MnO2)-boron (as B2O3)-iron (Fe)-copper (Cu)-zinc (Zn)-molybdenum (Mo): 6.0-0-9.0-2.0-2.0-5.7-0.04-0.08-0.043%, Otsuka Agri Techno, Japan, current name: OAT 5, OAT Agrio, Tokyo, Japan) at a 20,000-fold dilution and nutrient solutions with N-P2O5-K2O concentrations of 16-16-11, 32-32-22, and 16-7-26 mg L−1 following the methods of Shinohara [8].
2.4. Cultivation
Seeding and planting were conducted on 6 and 20 July 2011, for summer cultivation, and on 12 and 26 October 2011, for autumn cultivation, respectively. The side windows and doors of the greenhouse were fully open except in storm conditions. Leaf length was monitored on randomly selected plants. When mean leaf length reached 20–25 cm in each treatment, all plants in all treatments were harvested. When leaves did not reach the required length, plants were harvested at the end of the growth period.
2.5. Measurements
Data on air temperature and sunshine hours were obtained from the Meteorological Agency for the Automated Meteorological Data Acquisition System located at the Tsuchiura observation point located 7.9 km north of the experimental greenhouse. Nitric ion and ammonium ion concentrations in the nutrient solutions were measured every week using a reflection photometer (RQ flex 2; Merck, Darmstadt, Germany). At harvest, the dry weights of the leaf and root of bok choy were determined from three plants per plot, and the values were calculated as the leaf/root ratio. Chlorophyll content was measured as a SPAD reading using a chlorophyll meter (SPAD-502 plus; Konica Minolta, Tokyo, Japan). Nitrate ion and ascorbic acid content in the leaves was measured using ion-exchanged water and 5% metaphosphoric acid as extracting solutions, respectively. Briefly, plant leaf samples were homogenized to pulp with the same amount of extracting solution immediately after harvest and centrifuged at 2240× g for 10 min at room temperature. Nitrate ion and ascorbic acid were then measured from the supernatant. Chlorophyll, nitrate ion, and ascorbic acid content were determined in triplicate.
Carbon (C) and N content in leaves and their ratio (C/N) were measured as the total organic C and total N of 60 °C dried and pulverized samples using an automatic C/N analyzer (JM3000N C/N; J-SCIENCE, Kyoto, Japan). The content of K, calcium (Ca), and magnesium (Mg) in the bok choy leaves was measured using the wet ash method in an atomic absorption spectrophotometer (SPCA-6210; Shimadzu, Kyoto, Japan). Briefly, leaf samples (200 mg) were dissolved in a solution containing 5 mL nitric acid, 2 mL perchloric acid, and 1 mL sulfuric acid. This solution was diluted 50-fold with the ion exchange water, and 1 mL of this diluted solution was then added to 1 mL acetone and 8 mL pure water; the final mixture was used to measure K, Ca, and Mg content. The levels of amino acids were evaluated in the third mature leaf from the outside of each plant. The leaves were frozen in liquid N and immediately hand-ground by mortar and pestle to obtain a powder, which was then mixed with 1% sulfosalicylic acid at a 50-fold dilution ratio. The mixture was centrifuged at 16,610× g and 5 °C for 10 min, and the resulting supernatant was filtered through a syringe filter (pore size: 0.45 µm); the filtrate was analyzed in a fully automatic amino acid analyzer (JLC-500/V2; JEOL, Tokyo, Japan). C, N, K, Ca, Mg, and amino acids were measured in triplicate per sample.
The concentration of dissolved oxygen was measured in a dissolved oxygen meter (DO-24P; TOA DKK, Japan) at four randomly selected points of the cultivation vessel from 6 to 27 August 2011 (summer) and from 10 November to 8 December 2011 (autumn), thus including the post-cultivation periods.
2.6. Inoculation Test of Gray Mold
The inoculation method of Chinta et al. [16] was applied to some plants after the autumn harvest. A mycelium disc of gray mold (Botrytis cinerea) was inoculated on the largest leaf of each of the 10 plants selected per treatment on 15 January 2012. The longitudinal (L) and transverse (T) diameters of each lesion were measured and disease incidence was calculated as (L + T)/2.
2.7. Statistical Analyses
All statistical analyses were conducted using the Ekuseru-Toukei 2010 software package (Social Survey Research Information Co., Ltd., Tokyo, Japan). Data were first screened for homogeneity of variances using Bartlett’s test and then tested for statistical differences using Tukey’s multiple range. The Student’s t-test was also employed for pairwise comparison. The significance level for all tests was set at 0.05.
3. Results
3.1. Growth of Bok Choy
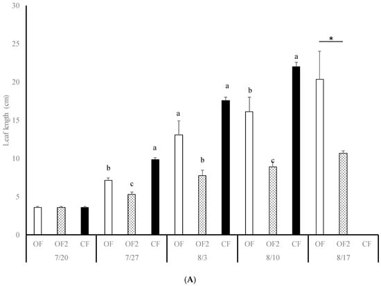
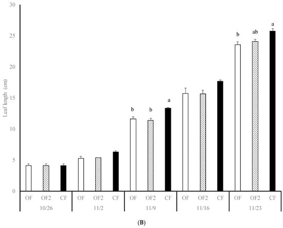
Mean air temperature and hours of sunshine were 26.1 °C and 5.5 h, respectively, in summer cultivation and 13.3 °C and 5.3 h, respectively, in autumn cultivation (Figure 1). The initial height and number of leaves of bok choy plants were 3.6 cm and 3.0, respectively, in summer cultivation and 4.1 cm and 3.0, respectively, in autumn cultivation (Figure 2). Growth was slower in OF than CF in summer cultivation, and harvest in OF (30 August) was one week later than in CF (23 August) (Figure 2A). The plants in OF2 never reached harvest size by the end of summer cultivation; therefore, no plants were left in this treatment at the end of the experiment. In the autumn cultivation, plant growth was not different among treatments (Figure 2B); harvest size was reached at the same time (23 November) in all three treatments.

Figure 1.
Changes in air temperature and hours of sunshine at the Tsuchiura observation point of the Automated Meteorological Data Acquisition System, The Meteorological Agency, Japan. (A): Summer, (B): Autumn.

Figure 2.
Changes in bok choy leaf length under the different fertilization methods. (A): Summer, (B): Autumn. Error bars on vertical columns indicate standard error (n = 3). Identical letters under the same date indicate no significant difference (p < 0.05) between treatments according to Tukey’s multiple range test. Bok choy in CF was harvested on 10 August because the mean leaf length exceeded 20 cm (A). * indicates a significant difference (p < 0.05) between the other two treatments according to the Student’s t-test. OF (organic fertilizer): corn steep liquor (CSL) applied as organic fertilizer at the same amount of total nitrogen as that in the half unit of Otsuka A formula; OF2: CSL applied at twice the amount of total nitrogen in OF; CF (chemical fertilizer): half unit of Otsuka A formula.
In the summer cultivation, the dry weights of bok choy leaves and roots were significantly lower in OF2 than in OF and CF (Table 2). Nonetheless, there was no difference in the leaf/root ratio and chlorophyll content because of the considerable variations between individuals, especially in OF2.
Table 2.
The effect of different fertilization methods on the growth and yield of bok choy.
In the autumn cultivation, treatments did not affect the dry weight of leaves. On the other hand, OF significantly enhanced the root dry weight compared with CF; OF2 showed intermediate values of root dry weight. According to the effects on leaves and roots, the leaf/root ratio was highest in CF, followed by that in OF2 and OF. Chlorophyll content was highest in OF2 followed by OF and CF.
3.2. Chemical Composition of Harvested Bok Choy
In the summer cultivation, the bok choy plants in CF showed higher nitrate content than those in the other treatments (Table 3). Ascorbic acid was highest in OF2, followed by OF and CF, and these differences were significant. There was no difference in K, Ca, and Mg among treatments. The OF and OF2 treatments resulted in high and low content of C and N, respectively, leading to high C/N ratios, compared with CF.
Table 3.
The effect of different fertilization methods on the chemical composition of bok choy.
During the autumn cultivation, nitrate and ascorbic acid content were increased and decreased, respectively, in CF compared with the other treatments. Similar to the summer cultivation, treatment had no significant effect on K, Ca, and Mg content. Although there was no difference in C content among treatments, N content varied. Thus, the C/N ratio was highest in OF followed by OF2 and CF.
The six amino acids selected (aspartic acid, threonine, serine, glutamic acid, glycine, and valine) were significantly different among the three treatments (Figure 3). In the summer cultivation, OF2 increased the content of these six amino acids compared with the other two treatments, except for glutamic acid (Figure 3A). Glutamic acid was significantly higher in OF2 than in the other two treatments in the autumn cultivation (Figure 3B).
Figure 3.
The effect of different fertilizers on the amino acid content of bok choy leaves. (A): Summer, (B): Autumn. Error bars on vertical columns indicate standard error (n = 3). Identical letters between bars indicate no significant difference (p < 0.05) among treatments according to Tukey’s multiple range test. OF (organic fertilizer): corn steep liquor (CSL) applied as organic fertilizer at the same amount of total nitrogen as that in the half unit of Otsuka A formula; OF2: CSL applied at twice the amount of total nitrogen in OF; CF (chemical fertilizer): half unit of Otsuka A formula.
3.3. Nitrogen Concentration in the Hydroponic Solution
Changes in N concentration (i.e., considering nitrate and ammonium ions) during each cultivation period revealed that in both cultivation periods, nitrate concentration was higher in CF than in OF and OF2 (Figure 4A,C). Ammonium ion was detected only in OF2, wherein its concentration fluctuated (Figure 4B,D).

Figure 4.
Changes in the nitric ion and ammonium ion content of hydroponic solutions under different fertilization methods. Error bars on vertical columns on bars indicate standard error (n = 3). (A,B): Summer, (C,D): Autumn. OF (organic fertilizer): corn steep liquor (CSL) applied as organic fertilizer at the same amount of total nitrogen as that in the half unit of Otsuka A formula; OF2: CSL applied at twice the amount of total nitrogen in OF; CF (chemical fertilizer): half unit of Otsuka A formula.
The level of dissolved oxygen in OF2 was significantly decreased compared with the other two treatments in both summer and autumn cultivation periods (Figure 5).
Figure 5.
Changes in the dissolved oxygen levels of hydroponic solutions containing different fertilizers. (A): Summer, (B): Autumn. Measurements continued for 10 days after summer harvest and for 15 days after autumn harvest. Error bars on vertical columns indicate standard error (n = 3). Identical letters between bars indicate no significant difference (p < 0.05) among treatments according to Tukey’s multiple range test. OF (organic fertilizer): corn steep liquor (CSL) applied as organic fertilizer at the same amount of total nitrogen as that in the half unit of Otsuka A formula; OF2: CSL applied at twice the amount of total nitrogen in OF; CF (chemical fertilizer): half unit of Otsuka A formula.
3.4. Inoculation Test of Gray Mold
The leaves inoculated with gray mold showed water-soaked lesions that gradually spread from mycelial discs. Four days after inoculation, a clear difference in lesion diameter was noticed between the treatments, with leaves in CF and OF showing the largest and smallest diameters, respectively (Figure 6A). Whereas leaves cultivated in CF and OF turned yellow, leaves cultivated in OF2 only showed a yellowish ring around the mycelial disk of gray mold (Figure 6B).
Figure 6.
Effect of the different fertilizers on the induced resistance against gray mold. (A): Lesion diameter at five days after inoculation. Error bars on vertical columns indicate standard error (n = 3). Identical letters between bars indicate no significant difference (p < 0.05) among treatments according to Tukey’s multiple range test. (B): Gray mold lesions. OF (organic fertilizer): corn steep liquor (CSL) applied as organic fertilizer at the same amount of total nitrogen as that in the half unit of Otsuka A formula; OF2: CSL applied at twice the amount of total nitrogen in OF; CF (chemical fertilizer): half unit of Otsuka A formula.
4. Discussion
4.1. Nitrification by the Multiple Parallel Mineralization Method
This study used the multiple parallel mineralization method, which has been established by Shinohara [6], by growing bok choy in OF and CF. Organic hydroponics were set up 14 days before bok choy transplantation to allow the nitrification process. The remarkably lower concentrations of nitrate ions in hydroponic solutions with OF and OF2 than in the hydroponic solution with CF in both summer and autumn cultivations indicated that nitrification had occurred. However, most of the N contained in CSL was in forms that had high molecular weights, such as proteins and peptides [9,10]. These N forms are either not absorbed or inefficiently absorbed by plants [18], and thus, the nitric acid and N content of bok choy cultivated in OF and OF2 was considerably lower than that of the bok choy cultivated in CF. However, the addition of a small amount of CSL every three days was expected to enable the development of biofilm on the root surface of plants, allowing the microorganisms that formed the biofilm to mineralize organic compounds and provide absorbable N to plant roots [8]. Moreover, microorganisms forming the biofilm may absorb organic N and mineralize organic N, thereby directly providing absorbable N to plant roots [13], despite N absorption not being upregulated in OF and OF2 compared with CF. Contrary to the nitrate ion, the ammonium ion was only detected in OF2 during summer cultivation. An accumulation of ammonium ions as that shown in OF2 can negatively affect the growth of bok choy. The dissolved oxygen level in OF2 was significantly lower than that in OF and CF in both summer and autumn cultivation periods, leading to the disruption of the nitrification process by aerobic nitrifiers. The high air temperature in summer was assumed to increase nutrient solution temperature, which then leads to increased plant root growth and higher respiration rate. This higher respiration rate may induce microorganisms in the root biofilm to consume more oxygen, thereby reducing the levels of dissolved oxygen in OF2 required for nitrification to occur [24]. Although the dissolved oxygen level in OF2 was similar between summer and autumn, the possibility of oxygen deficiency should be considered for improving bok choy cultivation in summer.
4.2. Effect of Fertilizer Types and CSL Application Rates on Bok Choy Growth
Bok choy was successfully grown hydroponically using CSL at the same N level as in CF (one application rate, OF) in summer and autumn, but not at twice the application rate in CF (OF2) in summer. Autumn cultivation did not show differences in bok choy growth regarding fertilizer type or application rate. However, the nitrification deficiency in OF and OF2 under the high air and nutrient solution temperature in summer caused a lower plant yield and growth rate compared with CF. To fulfill N demand, bok choy may absorb organic N [18] as shown for tomato, which can increase its N uptake by 15–40% [25]. In the present study, the glutamic acid concentration was significantly higher in OF2 than in OF and CF in autumn, suggesting that bok choy cultivated in OF2 absorbed a high amount of glutamic acid. This agreed with the results of Nihei [19], who found that the addition of glutamic acid promotes bok choy growth. In summer, the concentrations of aspartic acid, threonine, serine, glycine, and valine in bok choy were higher in OF2 than CF, and OF showed intermediate values. In bok choy cultivation, aspartic acid effectively replaced the nitrate ion, while glycine and serine had no effect on growth; threonine and valine inhibited bok choy growth when compared to no N application [19]. Thus, the double application rate of CSL in summer might have stimulated the absorption of organic N. However, this stimulation was not sufficient for increasing plant N content. High C concentration and low N concentration resulted in the high C/N ratios observed in OF and OF2, suggesting that C-containing N sources such as amino acids were directly absorbed. Further studies are needed to clarify this issue. There was no difference in growth rates among OF, OF2, and CF, possibly due to the rhizobacteria in the root biofilm that act as growth promoters. One possible pathway leading to the greater root development in OF and OF2 compared with CF in autumn is auxin production [26]. However, the identical leaf yield observed in all treatments led to lower leaf/root ratios in OF and OF2 than in CF. It remains unclear how root development may be positively affected by the beneficial rhizobacteria and contribute to the growth of the aerial part of bok choy. Thus, the function of rhizosphere microbiota in the nitrification process and biofilm formation warrants further study to elucidate the role of microorganisms in the absorption mechanisms of different N forms and in growth inhibition.
4.3. Effects of Fertilizer Types and CSL Application Rates on Bok Choy Quality
Content of nitrate ion and ascorbic acid in bok choy leaves in OF and OF2 differed from those in CF. Specifically, higher nitrate ion concentrations were accompanied by lower ascorbic acid concentrations. This trend is commonly observed not only in soilless cultures using CSL [8] but also in soil cultures using organic fertilizers [27]. It has been suggested that ascorbic acid concentration and total N content are negatively correlated in spinach mustard (B. rapa var. perviridis) [27] and broccoli [28]. Kodashima [29] suggested that the application of OF lowered the nitrogen content of spinach compared to the application of CF without inhibiting its growth. Rozek et al. [30] showed that ammonium sulfate fertilizer resulted in a higher content of free amino acids in spring cabbage when compared with potassium nitrate fertilizer. Amino acid supplementation in a nitrogen-deficient nutrient solution was also reported to decrease nitrate concentration and enhance the antioxidant capacity of green lettuce [31]. The present results suggest that the absorption of amino acids and ammonium ion derived from CSL may lead to lower nitrate ion concentration and higher ascorbic acid concentration in OF and OF2. Thus, bok choy quality, which is determined by its high content of ascorbic acid, was improved by OF and OF2 in autumn cultivation. Although amino acid concentration may affect the taste of bok choy and values in summer were remarkably lower than in autumn, the difference in such concentrations among fertilizer types does not seem to be a determining factor of bok choy quality.
4.4. Disease Resistance
Hydroponic cultivation using OF and OF2 may induce disease resistance in bok choy. The multiple parallel mineralization technique has been shown to suppress some soil-borne pathogens, such as Ralstonia solanacearum in tomato [12] and Fusarium oxysporum in lettuce [13,15] and tomato [14]. In the present study, gray mold disease was suppressed in OF and OF2 compared with that in CF. Fujiwara et al. suggested the existence of antimicrobial factors in the nutrient solution [14] that would work along the physical barrier of root biofilm. Chinta et al. also reported that nutrient solutions upregulated some defense genes and induced cucumber resistance against the gray mold pathogen Botrytis cinerea when sprayed onto the aerial parts [16]. The exogenous application of L-histidine induces plant resistance against Ralstonia solanacearum in tomato and Arabidopsis through the activation of ethylene signaling [32]. The accumulation of amino acids in bok choy may trigger the induction of resistance against gray mold. Furthermore, glutamic acid has been recognized to induce rice plant resistance against Magnaporthe oryzae, the causal agent of rice blast disease [33]. The accumulation of glutamic acid in bok choy in OF2 during autumn cultivation may also induce resistance.
4.5. Potential Benefits of Using Organic Fertilizers
As pointed out by Shinohara [6], hydroponics using the multiple parallel mineralization technique has several benefits. CSL, as well as a broad range of organic fertilizers, industrial food wastes, and methane fermentation digest, can be degraded by this method. Even the fermented aerial parts of tomato can be applied to tomato hydroponics. Highly efficient circular agriculture will be implemented if growth suppression under high-temperature conditions is achieved. Multiple additions of small amounts of organic fertilizer after establishing the microecosystem in the hydroponic vessel contributed to the stable nutrient condition in the solution. Establishment of a degrading system of organic compounds enables replanting as phytotoxic compounds or mineral deficiencies are not observed [8]. In addition, inhibition of quorum sensing may prevent soil-borne bacterial diseases [34]. Because there is no need to disinfect vessels before transplanting, year-round continuous cropping may be possible. The consumption of agricultural chemicals can be reduced due to the preventive effect of this method. Low nitrate and high ascorbate content are demanded for vegetables in the human diet [28]. Thus, the use of organic fertilizer in hydroponics can improve the quality of such vegetables in conventional cultivation.
4.6. Issues to Be Considered
Although microecosystems in nutrient solutions and biofilms of root and vessel surfaces are key to efficient ammonification, nitrification, and disease prevention, their structure and function are not sufficiently elucidated. In particular, the underlying mechanisms of growth inhibition in summer cultivation should be clarified. If the decreased activities of microecosystems lead to growth inhibition, using a thermotolerant system may be more beneficial than solution chilling in sustainable agriculture. If overdeveloped root biofilm leads to oxygen deficiency, additional aeration or reducing organic input can be tested. Our future study will focus on the relationship between the development of root surface biofilm and nitrogen absorption under high-temperature conditions by implementing long-term trials.
5. Conclusions
Hydroponic cultivation of bok choy using organic fertilizer is not inferior to chemical fertilizer in the autumn season. Compared to chemical fertilizer, organic fertilizer also resulted in lower nitric acid and higher ascorbic acid content. On the other hand, in summer cultivation, the growth rate was slower with organic fertilizer than with chemical fertilizer likely due to dissolved oxygen deficiency, different rates of nitrification, and nitrogen absorption by the plant root. Accumulated amino acids in the plant body are possible growth inhibitors and also activators of disease resistance against gray mold. Further management techniques should be added to the hydroponic management of summer cultivation. At present, officially certified organic fertilizers tend to be more expensive than chemical fertilizers. The development of a recycling system of crop residue is expected to reduce fertilizer costs and to help establish sustainable production in hydroponics.
Author Contributions
Conceptualization, K.K.; Data curation, Y.E.; Formal analysis, K.K.; Funding acquisition, M.S.; Investigation, K.K., H.K., K.S., H.O., S.Z., and Y.D.C.; Methodology, T.S.; Project administration, M.S.; Resources, T.S.; Software, K.K.; Supervision, T.S.; Validation, H.K., A.W., and T.S.; Visualization, T.S.; Writing—original draft preparation, K.K.; Writing—review and editing, H.K. All authors have read and agreed to the published version of the manuscript.
Funding
This work was supported by the Ministry of Agriculture, Forestry and Fisheries of Japan as a part of the “Research project for utilizing advanced technologies in agriculture, forestry and fisheries” No. 22009.
Institutional Review Board Statement
Not applicable.
Informed Consent Statement
Not applicable.
Conflicts of Interest
The authors declare no conflict of interest.
References
- Hill, T.R. The effect of nitrogenous fertilizer and plant spacing on the yield of three Chinese vegetables—Kai lan, Tsoi sum and Pak choi. Sci. Hortic. 1990, 45, 11–20. [Google Scholar] [CrossRef]
- Atkin, K.; Nichols, M.A. Organic hydroponics. Acta Hortic. 2004, 648, 121–127. [Google Scholar] [CrossRef]
- Garland, J.; Mackowiak, C.; Sager, J. Hydroponic crop production using recycled nutrients from inedible crop residues. SAE Tech. Paper 932173 1993, 102, 1103–1110. [Google Scholar]
- Garland, J.L.; Mackowiak, C.L.; Strayer, R.F.; Finger, B.W. Integration of waste processing and biomass production systems as part of the KSC Breadboard project. Adv. Space Res. 1997, 20, 1821–1826. [Google Scholar] [CrossRef]
- Mackowiak, C.L.; Garland, J.L.; Strayer, R.F.; Finger, B.W.; Wheeler, R.M. Comparison of aerobically-treated and untreated crop residue as a source of recycled nutrients in a recirculating hydroponic system. Adv. Sp. Res. 1996, 18, 281–287. [Google Scholar] [CrossRef]
- Shinohara, M. Hydroponics with organic fertilizers—a method for building an ecological system of microorganisms in culture liquid by a parallel mineralization method. Agric. Hortic. 2006, 81, 753–764. (In Japanese) [Google Scholar]
- Daniels, R.S. Corn Steep Liquor as a Biostimulant Composition in United States. U.S. Patent Application Publication US2012/0028801A1, 2012. [Google Scholar]
- Liggett, R.W.; Koffler, H. Corn steep liquor in microbiology. Bacteriol. Rev. 1984, 12, 297–311. [Google Scholar] [CrossRef]
- Kawamura-Aoyama, C.; Fujiwara, K.; Shinohara, M.; Takano, M. Study on the hydroponic culture of lettuce with microbially degraded solid food waste as a nitrate source. Jpn. Agric. Res. Quart. 2014, 48, 71–76. [Google Scholar] [CrossRef]
- Shinohara, M.; Aoyama, C.; Fujiwara, K.; Watanabe, A.; Ohmori, H.; Uehara, Y.; Takano, M. Microbial mineralization of organic nitrogen into nitrate to allow the use of organic fertilizer in hydroponics. Soil Sci. Plant Nutr. 2011, 57, 190–203. [Google Scholar] [CrossRef]
- Patten, C.L.; Glick, B.R. Role of Pseudomonas putida indoleacetic acid in development of the host plant root system. Appl. Environ. Microbiol. 2002, 68, 3795–3801. [Google Scholar] [CrossRef] [PubMed]
- Fujiwara, K.; Aoyama, C.; Takano, M.; Shinohara, M. Suppression of Ralstonia solanacearum bacterial wilt disease by an organic hydroponic system. J. Gen. Plant Pathol. 2012, 78, 217–220. [Google Scholar] [CrossRef]
- Fujiwara, K.; Iida, Y.; Iwai, T.; Aoyama, C.; Inukai, R.; Ando, A.; Ogawa, J.; Ohnishi, J.; Terami, F.; Takano, M.; et al. The rhizosphere microbial community in a multiple parallel mineralization system suppresses the pathogenic fungus Fusarium Oxysporum. Microbiology 2013, 2, 997–1009. [Google Scholar] [CrossRef]
- Fujiwara, K.; Iida, Y.; Someya, N.; Takano, M.; Ohnishi, J.; Terami, F.; Shinohara, M. Emergence of antagonism against the pathogenic fungus Fusarium oxysporum by interplay among non-antagonistic bacteria in a hydroponics using multiple parallel mineralization. J. Phytopathol. 2016, 164, 853–862. [Google Scholar] [CrossRef]
- Chinta, Y.D.; Kano, K.; Widiastuti, A.; Fukahori, M.; Kawasaki, S.; Eguchi, Y.; Misu, H.; Odani, H.; Zhou, S.; Narisawa, K.; et al. Effect of corn steep liquor on lettuce root rot (Fusarium oxysporum f. sp. lactucae) in hydroponic cultures. J. Sci. Food Agric. 2014, 94, 2317–2323. [Google Scholar] [CrossRef]
- Chinta, Y.D.; Eguchi, Y.; Widiastuti, A.; Shinohara, M.; Sato, T. Organic hydroponics induces systemic resistance against the air-borne pathogen, Botrytis cinerea (gray mould). J. Plant Interact. 2015, 10, 243–251. [Google Scholar] [CrossRef]
- Rouphael, Y.; Colla, G. Growth, yield, fruit quality and nutrient uptake of hydroponically cultivated zucchini squash as affected by irrigation systems and growing seasons. Sci. Hortic. 2005, 105, 177–195. [Google Scholar] [CrossRef]
- Matsumoto, S.; Ae, N.; Yamagata, M. Possible direct uptake of organic nitrogen from soil by chingensai (Brassica campestris L.) and carrot (Daucus carota L.). Soil Biol. Biochem. 2000, 32, 1301–1310. [Google Scholar] [CrossRef]
- Nihei, N.; Masuda, S.; Tanoi, K.; Rai, H.; Nakanishi, T.M. Initial growth of some crops grown in amino acid as nitrogen source under aseptic condition. Jpn. J. Crop. Sci. 2012, 81, 194–200, (In Japanese with English abstract). [Google Scholar] [CrossRef][Green Version]
- Wang, H.; Wu, L.; Wang, M.; Zhu, Y.; Tao, Q.; Zhang, F. Effects of amino acids replacing nitrate on growth, nitrate accumulation, and macroelement concentrations in pak-choi (Brassica chinensis L.). Pedosphere 2007, 17, 595–600. [Google Scholar] [CrossRef]
- Mozafar, A. Nitrogen fertilizers and the amount of vitamins in plants: A review. J. Plant Nutr. 2008, 16, 2479–2506. [Google Scholar] [CrossRef]
- Liu, A.; Li, S.; Chen, D. Effects of organic nutrient solution on growth and quality of pak-choi under soilless culture. Acta Hortic. 2003, 627, 139–144. [Google Scholar] [CrossRef]
- Singh, H.; Dunn, B. Electrical conductivity and pH guide for hydroponics. In Oklahoma Cooperative Extension Fact Sheets HLA-6722; Division of Agricultural Sciences and Natural Resources, Oklahoma State University: Stillwater, OK, USA, 2016. [Google Scholar]
- Senga, Y.; Watanabe, Y. The effects of artificial oxygenation on mineralization and microbial communities in the polluted pond water. Bull. Geo-Environ. Sci. Rissho. Univ. 2010, 12, 13–18, (In Japanese with English abstract). [Google Scholar]
- Yasutake, D.; Osman, A.K.; Kano, K.; Islam, S.; Hikashi, M.; Sago, Y.; Ishikawa, K.; Kitano, M. Quantitative evaluation of the direct uptake of organic nitrogen by tomato roots associated with plant growth and water uptake: Use of a root chamber with HPFM. Environ. Control Biol. 2012, 50, 173–179. [Google Scholar] [CrossRef][Green Version]
- Asghar, H.; Zahir, Z.; Arshad, M.; Khaliq, A. Relationship between in vitro production of auxins by rhizobacteria and their growth-promoting activities in Brassica juncea L. Biol. Fertil. Soils 2002, 35, 231–237. [Google Scholar]
- Nakagawa, S.; Yamamoto, H.; Igarashi, Y.; Tamura, Y.; Yoshida, K. Influences of compost and organic fertilizer on the concentrations of nitrate, sugar, ascorbic acid and β-carotene in Komatsuna (Brassica campestris L. rapifera group). Jpn. J. Soil Sci. Soil Plant Nutr. 2000, 71, 625–634, (In Japanese with English abstract). [Google Scholar]
- Xu, C.; Gou, R.; Yan, H.; Yuan, Y.; Sun, B.; Yuan, G.; Wang, Q. Effect of nitrogen fertilization on ascorbic acid, glucoraphanin content and quinone reductase activity in broccoli floret and stem. J. Food Agric. Environ. 2010, 8, 179–184. [Google Scholar]
- Kodashima, R.; Takahashi, M.; Hiraka, M.; Ono, T.; Ae, N.; Matsumoto, S. Effect of continuous application of compost made from cattle waste and sawdust on the growth and nitrogen uptake of spinach (Spinacia oleracea L.). Hortic. Res. (Japan) 2006, 5, 389–395, (In Japanese with English abstract). [Google Scholar] [CrossRef][Green Version]
- Rozek, S.; Leja, M.; Wojciechowska, R.; Sady, W. Nitrate and nitrite contents in spring cabbage as related to nitrogen fertilizer type, methods of fertilizer application and to nitrate and nitrite reductase activity. Acta Hortic. 1999, 506, 153–160. [Google Scholar] [CrossRef]
- Tsouvaltzis, P.; Kasampalis, D.S.; Aktsoglou, D.C.; Barbayiannis, N.; Siomos, A.S. Effect of reduced nitrogen and supplemented amino acids nutrient solution on the nutritional quality of baby green and red lettuce grown in a floating system. Agronomy 2020, 10, 922. [Google Scholar] [CrossRef]
- Seo, S.; Nakaho, K.; Hong, S.W.; Takahashi, H.; Shigemori, H.; Mitsuhara, I. L-Histidine induces resistance in plants to the bacterial pathogen Ralstonia solanacearum partially through the activation of ethylene signaling. Plant Cell Physiol. 2016, 57, 1932–1942. [Google Scholar] [CrossRef]
- Kadotani, N.; Akagi, A.; Takatsuji, H.; Miwa, T.; Igarashi, D. Exogenous proteinogenic amino acids induce systemic resistance in rice. BMC Plant Biol. 2016, 16, 60. [Google Scholar] [CrossRef] [PubMed]
- Shinohara, M.; Nakajima, N.; Uehara, Y. Purification and characterization of a novel esterase (beta-hydroxypalmitate methyl ester hydrolase) and prevention of the expression of virulence by Ralstonia solanacearum. J. Appl. Microbiol. 2007, 103, 152–162. [Google Scholar] [CrossRef] [PubMed]
Publisher’s Note: MDPI stays neutral with regard to jurisdictional claims in published maps and institutional affiliations. |
© 2021 by the authors. Licensee MDPI, Basel, Switzerland. This article is an open access article distributed under the terms and conditions of the Creative Commons Attribution (CC BY) license (http://creativecommons.org/licenses/by/4.0/).








