Next Article in Journal
The Impact of Selenium Fertilization on the Quality Characteristics of Spring Wheat Grain
Previous Article in Journal
Role of Rhizosphere Soil Microbes in Adapting Ramie (Boehmeria nivea L.) Plants to Poor Soil Conditions through N-Fixing and P-Solubilization
 
 
Font Type:
Arial Georgia Verdana
Font Size:
Aa Aa Aa
Line Spacing:
Column Width:
Background:
Article

Analysis of the Evolution of Drought through SPI and Its Relationship with the Agricultural Sector in the Central Zone of the State of Veracruz, Mexico

by
Fernando Salas-Martínez
1,
Ofelia Andrea Valdés-Rodríguez
1,*,
Olivia Margarita Palacios-Wassenaar
2 and
Aldo Márquez-Grajales
3
1
El Colegio de Veracruz, Carrillo Puerto 26, Xalapa 91000, Mexico
2
Instituto de Ecología, A. C., Carretera Antigua a Coatepec 351, Xalapa 91073, Mexico
3
Tecnológico Nacional de México, Instituto Tecnológico Superior de Xalapa, Seccc 5° Reserva Territorial, Xalapa 91096, Mexico
*
Author to whom correspondence should be addressed.
Agronomy 2021, 11(11), 2099; https://doi.org/10.3390/agronomy11112099
Submission received: 23 September 2021 / Revised: 15 October 2021 / Accepted: 16 October 2021 / Published: 20 October 2021

Abstract

Agriculture and raising livestock are human activities highly affected by drought. In Mexico, the Veracruz territory is seriously affected by this phenomenon. Our study had two objectives: (1) to analyze the drought evolution through the Standardized Precipitation Index (SPI) and the maximum temperature in the central zone of the state of Veracruz for the period 1980–2018; and (2) to describe the relationship between the yield of corn grain and cattle, and the SPI, in the study area. The methodology consisted of calculating the SPI to estimate the drought conditions in the mentioned area. Subsequently, we determined the relationship of these conditions with the maximum temperature increase and the presence of El Niño/La Niña events. The results showed that the drought has intensified during 1980–2018, having a presence in almost 50% of the area. Additionally, the maximum temperature increased by approximately 6 °C. As a result, the cultivation of corn grain under rain conditions showed reductions in 48% of the analyzed municipalities. Concerning livestock variables, lower reductions were reported (42–32%) for the same period. Therefore, we can conclude that the drought has intensified in recent years due to an increase in the maximum temperature and El Niño/La Niña events, and these factors have had a higher impact on the agricultural sector.

1. Introduction

One of the main objectives of international policies to fight climate change is to minimize the loss or damage caused by natural phenomena [1]. Drought is a climatic phenomenon with a significant impact at an international level. The Intergovernmental Panel on Climate Change (IPCC) defines, in general, drought as a period of abnormally dry conditions that lasts long enough to cause a severe hydrological imbalance [2]. Among other factors, drought intensification correlates with increases in maximum temperatures [3,4,5,6] and atmospheric climatic conditions, such as El Niño-Southern Oscillation (ENSO), which is known as El Niño in its warm phase and La Niña in its cold phase [7,8,9].
Environmental conditions and human activities are vulnerable to drought. The environmental effects of drought are vegetation drought stress, loss of wetlands, and soil degradation [10,11]. Human activities, predominantly agricultural and livestock rearing, are the most susceptible [12,13,14,15]. However, other activities such as hydroelectric power generation, human access to water, tourism, and even migration are linked to droughts [16,17,18,19].

1.1. Implications of Drought in the Agricultural Sector

During the 2006–2016 period, the Food and Agriculture Organization (FAO) reported that the economic repercussions increased by up to 83% in the global agricultural sector due to drought. These repercussions represented almost 29 billion USD. In addition, the livestock sector was also affected economically, by up to 86%, due to drought effects [20]. During the same period, in Latin America, the FAO indicated that the economic losses generated by drought in agricultural production increased considerably, affecting up to 69% of crops [21].
Most recently, in 2019, in Mexico, a country with recurrent droughts, the Secretariat of Agriculture and Rural Development (SADER) spent more than 27 million USD in catastrophic agricultural insurance to cover the losses of 93,821 hectares of crops and 4,439,719 animal production units [22]. Remarkably, the State of Veracruz, located in the Gulf of Mexico, reported that in 2019, 62% of its territory had a severe drought, 26.4% had an extreme drought, and 1.4% had exceptional drought [23].
Agricultural activities are essential for a national sovereign; thus, climatic changes and recurring droughts endanger food safety. In Veracruz, this situation affects the principal crop of the State, corn (Zea mays L. ssp.), which is also an essential crop worldwide [24,25]. Additionally, Veracruz’s main activity is raising cattle, and Mexico is one of the leading cattle producers (Bos Primigenius spp.) [26,27,28].

1.2. Estimation of Drought

Different methodologies exist to study and characterize meteorological drought at various time scales, such as index applications. One of these is the Standard Precipitation Index (SPI), developed by McKee, Doesken, and Kleist [29]. The SPI proposes an accessible and valid statistical means to calculate drought using probability density functions (PDFs). It begins by making a gamma PDF adjustment to the entire precipitation record for the weather station of interest. Subsequently, the new values are transformed to a normal PDF with a mean of zero and a variance of one, which describes the drought behavior at the site [30,31]. The SPI has been used in numerous studies to evaluate the phenomenon’s behavior in various parts of the world [5,30,32,33,34,35,36]. Thus, these studies report that this is a powerful tool capable of capturing drought behavior, duration, and intensity. In addition, the World Meteorological Organization (WMO) recommends the SPI index to study this phenomenon [37].
From the above, because the Veracruz territory is highly affected by drought, it is essential to determine if the phenomenon has intensified in recent years. Therefore, we hypothesized that the increase in negative SPI values and maximum temperature have resulted in reductions in corn crops and cattle production. Thus, this research had two objectives: (1) to analyze the evolution of drought through the behavior of the Standardized Precipitation Index (SPI) and the maximum temperature in the central zone of Veracruz for the period 1980–2018, and (2) to describe the relationship between corn grain and bovine livestock yields, with SPI values, in this territory.

2. Materials and Methods

2.1. Study Area

The study area is located between the geographical coordinates 18.6° and 20.1° L. N., and 97.4° and 96.1° L. W. The surface has an area of 17,122.34 km2 and represents the central mountainous region of the state of Veracruz, Mexico (Figure 1). The area contains the hydrological basins Actopan, Blanco, Cotaxtla, Colipa, Jamapa, La Antigua, Llanuras de Actopan, Libres Oriental, Misantla, and Nautla [38]. This region is characterized by more than 60% of its territory being dedicated to agricultural or livestock activities, which are strongly affected by the drought phenomenon [28,39,40,41].

2.2. The SPI Index

The SPI has a number of advantages, such as being flexible; facilitating analyses at different time scales (1, 2, 3, 6, 9, 12, and 24 months); having a spatial coherence that allows comparisons between different sites; being based solely on precipitation; contributing to determining the degree of severity of the phenomenon; and having the ability to be used to analyze not only dry periods, but also wet periods [37]. In this context, the higher positive values determine periods with higher humidity; on the contrary, the lower the negative value, the drier conditions (Table 1).

2.3. Data

2.3.1. Climatic Information

The weather information was provided by 40 stations belonging to Veracruz state and six to Puebla state. These stations belong to the National Meteorological Service (SMN) network of weather stations in Mexico and gather statistical information regarding weather conditions [42]. The analysis period comprises the years 1980–2018.
The stations that met the following requirements were selected:
(a)
Being within the study area or located less than seven kilometers away from it to have a better quality of interpolation of the behavior of the index.
(b)
Having a historical record of daily precipitation of at least 80% of the analysis period.
(c)
Containing information on the average maximum temperature in the period described.
The 40 stations used for our study with the stipulated conditions are distributed in Veracruz’s 28 municipalities (Appendix A). The distribution of these stations in the study area is represented in Figure 1.

2.3.2. Agriculture and Livestock Data

The agricultural and livestock production data were obtained from the Agrifood and Fisheries Information Service (SIAP), from the Secretariat of Agriculture, Livestock, Rural Development, Fisheries and Food (SAGARPA). These data can be filtered by federative entity, municipality, type of crop, and livestock species, among other data [26]. According to SIAP, the municipality information for agriculture is available from 2003 to 2018 and for livestock cattle from 2006 to 2018. This situation limited our analysis to the periods 2003–2018 and 2006–2018, respectively. The variable yield (units of measurement in ton/hectare) of the corn crop grain for the rainfed agriculture was selected, considering only the spring-summer agricultural cycle, because 68.9% of corn production in Mexico is generated under these conditions. This agriculture depends entirely on the rains, making it very vulnerable to drought effects [43]. Regarding the livestock variables, the volume of production and the weight of cattle meat were selected. The first refers to the production in a year per unit of animal production (units in tons), and the second refers to the weight of the raw meat of the animals slaughtered without the viscera (units in kilograms).

2.4. Calculation of the New SPI Representation and Maximum Temperature per Decade

The climatological stations provide their records daily. However, SPI calculates the incidence of drought monthly. As a consequence, it was necessary to calculate the monthly accumulated precipitation. The SPI Program software was employed to obtain the SPI values. The National Drought Mitigation Center (NDMC) developed the SPI program for the Microsoft Windows operating system [44]. The SPI calculation was undertaken for all selected stations during the analysis period. Because the analysis in this study relates to drought, only negative values, which indicate dry periods, were considered.
After generating the information with the SPI, a monthly weighting of the result was derived because the phenomena effects depend on the SPI intensity degree. More negative SPI values determine higher drought effects, whereas SPI values closer to zero represent a lower impact [29,30,31,37]. Therefore, we transformed this index to obtain only positive values from to the negative SPI values. This representation can be seen in Table 2.
Once the corresponding value was assigned to each index interval, we estimated the new average SPI representation (ANSPIR) for the months of March to September of each year. Equation (1) expresses this computation, where N M represents the number of months that a specific interval occurs for a given year; N S P I R is the newly assigned value for the corresponding SPI; and, m represents the number of months considered for the period (March to September = 7).
ANSPIR = ( N M × N S P I R ) m
Then, the average calculation for each decade (1980–1989; 1990–1999; 2000–2009 and 2010–2018) was performed. Finally, to determine the behavior of maximum temperature, the information provided by each station for the same time period as that of the drought analysis was used.

2.5. Behavior of Emergency Declarations for Natural Disasters Due to Drought and Its Relationship with El Niño/La Niña Events

In Mexico, the National Center for Disasters Prevention (CENAPRED) registers the effects of various natural phenomena that impact the country’s municipalities. This institution has evaluated the Emergency Declarations for Natural Disasters (EDND) from the 2000 until now. In addition, the Mexican government provides financial budget support to remedy the effects of natural phenomena. Therefore, 14 EDND related to drought in the study area were counted. These were distributed across eight municipalities in the 2000–2018 period (Appendix B). Furthermore, CENAPRED determined that Mexico suffered the most critical drought impacts in 2005, 2011, and 2015 [45,46], coinciding with ENSO events in its warm and cold phases. Consequently, these years were selected to analyze the drought behavior and its impact on the selected variables of agriculture and cattle. Similarly, the ANSPIR value was established within the interval [0.7, 1.1] because the municipalities experiencing an EDND were located in this range.

2.6. Correlation between ANSPIR and Maximum Temperature, Corn Grain Yield, and Livestock Cattle Volume and Weight

To determine the relationship between the drought behavior and the possible impact on corn production and cattle in the study area, it was necessary to compute the change rate (CR) of ANSPIR, maximum temperature, corn yield, production volume, and cattle weight. Equation (2) expresses the CR for the variables mentioned above, where V t is the value of the variable (ANSPIR, maximum temperature, corn grain, and livestock yield) in the current year, and V t 1 is the value for the previous year. The equation’s divisor was included as a normalization method to avoid the math inconsistency of zero division.
CR = V t V t 1 V t + V t 1
The statistical test used to validate the correlation between the ANSPIR value and the variables above was the t-student test with a 95% confidence level [47,48].
Maps were prepared for describing the ANSPIR behavior and the maximum temperature in each decade. These maps were elaborated using the ArcGIS geographic information system of the Environmental Systems Research Institute (ESRI), version 10.8 [49]. The affected area was estimated at each level of the ANSPIR for every decade based on the maps. Additionally, the CR for ANSPIR, maximum temperature, yield, livestock cattle volume, and weight were graphed using the Microsoft Office Excel 2019 program. Finally, a map was prepared to show the behavior of the availability of hydric resources [38].

3. Results

3.1. Analysis of the Drought Behavior Using the ANSPIR per Decade

Figure 2 illustrates the results found for the ANSPIR between 1980 and 2018. In the 1980s, the reference values (interval 0.7–1.1) were located in the study area’s middle region, from coastal to mountainous zones. For the 1990s, these values were expanded to the north of the study region, indicating a more intense drought phenomenon. By the 2000s, the drought phenomena were present in all of the study region, from the north to the south, and coastal to mountainous areas. Moreover, in this decade, eight EDND in six different municipalities were declared. These municipalities requested financial support to mitigate the effects of drought from the National Disaster Fund (FONDEN). Furthermore, the authorities declared an EDND in 2003 and 2005. One of the characteristics to highlight is that the affected municipalities present an altitudinal gradient from 10 to 915 m above sea level (masl); see Appendix A.
Between 2010 and 2018, higher ANSPIR range values [0.7–1.1] were distributed in the study zone. In 2011, six EDND in six municipalities were reported, confirming the highest drought phenomena effects. The affected municipalities are located at altitudes from 14 to 1532 masl, indicating that drought impacted higher zones in the most recent period (Appendix A). It is important to note that the municipalities with the greatest number of EDND were Actopan, Paso de Ovejas, Medellín, Nautla, and Camarón de Tejeda (Appendix B). Camarón de Tejeda declared three events between 2000 and 2018, and was the most vulnerable to the drought phenomena (see Figure 2).
Table 3 shows the surface percentage of the ANSPIR within the study area. In this table, the 2000s present the highest surface percentage in the ANSPIR range [0.7–1.1] (more than 57% of the area), coinciding with the period with the highest number of EDND in the study area. However, for 2010–2018, a decrease in the affected area was observed during the analysis interval (approximately 9%). Despite this decrease, there were six EDND for that period.

3.2. Analysis of the Maximum Temperature Behavior per Decade

Figure 3 shows the maximum temperature recorded for the period 1980 to 2018. In the 1980s, the maximum temperature values were recorded (29 to 34.9 °C) in the eastern region. Such sites present an altitudinal gradient of 0 to 400 masl, with lower temperatures in the highest altitudes. For the 1990s, the temperature values showed similar behavior to that of the 1980s, showing a slight increase in the maximum temperatures at the north of the study area. These temperature values were inversely proportional to the altitudes. By the 2000s and 2010–2018, maximum temperatures extended over more than 50% of the region, corroborating the supposition that higher temperatures increased over time. The municipalities with an EDND due to drought registered an increase in temperature of around 3 to 6 °C compared to the 1980s. Notably, the coastal and north areas of the study region presented an increase in the maximum temperature in the recent period.

3.3. Analysis of El Niño (2005 and 2015) and La Niña (2011) Events

The atmospheric-oceanic phenomena are affecting a number of human activities, such as agriculture and cattle raising. One of these phenomena is the ENSO in its two phases. In México, the El Niño and La Niña events presented phases in 2005, 2011, and 2015. Figure 4 illustrates the change rate behavior of the selected variables of our study. The change rates (CR) are employed for determining the drought phenomena effects. This phenomenon can be analyzed through the trade-off between the ANSPIR change rate and the selected variables, i.e., there is a drought effect when the ANSPIR change rate is positive and the selected variables change rate is negative, and vice versa. In 2005, this effect was observed to affect the corn yield. Thus, this crop was negatively affected by drought in 71% of the analyzed municipalities. For 2011 and 2015, the adverse effects were presented in 50% and 61% of the studied municipalities. Moreover, 29% of the municipalities reached a 95% statistical significance level (Appendix A). Regarding the cattle weight and volume (Figure 4), we only considered 2011 and 2015 due to the data availability in each municipality (see Section 2.3.2). In 2011, the percentage of affected municipalities in terms of cattle volume and weight was higher (39% and 43%, respectively) than in the other years. Furthermore, in 2015, 39% and 29% of the municipalities reported changes in these variables, consistent with the trade-off rates mentioned above.
In this analysis, 14% of municipalities presented a 95% statistical significance level for the cattle volume variable and 7% for the cattle weight variable. In addition, the drought effects on the analyzed variables during the El Niño events were higher than those during the La Niña events. However, only one municipality (Perote) showed a 95% statistical significance level in all of the analysis variables, followed by Misantla, which had statistical significance in two of the three analyzed variables (Appendix A).

3.4. Dispersion Behavior Analysis of the ANSPIR and Maximum Temperature in Each Study Variable

Figure 5 illustrates the behavior of the corn crop and average livestock cattle values for 2003–2018 and 2006–2018. Figure 5a shows a positive tendency line in the grain corn crop, representing an increase of 3.5% in this crop yield. Despite this tendency, 43% of municipalities were affected by the ANSPIR increases. Furthermore, three municipalities (Coatepec, Emiliano Zapata, and Xalapa) experienced this behavior at a 95% statistical significance level. Concerning the livestock production volume, the tendency line showed a negative slope in 36% of municipalities, indicating a 2.2% decrease in ANSPIR behavior. Again, the Coatepec and Cosautlán de Carvajal municipalities presented a statistical difference in this behavior.
Finally, for cattle weight, an increase of 1.8% in the tendency was presented for ANSPIR. Nevertheless, 21% of analyzed municipalities demonstrated a decrease in this variable (Figure 5c). The Totutla municipality showed a decline in cattle weight with a 95% statistical significance level. Concerning the correlation coefficient, the yield variable presented a value of −0.165; the variable volume presented a value of 0.008; and the weight coefficient obtained a value of −0.0427. These values indicate that the corn crop yield decreased on average when the ANSPIR values increased. This behavior was replicated in the livestock weight variable. On the contrary, the volume variable showed a positive value on average.
Figure 6a–c shows the spatial distribution of municipalities with a reduction in corn crop and livestock variables when ANSPIR increased. The affected municipalities are located in the middle and north of the study zone, extending from sea level to higher altitudes. However, in three variables, the municipalities are located in higher altitude areas.
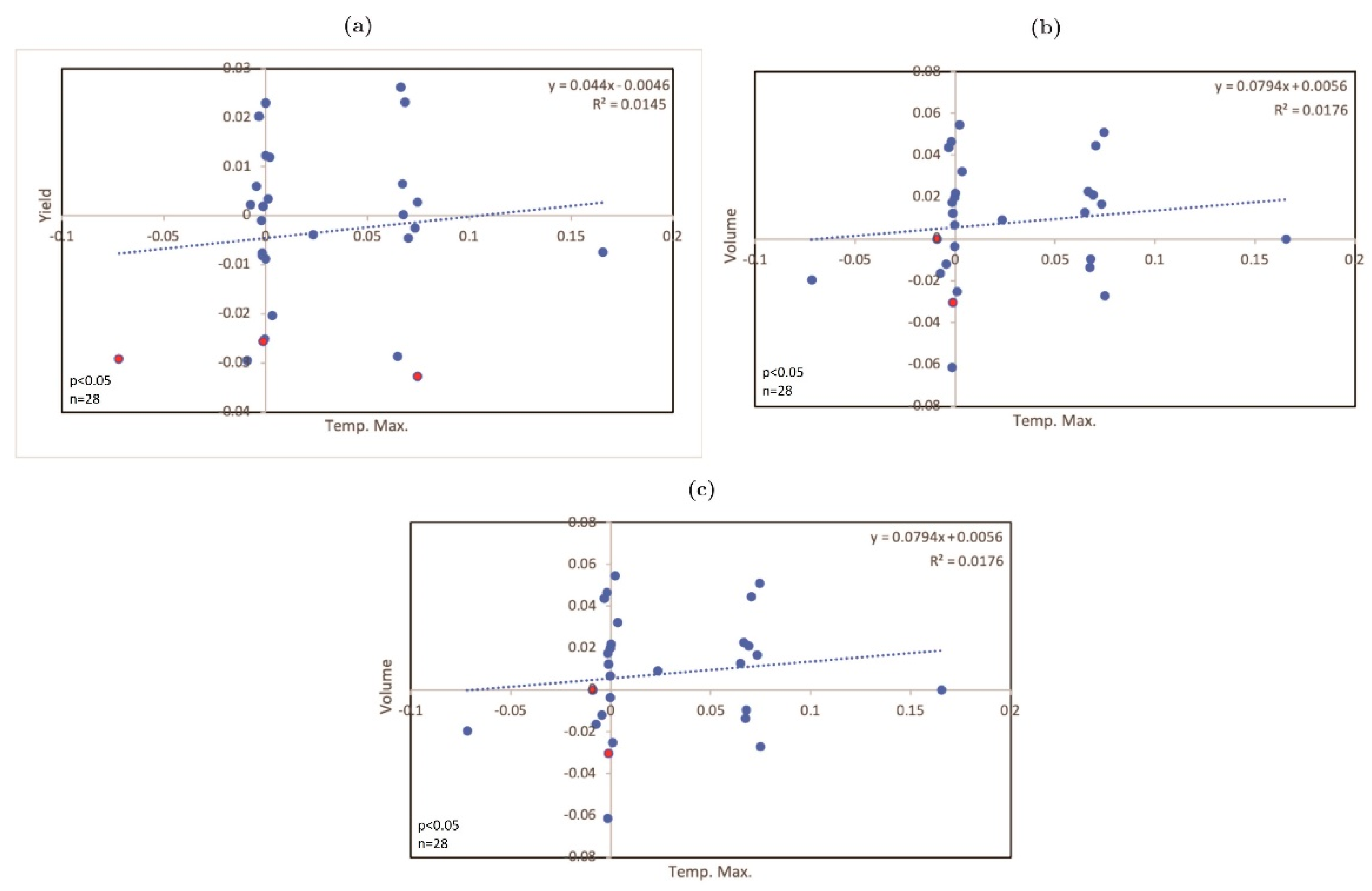
According to the maximum temperature, the tendency line showed an increase of approximately 4.4% regarding the crop. Nevertheless, 25% of municipalities presented a yield decrease because of the maximum temperature increase. Furthermore, a 7.9% increase was observed in the cattle production volume variable, and 18% of municipalities were affected by temperature increases. Finally, livestock cattle weight reported a possible increase of 7.2%, and in 7% of the considered municipalities, the maximum temperature decreased (Figure 7a–c). Notably, the considered variables presented a higher decrease in ANSPIR behavior, having a larger number of affected municipalities. However, a smaller number of affected municipalities with statistical significance in maximum temperature was obtained compared with the ANSPIR behavior.
Based on the mentioned results, the Emiliano Zapata, Paso de Ovejas, Camarón de Tejeda, and Actopan municipalities showed a significant vulnerability to drought. They reported at least one EDND coinciding with effects caused by the El Niño/La Niña events and a decreasing behavior in the average values of the analysis variables. By comparison, Coatepec, Banderilla, Jilotepec, Misantla, and Xalapa were less affected under the same conditions (only the Jilotepec municipality presented one EDND).

4. Discussion

4.1. Analysis of the Drought Behavior Using the ANSPIR per Decade

Because the immediate effects of drought occur slowly, its detection and quantification are more complex compared to other natural disasters, such as floods or storms. Furthermore, the long-term results can arise months or even years after its onset [50,51].
Our study results suggest that the distribution and intensity of drought have changed during the past 40 years. Furthermore, precipitation anomalies became more significant at the end of the 20th century and the beginning of the 21st century, when a critical region of the study area was affected. According to Stahle et al. [4], intense and prolonged drought in Mexico occurred from 1994 until 2009 due to climatic changes in the territory, reflected in increments in mean temperatures, changes in precipitation patterns, and extreme meteorological events. Other authors [4,5,46,52,53,54] agreed that a reason for the intense drought in Mexico is the increase in the scale of the ocean-atmosphere circulation, which has contributed to precipitation reductions in the overall country.
It should be noted that studies describing the future conditions of drought behavior contribute to a better understanding of this problem. These studies indicate that the phenomenon will have a considerable increase in its global distribution and intensity, resulting in particularly large effects in México [3,6,36,52,55]. Furthermore, the authors agree that this behavior will be exacerbated, mainly by anthropogenic activities, at the beginning of the 21st century.
The 9% reduction in the reference values of the ANSPIR during the period of 2010–2018 in the study region is a consequence of modifying the drought distribution, duration, and intensity. When a change in drought intensity and duration occurs, lower ANSPIR values are generated compared with those in previous decades [36]. An essential change was observed regarding the most recent drought distribution (2010–2018). The reference values [0.7–1.1] were located at altitudes of up to 1532 masl, suggesting that the drought conditions were recorded in the highest altitude zones. This situation may result from natural vegetation changes and increased greenhouse gases and temperatures, producing drought conditions [4,36,52,55,56].
Since the creation of the EDND registration by CENAPRED at the beginning of the 2000s, in the study zone, 14 drought-related declarations have been made; eight during the 2000–2009 period and six during the 2010–2018 period; thus, the 2000–2009 period was the most affected by this phenomenon. Nevertheless, access to economic support to minimize drought effects is still a tedious procedure. Moreover, the management process is highly complex because it is necessary to fulfill particular conditions [57]. If these conditions are not fulfilled, the municipalities are not able to access any economic support. This situation impedes municipalities from investing in new infrastructures to prevent drought disasters, making their inhabitants more vulnerable to such phenomena [58,59].

4.2. Analysis of the Maximum Temperature Behavior per Decade

The maximum temperature indicates that a surface temperature increase occurred during the most recent period of our study, and was also registered in the whole Mexican territory [4]. This warming is more significant in locations at higher altitudes, represented by a considerable increase of up to 6 °C compared with the 1980–1989 period. Several authors have documented increases in maximum temperature between 3 and 11 °C throughout the Mexican territory [60,61,62,63,64,65]. The growth in the maximum temperature is caused by an extensive conversion of the vegetal coverage’s features for human activities, thus reducing evaporation cooling and generating a significant increase in the sensible and latent heat flux. Therefore, the values of the maximum temperatures have steadily increased [4,56,66].
The maximum temperature is related to drought behavior because the most significant surface warming (temperature increase) generates drier conditions derived from the humidity changes in the surface and atmosphere. For this reason, the maximum temperature increases are translated into a rise in the incidence of drought [4,5,54]. In general, the considerable modifications to the climate systems have shown negative precipitation tendencies and positive temperature tendencies in Mexico and globally [54,67,68,69,70].

4.3. Analysis of El Niño (2005 and 2015) and La Niña (2011) Events

The drought phenomenon and El Niño and La Niña events are closely related. Our results suggest that the corn yield and livestock variables are negatively affected by El Niño (2005 and 2015) and La Niña (2011) [71].
Comparing the El Niño and La Niña events, the first has greater effects on the observed variables than the La Niña event. This effect occurs because, when the El Niño event occurs in summer, precipitation decreases in almost all Mexican territories. These negative precipitation anomalies are registered in the state of Veracruz, in addition to the increase in maximum temperatures, thereby intensifying the drought phenomenon. Moreover, when the La Niña event occurs, the temperature increases in summer, and the precipitation records negative anomalies very close to normal, initiating a drought phenomenon with a lower intensity [7,8,9].
In this context, as a result of the increase in climate change, the incidence of El Niño will be greater during the 21st century [72,73], increasing the vulnerability of the corn crop. Similarly, on the Pacific coast, projections for the state of Jalisco, Mexico, indicate a decrease of 63% in corn crop production for the period 2041–2060 in the productive spring–summer cycle because of drought intensification [74].

4.4. Dispersion Behavior Analysis of the ANSPIR and Maximum Temperature in Each Study Variable

As previously mentioned, the increases in drought conditions and maximum temperature have resulted in impacts on agriculture and cattle rearing. Consequently, technological packages have been adopted by the agricultural sector to counteract the drought effects and maintain the level of production, which explains why agricultural production has continued to increase despite the incidence of drought. In general, this behavior is observed in most municipalities (Figure 5). Thus, the use of fertilizers, the adequate applications of agricultural practices, and the improvement in seeds generated a better corn yield in 2003–2018 [75,76,77,78,79,80,81,82].
For livestock, most cattle production is undertaken traditionally in the state of Veracruz. The cattle’s primary food sources are native and cultivated grazing areas, meadows, planted pastures, and secondary exposed vegetation. Thus, drought directly affects the cattle, thus impacting their development [83,84,85,86]. These impacts are reflected in the production of meat, milk, and cattle raising [87,88,89]. However, cattle producers resort to the use of different water bodies in the study region (Figure 6d) to mitigate drought effects. Consequently, the number of municipalities affected by drought in terms of the livestock variable is lower than that of the corn crop under rainfed conditions, which depends entirely on precipitation.
Investigations have demonstrated that the temperature increases can cause a yield reduction not only in corn, but also in beans, strawberry, and potato production, which have experienced crop reductions from 20% to 50% [80,81,82,83,84,85,86,87,88,89,90,91,92,93,94]. For livestock, researchers found that growth, meat production, and milk (among others) are affected in warming environments [95]. However, in general, it is expected that, during the 21st century, this warming behavior will be maintained [3,4,5,6,36], generating a negative impact on agriculture and livestock.

5. Conclusions

Drought is a meteorological phenomenon characterized by significant impacts on human activities. In this work, we conclude that the drought conditions in the state of Veracruz’s central zone intensified during the 2010–2018 period, taking place in more than 48% of the region. These conditions are potentiated by the maximum temperature increases (up to 6 °C in 2010–2018) and by the El Niño and La Niña events. Moreover, the corn crop yield decreased in 42% of the studied municipalities, and livestock cattle production decreased in 32% of the municipalities due to the phenomenon’s effects. It is also essential to mention that corn crop technological packages and hydric resources in cattle raising have helped minimize the drought impacts.
Nevertheless, results suggest that the municipalities of Emiliano Zapata, Paso de Ovejas, Camarón de Tejeda, Actopan, Jilotepec, Coatepec, Banderilla, Misantla, and Xalapa have a higher drought vulnerability. These municipalities are located at an altitude gradient of 1500 masl or more, indicating that drought is more persistent at higher altitudes.
Furthermore, these municipalities showed a decrease in production, experienced at least one EDND, and obtained statistical significance regarding SPI behavior. Finally, despite the Mexican government’s financial support for minimizing drought impacts, the administrative and management processes tend to be difficult and tedious, causing the municipalities’ lack of request for this support.
For future research, we recommend the combination of more indexes, such as SPEI (Standardized Precipitation-Evapotranspiration Index) and NDVI (Normalized Difference Vegetation Index). These indexes consider not only temperature and precipitation, but also the stage of live green vegetation, which allows a better estimation of the drought phenomena.

Author Contributions

Conceptualization F.S.-M., O.A.V.-R., O.M.P.-W.; methodology F.S.-M., O.A.V.-R., O.M.P.-W.; formal analysis F.S.-M., O.A.V.-R., O.M.P.-W., A.M.-G.; investigation F.S.-M.; writing—original draft preparation F.S.-M.; writing—review and editing O.A.V.-R., O.M.P.-W., A.M.-G.; visualization A.M.-G.; supervision O.A.V.-R., O.M.P.-W. All authors have read and agreed to the published version of the manuscript.

Funding

The National Council of Science and Technology (CONACYT).

Institutional Review Board Statement

Not applicable.

Informed Consent Statement

Not applicable.

Data Availability Statement

SMN (National Meteorological Service of Mexico): https://smn.conagua.gob.mx/es/climatologia/informacion-climatologica/informacion-estadistica-climatologica SIAP (Agrifood and Fisheries Information Service): https://www.gob.mx/siap.

Acknowledgments

The National Council of Science and Technology (CONACYT) for the scholarship granted (number 782922) for the conclusion of the study.

Conflicts of Interest

The authors declare no conflict of interest.

Appendix A

Meteorological sources.
Table A1. Weather station’s names and the municipalities of the state of Veracruz, Mexico, where they are located [42].
Table A1. Weather station’s names and the municipalities of the state of Veracruz, Mexico, where they are located [42].
CodeStationAltitude (Msnm)Municipality
30012Atzalan (ATZ)1697Atzalan
30008Altotonga (ALT)1867Altotonga
30211Las Vigas (LVI)2426Las Vigas de Ramírez
30455La Joya (LJO)2175Acajete
30469Banderilla (BAN)1532Banderilla
30128Perote (PER)2392Perote *●▪
30198Zalayeta (ZAL)2350
30452Briones (BRI)1349Coatepec *●
30175Tembladeras (TEM)3102Xico
30462Tenochtitlan (TEN)892Tenochtitlan
30179Teocelo (TEO)1188Teocelo
30311Cosautlán (COS)1274Cosautlán de Carvajal ●
30187Totutla (TOT)1446Totutla ▪
30342Centro Regional Huatusco (CRH)1186Huatusco
30338Acatlán (ACA)1751Acatlán
30114Naolinco (NAO)1542Naolinco
30267La Concepción (LCO)1000Jilotepec
30454Ingenio La Concepción (ILC)982
30135Xalapa (XAL)1138Xalapa Enríquez *
30364Villa Tejeda (VTE)348Camarón de Tejeda *
30021El Carrizal (ECA)242Emiliano Zapata *
30140Rancho Viejo (RVI)914
30339Cerro Gordo (CGO)580
30141Rinconada (RIN)263
30467El Naranjal (ENA)20Úrsulo Galván
30003Actopan (ACT)250Actopan
30353La Mancha (LMA)20
30158Santa Rosa (SRO)65
30266El Diamante (EDI)146
30068Los Ídolos (LID)100
30193José Cardel (JCA)28La Antigua
30093Loma Fina (LFI)30Paso de Ovejas
30101Manlio Fabio Altamirano (MFA)44Manlio Fabio Altamirano*
30056El Tejar (ETE)10Medellín *
30468Paso del Toro (PDT)10
30048El Copital (ECO)14
30054El Raudal (ERA)10Nautla
30102Martínez de la Torre (MTZ)89Martínez de la Torre
30337La Libertad (LLI)59Misantla *●
30108Misantla (MIS)310
The “*” symbol represents the statistical significance of 95% regarding the yield variable and the behavior of the weighted SPI computation. Similarly, the “●” symbol represents the statistical significance of 95% concerning the volume variable and behavior of the weighted SPI computation. Finally, the “▪” symbol represents the statistical significance of 95% for the weight variable and the behavior of the weighted SPI computation.

Appendix B

Emergency Declarations for Natural Disasters.
Table A2. Number of EDND declared between 2000–2009 and 2010–2018 in the study zone municipalities.
Table A2. Number of EDND declared between 2000–2009 and 2010–2018 in the study zone municipalities.
Municipality2000–20092010–2018
Banderilla01
Jilotepec10
Emiliano Zapata01
Actopan11
Paso de Ovejas11
Camarón de Tejeda21
Medellín11
Nautla20
Total of EDND86

References

  1. United Nations (UN). Acuerdo de París. Available online: https://unfccc.int/files/meetings/paris_nov_2015/application/pdf/paris_agreement_spanish.pdf. (accessed on 13 June 2021).
  2. Intergovernmental Panel of Climate Change (IPCC). Glosario; Planton, S., Ed.; Cambridge University Press: New York, NY, USA, 2013. [Google Scholar]
  3. Wehner, M.; Easterling, D.R.; Lawrimore, J.H.; Heim, R.R.; Vose, R.S.; Santer, B.D. Projections of future drought in the continental United States and Mexico. J. Hydrometeorol. 2011, 12, 1359–1377. [Google Scholar] [CrossRef]
  4. Stahle, D.W.; Cook, E.R.; Diaz, J.V.; Fye, F.K.; Burnette, D.J.; Griffin, D.; Soto, R.A.; Seager, R.; Heim, R.R., Jr. Early 21st-century drought in Mexico. Eos Trans. Am. Geophys. Union 2009, 90, 89–90. [Google Scholar] [CrossRef]
  5. Spinoni, J.; Barbosa, P.; De Jager, A.; McCormick, N.; Naumann, G.; Vogt, J.V.; Magni, D.; Masante, D.; Mazzeschi, M. A new global database of meteorological drought events from 1951 to 2016. J. Hydrol. Reg. Stud. 2019, 22, 100593. [Google Scholar] [CrossRef]
  6. Spinoni, J.; Barbosa, P.; Bucchignani, E.; Cassano, J.; Cavazos, T.; Christensen, J.H.; Christensen, O.B.; Coppola, E.; Evans, J.; Geyer, B. Future global meteorological drought hot spots: A study based on CORDEX data. J. Clim. 2020, 33, 3635–3661. [Google Scholar] [CrossRef]
  7. Méndez, M.; Magaña, V. Regional aspects of prolonged meteorological droughts over Mexico and Central America. J. Clim. 2010, 23, 1175–1188. [Google Scholar] [CrossRef]
  8. Magaña, V.; Vázquez, J.; Pérez, J.; Pérez, J. Impact of El Niño on precipitation in Mexico. Geofísica Int. 2003, 42, 313–330. [Google Scholar]
  9. Magaña, V.; Pérez, J.L.; Conde, C. El fenómeno de El Niño y la Oscilación del sur y sus impactos en México. Rev. Cienc. 1998, 51, 14–18. [Google Scholar]
  10. Bai, Z.G.; Dent, D.L.; Olsson, L.; Schaepman, M.E. Proxy global assessment of land degradation. Soil Use Manag. 2008, 24, 223–234. [Google Scholar] [CrossRef]
  11. Vicente-Serrano, S.M.; Gouveia, C.; Camarero, J.J.; Beguería, S.; Trigo, R.; López-Moreno, J.I.; Azorín-Molina, C.; Pasho, E.; Lorenzo-Lacruz, J.; Revuelto, J. Response of vegetation to drought time-scales across global land biomes. Proc. Natl. Acad. Sci. USA 2013, 110, 52–57. [Google Scholar] [CrossRef]
  12. Parsons, D.J.; Rey, D.; Tanguy, M.; Holman, I.P. Regional variations in the link between drought indices and reported agricultural impacts of drought. Agric. Syst. 2019, 173, 119–129. [Google Scholar] [CrossRef]
  13. Kuwayama, Y.; Thompson, A.; Bernknopf, R.; Zaitchik, B.; Vail, P. Estimating the impact of drought on agriculture using the US Drought Monitor. Am. J. Agric. Econ. 2019, 101, 193–210. [Google Scholar] [CrossRef]
  14. Mare, F.; Bahta, Y.T.; Van Niekerk, W. The impact of drought on commercial livestock farmers in South Africa. Dev. Pract. 2018, 28, 884–898. [Google Scholar] [CrossRef]
  15. Udmale, P.; Ichikawa, Y.; Manandhar, S.; Ishidaira, H.; Kiem, A.S. Farmers׳ perception of drought impacts, local adaptation and administrative mitigation measures in Maharashtra State, India. Int. J. Disaster Risk Reduct. 2014, 10, 250–269. [Google Scholar] [CrossRef]
  16. Gleick, P.H. Impacts of California’s Ongoing Drought: Hydroelectricity Generation. 2015 Update; Pacific Institute: Oakland, CA, USA, 2016; Volume 21, p. 15. [Google Scholar]
  17. Iglesias, A.; Garrote, L.; Cancelliere, A.; Cubillo, F.; Wilhite, D.A. Coping with Drought Risk in Agriculture and Water Supply Systems: Drought Management and Policy Development in the Mediterranean; Springer Science & Business Media: Dordrecht, The Netherlands, 2009; Volume 26. [Google Scholar]
  18. Smith, T.; Fitchett, J.M. Drought challenges for nature tourism in the Sabi Sands Game Reserve in the eastern region of South Africa. Afr. J. Range Forage Sci. 2020, 37, 107–117. [Google Scholar] [CrossRef]
  19. Joshi, N.; Dongol, R. Severity of climate induced drought and its impact on migration: A study of Ramechhap District, Nepal. Trop. Agric. Res. 2018, 29, 194–211. [Google Scholar] [CrossRef]
  20. Food and Agriculture Organization of the United Nations (FAO). The Impact of Disasters and Crises on Agriculture and Food Security; FAO: Rome, Italy, 2018; p. 143. [Google Scholar]
  21. Food and Agriculture Organization of the United Nations (FAO). Seguros Agrícolas para la Agricultura Familiar en América Latina y el Caribe; Vila, F., Ed.; FAO: Santiago, Chile, 2018; p. 70. [Google Scholar]
  22. Secretaría de Agricultura y Desarrollo Rural (SADER). Se han Ejercido más de 536 mdp para Atender a Productores Agropecuarios Afectados por la Sequía. Available online: https://www.gob.mx/agricultura/prensa/se-han-ejercido-mas-de-536-mdp-para-atender-a-productores-agropecuarios-afectados-por-la-sequia (accessed on 16 September 2020).
  23. Valdés-Rodríguez, O.A. Encuentros y desencuentros en la evaluación de la sequía en Veracruz. In Gestión de Desastres Asociados a Fenómenos Hidrometeorológicos y Climáticos en Sistemas Socio-Ecológicos; Morales, H.J.C., González, S., Welsh, C.R., Frausto, O.M., Eds.; CLAVE: Puerto Vallarta, México, 2021; pp. 251–260. [Google Scholar]
  24. Guzzon, F.; Arandia Rios, L.W.; Caviedes Cepeda, G.M.; Céspedes Polo, M.; Chavez Cabrera, A.; Muriel Figueroa, J.; Medina Hoyos, A.E.; Jara Calvo, T.W.; Molnar, T.L.; Narro León, L.A. Conservation and use of Latin American maize diversity: Pillar of nutrition security and cultural heritage of humanity. Agronomy 2021, 11, 172. [Google Scholar] [CrossRef]
  25. United States Department of Agriculture (USDA). Worl Crop Production Summary. Available online: https://apps.fas.usda.gov/psdonline/app/index.html#/app/downloads (accessed on 21 March 2021).
  26. Secretaría de Agricultura Ganadería Desarrollo Rural Pesca y Alimentación (SAGARPA). Servicio de Información Agroalimentaria y Pesquera. Datos Abiertos. Available online: https://www.gob.mx/siap (accessed on 15 December 2020).
  27. United States Department of Agriculture (USDA). Beef and Veal Production-Selected Countries Summary. Available online: https://apps.fas.usda.gov/psdonline/app/index.html#/app/downloads (accessed on 21 March 2021).
  28. Gobierno del Estado de Veracruz (GOEV). Plan Veracruzano de Desarrollo 2019–2024; Gobierno del Estado de Veracruz: Veracruz, México, 2019. [Google Scholar]
  29. McKee, T.B.; Doesken, N.J.; Kleist, J. The relationship of drought frequency and duration to time scales. In Proceedings of the 8th Conference on Applied Climatology, Anaheim, CA, USA, 17–22 January 1993; pp. 179–183. [Google Scholar]
  30. Castillo-Castillo, M.; Ibáñez-Castillo, L.A.; Valdés, J.B.; Arteaga-Ramírez, R.; Vázquez-Peña, M.A. Análisis de sequías meteorológicas en la cuenca del río Fuerte, México. Tecnol. Cienc. Agua 2017, 8, 35–52. [Google Scholar] [CrossRef]
  31. Edwards, D.C.; McKee, T.B. Characteristics of 20th Century Drought in the United States at Multiple Time Scales; Colorado State University: Fort Collins, CO, USA, 1997; p. 152. [Google Scholar]
  32. Campos-Aranda, D.F. Cuantificación de sequías meteorológicas mensuales: Cotejo de cuatro índices en tres localidades de San Luis Potosí, México. Tecnol. Cienc. Agua 2017, 8, 159–172. [Google Scholar] [CrossRef]
  33. Dai, M.; Huang, S.; Huang, Q.; Leng, G.; Guo, Y.; Wang, L.; Fang, W.; Li, P.; Zheng, X. Assessing agricultural drought risk and its dynamic evolution characteristics. Agric. Water Manag. 2020, 231, 106003. [Google Scholar] [CrossRef]
  34. Estrada-Medina, H.; Cobos-Gasca, V.; Acosta-Rodríguez, J.L.; Peña Fierro, S.; Castilla-Martínez, M.; Castillo-Carrillo, C.; Franco-Brito, S.; López-Castillo, D.; López-Díaz, M.; Luna-Flores, W. La sequía de la península de Yucatán. Tecnol. Cienc. Agua 2016, 7, 151–165. [Google Scholar]
  35. Liu, X.; Zhu, X.; Pan, Y.; Bai, J.; Li, S. Performance of different drought indices for agriculture drought in the North China Plain. J. Arid Land 2018, 10, 507–516. [Google Scholar] [CrossRef]
  36. Touma, D.; Ashfaq, M.; Nayak, M.A.; Kao, S.-C.; Diffenbaugh, N.S. A multi-model and multi-index evaluation of drought characteristics in the 21st century. J. Hydrol. 2015, 526, 196–207. [Google Scholar] [CrossRef]
  37. World Meteorological Organization (WMO). Standardized Precipitation Index User Guide; WMO: Geneva, Switzerland, 2012; pp. 1–23. [Google Scholar]
  38. Instituto Nacional de Estadítica y Geografía (INEGI). Documento Técnico Descriptivo de la Red Hidrográfica Interconectada Escala 1: 50,000; INEGI: Ciudad de México, México, 2010. [Google Scholar]
  39. Secretaría de Finanzas y Planeación (SEFIPLAN). Programa Región Capital 2013–2016; Gobierno del Estado de Veracruz: Veracruz, México, 2013. [Google Scholar]
  40. Secretaría de Finanzas y Planeación (SEFIPLAN). Programa Región Las Montañas 2013–2016; Gobierno del Estado de Veracruz: Veracruz, México, 2013. [Google Scholar]
  41. Secretaría de Finanzas y Planeación (SEFIPLAN). Programa Región Sotavento 2013–2016; Gobierno del Estado de Veracruz: Veracruz, México, 2013. [Google Scholar]
  42. Servicio Meteorológico Nacional (SMN). Información Estadística Climatológica. Available online: https://smn.conagua.gob.mx/es/climatologia/informacion-climatologica/informacion-estadistica-climatologica (accessed on 16 September 2020).
  43. Centro de Información de Mercados Agroalimentarios (CIMA). Informes de Los Mercados Agropecuarios. Maíz. Available online: https://www.cima.aserca.gob.mx/swb/cima/Maiz (accessed on 25 January 2021).
  44. National Drought Mitigation Center (NDMC). SPI Program. Available online: http://drought.unl.edu/droughtmonitoring/SPI.aspx (accessed on 19 September 2020).
  45. Centro Nacional de Prevención de Desastres (CENAPRED). Declaratorias Sobre Emergencia, Desastres y Contingencias Climatológicas a Nivel Municipal Entre 2000 y 2019. Available online: https://datos.gob.mx/busca/dataset/declaratorias-sobre-emergencia-desastre-y-contingencia-climatologica (accessed on 10 October 2020).
  46. Ortega-Gaucin, D.; Velasco, I. Aspectos socioeconómicos y ambientales de las sequías en México. Aqua-LAC 2013, 5, 78–90. [Google Scholar] [CrossRef]
  47. Fagerland, M.W. t-tests, non-parametric tests, and large studies—A paradox of statistical practice? Med. Res. Methodol. 2012, 12, 78. [Google Scholar] [CrossRef] [PubMed]
  48. Sánchez Turcios, R.A. t-Student: Usos y abusos. Rev. Mex. De Cardiol. 2015, 26, 59–61. [Google Scholar]
  49. Environmental Systems Research Institute (ESRI). Plataforma ArcGIS. Available online: https://www.sigsa.info/productos/esri/plataforma-arcgis (accessed on 18 February 2021).
  50. Vogt, J.V.; Somma, F. Drought and Drought Mitigation in Europe; Springer: Drodrecht, The Netherlands, 2000; Volume 14, p. 328. [Google Scholar]
  51. Wilhite, D.A.; Svoboda, M.D.; Hayes, M.J. Understanding the complex impacts of drought: A key to enhancing drought mitigation and preparedness. Water Resour. Manag. 2007, 21, 763–774. [Google Scholar] [CrossRef]
  52. Seager, R.; Ting, M.; Davis, M.; Cane, M.; Naik, N.; Nakamura, J.; Li, C.; Cook, E.; Stahle, D. Mexican drought: An observational modeling and tree ring study of variability and climate change. Atmósfera 2009, 22, 1–31. [Google Scholar]
  53. Neri, C.; Magaña, V. Estimation of vulnerability and risk to meteorological drought in Mexico. Weather Clim. Soc. 2016, 8, 95–110. [Google Scholar] [CrossRef]
  54. Del-Toro-Guerrero, F.J.; Kretzschmar, T. Precipitation-temperature variability and drought episodes in northwest Baja California, México. J. Hydrol. Reg. Stud. 2020, 27, 100653. [Google Scholar] [CrossRef]
  55. Cook, B.I.; Ault, T.R.; Smerdon, J.E. Unprecedented 21st century drought risk in the American Southwest and Central Plains. Sci. Adv. 2015, 1, e1400082. [Google Scholar] [CrossRef]
  56. Salas-Martínez, F.; Valdés-Rodríguez, O.A.; Méndez-Pérez, M. Changes in temperature and rainfall caused by three crops in the state of Veracruz, Mexico. Rev. Chapingo Ser. Cienc. For. 2020, 26, 273–289. [Google Scholar] [CrossRef]
  57. Diario Oficial de la Federación (DOF). Lineamientos de Operación Específicos del Fondo de Desastres Naturales. 2011. Available online: https://www.gob.mx/shcp/documentos/lineamientos-de-operacion-especificos-del-fondo-de-desastres-naturales-publicados-el-31-de-enero-de-2011 (accessed on 15 October 2020).
  58. Rodríguez, J.M.E. Los desastres de origen natural en México: El papel del FONDEN. Estud. Sociales. Rev. Aliment. Contemp. Desarro. Reg. 2004, 12, 74–96. [Google Scholar]
  59. Ortega-Gaucin, D. Medidas para afrontar la sequía en México: Una visión retrospectiva. Rev. Col. San Luis 2018, 8, 77–105. [Google Scholar] [CrossRef]
  60. García-Cueto, O.R.; Cavazos, M.T.; de Grau, P.; Santillán-Soto, N. Analysis and modeling of extreme temperatures in several cities in northwestern Mexico under climate change conditions. Theor. Appl. Climatol. 2014, 116, 211–225. [Google Scholar] [CrossRef]
  61. Navarro-Estupiñan, J.; Robles-Morua, A.; Vivoni, E.R.; Zepeda, J.E.; Montoya, J.A.; Verduzco, V.S. Observed trends and future projections of extreme heat events in Sonora, Mexico. Int. J. Climatol. 2018, 38, 5168–5181. [Google Scholar] [CrossRef]
  62. Cuervo-Robayo, A.P.; Ureta, C.; Gómez-Albores, M.A.; Meneses-Mosquera, A.K.; Téllez-Valdés, O.; Martínez-Meyer, E. One hundred years of climate change in Mexico. PLoS ONE 2020, 15, e0209808. [Google Scholar] [CrossRef] [PubMed]
  63. Santillán-Espinoza, L.E.; Blanco-Macías, F.; Magallanes-Quintanar, R.; García-Hernández, J.L.; Cerano-Paredes, J.; Delgadillo-Ruiz, O.; Valdez-Cepeda, R.D. Tendencias de temperaturas extremas en Zacatecas, México. Rev. Mex. Cienc. Agrícolas 2011, 2, 207–219. [Google Scholar]
  64. Ruíz Álvarez, O.; Espejel Trujano, D.; Ontiveros Capurata, R.E.; Enciso, J.M.; Galindo Reyes, M.A.; Quesada Parga, M.L.; Grageda Grageda, J.; Ramos Reyes, R.; Ruíz Corral, J.A. Tendencia de temperaturas máximas y mínimas mensuales en Aguascalientes, México. Rev. Mex. Cienc. Agrícolas 2016, 7, 2535–2549. [Google Scholar]
  65. Ruiz-Corral, J.A.; Medina-García, G.; Rodríguez-Moreno, V.M.; Sánchez-González, J.d.J.; Villavicencio García, R.; Durán Puga, N.; Grageda Grageda, J.; García Romero, G.E. Regionalización del cambio climático en México. Rev. Mex. Cienc. Agrícolas 2016, 7, 2451–2464. [Google Scholar]
  66. Englehart, P.J.; Douglas, A.V. Changing behavior in the diurnal range of surface air temperatures over Mexico. Geophys. Res. Lett. 2005, 32. [Google Scholar] [CrossRef]
  67. Alexander, L.V.; Zhang, X.; Peterson, T.C.; Caesar, J.; Gleason, B.; Klein Tank, A.; Haylock, M.; Collins, D.; Trewin, B.; Rahimzadeh, F. Global observed changes in daily climate extremes of temperature and precipitation. J. Geophys. Res. Atmos. 2006, 111, 1–22. [Google Scholar] [CrossRef]
  68. Tabari, H.; Talaee, P.H. Analysis of trends in temperature data in arid and semi-arid regions of Iran. Glob. Planet. Chang. 2011, 79, 1–10. [Google Scholar] [CrossRef]
  69. Salman, S.A.; Shahid, S.; Ismail, T.; Chung, E.-S.; Al-Abadi, A.M. Long-term trends in daily temperature extremes in Iraq. Atmos. Res. 2017, 198, 97–107. [Google Scholar] [CrossRef]
  70. Li, J.; Chen, Y.D.; Gan, T.Y.; Lau, N.-C. Elevated increases in human-perceived temperature under climate warming. Nat. Clim. Chang. 2018, 8, 43–47. [Google Scholar] [CrossRef]
  71. National Oceanic and Atmospheric Administration (NOAA). Cold and Warm Episodes by Season. Available online: https://origin.cpc.ncep.noaa.gov/products/analysis_monitoring/ensostuff/ONI_v5.php (accessed on 25 January 2021).
  72. Wang, B.; Luo, X.; Yang, Y.-M.; Sun, W.; Cane, M.A.; Cai, W.; Yeh, S.-W.; Liu, J. Historical change of El Niño properties sheds light on future changes of extreme El Niño. Proc. Natl. Acad. Sci. USA 2019, 116, 22512–22517. [Google Scholar] [CrossRef]
  73. Gizaw, M.S.; Gan, T.Y. Impact of climate change and El Niño episodes on droughts in sub-Saharan Africa. Clim. Dyn. 2017, 49, 665–682. [Google Scholar] [CrossRef]
  74. Tinoco-Rueda, J.; Gómez-Díaz, J.D.; Monterroso-Rivas, A.I. Efectos del cambio climático en la distribución potencial del maíz en el estado de Jalisco, México. Terra Latinoam. 2011, 29, 161–168. [Google Scholar]
  75. Velazquez, C.A.; Cuevas, F.A. Prácticas Agronómicas para Aminorar Efectos por Sequía en Naíz de Temporal en los Valles Centrales de Oaxaca; Instituto Nacional de Investigaciones Forestales, Agrícolas y Pecuarias: Oaxaca, Mexico, 1997; Volume 23. [Google Scholar]
  76. Ayala-Garay, A.V.; Schwentesius-Rindermann, R.; Preciado-Rangel, P.; Almaguer-Vargas, G.; Rivas-Valencia, P. Análisis de rentabilidad de la producción de maíz en la región de Tulancingo, Hidalgo, México. Agric. Soc. Desarro. 2013, 10, 381–395. [Google Scholar] [CrossRef][Green Version]
  77. Minetti, J.; Vargas, W.; Vega, B.; Costa, M. Las sequías en la pampa húmeda: Impacto en la productidad del maíz. Rev. Bras. Meteorol. 2007, 22, 218–232. [Google Scholar] [CrossRef]
  78. Vazquez-Pozos, V.; Serrano-Flores, E.; Cruz-Izquierdo, S.; Lobato-Ortiz, R. QTLs asociados con la tolerancia a sequía en una población de maíz tropical utilizando líneas y cruzas de prueba. Rev. Fitotec. Mex. 2020, 43, 101–112. [Google Scholar] [CrossRef]
  79. Juárez, G.G.; Vázquez, M.H.; Bolaños, H.O.; Suárez, G. Agroquímicos y presencia de aflatoxinas en maíz de temporal almacenado: Riesgos para la seguridad alimentaria en el estado de Tlaxcala, México. Rev. Iberoam. Las Cienc. Biológicas Agropecu. CIBA 2019, 8, 106–130. [Google Scholar] [CrossRef]
  80. Ramones, R.E.R.; Ontiveros, J.L.R.; Castañeda, C.L. Resistencia a sequía de líneas S1 derivadas de la variedad de maíz criollo de Ibarrilla. Agric. Técnica México 2000, 26, 159–172. [Google Scholar]
  81. Castañón, G.; Ricardo, C.; Del Pino, R.; Panzo, E.; Montiel, M.; LFilobello, L. Selección de líneas de maíz por resistencia a sequía. Agron. Mesoam. 2000, 11, 163–169. [Google Scholar] [CrossRef][Green Version]
  82. Luna, M.F.; García, S.H.; Martínez, J.G.; Luna, M.G.E.; Lara, A.H.; Villagrana, F.S.; Cedeño, F.d.J.B.; Llamas, J.J.L.; Avelar, J.J.M. Variedades mejoradas de maíz de secano derivadas de variedades nativas tolerantes a sequía. Rev. Mex. Cienc. Agrícolas 2015, 6, 1455–1466. [Google Scholar] [CrossRef][Green Version]
  83. Vilaboa, J.A.; Díaz, P.R. Caracterización socioeconómica y tecnológica de los sistemas ganaderos en siete municipios del estado de Veracruz, México. Zootec. Trop. 2009, 27, 427–436. [Google Scholar]
  84. Noyola, V.O.; Rivera, P.D.; Arroniz, J.V.; Dávila, J.P.M.; Hernández, G.T. Caracterización por grupos tecnológicos de los hatos ganaderos doble propósito en el municipio de las Choapas, Veracruz, México. Rev. Científica 2011, 21, 57–63. [Google Scholar]
  85. Zhao, Y.; Wang, C.; Wang, S.; Tibig, L.V. Impacts of present and future climate variability on agriculture and forestry in the humid and sub-humid tropics. Clim. Chang. 2005, 70, 73–116. [Google Scholar] [CrossRef]
  86. Alayon-Gamboa, J.; Jiménez-Ferrer, G.; Nahed-Toral, J.; Villanueva-López, G. Estrategias silvopastoriles para mitigar efectos del cambio climático en sistemas ganaderos del sur de México. Agroproductividad 2016, 9, 10–15. [Google Scholar]
  87. Rodas-Trejo, J.; Sansón, L.M.; Gutierrez, D.C.; Ocampo-González, P.; Muñoz, E.S.M.; López, M.R.C. Impactos y adaptaciones ante los efectos del cambio climático: Un caso de estudio en una comunidad ganadera en Chiapas, México. Rev. Electrónica Vet. 2017, 18, 1–14. [Google Scholar]
  88. Cardoso, L.N.; Compte, T.G.; Olazábal, A.M.; de la Torre, M. Evaluación del empleo en la ganadería bovina de un sistema de alerta temprana durante la sequía para los cultivos utilizado en Camagüey. Rev. Prod. Anim. 2009, 21, 169–173. [Google Scholar]
  89. Sardiñas, S.B.; Leandro, M.F.; González, M.R.; González, E.Y.V. La sequía meteorológica 2014–1017, características e impactos en la provincia Cienfuegos. Rev. Cuba. Meteorol. 2019, 25, 319–333. [Google Scholar]
  90. Núñez, A. El efecto del calentamiento glbal en la producción de frijol y maíz en la sierra de México. Rev. Latinoam. Recur. Nat. 2008, 4, 194–198. [Google Scholar]
  91. Rey, D.; Garrido, A.; Mínguez, M.; Ramos, M.R. Impact of climate change on maize s water needs, yields and profitability under various water prices in Spain. Span. J. Agric. Res. 2011, 1047–1058. [Google Scholar] [CrossRef]
  92. Rykaczewska, K. The effect of high temperature occurring in subsequent stages of plant development on potato yield and tuber physiological defects. Am. J. Potato Res. 2015, 92, 339–349. [Google Scholar] [CrossRef]
  93. Díaz-Ambrona, C.G.; Gigena, R.; Mendoza, C.O. Climate change impacts on maize and dry bean yields of smallholder farmers in Honduras. Iberoam. J. Dev. Stud. 2013, 2, 4–22. [Google Scholar] [CrossRef]
  94. Palencia, P.; Martínez, F.; Medina, J.J.; López-Medina, J. Strawberry yield efficiency and its correlation with temperature and solar radiation. Hortic. Bras. 2013, 31, 93–99. [Google Scholar] [CrossRef][Green Version]
  95. Nardone, A.; Ronchi, B.; Lacetera, N.; Ranieri, M.S.; Bernabucci, U. Effects of climate changes on animal production and sustainability of livestock systems. Livest. Sci. 2010, 130, 57–69. [Google Scholar] [CrossRef]
Figure 1. Study area with its hydrological basins in different colors. The black triangles represent the weather stations used for this study [38]. The number and code of the meteorological stations are indicated in the above grid. Sources: Map modified from data obtained in the SMN (National Meteorological Service of Mexico) [42], INEGI (National Insititure of Statistics and Geography of Mexico) [38], ESRI (Environmental Systems Research Institute) [49].
Figure 1. Study area with its hydrological basins in different colors. The black triangles represent the weather stations used for this study [38]. The number and code of the meteorological stations are indicated in the above grid. Sources: Map modified from data obtained in the SMN (National Meteorological Service of Mexico) [42], INEGI (National Insititure of Statistics and Geography of Mexico) [38], ESRI (Environmental Systems Research Institute) [49].
Agronomy 11 02099 g001
Figure 2. Behavior of ANSPIR per decade in the study area (the 1980s, 1990s, 2000s, and 2010–2018 periods). The numbers over the territory indicate the total drought declarations per municipality (EDND) in the Veracruz state.
Figure 2. Behavior of ANSPIR per decade in the study area (the 1980s, 1990s, 2000s, and 2010–2018 periods). The numbers over the territory indicate the total drought declarations per municipality (EDND) in the Veracruz state.
Agronomy 11 02099 g002
Figure 3. Analysis of the maximum temperature behavior (°C) during the months March to September per decade in the study area—1980s, 1990s, 2000s, and 2010–2018 periods.
Figure 3. Analysis of the maximum temperature behavior (°C) during the months March to September per decade in the study area—1980s, 1990s, 2000s, and 2010–2018 periods.
Agronomy 11 02099 g003
Figure 4. Percentage of affected municipalities during El Niño and La Niña events in terms of corn yield, cattle volume, and cattle weight variables.
Figure 4. Percentage of affected municipalities during El Niño and La Niña events in terms of corn yield, cattle volume, and cattle weight variables.
Agronomy 11 02099 g004
Figure 5. Behavior of the dispersion of ANSPIR average values and the analysis variable. (a) ANSPIR vs. corn crop yield, (b) ANSPIR vs. livestock cattle volume, and (c) ANSPIR vs. livestock cattle weight. Red points indicate the municipalities with a 95% statistical significance level. The dotted lines represent the trend of the scatter plot.
Figure 5. Behavior of the dispersion of ANSPIR average values and the analysis variable. (a) ANSPIR vs. corn crop yield, (b) ANSPIR vs. livestock cattle volume, and (c) ANSPIR vs. livestock cattle weight. Red points indicate the municipalities with a 95% statistical significance level. The dotted lines represent the trend of the scatter plot.
Agronomy 11 02099 g005
Figure 6. Municipalities affected by drought in the analysis variables. (a) Affected municipalities in corn crop yield, (b) affected municipalities in livestock cattle production volume, (c) affected municipalities in livestock cattle weight, and (d) river distribution in the study area [38]. Sources: Map modified from data obtained in the SMN (National Meteorological Service of Mexico) [42], INEGI (National Insititure of Statistics and Geography of Mexico) [38], ESRI (Environmental Systems Research Institute) [49].
Figure 6. Municipalities affected by drought in the analysis variables. (a) Affected municipalities in corn crop yield, (b) affected municipalities in livestock cattle production volume, (c) affected municipalities in livestock cattle weight, and (d) river distribution in the study area [38]. Sources: Map modified from data obtained in the SMN (National Meteorological Service of Mexico) [42], INEGI (National Insititure of Statistics and Geography of Mexico) [38], ESRI (Environmental Systems Research Institute) [49].
Agronomy 11 02099 g006
Figure 7. Dispersion behavior of average values for the maximum temperature and the analysis variables. (a) Maximum temperature vs. corn crop yield, (b) maximum temperature vs. livestock cattle production volume, and (c) maximum temperature vs. livestock cattle weight. The red points indicate the municipalities with a 95% statistical significance level.
Figure 7. Dispersion behavior of average values for the maximum temperature and the analysis variables. (a) Maximum temperature vs. corn crop yield, (b) maximum temperature vs. livestock cattle production volume, and (c) maximum temperature vs. livestock cattle weight. The red points indicate the municipalities with a 95% statistical significance level.
Agronomy 11 02099 g007
Table 1. Values of the Standard Precipitation Index (SPI).
Table 1. Values of the Standard Precipitation Index (SPI).
Index ValueCategory
2.0 and moreextremely humid
1.5 to 1.99Very humid
1.9 to 1.49Moderately humid
−0.99 to 0.99Normal or approximately normal
−1.0 to −1.49Moderately dry
−1.5 to −1.99Severely dry
−2 and lessExtremely dry
Source: Modified from McKee et al. [29].
Table 2. Assigned values to the SPI levels according to the new transformation.
Table 2. Assigned values to the SPI levels according to the new transformation.
Drought LevelSPI IntervalAssigned Value (NSPIR)
Slightly dry (LS) 0.99 S P I < 0 1
Moderate drought (SM) 1.49 S P I 1 2
Severe Drought (SS) 1.99 S P I 1.5 3
Xtreme Drought (SE) 2.49 S P I 2 4
Exceptional Drought (SEXC) 2.5 S P I 5
Table 3. Percentage of surface area affected by drought phenomena in each decade in relation to the ANSPIR range for the central region of Veracruz state.
Table 3. Percentage of surface area affected by drought phenomena in each decade in relation to the ANSPIR range for the central region of Veracruz state.
ANSPIR Range1980s1990s2000s2010–2018 Period
0.1–0.647.843.342.251.4
0.7–1.152.256.757.848.6
Publisher’s Note: MDPI stays neutral with regard to jurisdictional claims in published maps and institutional affiliations.

Share and Cite

MDPI and ACS Style

Salas-Martínez, F.; Valdés-Rodríguez, O.A.; Palacios-Wassenaar, O.M.; Márquez-Grajales, A. Analysis of the Evolution of Drought through SPI and Its Relationship with the Agricultural Sector in the Central Zone of the State of Veracruz, Mexico. Agronomy 2021, 11, 2099. https://doi.org/10.3390/agronomy11112099

AMA Style

Salas-Martínez F, Valdés-Rodríguez OA, Palacios-Wassenaar OM, Márquez-Grajales A. Analysis of the Evolution of Drought through SPI and Its Relationship with the Agricultural Sector in the Central Zone of the State of Veracruz, Mexico. Agronomy. 2021; 11(11):2099. https://doi.org/10.3390/agronomy11112099

Chicago/Turabian Style

Salas-Martínez, Fernando, Ofelia Andrea Valdés-Rodríguez, Olivia Margarita Palacios-Wassenaar, and Aldo Márquez-Grajales. 2021. "Analysis of the Evolution of Drought through SPI and Its Relationship with the Agricultural Sector in the Central Zone of the State of Veracruz, Mexico" Agronomy 11, no. 11: 2099. https://doi.org/10.3390/agronomy11112099

APA Style

Salas-Martínez, F., Valdés-Rodríguez, O. A., Palacios-Wassenaar, O. M., & Márquez-Grajales, A. (2021). Analysis of the Evolution of Drought through SPI and Its Relationship with the Agricultural Sector in the Central Zone of the State of Veracruz, Mexico. Agronomy, 11(11), 2099. https://doi.org/10.3390/agronomy11112099

Note that from the first issue of 2016, this journal uses article numbers instead of page numbers. See further details here.

Article Metrics

Back to TopTop