Effects of Strategic Tillage on Soil Physicochemical Properties and Grain Yield in the North China Plain
Abstract
1. Introduction
2. Material and Methods
2.1. Site Description
2.2. Experimental Design and Farm Management
2.3. Soil Sampling and Analyses
2.4. Bulk Density and Penetration Resistance
2.5. Aggregates Distribution and Stability
2.6. Aggregate Associated Organic Carbon, SOC and SOC Storage
2.7. Grain Yield
2.8. Statistical Analysis
3. Results
3.1. Bulk Density and Penetration Resistance
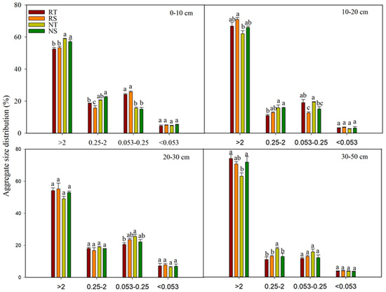
3.2. Aggregates Size Distribution
3.3. Mean Weight Diameter and Geometric Mean Diameter
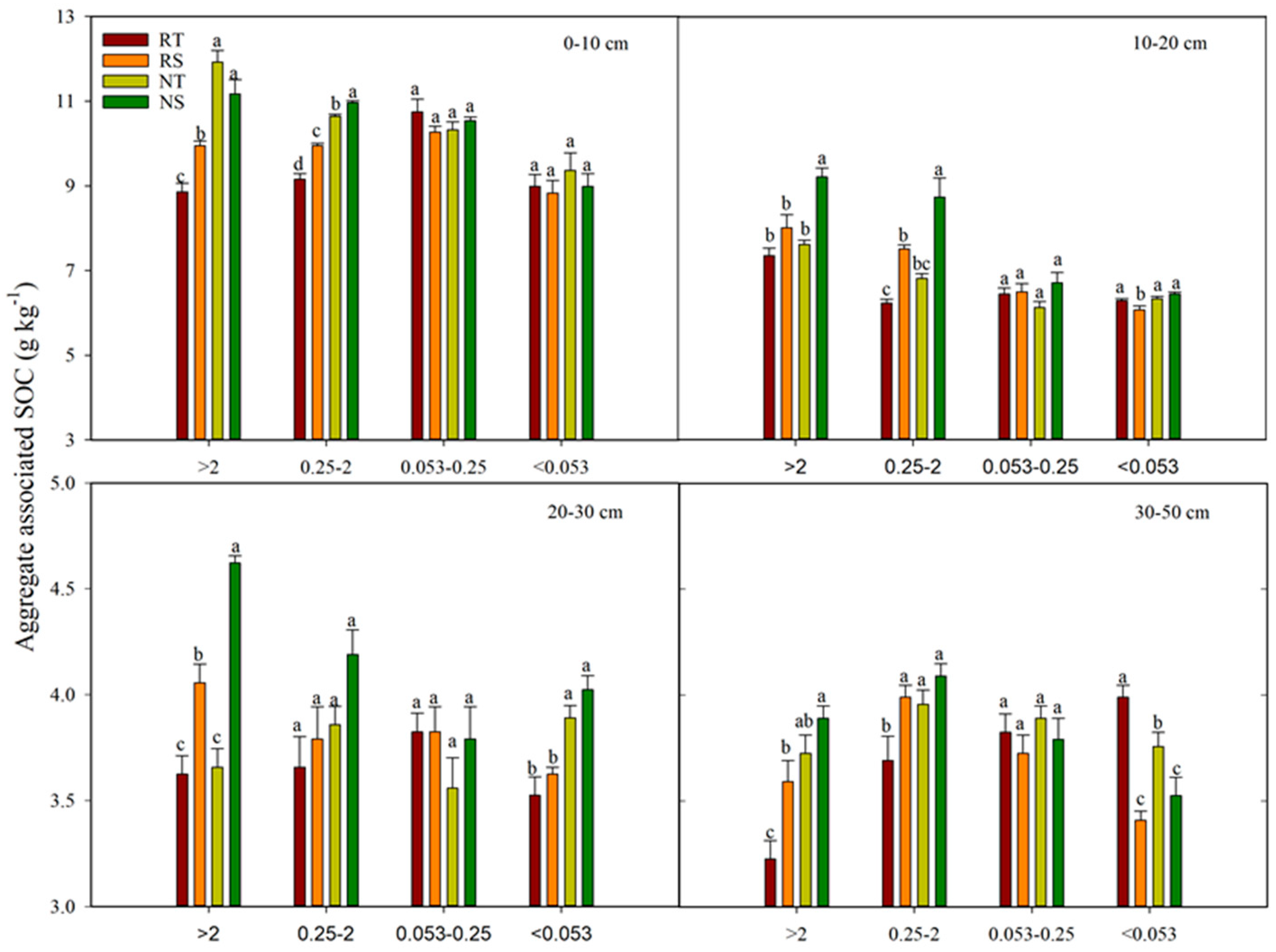
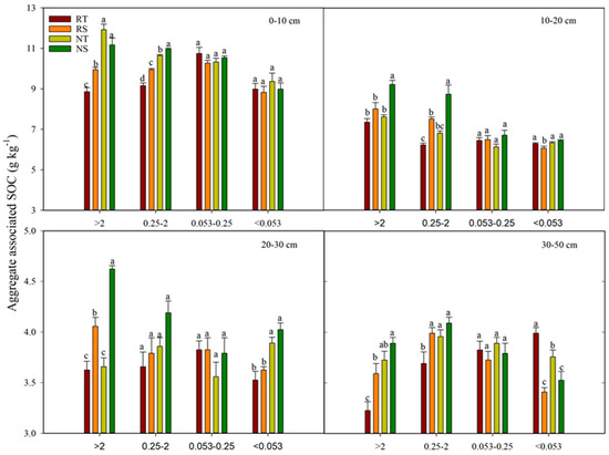
3.4. Aggregate Associated Organic Carbon
3.5. SOC Concentration, Storage, and Stratification Ratio
3.6. Grain Yield
4. Discussion
4.1. Strategic Tillage Effects on Soil Compaction
4.2. Strategic Tillage Effects on Aggregate Stability
4.3. Strategic Tillage Effects on SOC
4.4. Strategic Tillage Effects on Grain Yield
5. Conclusions
Author Contributions
Funding
Acknowledgments
Conflicts of Interest
References
- Batjes, N.H. Total carbon and nitrogen in the soils of the world. Eur. J. Soil Sci. 2014, 65, 10–21. [Google Scholar] [CrossRef]
- Lal, R. Soil carbon sequestration impacts on global climate change and food security. Science 2004, 304, 1623–1627. [Google Scholar] [CrossRef] [PubMed]
- Zhang, H.L.; Lal, R.; Zhao, X.; Xue, J.F.; Chen, F. Opportunities and challenges of soil carbon sequestration by conservation agriculture in China. Adv. Agron. 2014, 124, 1–36. [Google Scholar]
- Busari, M.A.; Kukal, S.S.; Kaur, A.; Bhatt, R.; Dulazi, A.A. Conservation tillage impacts on soil, crop and the environment. Intern. Soil Water Conserv. Res. 2015, 3, 119–129. [Google Scholar] [CrossRef]
- Zhao, X.; Zhang, R.; Xue, J.F.; Pu, C.; Zhang, X.Q.; Liu, S.L.; Chen, F.; Lal, R.; Zhang, H.L. Management-induced changes to soil organic carbon in China: A Meta-analysis. Adv. Agron. 2015, 134, 1–50. [Google Scholar]
- Prestele, R.; Hirsch, A.L.; Davin, E.L.; Seneviratne, S.I.; Verburg, P.H. A spatially explicit representation of conservation agriculture for application in global change studies. Glob. Chang. Biol. 2018, 24, 4038–4053. [Google Scholar] [CrossRef]
- Zhao, X.; Xue, J.F.; Zhang, X.Q.; Kong, F.L.; Chen, F.; Lal, R.; Zhang, H.L. Stratification and Storage of Soil Organic Carbon and Nitrogen as Affected by Tillage Practices in the North China Plain. PLoS ONE 2015, 10, e0128873. [Google Scholar] [CrossRef]
- Pu, C.; Kan, Z.R.; Liu, P.; Ma, S.T.; Qi, J.Y.; Zhao, X.; Zhang, H.L. Residue management induced changes in soil organic carbon and total nitrogen under different tillage practices in the North China Plain. J. Integr. Agric. 2019, 18, 1337–1347. [Google Scholar] [CrossRef]
- Xue, J.F.; Pu, C.; Liu, S.L.; Chen, Z.D.; Chen, F.; Xiao, X.P.; Zhang, H.L. Effects of tillage systems on soil organic carbon and total nitrogen in a double paddy cropping system in Southern China. Soil Tillage Res. 2015, 153, 161–168. [Google Scholar] [CrossRef]
- Qin, R.; Noulas, C.; Herrera, J.M. Morphology and distribution of wheat and maize roots as affected by tillage systems and soil physical parameters in temperate climates: An overview. Arch. Agron. Soil Sci. 2018, 64, 747–762. [Google Scholar] [CrossRef]
- Alesso, C.A.; Masola, M.J.; Carrizo, M.E.; Cipriotti, P.A.; Imhoff, S.D. Spatial variability of short-term effect of tillage on soil penetration resistance. Arch. Agron. Soil Sci. 2019, 65, 822–832. [Google Scholar] [CrossRef]
- Pittelkow, C.M.; Liang, X.; Linquist, B.A.; van Groenigen, K.J.; Lee, J.; Lundy, M.E.; van Gestel, N.; Six, J.; Venterea, R.T.; van Kessel, C. Productivity limits and potentials of the principles of conservation agriculture. Nature 2015, 517, 365. [Google Scholar] [CrossRef] [PubMed]
- Zhao, X.; Liu, S.L.; Pu, C.; Zhang, X.Q.; Xue, J.F.; Ren, Y.X.; Zhao, X.L.; Chen, F. Crop yields under no-till farming in China: A meta-analysis. Eur. J. Agron. 2017, 84, 67–75. [Google Scholar] [CrossRef]
- Çelik, İ.; Günal, H.; Acar, M.; Acir, N.; Bereket, B.Z.; Budak, M. Strategic tillage may sustain the benefits of long-term no-till in a Vertisol under Mediterranean climate. Soil Tillage Res. 2019, 185, 17–28. [Google Scholar] [CrossRef]
- Crawford, M.H.; Rincon-Florez, V.; Balzer, A.; Dang, Y.P.; Carvalhais, L.C.; Liu, H.; Schenk, P.M. Changes in the soil quality attributes of continuous no-till farming systems following a strategic tillage. Soil Res. 2015, 53, 263. [Google Scholar] [CrossRef]
- Wang, X.; Qi, J.Y.; Liu, B.Y.; Kan, Z.R.; Zhao, X.; Xiao, X.P.; Zhang, H.L. Strategic tillage effects on soil properties and agricultural productivity in the paddies of southern China. Land Degrad. Dev. 2019, 31, 1277–1286. [Google Scholar] [CrossRef]
- Dang, Y.P.; Balzer, A.; Crawford, M.; Rincon-Florez, V.; Liu, H.; Melland, A.R.; Antille, D.; Kodur, S.; Bell, M.J.; Whish, J.P.M.; et al. Strategic tillage in conservation agricultural systems of north-eastern Australia: Why, where, when and how? Environ. Sci. Pollut. R. 2018, 25, 1000–1015. [Google Scholar] [CrossRef]
- Six, J.; Elliott, E.T.; Paustian, K. Soil macroaggregate turnover and microaggregate formation: A mechanism for C sequestration under no-tillage agriculture. Soil Biol. Biochem. 2000, 32, 2099–2103. [Google Scholar] [CrossRef]
- Wortmann, C.S.; Drijber, R.A.; Franti, T.G. One-time tillage of no-till crop land five years post-tillage. Agron. J. 2010, 102, 1302. [Google Scholar] [CrossRef]
- Grandy, A.S.; Robertson, G.P. Aggregation and organic matter protection following tillage of a previously uncultivated soil. Soil Sci. Soc. Am. J. 2006, 70, 1398. [Google Scholar] [CrossRef]
- Gao, L.Y.; Becker, E.; Liang, G.P.; Houssou, A.A.; Wu, H.J.; Wu, X.P.; Cai, D.X.; Degré, A. Effect of different tillage systems on aggregate structure and inner distribution of organic carbon. Geoderma 2017, 288, 97–104. [Google Scholar] [CrossRef]
- Guan, D.H.; Zhang, Y.S.; Al-Kaisi, M.M.; Wang, Q.Y.; Zhang, M.C.; Li, Z.H. Tillage practices effect on root distribution and water use efficiency of winter wheat under rain-fed condition in the North China Plain. Soil Tillage Res. 2015, 146, 286–295. [Google Scholar] [CrossRef]
- Kan, Z.R.; Ma, S.T.; Liu, Q.Y.; Liu, B.Y.; Virk, A.L.; Qi, J.Y.; Zhao, X.; Lal, R.; Zhang, H.L. Carbon sequestration and mineralization in soil aggregates under long-term conservation tillage in the North China Plain. Catena 2020, 188, 104428. [Google Scholar] [CrossRef]
- Pirmoradian, N.; Sepaskhah, A.R.; Hajabbasi, M.A. Application of fractal theory to quantify soil aggregate stability as influenced by tillage treatments. Biosyst. Eng. 2005, 90, 227–234. [Google Scholar] [CrossRef]
- Meng, Q.F.; Sun, Y.T.; Zhao, J.; Zhou, L.R.; Ma, X.F.; Zhou, M.; Gao, W.; Wang, G.C. Distribution of carbon and nitrogen in water-stable aggregates and soil stability under long-term manure application in solonetzic soils of the Songnen plain, northeast China. J. Soil. Sediment. 2014, 14, 1041–1049. [Google Scholar] [CrossRef]
- Bao, S.D. Methods for Soil Agricultural and Chemical Analysis; China Agricultural Press: Beijing, China, 2000. [Google Scholar]
- Franzluebbers, A.J. Soil organic matter stratification ratio as an indicator of soil quality. Soil Tillage Res. 2002, 66, 95–106. [Google Scholar] [CrossRef]
- Batey, T.; McKenzie, D.C. Soil compaction: Identification directly in the field. Soil Use Manag. 2006, 22, 123–131. [Google Scholar] [CrossRef]
- Kan, Z.R.; Liu, Q.Y.; He, C.; Jing, Z.H.; Virk, A.L.; Qi, J.Y.; Zhao, X.; Zhang, H.L. Responses of grain yield and water use efficiency of winter wheat to tillage in the North China Plain. Field Crops Res. 2020, 249, 107760. [Google Scholar] [CrossRef]
- Das, A.; Lal, R.; Patel, D.P.; Idapuganti, R.G.; Layek, J.; Ngachan, S.V.; Ghosh, P.K.; Bordoi, J. Effects of tillage and biomass on soil quality and productivity of lowland rice cultivation by small scale farmers in North Eastern India. Soil Tillage Res. 2014, 143, 50–58. [Google Scholar] [CrossRef]
- Liu, H.; Crawford, M.; Carvalhais, L.C.; Dang, Y.P.; Dennis, P.G.; Schenk, P.M. Strategic tillage on a Grey Vertosol after fifteen years of no-till management had no short-term impact on soil properties and agronomic productivity. Geoderma 2016, 267, 146–155. [Google Scholar] [CrossRef]
- Barthès, B.; Roose, E. Aggregate stability as an indicator of soil susceptibility to runoff and erosion; validation at several levels. Catena 2002, 47, 133–149. [Google Scholar] [CrossRef]
- Kan, Z.R.; Virk, A.L.; He, C.; Liu, Q.Y.; Qi, J.Y.; Dang, Y.P.; Zhao, X.; Zhang, H.L. Characteristics of carbon mineralization and accumulation under long-term conservation tillage. Catena 2020, 193, 104636. [Google Scholar] [CrossRef]
- Piccolo, A.; Pietramellara, G.; Mbagwu, J.S.C. Use of humic substances as soil conditioners to increase aggregate stability. Geoderma 1997, 75, 267–277. [Google Scholar] [CrossRef]
- Alvarez, R.; Steinbach, H.S. A review of the effects of tillage systems on some soil physical properties, water content, nitrate availability and crops yield in the Argentine Pampas. Soil Tillage Res. 2009, 104, 1–15. [Google Scholar] [CrossRef]
- Bhattacharyya, P.; Nayak, A.K.; Mohanty, S.; Tripathi, R.; Shahid, M.; Kumar, A.; Raja, R.; Panda, B.B.; Roy, K.S.; Neogi, S.; et al. Greenhouse gas emission in relation to labile soil C, N pools and functional microbial diversity as influenced by 39 years long-term fertilizer management in tropical rice. Soil Tillage Res. 2013, 129, 93–105. [Google Scholar] [CrossRef]
- Kibet, L.C.; Blanco-Canqui, H.; Jasa, P. Long-term tillage impacts on soil organic matter components and related properties on a Typic Argiudoll. Soil Tillage Res. 2016, 155, 78–84. [Google Scholar] [CrossRef]
- Bronick, C.J.; Lal, R. Soil structure and management: A review. Geoderma 2005, 124, 3–22. [Google Scholar] [CrossRef]
- Kushwaha, C.P.; Tripathi, S.K.; Singh, K.P. Soil organic matter and water-stable aggregates under different tillage and residue conditions in a tropical dryland agroecosystem. Appl. Soil Ecol. 2001, 16, 229–241. [Google Scholar] [CrossRef]
- Sithole, N.J.; Magwaza, L.S. Long-term changes of soil chemical characteristics and maize yield in no-till conservation agriculture in a semi-arid environment of South Africa. Soil Tillage Res. 2019, 194, 104317. [Google Scholar] [CrossRef]
- Kirkegaard, J.A.; Conyers, M.K.; Hunt, J.R.; Kirkby, C.A.; Watt, M.; Rebetzke, G.J. Sense and nonsense in conservation agriculture: Principles, pragmatism and productivity in Australian mixed farming systems. Agric. Ecosyst. Environ. 2014, 187, 133–145. [Google Scholar] [CrossRef]
- Quincke, J.A.; Wortmann, C.S.; Mamo, M.; Franti, T.; Drijber, R.A.; Garcı’a, J.P. One-time tillage of no-till systems: Soil physical properties, phosphorus runoff, and crop yield. Am. Soc. Agron. 2007, 99, 1104–1110. [Google Scholar] [CrossRef]
- Kettler, T.A.; Lyon, D.J.; Doran, J.W.; Powers, W.L.; Stroup, W.W. Soil quality assessment after weed-control tillage in a no-till wheat-fallow cropping system. Soil Sci. Soc. Am. J. 2000, 64, 339–346. [Google Scholar] [CrossRef]
- Peixoto, D.S.; Silva, L.D.C.M.; Melo, L.B.B.D.; Azevedo, R.P.; Araújo, B.C.L.; Carvalho, T.S.D.; Moreira, S.G.; Curi, N.; Silva, B.M. Occasional tillage in no-tillage systems: A global meta-analysis. Sci. Total Environ. 2020, 745, 140887. [Google Scholar] [CrossRef] [PubMed]





| Soil Properties | Values |
|---|---|
| Bulk density | 1.30 g cm−3 |
| Soil organic carbon | 8.25 g kg−1 |
| Total nitrogen | 0.75 g kg−1 |
| Available nitrogen | 35.12 mg kg−1 |
| Available potassium | 92.34 mg kg−1 |
| Available phosphorus | 40.35 mg kg−1 |
| Year | RT | RS | NT | NS |
|---|---|---|---|---|
| 2015 | rotary tillage | rotary tillage | no-till | no-till |
| 2016 | rotary tillage | rotary tillage | no-till | no-till |
| 2017 | rotary tillage | subsoiling | no-till | subsoiling |
| 2018 | rotary tillage | rotary tillage | no-till | no-till |
| 2019 | rotary tillage | rotary tillage | no-till | no-till |
| Depth (cm) | Treatment | MWD | GMD |
|---|---|---|---|
| 0–10 | RT | 2.88 ± 0.04 b | 1.28 ± 0.06 b |
| RS | 2.88 ± 0.03 b | 1.23 ± 0.01 b | |
| NT | 3.20 ± 0.02 a | 1.66 ± 0.02 a | |
| NS | 3.14 ± 0.05 a | 1.60 ± 0.05 a | |
| 10–20 | RT | 3.49 ± 0.11 ab | 1.85 ± 0.12 b |
| RS | 3.71 ± 0.05 a | 2.20 ± 0.07 a | |
| NT | 3.31 ± 0.07 b | 1.74 ± 0.04 b | |
| NS | 3.50 ± 0.04 ab | 1.97 ± 0.01 ab | |
| 20–30 | RT | 2.95 ± 0.08 a | 1.29 ± 0.10 a |
| RS | 2.99 ± 0.20 a | 1.20 ± 0.07 a | |
| NT | 2.71 ± 0.07 a | 1.10 ± 0.05 a | |
| NS | 2.89 ± 0.04 a | 1.23 ± 0.05 a | |
| 30–50 | RT | 3.84 ± 0.11 a | 2.36 ± 0.14 a |
| RS | 3.69 ± 0.07 ab | 2.15 ± 0.06 ab 1.84 ± 0.13 b | |
| NT | 3.37 ± 0.10 b | ||
| NS | 3.75 ± 0.15 a | 2.28 ± 0.18 ab |
| Depth (cm) | Treatment | SOC Storage (Mg C ha−1) | |
|---|---|---|---|
| 2018 | 2019 | ||
| 0–10 | RT | 12.57 ± 0.37 b | 14.79 ± 0.47 a |
| RS | 13.75 ± 0.33 b | 12.63 ± 0.38 b | |
| NT | 15.93 ± 0.44 a | 15.73 ± 0.41 a | |
| NS | 15.02 ± 0.35 a | 15.57 ± 0.75 a | |
| 10–20 | RT | 9.52 ± 0.48 b | 10.71 ± 0.34 b |
| RS | 10.82 ± 0.38 ab | 11.65 ± 0.20 b | |
| NT | 11.17 ± 0.55 a | 11.59 ± 0.36 b | |
| NS | 12.19 ± 0.22 a | 13.02 ± 0.22 a | |
| 20–30 | RT | 4.42 ± 0.13 b | 5.06 ± 0.74 b |
| RS | 3.32 ± 0.12 c | 5.31 ± 0.13 ab | |
| NT | 4.32 ± 0.38 b | 6.08 ± 0.45 ab | |
| NS | 6.08 ± 0.32 a | 6.79 ± 0.32 a | |
| 0–30 | RT | 26.52 ± 0.35 d | 30.56 ± 1.11 b |
| RS | 27.88 ± 0.34 c | 29.59 ± 0.70 b 33.40 ± 0.45 a | |
| NT | 31.43 ± 0.22 b | ||
| NS | 33.29 ± 0.17 a | 35.38 ± 0.99 a | |
| Soil Depth Ratio (cm:cm) | 2018 | 2019 | ||||||
|---|---|---|---|---|---|---|---|---|
| RT | RS | NT | NS | RT | RS | NT | NS | |
| 0–10:10–20 | 1.26 ± 0.11 a | 1.21 ± 0.07 a | 1.48 ± 0.11 a | 1.22 ± 0.05 a | 1.32 ± 0.09 a | 1.03 ± 0.02 b | 1.40 ± 0.08 a | 1.18 ± 0.07 ab |
| 0–10:20–30 | 2.73 ± 0.04 b | 4.22 ± 0.27 a | 3.69 ± 0.27 a | 2.53 ± 0.21 b | 2.91 ± 0.29 a | 2.35 ± 0.02 a | 2.59 ± 0.24 a | 2.31 ± 0.16 a |
| 0–10:30–50 | 3.81 ± 0.13 a | 4.47 ± 0.48 a | 4.43 ± 0.59 a | 2.51 ± 0.03 b | 3.42 ± 0.08 b | 2.84 ± 0.14 c | 4.21 ± 0.13 a | 3.12 ± 0.27 bc |
| 2018 | 2019 | |||||
|---|---|---|---|---|---|---|
| Treatment | Wheat | Maize | Annual | Wheat | Maize | Annual |
| RT | 4798.33 ± 169.74 b | 12641.67 ± 387.98 b | 17440.00 ± 273.89 b | 4326.67 ± 265.48 b | 10953.89 ± 512.32 b | 15280.56 ± 743.48 b |
| RS | 5208.33 ± 396.38 ab | 11534.72 ± 180.06 b | 16743.06 ± 338.50 b | 4951.67 ± 333.47 ab | 12221.94 ± 664.90 ab | 17173.61 ± 853.27 ab |
| NT | 4601.67 ± 148.81 b | 11155.56 ± 766.64 b | 15757.22 ± 777.42 b | 4063.33 ± 294.07 b | 10767.50 ± 537.64 b | 14830.83 ± 799.21 b |
| NS | 5906.67 ± 287.89 a | 14483.33 ± 552.85 a | 20390.00 ± 763.89 a | 5383.33 ± 76.88 a | 13931.11 ± 792.08 a | 19314.44 ± 715.40 a |
© 2020 by the authors. Licensee MDPI, Basel, Switzerland. This article is an open access article distributed under the terms and conditions of the Creative Commons Attribution (CC BY) license (http://creativecommons.org/licenses/by/4.0/).
Share and Cite
Liu, Q.; Kan, Z.; He, C.; Zhang, H. Effects of Strategic Tillage on Soil Physicochemical Properties and Grain Yield in the North China Plain. Agronomy 2020, 10, 1167. https://doi.org/10.3390/agronomy10081167
Liu Q, Kan Z, He C, Zhang H. Effects of Strategic Tillage on Soil Physicochemical Properties and Grain Yield in the North China Plain. Agronomy. 2020; 10(8):1167. https://doi.org/10.3390/agronomy10081167
Chicago/Turabian StyleLiu, Qiuyue, Zhengrong Kan, Cong He, and Hailin Zhang. 2020. "Effects of Strategic Tillage on Soil Physicochemical Properties and Grain Yield in the North China Plain" Agronomy 10, no. 8: 1167. https://doi.org/10.3390/agronomy10081167
APA StyleLiu, Q., Kan, Z., He, C., & Zhang, H. (2020). Effects of Strategic Tillage on Soil Physicochemical Properties and Grain Yield in the North China Plain. Agronomy, 10(8), 1167. https://doi.org/10.3390/agronomy10081167

