Phenotypic Evaluation of a Hybrid Diploid Blueberry Population for Plant Development and Fruit Quality Traits
Abstract
1. Introduction
2. Materials and Methods
2.1. Plant Material
2.2. Phenotypic Evaluations
2.2.1. Leaf Bud, Flower Bud, and Fruit Development Traits
2.2.2. Fruit Quality Traits
2.3. Statistical Analyses
3. Results and Discussion
3.1. Development/Growth Stage Traits
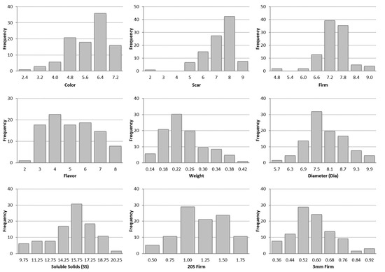
3.2. Fruit Quality Traits
3.3. Relationship to the Big Picture
4. Conclusions
Author Contributions
Funding
Acknowledgments
Conflicts of Interest
References
- Qi, X.; Ogden, E.L.; Die, J.V.; Ehlenfeldt, M.K.; Polashock, J.J.; Darwish, O.; Alkharouf, N.; Rowland, L.J. Transcriptome analysis identifies genes related to the waxy coating on blueberry fruit in two northern-adapted rabbiteye breeding populations. BMC Plant Biol. 2019, 19, 460. [Google Scholar] [CrossRef] [PubMed]
- Yousef, G.G.; Brown, A.F.; Funakoshi, Y.; Mbeunkui, F.; Grace, M.H.; Ballington, J.R.; Loraine, A.; Lila, M.A. Efficient quantification of the health-relevant anthocyanin and phenolic acid profiles in commercial cultivars and breeding selections of blueberries (Vaccinium spp.). J. Agric. Food Chem. 2013, 61, 4806–4815. [Google Scholar] [CrossRef] [PubMed]
- Rowland, L.J.; Ogden, E.L.; Bassil, N.; Buck, E.J.; McCallum, S.; Graham, J.; Brown, A.; Wiedow, C.; Campbell, A.M.; Haynes, K.G.; et al. Construction of a genetic linkage map of an interspecific diploid blueberry population and identification of QTL for chilling requirement and cold hardiness. Mol. Breed. 2014, 34, 2033–2048. [Google Scholar] [CrossRef]
- McCallum, S.; Graham, J.; Jorgensen, L.; Rowland, L.J.; Bassil, N.V.; Hancock, J.F.; Wheeler, E.J.; Vining, K.; Poland, J.A.; Olmstead, J.W.; et al. Construction of a SNP and SSR linkage map in autotetraploid blueberry using genotyping by sequencing. Mol. Breed. 2016, 36, 1–24. [Google Scholar] [CrossRef]
- Schlautman, B.; Diaz-Garcia, L.; Covarrubias-Pazaran, G.; Schlautman, N.; Vorsa, N.; Polashock, J.; Ogden, E.L.; Brown, A.; Lin, Y.-C.; Bassil, N.; et al. Comparative genetic mapping reveals synteny and collinearity between the American cranberry and diploid blueberry genomes. Mol. Breed. 2018, 38, 9. [Google Scholar] [CrossRef]
- Draper, A.D.; Galletta, G.J. Breeding methods for improving southern tetraploid blueberries. J. Am. Soc. Hortic. Sci. 1982, 107, 106–109. [Google Scholar]
- Gough, R.E. The Highbush Blueberry and Its Management, 1st ed.; Food Products Press, an Imprint of the Haworth Press, Inc.: Binghamton, NY, USA, 1994; pp. 93–107. [Google Scholar]
- Michigan State University Extension. Growth Stages Table. Michigan Blueberry Facts. Available online: http://www.Canr.msu.edu/blueberries/growing_blueberries/growthstages (accessed on 25 April 2018).
- Moore, J.N. Improving highbush blueberries by breeding and selection. Euphytica 1965, 14, 39–48. [Google Scholar]
- Edwards, T.W., Jr.; Sherman, W.B.; Sharpe, R.H. Evaluation and inheritance of fruit color, size, scar, firmness and plant vigor in blueberry. HortScience 1974, 9, 20–22. [Google Scholar]
- Finn, C.E.; Luby, J.J. Inheritance of fruit quality traits in blueberry. J. Am. Soc. Hort. Sci. 1992, 117, 617–621. [Google Scholar] [CrossRef]
- Hancock, J.F.; Olmstead, J.W.; Itle, R.A.; Callow, P.W.; Neils-Kraft, S.; Wheeler, E.J.; Mangandi, J.; Sooriyapathirana, S.S.; Rowland, L.J.; Mackey, T.A.; et al. Performance of an elite, hybrid family of a northern x southern highbush cross (‘Draper’ x ‘Jewel’). Euphytica 2018, 214, 95. [Google Scholar] [CrossRef]
- Knapp, S.J.; Stroup, W.W.; Ross, W.M. Exact confidence intervals for heritability on a progeny mean basis. Crop Sci. 1985, 25, 192–194. [Google Scholar] [CrossRef]
- Gallardo, R.K.; Zhang, Q.; Dossett, M.; Polashock, J.J.; Rodriguez-Saona, C.; Vorsa, N.; Edger, P.P.; Ashrafi, H.; Babiker, E.; Finn, C.E.; et al. Blueberry trait priorities of the blueberry industry in the United States and Canada. HortScience 2018, 53, 1021–1028. [Google Scholar] [CrossRef]
- Rowland, L.J.; Hancock, J.F.; Bassil, N.V. Blueberry. In Genetics, Genomics and Breeding of Berries; Folta, K., Kole, C., Eds.; Science Publishers: Enfield, NH, USA, 2011; pp. 1–40. [Google Scholar]
- Hancock, J.F.; Lyrene, P.; Finn, C.E.; Vorsa, N.; Lobos, G.A. Blueberries and cranberries. In Temperate Fruit Breeding: Germplasm to Genomics; Hancock, J.F., Ed.; Springer: Dordrecht, The Netherlands, 2008; pp. 115–150. [Google Scholar]
- Rowland, L.J.; Bell, D.J.; Alkharouf, N.; Bassil, N.V.; Drummond, F.A.; Beers, L.; Buck, E.J.; Finn, C.E.; Granham, J.; McCallum, S.; et al. Generating genomic tools for blueberry improvement. IJFS 2012, 12, 276–287. [Google Scholar] [CrossRef]
- Lobos, G.A.; Hancock, J.F. Breeding blueberries for a changing global environment: A review. Front. Plant Sci. 2015, 6, 782. [Google Scholar] [CrossRef] [PubMed]
- Foster, T.M.; Bassil, N.V.; Dossett, M.; Worthington, M.L.; Graham, J. Genetic and genomic resources for Rubus breeding: A roadmap for the future. Hortic. Res. 2019, 6, 116. [Google Scholar] [CrossRef] [PubMed]
- Castro, P.; Stafne, E.T.; Clark, J.R.; Lewers, K.S. Genetic map of the primocane-fruiting and thornless traits of tetraploid blackberry. Theor. Appl. Genet. 2013, 126, 2521–2532. [Google Scholar] [CrossRef] [PubMed]
- Georgi, L.; Johnson-Cicalese, J.; Honig, J.; Das, S.P.; Rajah, V.D.; Bhattacharya, D.; Bassil, N.; Rowland, L.J.; Polashock, J.; Vorsa, N. The first genetic map of the American cranberry: Exploration of synteny conservation and quantitative loci. Theor. Appl. Genet. 2013, 126, 673–692. [Google Scholar] [CrossRef] [PubMed]
- Daverdin, G.; Johnson-Cicalese, J.; Zalapa, J.; Vorsa, N.; Polashock, J. Identification and mapping of fruit rot resistance QTL in American cranberry using GBS. Mol. Breed. 2017, 37, 38. [Google Scholar] [CrossRef]
- Diaz-Garcia, L.; Schlautman, B.; Covarrubias-Pazaran, G.; Maule, A.; Johnson-Cicalese, J.; Grygleski, E.; Vorsa, N.; Zalapa, J. Massive phenotyping of multiple cranberry populations reveals novel QTLs for fruit anthocyanin content and other important chemical traits. Mol. Genet. Genom. 2018, 293, 1379–1392. [Google Scholar] [CrossRef]
- Diaz-Garcia, L.; Covarrubias-Pazaran, G.; Schlautman, B.; Grygleski, E.; Zalapa, J. Image-based phenotyping for identification of QTL determining fruit shape and size in American cranberry (Vaccinium macrocarpon L.). PeerJ 2018, 6, e5461. [Google Scholar] [CrossRef]
- Lerceteau-Kohler, E.; Moing, A.; Guerin, G.; Renaud, C.; Petit, A.; Rothan, C.; Denoyes, B. Genetic dissection of fruit quality traits in the octoploid cultivated strawberry highlights the role of homoeo-QTL in their control. Theor. Appl. Genet. 2012, 124, 1059–1077. [Google Scholar] [CrossRef] [PubMed]
- Graham, J.; Smith, K.; MacKenzie, K.; Jorgenson, L.; Hackett, C.; Powell, W. The construction of a genetic linkage map of red raspberry (Rubus idaeus subsp. idaeus) based on AFLPs, genomic-SSR and EST-SSR markers. Theor. Appl. Genet. 2004, 109, 740–749. [Google Scholar] [CrossRef] [PubMed]
- Hackett, C.; Milne, L.; Smith, K.; Hedley, P.; Morris, J.; Simpson, C.G.; Preedy, K.; Graham, J. Enhancement of Glen Moy x Latham raspberry linkage map using GbS to further understand control of developmental processes leading to fruit ripening. BMC Genet. 2018, 19, 59. [Google Scholar] [CrossRef] [PubMed]
- Simpson, C.G.; Cullen, D.W.; Hackett, C.A.; Smith, K.; Hallett, P.D.; McNicol, J.; Woodhead, M.; Graham, J. Mapping and expression of genes associated with raspberry fruit ripening and softening. Theor. Appl. Genet. 2017, 130, 557–572. [Google Scholar] [CrossRef]
- McCallum, S.; Woodhead, M.; Hackett, C.A.; Kassim, A.; Paterson, A.; Graham, J. Genetic and environmental effects influencing fruit colour and QTL analysis in raspberry. Theor. Appl. Genet. 2010, 121, 611–627. [Google Scholar] [CrossRef]
- Paterson, A.; Kassim, A.; McCallum, S.; Woodhead, M.; Smith, K.; Zait, D.; Graham, J. Environmental and seasonal influences on red raspberry flavor volatiles and identification of quantitative trait loci (QTL) and candidate genes. Theor. Appl. Genet. 2013, 126, 33–48. [Google Scholar] [CrossRef]
- Kassim, A.; Poette, J.; Paterson, A.; Zait, D.; McCallum, S.; Woodhead, M.; Smith, K.; Hackett, C.A.; Graham, J. Environmental and seasonal influences on red raspberry anthocyanin antioxidant contents and identification of quantitative trait loci (QTL). Mol. Nut. Food Res. 2009, 53, 625–634. [Google Scholar] [CrossRef]
- Graham, J.; Smith, K.; McCallum, S.; Hedley, P.E.; Cullen, D.W.; Dolan, A.; Milne, L.; McNicol, J.W.; Hackett, C.A. Towards an understanding of the control of ‘crumbly’ fruit in red raspberry. SpringerPlus 2015, 4, 223. [Google Scholar] [CrossRef]
- Ferrao, L.F.V.; Benevenuto, J.; de Bem Oliveira, I.; Cellon, C.; Olmstead, J.; Kirst, M.; Resende, M.F.R., Jr.; Munoz, P. Insights into the genetic basis of blueberry fruit-related traits using diploid and polyploid models in a GWAS context. Front. Ecol. Evol. 2018, 6, 107. [Google Scholar] [CrossRef]
- Colle, M.; Courtney, P.L.; Wai, C.M.; Ou, S.; Bird, K.A.; Wang, J.; Wisecaver, J.H.; Yocca, A.E.; Alger, E.I.; Tang, H.; et al. Haplotype-phased genome and evolution of phytonutrient pathways of tetraploid blueberry. GigaScience 2019, 8, 1–15. [Google Scholar] [CrossRef]


| Trait | Mean | Range | Significance 1 | Heritability (CI 2) | ||
|---|---|---|---|---|---|---|
| Year | Genotype | |||||
| Color | 5.7 | 2.0–7.5 | *** | *** | 0.80 | (0.73, 0.86) |
| Scar | 7.1 | 2.0–9.0 | *** | *** | 0.67 | (0.55, 0.77) |
| Firm | 7.3 | 5.0–9.0 | NS | * | 0.34 | (0.07, 0.54) |
| Flavor | 5 | 1.5–8.0 | NS | NS | 0.08 | (−0.31, 0.36) |
| Weight | 0.24 | 0.14–0.42 | *** | *** | 0.56 | (0.40, 0.69) |
| Diameter | 7.92 | 5.85–10.04 | ** | ** | 0.65 | (0.33, 0.81) |
| Soluble Solids | 15.2 | 9.1–20.3 | NS | ** | 0.68 | (0.36, 0.82) |
| 20SFirm | 1.19 | 0.52–1.81 | NS | NS | 0.47 | (−0.86, 0.79) |
| 3mmFirm | 0.58 | 0.33–0.91 | NS | ** | 0.72 | (0.45, 0.84) |
| Shoot Elongation | 96.7 | 92–106 | *** | ** | 0.43 | (0.13, 0.63) |
| Early Bloom (EB) | 96.1 | 86–109 | *** | *** | 0.59 | (0.38, 0.74) |
| Full Bloom (FB) | 102.6 | 93–113 | *** | *** | 0.69 | (0.51, 0.80) |
| Petal Fall | 109.6 | 100–120 | *** | *** | 0.69 | (0.52, 0.80) |
| Early Green | 134.3 | 123.5–148 | *** | NS | 0.30 | (−0.12, 0.56) |
| Late Green | 153.2 | 148–169 | *** | NS | 0.48 | (0.15, 0.67) |
| 75% Blue Fruit (75B) | 181.4 | 170.5–195.5 | *** | * | 0.46 | (0.11, 0.66) |
| EBtoFB | 6.6 | 4–10 | *** | NS | 0.05 | (−0.47, 0.38) |
| EBto75B | 85.4 | 68–107 | *** | ** | 0.53 | (0.23, 0.71) |
| FBto75B | 79 | 61–100 | *** | ** | 0.51 | (0.20, 0.70) |
| Variable | SE | EB | FB | PF | EG | LG | 75BLUE | EBtoFB | EBto75B | FBto75B | CR | CH |
|---|---|---|---|---|---|---|---|---|---|---|---|---|
| Shoot Elongation (SE) | 0.32 1 | 0.33 | 0.33 | 0.16 | 0.12 | 0.00 | 0.08 | −0.18 | −0.18 | 0.54 | −0.35 | |
| <0.01 | <0.01 | <0.01 | NS 2 | NS | NS | NS | NS | NS | <0.0001 | <0.01 | ||
| Early Bloom (EB) | 0.97 | 0.93 | 0.38 | 0.23 | −0.28 | 0.10 | −0.69 | −0.72 | 0.42 | −0.23 | ||
| <0.0001 | <0.0001 | <0.01 | <0.05 | <0.05 | NS | <0.0001 | <0.0001 | <0.0001 | <0.05 | |||
| Full Bloom (FB) | 0.88 | 0.33 | 0.20 | −0.25 | 0.25 | −0.65 | −0.69 | 0.44 | −0.27 | |||
| <0.0001 | <0.01 | NS | <0.05 | <0.05 | <0.0001 | <0.0001 | <0.0001 | <0.05 | ||||
| Petal Fall (PF) | 0.41 | 0.24 | −0.22 | 0.05 | −0.60 | −0.63 | 0.38 | −0.25 | ||||
| 0.0001 | <0.05 | NS | NS | <0.0001 | <0.0001 | <0.01 | <0.05 | |||||
| Early Green (EG) | 0.40 | −0.17 | −0.07 | −0.32 | −0.30 | 0.08 | 0.03 | |||||
| <0.01 | NS | NS | <0.01 | <0.01 | NS | NS | ||||||
| Late Green (LG) | 0.05 | −0.03 | −0.15 | −0.15 | −0.07 | 0.06 | ||||||
| NS | NS | NS | NS | NS | NS | |||||||
| 75% Blue Fruit (75BLUE) | 0.15 | 0.87 | 0.85 | 0.03 | −0.01 | |||||||
| NS | <0.0001 | <0.0001 | NS | NS | ||||||||
| Days from Early Bloom to Full Bloom (EBtoFB) | 0.04 | −0.04 | 0.03 | −0.19 | ||||||||
| NS | NS | NS | NS | |||||||||
| Days from Early Bloom to 75% Blue Fruit (EBto75B) | 0.99 | −0.16 | 0.11 | |||||||||
| <0.0001 | NS | NS | ||||||||||
| Days from Full Bloom to 75% Blue Fruit (FBto75B) | −0.17 | 0.12 | ||||||||||
| NS | NS | |||||||||||
| Chilling Requirement (CR) | −0.35 | |||||||||||
| <0.01 | ||||||||||||
| Cold Hardiness (CH) | ||||||||||||
| Variable | Color | Scar | Firm | Flavor | Weight | Dia | SS | 20S | 3 mm |
|---|---|---|---|---|---|---|---|---|---|
| Color | 0.14 | 0.01 | −0.02 | −0.02 | 0.03 | −0.1 | −0.05 | −0.31 1 | |
| NS 2 | NS | NS | NS | NS | NS | NS | <0.05 | ||
| Scar | 0.31 | −0.14 | −0.3 | −0.35 | 0.07 | −0.26 | 0.25 | ||
| <0.01 | NS | <0.01 | <0.01 | NS | NS | <0.05 | |||
| Firm | −0.03 | 0.09 | 0.09 | 0.31 | 0.03 | 0.44 | |||
| NS | NS | NS | <0.05 | NS | <0.01 | ||||
| Flavor | 0.09 | 0.24 | 0.2 | 0.01 | 0.09 | ||||
| NS | <0.05 | NS | NS | NS | |||||
| Weight | 0.74 | 0.24 | 0.45 | 0.13 | |||||
| <0.0001 | NS | <0.01 | NS | ||||||
| Diameter (Dia) | 0.1 | 0.62 | −0.07 | ||||||
| NS | <0.0001 | NS | |||||||
| Soluble Solids (SS) | 0.01 | 0.27 | |||||||
| NS | <0.05 | ||||||||
| 20SFirm (20S) | 0.37 | ||||||||
| <0.05 | |||||||||
| 3mmFirm (3 mm) | |||||||||
© 2020 by the authors. Licensee MDPI, Basel, Switzerland. This article is an open access article distributed under the terms and conditions of the Creative Commons Attribution (CC BY) license (http://creativecommons.org/licenses/by/4.0/).
Share and Cite
Rowland, L.J.; Ogden, E.L.; Vinyard, B.T. Phenotypic Evaluation of a Hybrid Diploid Blueberry Population for Plant Development and Fruit Quality Traits. Agronomy 2020, 10, 1067. https://doi.org/10.3390/agronomy10081067
Rowland LJ, Ogden EL, Vinyard BT. Phenotypic Evaluation of a Hybrid Diploid Blueberry Population for Plant Development and Fruit Quality Traits. Agronomy. 2020; 10(8):1067. https://doi.org/10.3390/agronomy10081067
Chicago/Turabian StyleRowland, Lisa J., Elizabeth L. Ogden, and Bryan T. Vinyard. 2020. "Phenotypic Evaluation of a Hybrid Diploid Blueberry Population for Plant Development and Fruit Quality Traits" Agronomy 10, no. 8: 1067. https://doi.org/10.3390/agronomy10081067
APA StyleRowland, L. J., Ogden, E. L., & Vinyard, B. T. (2020). Phenotypic Evaluation of a Hybrid Diploid Blueberry Population for Plant Development and Fruit Quality Traits. Agronomy, 10(8), 1067. https://doi.org/10.3390/agronomy10081067

