Selection of Experimental Hybrids of Strawberry Using Multivariate Analysis
Abstract
1. Introduction
2. Materials and Methods
2.1. Crossbreeding and Obtaining Hybrids
2.2. Installation and Management of Experimental Units
2.3. Evaluation of Parameters
2.4. Statistical Analysis
3. Results
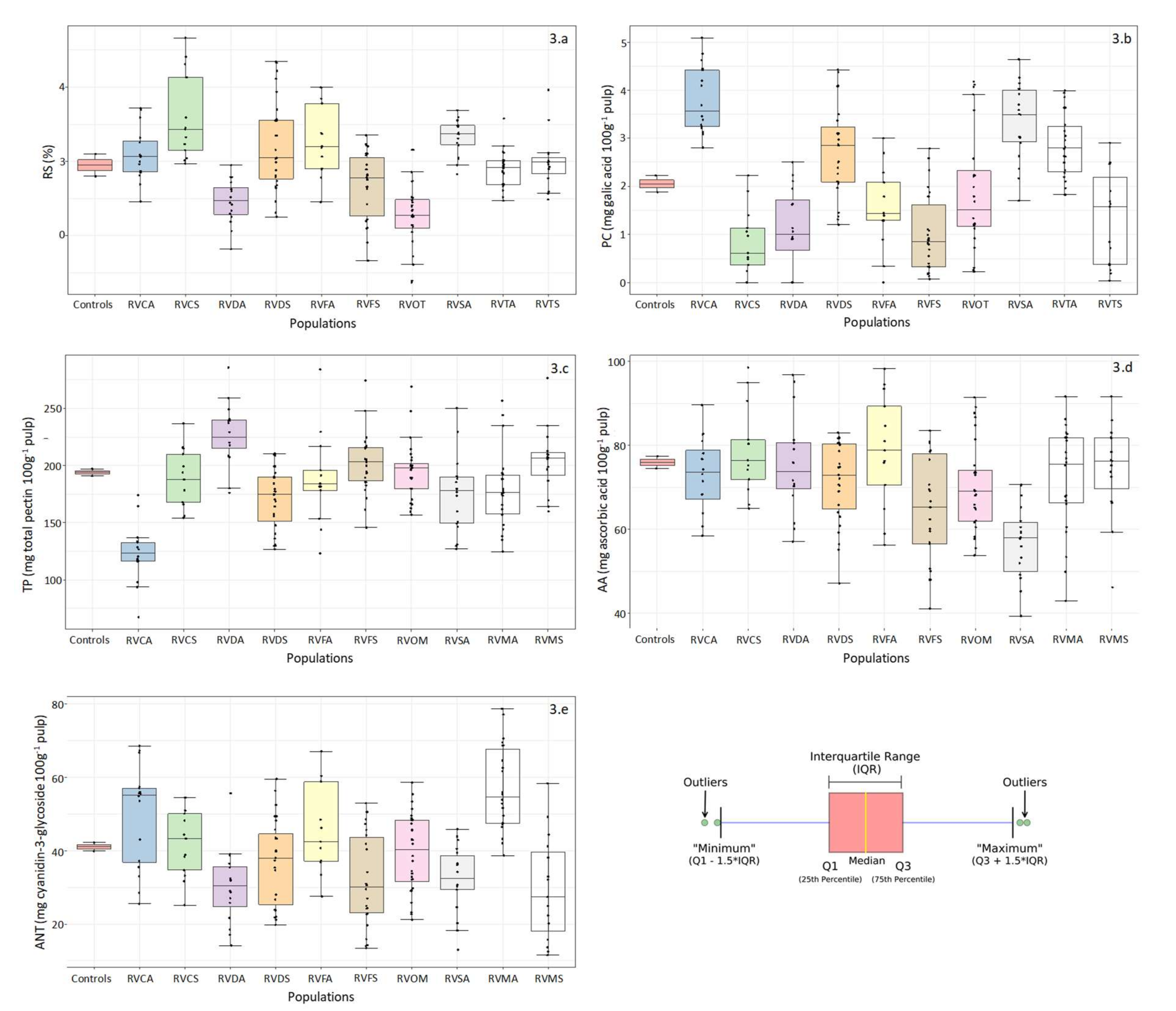
3.1. Boxplot Analysis
3.2. Pearson Correlation
3.3. Hybridization Gains and Selection Rank
3.4. Principal Component and Hierarchical Cluster Analysis
4. Discussion
5. Conclusions
Author Contributions
Funding
Acknowledgments
Conflicts of Interest
References
- Whitaker, V.M.; Hasing, T.; Chandler, C.K.; Plotto, A.; Baldwin, E. Historical trends in strawberry fruit quality revealed by a trial of university of Florida cultivars and advanced selections. Horts 2011, 46, 553–557. [Google Scholar] [CrossRef]
- FAO. FAOSTAT—Food and Agriculture Organization Corporate Statistical Database. FAO Online Database. Available online: http://www.fao.org/faostat/en/#data (accessed on 5 February 2019).
- Chandler, C.K.; Folta, K.; Dale, A.; Whitaker, V.M.; Herrington, M. Strawberry. In Fruit Breeding; Badenes, M.L., Byrne, D.H., Eds.; Springer US: Boston, MA, USA, 2012; pp. 305–325. ISBN 978-1-4419-0762-2. [Google Scholar]
- Faedi, W.; Baruzzi, G. References. Strawberry breeding. In Strawberry: Growth, Development and Diseases; Husaini, A., Nari, D., Eds.; CABI: Wallingford, UK, 2016; pp. 26–37. ISBN 978-1-78064-663-3. [Google Scholar]
- Giampieri, F.; Tulipani, S.; Alvarez-Suarez, J.M.; Quiles, J.L.; Mezzetti, B.; Battino, M. The strawberry: Composition, nutritional quality, and impact on human health. Nutrition 2012, 28, 9–19. [Google Scholar] [CrossRef] [PubMed]
- Diamanti, J.; Capocasa, F.; Denoyes, B.; Petit, A.; Chartier, P.; Faedi, W.; Maltoni, M.L.; Battino, M.; Mezzetti, B. Standardized method for evaluation of strawberry (Fragaria×ananassa Duch.) germplasm collections as a genetic resource for fruit nutritional compounds. J. Food Compos. Anal. 2012, 28, 170–178. [Google Scholar] [CrossRef]
- Padula, M.C.; Lepore, L.; Milella, L.; Ovesna, J.; Malafronte, N.; Martelli, G.; de Tommasi, N. Cultivar based selection and genetic analysis of strawberry fruits with high levels of health promoting compounds. Food Chem. 2013, 140, 639–646. [Google Scholar] [CrossRef]
- Kim, S.K.; Kim, D.S.; Kim, D.Y.; Chun, C. Variation of bioactive compounds content of 14 oriental strawberry cultivars. Food Chem. 2015, 184, 196–202. [Google Scholar] [CrossRef]
- Fagherazzi, A.F.; Grimaldi, F.; Kretzschmar, A.A.; Molina, A.R.; Gonçalves, M.A.; Antunes, L.E.C.; Baruzzi, G.; Rufato, L. Strawberry production progress in Brazil. Acta Hortic. 2017, 937–940. [Google Scholar] [CrossRef]
- Zeist, A.R.; de Resende, J.T.V. Strawberry breeding in Brazil: Current momentum and perspectives. Hortic. Bras. 2019, 37, 7–16. [Google Scholar] [CrossRef]
- Vieira, S.D.; de Souza, D.C.; Martins, I.A.; Ribeiro, G.H.M.R.; Resende, L.V.; Ferraz, A.K.L.; Galvão, A.G.; de Resende, J.T.V. Selection of experimental strawberry (Fragaria × ananassa) hybrids based on selection indices. Genet. Mol. Res. 2017, 16. [Google Scholar] [CrossRef]
- Galvão, A.G.; Resende, L.V.; Maluf, W.R.; Resende, J.T.V.; Ferraz, A.K.L.; Marodin, J.C. Breeding new improved clones for strawberry production in Brazil. Acta Sci. Agron. 2017, 39, 149. [Google Scholar] [CrossRef]
- Wrege, M.S.; Steinmetz, S.; Reisser Junior, C.; Almeida, I.R. Atlas climático da Região Sul do Brasil: Estados do Paraná, Santa Catarina e Rio Grande do Sul; Embrapa Clima Temperado: Pelotas, Brazil; Embrapa Florestas: Colombo, Brazil, 2012; p. 333. [Google Scholar]
- Youssef, K.; de Oliveira, A.G.; Tischer, C.A.; Hussain, I.; Roberto, S.R. Synergistic effect of a novel chitosan/silica nanocomposites-Based formulation against gray mold of table grapes and its possible mode of action. Int. J. Biol. Macromol. 2019, 141, 247–258. [Google Scholar] [CrossRef]
- IAL (Instituto Adolfo Lutz). Ministério da Saúde. Agência Nacional de Vigilância Sanitária. Métodos físico-químicos para análise de alimentos; Ministério da Saúde: Brasilia, Brazil, 2005. [Google Scholar]
- Bucić-Kojić, A.; Planinić, M.; Tomas, S.; Bilić, M.; Velić, D. Study of solid–Liquid extraction kinetics of total polyphenols from grape seeds. J. Food Eng. 2007, 81, 236–242. [Google Scholar] [CrossRef]
- McCready, R.M.; McComb, E.A. Extraction and Determination of Total Pectic Materials in Fruits. Anal. Chem. 1952, 24, 1986–1988. [Google Scholar] [CrossRef]
- Bitter, T.; Muir, H.M. A modified uronic acid carbazole reaction. Anal. Biochem. 1962, 4, 330–334. [Google Scholar] [CrossRef]
- AOAC—Association of Official Analytical Chemists. Official Methods of Analysis of AOAC International; AOAC: Gaithersburg, MD, USA, 1984. [Google Scholar]
- Youssef, K.; Hussien, A. Electrolysed water and salt solutions can reduce green and blue molds while maintain the quality properties of ‘Valencia’ late oranges. Postharvest Biol. Technol. 2020, 159, 111025. [Google Scholar] [CrossRef]
- Giusti, M.M.; Wrolstad, R.E. Characterization and measurement of anthocyanins by UV-Visible spectroscopy. Cur. Prot. Food Anal. Chem. 2001, F1.2.1–F1.2.13. [Google Scholar] [CrossRef]
- Cordeiro, E.C.N.; de Resende, J.T.V.; Córdova, K.R.V.; Nascimento, D.A.; SagginJúnior, O.J.; Zeist, A.R.; Favaro, R. Arbuscularmycorrhizal fungi action on the quality of strawberry fruits. Hortic. Bras. 2019, 37, 437–444. [Google Scholar] [CrossRef]
- Mendiburu, F. Agricolae: Statistical Procedures for Agricultural Research. R Package Version 1.3-1.2014; R Project: Vienna, Austria, 2014. [Google Scholar]
- Sou, T.; Nagashima, A. RcmdrPlugin.KMggplot2: R Commander Plug-in for Data Visualization with ‘ggplot2’; R Project: Vienna, Austria, 2018. [Google Scholar]
- Wei, T.; Simko, V.; Levy, M.; Xie, Y.; Jin, Y.; Zemla, J. Package ‘corrplot’. Statistician 2017, 56, 316–324. [Google Scholar]
- Cruz, C.D. Genes Software–Extended and integrated withthe R, MatlabandSelegen. Acta Sci. Agron. 2016, 38, 547. [Google Scholar] [CrossRef]
- Mulamba, N.N.; Mock, J.J. Improvement of yield potential of the Eto Blanco maize (Zea mays L.) population by breeding for plant traits. Egypt. J. Genet. Cytol. 1987, 7, 40–51. [Google Scholar]
- Barth, E. Aptidão de híbridos experimentais de morangueiro obtidos a partir de cruzamentos intraespecíficos. Master’s. Thesis, Universidade Estadual do Centro-Oeste, Guarapuava, Brazil, 2017; p. 91. [Google Scholar]
- Husson, F.; Josse, J.; Le, S.; Mazet, J. FactoMineR: Multivariate Exploratory Data Analysis and Data Mining with R, Version 1.42; R Project: Vienna, Austria, 2019. [Google Scholar]
- Vieira, S.D.; Araujo, A.L.R.; Souza, D.C.; Resende, L.V.; Leite, M.E.; Resende, J.T.V. Heritability and combining ability studies in strawberry population. J. Agric. Sci. 2019, 11, 457. [Google Scholar] [CrossRef]
- Camargo, L.K.P.; de Resende, J.T.V.; Camargo, C.K.; Kurchaidt, S.M.; Resende, N.C.V.; Botelho, R.V. Post-Harvest characterization of strawberry hybrids obtained from the crossing between commercial cultivars. Rev. Bras. Frutic. 2018, 40, 1–4. [Google Scholar] [CrossRef][Green Version]
- Morales, R.G.F.; Resende, J.T.V.; Faria, M.V.; Andrade, M.C.; Resende, L.V.; Delatorre, C.A.; da Silva, P.R. Genetic similarity among strawberry cultivars assessed by RAPD and ISSR markers. Sci. Agric. (Piracicaba Braz.) 2011, 68, 665–670. [Google Scholar] [CrossRef][Green Version]
- Nunes, C.F.; Ferreira, J.L.; Generoso, A.L.; Carvalho, M.S.D.; Pasqual, M.; de Cançado, G.M.A. The genetic diversity of strawberry (Fragaria × ananassa Duch.) hybrids based on ISSR markers. Acta Sci. Agron. 2013, 35, 443–452. [Google Scholar] [CrossRef][Green Version]
- Mishra, P.K.; Ram, R.B.; Kumar, N. Genetic variability, heritability, and genetic advance in strawberry (Fragaria × ananassa Duch.). Turk. J. Agric. For. 2012, 39, 451–458. [Google Scholar] [CrossRef]
- Kumar, R.; Kumar, S.; Singh, A.K. Genetic variability and diversity studies in snapdragon (Antirrhinum majus) under tarai conditions of Uttarakhand. Indian J. Agric. Sci. 2012, 82, 535–537. [Google Scholar]
- Singh, A.; Singh, B.K.; Deka, B.C.; Sanwal, S.K.; Patel, R.K.; Verma, M.R. The genetic variability, inheritance and inter-relationships of ascorbic acid, β-carotene, phenol and anthocyanin content in strawberry (Fragaria × ananassa Duch.). Sci. Hortic. 2011, 129, 86–90. [Google Scholar] [CrossRef]
- Dhivya, R.; Amalabalu, P.; Pushpa, R.; Kavithamani, D. Variability, heritability and genetic advance in upland cotton (Gossypium hirsutum L.). Afr. J. Plant Sci. 2014, 8, 1–5. [Google Scholar]
- Ogunniyan, D.J.; Olakojo, S.A. Genetic variation, heritability, genetic advance and agronomic character association of yellow elite inbred lines of maize (Zea mays L.). Niger. J. Genet. 2014, 28, 24–28. [Google Scholar] [CrossRef]
- Griffiths, A.J.; Gelbarth, W.M.; Lewontin, R.C.; Miller, J.H. Modern Genetic Analysis: Integrating Genes and Genomes, 2nd ed.; W. H. Freemann: New York, NY, USA, 2002; p. 736. [Google Scholar]
- Acquaah, G. Principles of Plant Breeding and Genetics; Brackwell Publishing: Malden, MA, USA, 2007. [Google Scholar]
- Ramalho, M.A.P.; Carvalho, B.L.; Nunes, J.A.R. Perspectives for the use of quantitative genetics in brreding of autogamous plants. ISRN Genet. 2013. [Google Scholar] [CrossRef]
- Cruz, C.D. Princípios de Genética Quantitativa, 1st ed.; Universidade Federal de Viçosa: Viçosa, Brazil, 2010; p. 394. [Google Scholar]
- Santos, I.G.d.; Cruz, C.D.; Nascimento, M.; Rosado, R.D.S.; Ferreira, R.d.P. Direct, indirect and simultaneous selection as strategies for alfalfa breeding on forage yield and nutritive value. Pesqui. Agropecu. Trop. 2018, 48, 178–189. [Google Scholar] [CrossRef]
- Gabriel, A.; de Resende, J.T.; Zeist, A.R.; Resende, L.V.; Resende, N.C.; Zeist, R.A. Phenotypic stability of strawberry cultivars based on physicochemical traits of fruits. Hortic. Bras. 2019, 37, 75–81. [Google Scholar] [CrossRef]
- Zeist, A.R.; de Resende, J.T.; Lima Filho, R.B.; Gabriel, A.; Henschel, J.M.; da Silva, I.F. Phenology and agronomic components of first and second-Cycle strawberry. Hortic. Bras. 2019, 37, 29–34. [Google Scholar] [CrossRef]
- Edger, P.P.; Poorten, T.J.; VanBuren, R.; Hardigan, M.A.; Colle, M.; McKain, M.R.; Smith, R.D.; Teresi, S.J.; Nelson, A.D.L.; Wai, C.M.; et al. Origin and evolution of the octoploid strawberry genome. Nat. Gene 2019, 51, 541–547. [Google Scholar] [CrossRef] [PubMed]
- Samtani, J.B.; Rom, C.R.; Friedrich, H.; Fennimore, S.A.; Finn, C.E.; Petran, A.; Wallace, R.W.; Pritts, M.P.; Fernandez, G.; Chase, C.A.; et al. The status and future of the strawberry industry in the UnitedStates. Hortte 2019, 29, 11–24. [Google Scholar] [CrossRef]
- Fang, X.; Phillips, D.; Verheyen, G.; Li, H.; Sivasithamparam, K.; Barbetti, M.J. Yields and resistance of strawberry cultivars to crown and root diseases in the field, and cultivar responses to pathogens under controlled environment conditions. Phytopathol. Mediterr. 2012, 51, 69–84. [Google Scholar]
- Forcelini, B.B.; Gonçalves, F.P.; Peres, N.A. Effect of inoculum concentration and interrupted wetness duration on the development of anthracnose fruit rot of strawberry. Plant Dis. 2017, 101, 372–377. [Google Scholar] [CrossRef]






| Traits | Weights | |
|---|---|---|
| Fresh Consumption | Processing | |
| Number of Commercial Fruits (NCF) | 5 | 2 |
| Average Mass of Commercial Fruits (AMCF) | 5 | 1 |
| Mass of Commercial Fruits (MCF) | 5 | 2 |
| Total Fruit Mass (TFM) | 3 | 4 |
| Ph | 3 | 5 |
| Soluble Solids (SS) | 4 | 5 |
| Titratable Acidity (TA) | 4 | 5 |
| SS/TA Ratio – Soluble Solids/ Titratable Acidity | 5 | 2 |
| Reducing Sugar (RS) | 5 | 4 |
| Phenolic Compounds (PC) | 5 | 2 |
| Total Pectin (TP) | 3 | 5 |
| Ascorbic Acid (AA) | 5 | 1 |
| Anthocyanins(ANT) | 5 | 5 |
| Traits | h² % | Xo | Fresh Consumption | Processing | ||||
|---|---|---|---|---|---|---|---|---|
| Xs | SG | SG % | Xs | SG | SG % | |||
| NCF | 93.49 | 43.60 | 121.45 | 72.75 | 166.69 | 100.20 | 52.88 | 121.17 |
| AMFC | 53.84 | 13.01 | 16.86 | 2.07 | 15.95 | 16.04 | 1.63 | 12.55 |
| MCF | 87.59 | 615.34 | 1955.94 | 1174.21 | 190.82 | 1563.21 | 830.22 | 134.92 |
| TFM | 87.72 | 687.00 | 2035.51 | 1182.93 | 172.19 | 1659.12 | 852.75 | 124.13 |
| pH | 60.93 | 3.39 | 3.44 | 0.03 | 0.84 | 3.55 | 0.10 | 2.90 |
| SS | 47.02 | 7.50 | 8.69 | 0.56 | 7.44 | 8.75 | 0.59 | 7.82 |
| TA | 75.12 | 0.78 | 0.66 | −0.09 | −11.52 | 0.80 | 0.02 | 2.25 |
| SS/TA Ratio | 82.91 | 10.15 | 13.64 | 2.90 | 28.57 | 11.61 | 1.21 | 11.92 |
| RS | 60.57 | 2.92 | 3.32 | 0.24 | 8.26 | 3.48 | 0.34 | 11.62 |
| PC | 73.82 | 185.48 | 195.50 | 7.39 | 3.99 | 188.14 | 1.96 | 1.06 |
| TP | 87.87 | 2.07 | 1.80 | −0.24 | −11.52 | 2.17 | 0.09 | 4.29 |
| AA | 84.64 | 70.36 | 85.27 | 12.62 | 17.93 | 76.36 | 5.08 | 7.21 |
| ANT | 93.73 | 39.36 | 52.24 | 12.06 | 30.65 | 51.41 | 11.29 | 28.68 |
| Crossings | Hybrids | Rank Order | NCF * | AMFC | MCF | TFM | pH | SS | TA | SS/TA Ratio | RS | PC | TP | AA | ANT | ||
|---|---|---|---|---|---|---|---|---|---|---|---|---|---|---|---|---|---|
| Fresh Consumption | Processing | ||||||||||||||||
| 1 | ‘Camarosa’ × ‘Sweet Charlie’ | RVCS10 | 1 | 3 | 195 | 17 | 3056 | 3100 | 3.72 | 10.04 | 0.48 | 23.91 | 4.13 | 188.01 | −0.18 | 98.54 | 54.48 |
| 2 | ‘Camarosa’ × ‘Sweet Charlie’ | RVCS04 | 2 | 1 | 185 | 17 | 2837 | 2931 | 3.79 | 9.84 | 0.60 | 17.71 | 4.31 | 236.90 | 0.37 | 80.40 | 50.99 |
| 3 | ‘Camarosa’ × ‘Sweet Charlie’ | RVCS09 | 4 | 4 | 145 | 14 | 1834 | 2160 | 4.05 | 9.44 | 0.58 | 17.76 | 4.41 | 215.12 | 0.53 | 90.63 | 48.19 |
| 4 | ‘Camarosa’ × ‘Sweet Charlie’ | RVCS11 | 3 | 2 | 125 | 16 | 1819 | 1951 | 3.65 | 10.14 | 0.66 | 16.40 | 4.66 | 210.21 | −0.07 | 94.96 | 50.14 |
| 5 | ‘Camarosa’ × ‘Sweet Charlie’ | RVCS07 | 7 | 9 | 135 | 19 | 2339 | 2416 | 3.41 | 9.65 | 0.89 | 10.90 | 3.45 | 168.01 | 0.97 | 80.31 | 38.86 |
| 6 | ‘Camarosa’ × ‘Sweet Charlie’ | RVCS01 | -- | 12 | 135 | 16 | 1977 | 2286 | 3.61 | 8.12 | 0.70 | 12.03 | 3.23 | 155.63 | 1.90 | 74.21 | 50.99 |
| 7 | ‘Camarosa’ × ‘Sweet Charlie’ | RVCS13 | -- | 10 | 55 | 15 | 846 | 1010 | 4.05 | 9.13 | 0.83 | 11.15 | 3.59 | 193.88 | 2.23 | 65.86 | 31.63 |
| 8 | ‘Camarosa’ × ‘Aromas’ | RVCA06 | 14 | 15 | 160 | 17 | 2646 | 2670 | 3.19 | 8.53 | 0.59 | 14.32 | 3.06 | 173.97 | 3.46 | 58.55 | 68.58 |
| 9 | ‘Camarosa’ × ‘Aromas’ | RVCA16 | 8 | -- | 130 | 18 | 2309 | 2334 | 3.23 | 8.51 | 0.56 | 14.91 | 2.85 | 133.74 | 4.10 | 82.78 | 55.48 |
| 10 | ‘Camarosa’ × ‘Aromas’ | RVCA14 | 10 | 7 | 70 | 18 | 1237 | 1283 | 3.39 | 8.64 | 0.64 | 13.56 | 3.00 | 126.84 | 4.76 | 81.00 | 66.68 |
| 11 | ‘MilseyTudla’ × ‘Aromas’ | RVTA16 | -- | 8 | 158 | 16 | 2417 | 2482 | 3.40 | 6.73 | 0.97 | 5.20 | 3.21 | 156.91 | 3.63 | 67.81 | 77.17 |
| 12 | ‘MilseyTudla’ × ‘Aromas’ | RVTA12 | 12 | 14 | 108 | 19 | 2069 | 2095 | 3.35 | 7.80 | 1.03 | 5.75 | 2.96 | 188.30 | 2.28 | 82.73 | 47.42 |
| 13 | ‘MilseyTudla’ × ‘Aromas’ | RVTA09 | 18 | 5 | 28 | 23 | 681 | 733 | 3.51 | 8.50 | 1.13 | 5.40 | 3.11 | 179.40 | 2.10 | 81.80 | 70.60 |
| 14 | ‘MilseyTudla’ × ‘Aromas’ | RVTA20 | 16 | -- | 98 | 14 | 1359 | 1392 | 3.19 | 8.26 | 0.73 | 11.96 | 3.00 | 135.00 | 3.86 | 86.24 | 61.70 |
| 15 | ‘MilseyTudla’ × ‘Aromas’ | RVTA07 | -- | 13 | 28 | 15 | 457 | 491 | 3.62 | 8.27 | 1.03 | 6.41 | 3.13 | 165.75 | 2.49 | 66.11 | 53.88 |
| 16 | ‘MilseyTudla’ × ‘Aromas’ | RVTA05 | -- | 19 | 8 | 14 | 158 | 185 | 3.51 | 9.05 | 1.17 | 5.77 | 2.86 | 188.16 | 2.33 | 81.84 | 78.68 |
| 17 | ‘Sweet Charlie’ × ‘Aromas’ | RVSA14 | 20 | 17 | 115 | 14 | 1601 | 1693 | 3.44 | 7.68 | 0.68 | 11.60 | 3.25 | 229.33 | 2.90 | 68.05 | 43.90 |
| 18 | ‘Sweet Charlie’ × ‘Aromas’ | RVSA15 | -- | 6 | 55 | 16 | 900 | 992 | 3.51 | 8.25 | 0.87 | 9.75 | 3.60 | 190.68 | 3.01 | 60.48 | 45.89 |
| 19 | ‘Sweet Charlie’ × ‘Aromas’ | RVSA12 | -- | 11 | 75 | 13 | 1027 | 1116 | 3.73 | 8.95 | 0.82 | 11.23 | 3.37 | 179.92 | 4.03 | 45.23 | 42.88 |
| 20 | ‘Sweet Charlie’ × ‘Aromas’ | RVSA06 | -- | 18 | 45 | 13 | 641 | 716 | 3.59 | 9.53 | 1.01 | 9.72 | 3.55 | 188.80 | 1.70 | 70.48 | 30.30 |
| 21 | ‘Flórida Festival’ × ‘Aromas’ | RVFA16 | 5 | -- | 91 | 18 | 1579 | 1600 | 3.37 | 9.21 | 0.46 | 16.09 | 3.20 | 184.44 | 0.33 | 98.24 | 58.96 |
| 22 | ‘Flórida Festival’ × ‘Aromas’ | RVFA04 | 13 | -- | 111 | 19 | 2045 | 2156 | 3.28 | 7.62 | 0.50 | 13.15 | 2.90 | 284.31 | 3.00 | 94.48 | 40.71 |
| 23 | ‘Flórida Festival’ × ‘Aromas’ | RVFA14 | 15 | -- | 121 | 15 | 1731 | 1916 | 3.12 | 8.60 | 0.29 | 19.31 | 3.06 | 229.61 | −0.17 | 89.34 | 58.83 |
| 24 | ‘Flórida Festival’ × ‘Aromas’ | RVFA02 | 17 | -- | 121 | 17 | 2029 | 2068 | 3.12 | 8.50 | 0.47 | 14.87 | 3.38 | 123.30 | 0.89 | 81.00 | 67.08 |
| 25 | ‘Dover’ × ‘Aromas’ | RVDA01 | 11 | 20 | 95 | 18 | 1678 | 1766 | 3.40 | 8.21 | 0.84 | 9.44 | 2.79 | 217.51 | 2.51 | 95.11 | 38.69 |
| 26 | ‘Dover’ × ‘Aromas’ | RVDA04 | 19 | -- | 195 | 16 | 3371 | 3385 | 3.73 | 7.96 | 0.91 | 7.93 | 2.42 | 229.30 | 1.64 | 96.78 | 31.82 |
| 27 | ‘MilseyTudla’ × ‘Sweet Charlie’ | RVTS08 | 9 | 16 | 76 | 13 | 1044 | 1105 | 3.50 | 8.43 | 0.58 | 14.14 | 3.97 | 209.43 | 2.47 | 82.99 | 38.12 |
| 28 | ‘Oso Grande’ × ‘MilseyTudla’ | RVOT21 | 6 | -- | 117 | 17 | 1910 | 1954 | 3.70 | 8.16 | 0.61 | 13.76 | 2.48 | 247.32 | 0.23 | 81.40 | 53.44 |
© 2020 by the authors. Licensee MDPI, Basel, Switzerland. This article is an open access article distributed under the terms and conditions of the Creative Commons Attribution (CC BY) license (http://creativecommons.org/licenses/by/4.0/).
Share and Cite
Barth, E.; Resende, J.T.V.d.; Moreira, A.F.P.; Mariguele, K.H.; Zeist, A.R.; Silva, M.B.; Stulzer, G.C.G.; Mafra, J.G.M.; Simões Azeredo Gonçalves, L.; Roberto, S.R.; et al. Selection of Experimental Hybrids of Strawberry Using Multivariate Analysis. Agronomy 2020, 10, 598. https://doi.org/10.3390/agronomy10040598
Barth E, Resende JTVd, Moreira AFP, Mariguele KH, Zeist AR, Silva MB, Stulzer GCG, Mafra JGM, Simões Azeredo Gonçalves L, Roberto SR, et al. Selection of Experimental Hybrids of Strawberry Using Multivariate Analysis. Agronomy. 2020; 10(4):598. https://doi.org/10.3390/agronomy10040598
Chicago/Turabian StyleBarth, Eneide, Juliano Tadeu Vilela de Resende, Aline Fabiana Paladini Moreira, Keny Henrique Mariguele, André Ricardo Zeist, Mayara Barbosa Silva, Gianne Caroline Guidoni Stulzer, João Gabriel Macedo Mafra, Leandro Simões Azeredo Gonçalves, Sergio Ruffo Roberto, and et al. 2020. "Selection of Experimental Hybrids of Strawberry Using Multivariate Analysis" Agronomy 10, no. 4: 598. https://doi.org/10.3390/agronomy10040598
APA StyleBarth, E., Resende, J. T. V. d., Moreira, A. F. P., Mariguele, K. H., Zeist, A. R., Silva, M. B., Stulzer, G. C. G., Mafra, J. G. M., Simões Azeredo Gonçalves, L., Roberto, S. R., & Youssef, K. (2020). Selection of Experimental Hybrids of Strawberry Using Multivariate Analysis. Agronomy, 10(4), 598. https://doi.org/10.3390/agronomy10040598

