Subsoiling Improves the Photosynthetic Characteristics of Leaves and Water Use Efficiency of Rainfed Summer Maize in the Southern Huang-Huai-Hai Plain of China
Abstract
1. Introduction
2. Materials and Methods
2.1. Plant Materials and Culture Conditions
2.2. Experimental Design
2.3. gLAI
2.4. Leaf Gas Exchange Characteristics
2.5. DMA and DMT
2.6. Grain-Filling Characteristics
2.7. Grain Yield
2.8. SWC and WUE
2.9. Statistical Analysis
3. Results
3.1. gLAI
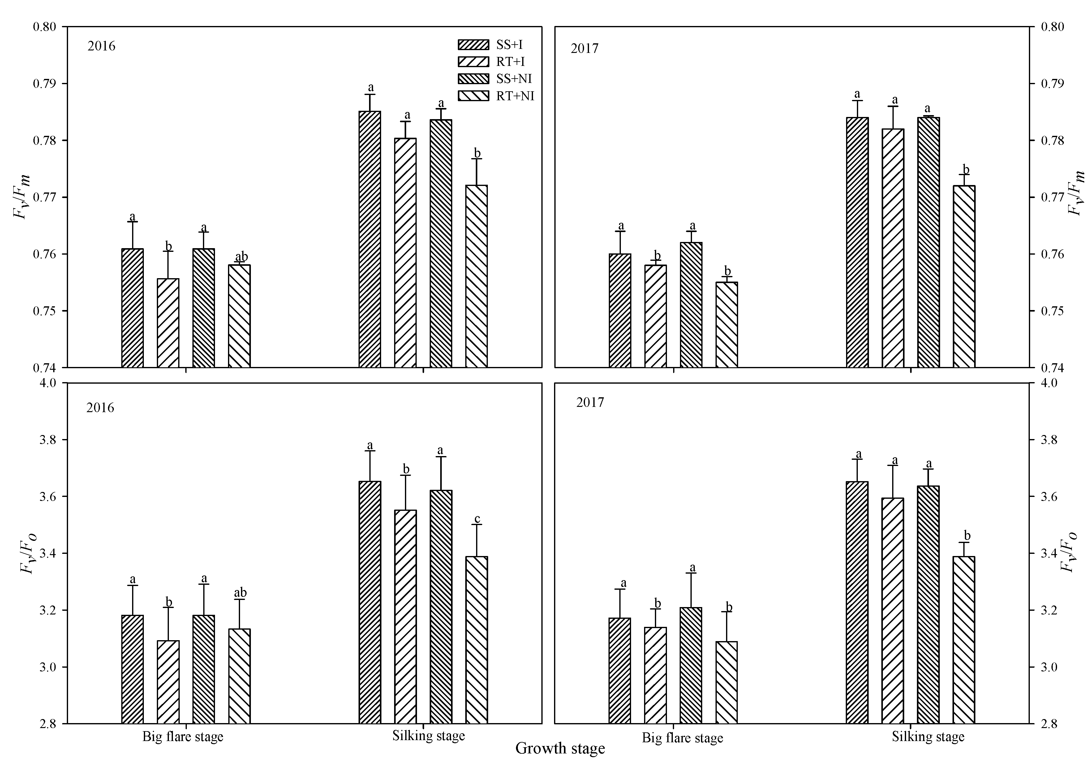
3.2. Leaf Photosynthetic Capacity
3.3. DMA and DMT
3.4. Grain-Filling Characteristics
3.5. Grain Yield and WUE
4. Discussion
4.1. Subsoiling Practice to Improve gLAI and Leaf Photosynthetic Function
4.2. Subsoiling Practice to Increase Grain Yield and WUE
5. Conclusions
Author Contributions
Funding
Conflicts of Interest
References
- Zhai, L.C.; Xu, P.; Zhang, Z.B.; Li, S.K.; Xie, R.Z.; Zhai, L.F. Effects of deep vertical rotary tillage on dry matter accumulation and grain yield of summer maize in the Huang-Huai-Hai Plain of China. Soil Till. Res. 2017, 170, 167–174. [Google Scholar] [CrossRef]
- Liu, Y.; Wang, Y.; Yang, X.G. Trends in reference crop evapotranspiration and possible climatic factors in the North China Plain. Acta Ecol. Sin. 2010, 4, 923–932. [Google Scholar]
- Yang, X.L.; Gao, W.S.; Shi, Q.H.; Chen, F.; Chu, Q.Q. Impact of climate change on the water requirement of summer maize in the Huang-Huai-Hai farming region. Agric. Water Manag. 2013, 124, 20–27. [Google Scholar] [CrossRef]
- Sun, X.F.; Ding, Z.S.; Wang, X.B.; Hou, H.P.; Zhou, B.Y.; Yue, Y.; Ma, W.; Ge, J.Z.; Wang, Z.M.; Zhao, M. Subsoiling practices change root distribution and increase post-anthesis dry matter accumulation and yield in summer maize. PLoS ONE 2017, 12, e0174952. [Google Scholar] [CrossRef] [PubMed]
- Wu, W.M.; Chen, H.J.; Wang, S.J.; Wei, F.Z.; Li, J.C. Effects of nitrogen fertilization application regime on dry matter, nitrogen accumulation and transportation in summer maize under waterlogging at the seedling stage. Acta Agron. Sin. 2015, 41, 1246–1256. [Google Scholar] [CrossRef]
- Ren, B.C.; Zhang, J.W.; Li, X.; Fan, X.; Dong, S.T.; Liu, P.; Zhao, B. Effects of waterlogging on the yield and growth of summer maize under field conditions. Can. J. Plant. Sci. 2014, 94, 23–31. [Google Scholar] [CrossRef]
- Ren, B.C.; Dong, S.T.; Liu, P.; Zhao, B.; Zhang, J.W. Ridge tillage improves plant growth and grain yield of waterlogged summer maize. Agric. Water Manag. 2016, 177, 392–399. [Google Scholar] [CrossRef]
- Richards, M.; Sapkota, T.; Stirling, C.; Thierfelder, C.; Verhulst, N.; Friedrich, T.; Kienzle, J. Conservation Agriculture: Implementation guidance for policymakers and investors. Clim. Smart Agric. 2014. [Google Scholar] [CrossRef]
- Kafesu, N.; Chikowo, R.; Mazarura, U.; Gwenzi, W.; Snapp, S.; Zingore, S. Comparative fertilization effects on maize productivity under conservation and conventional tillage on sandy soils in a smallholder cropping system in Zimbabwe. Field Crop. Res. 2018, 218, 106–114. [Google Scholar] [CrossRef]
- Steward, P.R.; Dougill, A.J.; Thierfelder, C.; Pittelkow, C.M.; Stringer, L.C.; Kudzala, M.; Shackelford, G.E. The adaptive capacity of maize-based conservation agriculture systems to climate stress in tropical and subtropical environment: A meta-regression of yield. Agric. Ecosyst. Environ. 2018, 251, 194–202. [Google Scholar] [CrossRef]
- He, J.; Li, H.W.; Rabi, G.R.; Wang, Q.J.; Cai, G.H.; Su, Y.B.; Qi, X.D.; Liu, L.J. Soil properties and crop yield after 11 years of no tillage farming in wheat-maize cropping system in North China Plain. Soil Till. Res. 2011, 113, 48–54. [Google Scholar] [CrossRef]
- Hou, X.Q.; Li, R.; Jia, Z.K.; Han, Q.F.; Wang, W.; Yang, B.P. Effects of rotational tillage practices on soil properties: Winter wheat yields and water-use efficiency in semi-arid areas of north-west China. Field Crop. Res. 2012, 129, 7–13. [Google Scholar] [CrossRef]
- Václav, S.; Radek, V.; Jana, C.; Helena, K.; Pavel, R. Winter wheat yield and quality related to tillage practice: Input level and environmental conditions. Soil Till. Res. 2013, 132, 77–85. [Google Scholar] [CrossRef]
- Zhang, Y.J.; Wang, R.; Wang, S.L.; Wang, H.; Xu, Z.G.; Jia, G.C.; Wang, X.L.; Li, J. Effects of different sub-soiling frequencies incorporated into no-tillage systems on soil properties and crop yield in dryland wheat-maize rotation system. Field Crop. Res. 2017, 209, 151–158. [Google Scholar] [CrossRef]
- Liu, Z.D.; Qin, A.Z.; Zhao, B.; Ata-UI-Karim, S.T.; Xiao, J.F.; Sun, J.S.; Ning, D.F.; Liu, Z.G.; Nan, J.Q.; Duan, A.W. Yield response of spring maize to inter-row subsoiling and soil water deficit in northern China. PLoS ONE 2016, 11, e0153809. [Google Scholar] [CrossRef]
- Sang, X.G.; Wang, D.; Lin, X. Effects of tillage practices on water consumption characteristics and grain yield of winter wheat under different soil moisture conditions. Soil Till. Res. 2016, 163, 185–194. [Google Scholar] [CrossRef]
- Piao, L.; Qi, H.; Li, C.F.; Zhao, M. Optimized tillage practices and row spacing to improve grain yield and matter transport efficiency in intensive spring maize. Field Crop. Res. 2016, 198, 258–268. [Google Scholar] [CrossRef]
- Wang, X.B.; Zhou, B.Y.; Sun, X.F.; Yue, Y.; Ma, W.; Zhao, M. Soil tillage management affects maize grain yield by regulating spatial distribution coordination of roots, soil moisture and nitrogen status. PLoS ONE 2015, 10, e0129231. [Google Scholar] [CrossRef]
- Singh, K.; Choudhary, O.P.; Singh, H. Effects of sub-soiling on sugarcane productivity and soil properties. J. Sugarcane Res. 2013, 2, 32–36. [Google Scholar] [CrossRef]
- Qin, H.L.; Gao, W.S.; Ma, Y.C.; Ma, L.; Yin, C.M. Effects of subsoiling on soil moisture under no-tillage 2 years later. Sci. Agric. Sinica. 2008, 41, 78–85. [Google Scholar] [CrossRef]
- Liang, J.F.; Qi, Q.Z.; Jia, X.H.; Gong, S.J.; Huang, Y.F. Effects of different tillage managements on soil properties and corn growth. Ecol. Environ. Sci. 2010, 19, 945–950. [Google Scholar] [CrossRef]
- Shi, Y.; Yu, Z.W.; Man, J.G.; Ma, S.Y.; Gao, Z.Q.; Zhang, Y.L. Tillage practices affect dry matter accumulation and grain yield in winter wheat in the North China Plain. Field Crop. Res. 2016, 160, 73–81. [Google Scholar] [CrossRef]
- Hu, H.Y.; Ning, T.Y.; Li, Z.J.; Han, H.F.; Zhang, Z.Z.; Qin, S.J.; Zheng, Y.H. Coupling effects of urea types and subsoiling on nitrogen–water use and yield of different varieties of maize in northern China. Field Crop. Res. 2013, 142, 85–94. [Google Scholar] [CrossRef]
- Qi, W.Z.; Liu, H.H.; Liu, P.; Dong, S.T.; Zhao, B.Q.; So, B.H.; Li, G.; Liu, H.D.; Zhang, J.W.; Zhao, B. Morphological and physiological characteristics of corn (Zea mays L.) roots from cultivars with different yield potentials. Eur. J. Agron. 2012, 38, 54–63. [Google Scholar] [CrossRef]
- Wu, W.M.; Wang, S.J.; Chen, H.J.; Song, Y.H.; Zhang, L.; Chen, P.; Jing, L.L.; Li, J.C. Optimal nitrogen regimes compensate for the impacts of seedling subjected to waterlogging stress in summer maize. PLoS ONE 2018, 13, e0206210. [Google Scholar] [CrossRef] [PubMed]
- Gambin, B.L.; Borras, L.; Otegui, M.E. Source-sink relations and kernel weight differences in maize temperate hybrids. Field Crop. Res. 2006, 95, 316–326. [Google Scholar] [CrossRef]
- Shen, X.S.; Zhu, Y.J.; Guo, T.C.; Li, G.Q.; Qu, H.J. Effects of sulphur application on characteristics of grain filling and grain yield of winter wheat cultivar Yumai 50. Acta Bot. Boreal Occident. Sin. 2007, 27, 1265–1269. [Google Scholar]
- Ma, S.; Yu, Z.W.; Shi, Y.; Gao, Z.Q.; Luo, L.P.; Chu, P.F.; Guo, Z.J. Soil water use, grain yield and water use efficiency of winter wheat in a long-term study of tillage practices and supplemental irrigation on the North China Plain. Agric. Water Manag. 2015, 150, 9–17. [Google Scholar] [CrossRef]
- Wang, T.C.; Wei, L.; Wang, H.Z.; Ma, S.C.; Ma, B.L. Responses of rainwater conservation, precipitation-use efficiency and grain yield of summer maize to a furrow planting and straw-mulching system in northern China. Field Crop. Res. 2011, 124, 223–230. [Google Scholar] [CrossRef]
- Duvick, D.N. The contribution of breeding to yield advances in maize (Zea mays L.). Adv. Agron. 2005, 86, 83–145. [Google Scholar] [CrossRef]
- Doussan, C.; Pierret, A.; Garrigues, E.; Pagès, L. Water uptake by plant roots: II-modelling of water transfer in the soil root-system with explicit account of flow within the root system-comparison with experiments. Plant. Soil. 2006, 283, 99–117. [Google Scholar] [CrossRef]
- Amato, M.; Ritchie, J.T. Spatial distribution of roots and water uptake of maize (Zea mays L.) as affected by soil structure. Crop. Sci. 2002, 42, 773–780. [Google Scholar] [CrossRef]
- Wei, S.S.; Wang, X.Y.; Shi, D.Y.; Li, Y.H.; Zhang, J.W.; Liu, P.; Zhao, B.; Dong, S.T. The mechanisms of low nitrogen induced weakened photosynthesis in summer maize (Zea mays L.) under field conditions. Plant. Physiol. Bioch. 2016, 105, 118–128. [Google Scholar] [CrossRef] [PubMed]
- Nyakudya, I.W.; Stroosnijder, L. Conservation tillage of rainfed maize in semi-arid Zimbabwe: A review. Soil Till. Res. 2015, 145, 184–197. [Google Scholar] [CrossRef]
- He, J.; Li, H.; Wang, X.Y.; McHugh, A.D.; Li, W.Y.; Gao, H.W.; Kuhn, N.J. The adoption of annual subsoiling as conservation tillage in dryland maize and wheat cultivation in northern China. Soil Till. Res. 2007, 94, 493–502. [Google Scholar] [CrossRef]
- Zong, Y.Z.; Shangguan, Z.P. Nitrogen deficiency limited the improvement of photosynthesis in maize by elevated CO2 under drought. J. Integr. Agric. 2014, 1, 73–81. [Google Scholar] [CrossRef]
- Verhulst, N.; Nelissen, V.; Jespers, N.; Haven, H.; Sayre, K.D.; Raes, D.; Deckers, J.; Govaerts, B. Soil water content, maize yield and its stability as affected by tillage and crop residue management in rainfed semi-arid highlands. Plant. Soil. 2011, 344, 73–85. [Google Scholar] [CrossRef]
- Li, C.H.; Ma, B.L.; Zhang, T.Q. Soil bulk density effects on soil microbial populations and enzyme activities during the growth of maize (Zea mays L.) planted in large pots under field exposure. Can. J. Plant. Sci. 2002, 82, 147–154. [Google Scholar] [CrossRef]
- Karuma, A.; Mtakwa, P.; Amuri, N.; Gachene, C.K.; Gicheru, P. Enhancing soil water content for increased food production in semi-arid areas of Kenya. J. Agric. Sci. 2014, 6, 125–134. [Google Scholar] [CrossRef]
- Christian, B.H.; Jesper, R.; Carsten, S. Kemink subsoiling before and after planting. Soil Till. Res. 2005, 80, 59–68. [Google Scholar] [CrossRef]
- Harun, Y.; Engin, C. Tillage effects and energy efficiencies of subsoiling and direct seeding in light soil on yield of second crop corn for silage in Western Turkey. Soil Till. Res. 2006, 90, 250–255. [Google Scholar] [CrossRef]
- Raper, R.L.; Reeves, D.W.; Shaw, J.N.; Santen, E.V.; Mask, P.L. Benefits of site specific subsoiling for cotton production in Coastal Plain soils. Soil Till. Res. 2007, 96, 174–181. [Google Scholar] [CrossRef]






| Month | 2016 | 2017 | ||
|---|---|---|---|---|
| Total Precipitation (mm) | Mean Temperature (°C) | Total Precipitation (mm) | Mean Temperature (°C) | |
| January | 49.4 | 3.4 | 60.9 | 5.4 |
| February | 17.6 | 6.7 | 40.6 | 6.4 |
| March | 57.4 | 11.9 | 68.4 | 10.8 |
| April | 139.4 | 18.0 | 64.2 | 18.0 |
| May | 125 | 20.7 | 123.6 | 23.1 |
| June | 191 | 24.6 | 49.9 | 25.7 |
| July | 295 | 28.8 | 63.5 | 30.8 |
| August | 60.4 | 29.4 | 243.2 | 28.1 |
| September | 129 | 24.4 | 111.6 | 23.2 |
| October | 268.1 | 17.8 | 97.5 | 16.4 |
| November | 96 | 11.2 | 10.8 | 16.4 |
| December | 73.7 | 7.0 | 13.6 | 11.8 |
| Amount during June and September | 675.4 | − | 468.2 | − |
| Total amount | 1502 | − | 947.8 | − |
| Soil Nutrient | Content |
|---|---|
| Organic matter (g kg−1) | 21.6 |
| Hydrolysable N (mg kg−1) | 118.4 |
| Available phosphorus (mg kg−1) | 25.4 |
| Available K (mg kg−1) | 269.6 |
| Soil Depth (cm) | ||||||||
|---|---|---|---|---|---|---|---|---|
| 0–10 | 10–20 | 20–30 | 30–40 | 40–50 | 50–60 | |||
| 2016 | SS | SBD (g cm−3) | 1.47 c | 1.49 bc | 1.57 ab | 1.62 a | 1.55 ab | 1.51 b |
| SWC (%) | 19.27 b | 19.86 b | 20.24 ab | 21.69 a | 22.80 a | 23.61 a | ||
| RT | SBD (g cm−3) | 1.57 a | 1.64 b | 1.58 a | 1.56 a | 1.56 a | 1.57 a | |
| SWC (%) | 19.69 a | 19.47 a | 20.10 a | 21.45 a | 21.56 a | 22.30 a | ||
| 2017 | SS | SBD (g cm−3) | 1.46 c | 1.49 bc | 1.52 ab | 1.58 a | 1.51 ab | 1.49 b |
| SWC (%) | 14.52 b | 15.36 b | 16.75 a | 17.42 a | 17.96 a | 18.29 a | ||
| RT | SBD (g cm−3) | 1.59 a | 1.62 a | 1.61 a | 1.58 a | 1.57 a | 1.57 a | |
| SWC (%) | 14.53 a | 15.21 a | 15.89 a | 16.74 a | 16.87 a | 17.02 a | ||
| Growth Stage | Treatment | 2016 | 2017 | ||||||||
|---|---|---|---|---|---|---|---|---|---|---|---|
| Pn μmol m−2 s−1 | gs mmol m−2 s−1 | ci μmol mol−1 | Tr mmol m−2 s−1 | Ls | Pn μmol m−2 s−1 | gs mmol m−2 s−1 | ci μmol mol−1 | Tr mmol m−2 s−1 | Ls | ||
| Big Flare Stage | SS + I | 29.7 ± 2.1 a | 169.4 ± 25.9 b | 69.0 ± 15.4 c | 6.6 ± 0.8 a | 82.7 | 35.4 ± 1.6 a | 258.1 ± 30.4 a | 109.3 ± 18.3 a | 8.8 ± 0.7 a | 72.7 |
| RT + I | 27.7 ± 1.3 ab | 168.6 ± 30.8 b | 112.4 ± 16.0 b | 5.4 ± 0.4 b | 71.9 | 33.5 ± 2.3 ab | 214.2 ± 43.8 b | 83.5 ± 22.1 b | 7.0 ± 1.0 ab | 79.1 | |
| SS + NI | 27.2 ± 1.8 ab | 144.7 ± 35.4 c | 157.0 ± 21.0 c | 5.6 ± 0.4 b | 60.7 | 34.2 ± 1.9 a | 244.7 ± 24.9 a | 112.2 ± 33.7 a | 5.6 ± 0.4 b | 72.0 | |
| RT + NI | 26.8 ± 1.4 b | 210.9 ± 36.8 a | 153.4 ± 16.8 a | 7.0 ± 0.7 a | 61.6 | 32.9 ± 2.6 b | 199.0 ± 28.0 b | 91.3 ± 16.2 b | 6.6 ± 0.6 b | 77.2 | |
| Silking Stage | SS + I | 36.5 ± 2.6 a | 398.1 ± 21.3 a | 179.2 ± 23.1 a | 5.5 ± 0.1 a | 55.2 | 32.1 ± 2.6 a | 327.0 ± 26.7 a | 171.2 ± 4.2 a | 4.8 ± 0.2 a | 57.2 |
| RT + I | 30.5 ± 3.0 b | 281.1 ± 25.4 b | 172.3 ± 25.4 a | 3.8 ± 0.2 b | 56.9 | 27.8 ± 1.2 b | 251.8 ± 11.4 b | 171.0 ± 21.5 a | 3.6 ± 0.1 a | 57.2 | |
| SS + NI | 27.3 ± 1.5 bc | 145.2 ± 29.4 d | 142.1 ± 21.0 b | 2.5 ± 0.1 b | 64.5 | 27.7 ± 2.4 b | 212.2 ± 38.7 c | 158.1 ± 22.1 b | 3.8 ± 0.7 a | 60.5 | |
| RT + NI | 24.7 ± 2.7 c | 204.8 ± 30.1 c | 175.8 ± 23.8 a | 3.2 ± 0.3 b | 56.1 | 25.8 ± 1.8 b | 208.1 ± 38.1 c | 175.5 ± 12.4 a | 3.1 ± 0.4 a | 56.1 | |
| Mid- filling Stage | SS + I | 31.7 ± 1.2 a | 241.6 ± 26.5 a | 144.4 ± 20.8 b | 4.3 ± 0.4 a | 63.9 | 33.4 ± 2.3 a | 281.6 ± 26.1 a | 241.8 ± 8.9 a | 4.3 ± 0.4 b | 39.5 |
| RT + I | 24.0 ± 1.5 b | 163.6 ± 24.1 b | 153.0 ± 24.4 b | 2.2 ± 0.1 b | 61.7 | 26.9 ± 1.0 b | 234.9 ± 26.5 b | 195.2 ± 15.7 b | 2.9 ± 0.3 b | 51.2 | |
| SS + NI | 22.5 ± 1.1 b | 281.6 ± 27.1 a | 144.9 ± 23.4 a | 4.1 ± 0.2 a | 63.8 | 27.9 ± 1.3 b | 239.0 ± 28.2 b | 178.1 ± 21.3 c | 6.3 ± 0.5 a | 55.5 | |
| RT + NI | 21.7 ± 1.2 b | 145.9 ± 22.5 b | 142.1 ± 22.0 b | 2.3 ± 0.3 b | 64.5 | 24.7 ± 1.1 c | 240.5 ± 31.2 b | 166.4 ± 20.0 c | 3.0 ± 0.5 b | 58.4 | |
| Growth Stage | Treatment | 2016 | 2017 | ||
|---|---|---|---|---|---|
| ΦPSII | qP | ΦPSII | qP | ||
| Big flare stage | SS + I | 0.562 ± 0.006 a | 0.81 ± 0.008 a | 0.598 ± 0.008 a | 0.824 ± 0.006 a |
| RT + I | 0.515 ± 0.008 b | 0.772 ± 0.006 b | 0.583 ± 0.034 a | 0.881 ± 0.032 a | |
| SS + NI | 0.573 ± 0.007 a | 0.798 ± 0.006 a | 0.589 ± 0.009 a | 0.842 ± 0.015 a | |
| RT + NI | 0.542 ± 0.010 c | 0.731 ± 0.006 c | 0.577 ± 0.015 a | 0.808 ± 0.026 a | |
| Silking stage | SS + I | 0.620 ± 0.005 a | 0.812 ± 0.010 ab | 0.629 ± 0.005 a | 0.882 ± 0.023 a |
| RT + I | 0.601 ± 0.008 ab | 0.805 ± 0.009 ab | 0.626 ± 0.005 ab | 0.835 ± 0.016 ab | |
| SS + NI | 0.615 ± 0.006 ab | 0.803 ± 0.006 b | 0.618 ± 0.001 ab | 0.814 ± 0.006 ab | |
| RT + NI | 0.592 ± 0.009 b | 0.842 ± 0.018 a | 0.614 ± 0.002 b | 0.806 ± 0.005 b | |
| Treatment | DMT before the Silking Stage (kg ha−1) | Contribution of DMT before the Silking Stage to Grain (%) | DMA at the Post Silking Stage (kg ha−1) | CDMGW (%) |
|---|---|---|---|---|
| 2016 | ||||
| SS + I | 1651.9 | 16.9 | 8147.2 | 83.1 |
| RT + I | 1664.6 | 17.3 | 7976.7 | 82.7 |
| SS + NI | 1807.0 | 18.8 | 7779.8 | 81.2 |
| RT + NI | 2290.2 | 26.1 | 6499.9 | 73.9 |
| 2017 | ||||
| SS + I | 1784.8 | 16.8 | 8867.6 | 83.2 |
| RT + I | 2247.2 | 22.5 | 7746.4 | 77.5 |
| SS + NI | 3159.7 | 30.3 | 7256.3 | 69.7 |
| RT + NI | 2573.9 | 30.7 | 5822.4 | 69.3 |
| Treatment | Simulative Equation | R2 | K | Tm | Vm | T | Va | T1 | T2 | T3 | V1 | V2 | V3 |
|---|---|---|---|---|---|---|---|---|---|---|---|---|---|
| SS + I | Y = 35.8164 / (1 + e(1.9395 − 0.114032x)) | 0.9884 | 35.62 | 17.01 | 1.02 | 57.31 | 0.63 | 5.46 | 23.10 | 28.75 | 1.39 | 0.90 | 0.51 |
| RT + I | Y = 32.7234 / (1 + e(1.9054 − 0.117603x)) | 0.9683 | 32.72 | 16.20 | 0.96 | 55.28 | 0.59 | 5.00 | 22.40 | 27.87 | 1.38 | 0.84 | 0.48 |
| SS + NI | Y = 33.4501 / (1 + e(2.1150 − 0.12783x)) | 0.9708 | 33.45 | 17.37 | 1.02 | 55.10 | 0.61 | 6.55 | 21.63 | 26.92 | 1.08 | 0.89 | 0.51 |
| RT + NI | Y = 31.7224 / (1 + e(2.0912 − 0.127825x)) | 0.9423 | 31.72 | 16.36 | 1.01 | 52.31 | 0.61 | 6.06 | 20.61 | 25.65 | 1.11 | 0.89 | 0.51 |
| CV (%) | 2.88 | 3.01 | 2.13 | 3.49 | 5.29 | 2.14 | 2.14 | 7.21 | 3.01 | 3.01 | |||
| Treatment | Yield (kg ha−1) | 100-kernel Weight (g) | Kernels Per Year | Yield Increase Rate (%) | WUE (%) |
|---|---|---|---|---|---|
| 2016 | |||||
| SS + I | 9003.4 ± 264.0 a | 38.0 ± 2.2 a | 490.7 ± 9.2 a | 17.7 | 14.0 ± 1.3 a |
| RT + I | 8418.1 ± 243.1 a | 37.9 ± 1.4 a | 452.9 ± 5.3 b | 10.1 | 13.0 ± 0.5ab |
| SS + NI | 8509.2 ± 156.9 a | 37. 9 ± 0.6 a | 465.3 ± 3.8 b | 11.2 | 13.7 ± 0.1 ab |
| RT + NI | 7649.3 ± 189.4 b | 37.1 ± 1.1 a | 401.9 ± 2.9 c | − | 12.4 ± 0.3 b |
| 2017 | |||||
| SS + I | 9520.0 ± 141.1 a | 36.4 ± 1.0 a | 465.8 ± 19.5 a | 29.3 | 22.0 ± 0.3 a |
| RT + I | 8370.0 ± 511.2 b | 36.1 ± 1.5 a | 421.5 ± 44.5 b | 13.7 | 19.7 ± 0.4 b |
| SS + NI | 8100.0 ± 365.0 bc | 36.0 ± 0.8 a | 443.4 ± 32.2 a | 10.0 | 20.1 ± 0.9b |
| RT + NI | 7363.3 ± 296.0 c | 36.1 ± 0.5 a | 397.3 ± 21.9 b | − | 18.6 ± 0.6 b |
© 2020 by the authors. Licensee MDPI, Basel, Switzerland. This article is an open access article distributed under the terms and conditions of the Creative Commons Attribution (CC BY) license (http://creativecommons.org/licenses/by/4.0/).
Share and Cite
Wu, W.; Wang, S.; Zhang, L.; Li, J.; Song, Y.; Peng, C.; Chen, X.; Jing, L.; Chen, H. Subsoiling Improves the Photosynthetic Characteristics of Leaves and Water Use Efficiency of Rainfed Summer Maize in the Southern Huang-Huai-Hai Plain of China. Agronomy 2020, 10, 465. https://doi.org/10.3390/agronomy10040465
Wu W, Wang S, Zhang L, Li J, Song Y, Peng C, Chen X, Jing L, Chen H. Subsoiling Improves the Photosynthetic Characteristics of Leaves and Water Use Efficiency of Rainfed Summer Maize in the Southern Huang-Huai-Hai Plain of China. Agronomy. 2020; 10(4):465. https://doi.org/10.3390/agronomy10040465
Chicago/Turabian StyleWu, Wenming, Shiji Wang, Lin Zhang, Jincai Li, Youhong Song, Chen Peng, Xiang Chen, Lili Jing, and Hongjian Chen. 2020. "Subsoiling Improves the Photosynthetic Characteristics of Leaves and Water Use Efficiency of Rainfed Summer Maize in the Southern Huang-Huai-Hai Plain of China" Agronomy 10, no. 4: 465. https://doi.org/10.3390/agronomy10040465
APA StyleWu, W., Wang, S., Zhang, L., Li, J., Song, Y., Peng, C., Chen, X., Jing, L., & Chen, H. (2020). Subsoiling Improves the Photosynthetic Characteristics of Leaves and Water Use Efficiency of Rainfed Summer Maize in the Southern Huang-Huai-Hai Plain of China. Agronomy, 10(4), 465. https://doi.org/10.3390/agronomy10040465
