Root−to−Shoot Signaling and Leaf Water−Use Efficiency in Peach Trees under Localized Irrigation
Abstract
1. Introduction
2. Materials and Methods
2.1. Experimental Design and Plant Material
2.2. Soil Moisture
2.3. Leaf to Root Ratio
2.4. Shoot and Fruit Growth, Yield, and Fruit Quality
2.5. Leaf Gas Exchange, Water−Use Efficiency, and Water Potential
2.6. Xylem Sap Sampling and pH Determination
2.7. Hormone Extraction and Determination
2.8. Statistical Analyses
3. Results
3.1. Environmental Conditions and Soil Moisture
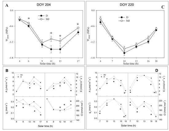
3.2. Water Status, Vegetative and Productive Traits
3.3. Leaf Gas Exchange
3.4. ABA
3.5. IAA
3.6. ABA/IAA Ratios and Xylem Sap pH
4. Discussion
4.1. Tree Water Status, Shoot and Fruit Growth, and Root ABA Concentrations
4.2. Gas Exchange, Xylem Sap pH, and Hormones
5. Conclusions
Supplementary Materials
Author Contributions
Acknowledgments
Conflicts of Interest
References
- Wilkinson, S.; Davies, W.J. ABA−based chemical signalling: The coordination of responses to stress in plants. Plant Cell Environ. 2002, 25, 195–210. [Google Scholar] [CrossRef]
- Davies, W.J.; Zhang, J.H. Root signals and the regulation of growth and development of plants in drying soil. Annu Rev Plant Physiol. Plant Mol. Biol. 1991, 42, 55–76. [Google Scholar] [CrossRef]
- Huntingford, C.; Smith, D.M.; Davies, W.J.; Falk, R.; Sitchd, S.; Mercado, L.M. Combining the [ABA] and net photosynthesis−based model equations of stomatal conductance. Ecol. Model. 2015, 300, 81–88. [Google Scholar] [CrossRef]
- Shabala, S.; White, R.G.; Djordjevic, M.A.; Ruan, Y.L.; Mathesius, U. Root−to−shoot signalling: Integration of diverse molecules, pathways and functions. Funct. Plant Biol. 2016, 43, 87–104. [Google Scholar] [CrossRef]
- Davies, W.J.; Kudoyarova, G.; Hartung, W. Long−distance ABA signaling and its relation to other signaling pathways in the detection of soil drying and the mediation of the plant’s response to drought. J. Plant Growth Regul. 2005, 24, 285–295. [Google Scholar] [CrossRef]
- Gollan, T.; Passioura, J.B.; Munns, R. Soil−water status affects the stomatal conductance of fully turgid wheat and sunflower leaves. Aust. J. Plant Physiol. 1986, 13, 459–464. [Google Scholar]
- Blum, A. Plant Breeding for Water−Limited Environments; Springer: New York, NY, USA, 2011. [Google Scholar]
- Correia, M.J.; Rodrigues, M.L.; Ferreira, M.I.; Pereir, J.S. Diurnal change in the relationship between stomatal conductance and abscisic acid in the xylem sap of field−grown peach trees. J. Exp. Bot. 1997, 48, 1727–1736. [Google Scholar] [CrossRef]
- Schultz, H.R. Differences in hydraulic architecture account for near isohydric and anisohydric behaviour of two field−grown Vitis vinifera L. cultivars during drought. Plant Cell Environ. 2003, 26, 1393–1405. [Google Scholar] [CrossRef]
- Tardieu, F.; Lafarge, T.; Simonneau, T. Stomatal control by fed or endogenous xylem ABA in sunflower: Interpretation of correlations between leaf water potential and stomatal conductance in anisohydric species. Plant Cell Environ. 1996, 19, 75–84. [Google Scholar] [CrossRef]
- Hartung, W.; Radin, J.W.; Hendrix, D.L. Abscisic−acid movement into the apoplastic solution of water−stressed cotton leaves—Role of apoplastic pH. Plant Physiol. 1988, 86, 908–913. [Google Scholar] [CrossRef] [PubMed]
- Mingo, D.M.; Bacon, M.A.; Davies, W.J. Non-hydraulic regulation of fruit growth in tomato plants (Lycopersicon esculentum cv. Solairo) growing in drying soil. J. Exp. Bot. 2003, 54, 1205–1212. [Google Scholar] [CrossRef] [PubMed]
- Ali, M.; Jensen, C.R.; Mogensen, V.O.; Andersen, M.N.; Henson, I.E. Root signalling and osmotic adjustment during intermittent soil drying sustain grain yield of field grown wheat. Field Crop Res. 1999, 62, 35–52. [Google Scholar] [CrossRef]
- Grossmann, K.; Hansen, H. Ethylene-triggered abscisic acid: A principle in plant growth regulation? Physiol. Plant 2001, 113, 9–14. [Google Scholar] [CrossRef]
- Delker, C.; Raschke, A.; Quint, M. Auxin dynamics: The dazzling complexity of a small molecule’s message. Planta 2008, 227, 929–941. [Google Scholar] [CrossRef]
- Sofo, A.; Scopa, A.; Manfra, M.; De Nisco, M.; Tenore, G.; Troisi, J.; Di Fiori, R.; Novellino, E. Trichoderma harzianum strain T−22 induces changes in phytohormone levels in cherry rootstocks (Prunus cerasus x P. canescens). Plant Growth Regul. 2011, 65, 421–425. [Google Scholar] [CrossRef]
- Fereres, E.; Soriano, M.A. Deficit irrigation for reducing agricultural water use. J. Exp. Bot. 2007, 58, 147–159. [Google Scholar] [CrossRef]
- Ayars, J.E.; Johnson, R.S.; Phene, C.J.; Trout, T.J.; Clark, D.A.; Mead, R.M. Water use by drip irrigated late−season peaches. Irrig. Sci. 2003, 22, 187–194. [Google Scholar] [CrossRef]
- Dos Santos, T.P.; Lopes, C.M.; Rodrigues, M.L.; de Souza, C.R.; Maroco, J.P.; Pereira, J.S.; Silva, J.R.; Chaves, M.M. Partial rootzone drying: Effects on growth and fruit quality of field−grown grapevines (Vitis vinifera). Funct. Plant Biol. 2003, 30, 663–671. [Google Scholar] [CrossRef]
- Xiloyannis, C.; Montanaro, G.; Dichio, B. Irrigation in Mediterranean fruit tree orchards. In Irrigation Systems and Practices in Challenging Environments; Shui, L.T., Ed.; Intech: Rijeka, Croatia, 2012; pp. 321–342. [Google Scholar]
- Buesa, I.; Badal, E.; Guerra, D.; Ballester, C.; Bonet, L.; Intrigliolo, D.S. Regulated deficit irrigation in persimmon trees (Diospyros kaki) cv. ‘Rojo Brillante’. Sci. Hortic. 2013, 159, 134–142. [Google Scholar] [CrossRef]
- Dichio, B.; Xiloyannis, C.; Sofo, A.; Montanaro, G. Effects of post−harvest regulated deficit irrigation on carbohydrate and nitrogen partitioning, yield quality and vegetative growth of peach trees. Plant Soil 2007, 290, 127–137. [Google Scholar] [CrossRef]
- Einhorn, T.C.; Caspari, H.W.; Green, S. Total soil water content accounts for augmented ABA leaf concentration and stomatal regulation of split−rooted apple trees during heterogeneous soil drying. J. Exp. Bot. 2012, 63, 5365–5376. [Google Scholar] [CrossRef] [PubMed]
- Romero, P.; Dodd, I.C.; Martinez-Cutillas, A. Contrasting physiological effects of partial root zone drying in field−grown grapevine (Vitis vinifera L. cv. Monastrell) according to total soil water availability. J. Exp. Bot. 2012, 63, 4071–4083. [Google Scholar] [CrossRef] [PubMed][Green Version]
- Lo Bianco, R.; Talluto, G.; Farina, V. Effects of partial rootzone drying and rootstock vigour on dry matter partitioning of apple trees (Malus domestica cvar Pink Lady). J. Agric. Sci. 2012, 150, 75–86. [Google Scholar] [CrossRef]
- Mossad, A.; Farina, V.; Lo Bianco, R. Fruit Yield and Quality of ‘Valencia’ Orange Trees under Long−Term Partial Rootzone Drying. Agronomy 2020, 10, 164. [Google Scholar] [CrossRef]
- Montanaro, G.; Dichio, B.; Bati, B.C.; Xiloyannis, C. Soil management affects carbon dynamics and yield in a Mediterranean peach orchard. Agric. Ecosyst. Environ. 2012, 161, 46–54. [Google Scholar] [CrossRef]
- Fernandez, J.E.; Palomo, M.J.; Diaz-Espejo, A.; Giron, I.F. Influence of partial soil wetting on water relation parameters of the olive tree. Agronomie 2003, 23, 545–552. [Google Scholar] [CrossRef]
- Puértolas, J.; Conesa, M.R.; Ballester, C.; Dodd, I.C. Local root abscisic acid (ABA) accumulation depends on the spatial distribution of soil moisture in potato: Implications for ABA signalling under heterogeneous soil drying. J. Exp. Bot. 2015, 66, 2325–2334. [Google Scholar] [CrossRef]
- Lovelli, S.; Scopa, A.; Perniola, M.; Di Tommaso, T.; Sofo, A. Abscisic acid root and leaf concentration in relation to biomass partitioning in salinized tomato plants. J. Plant Physiol. 2012, 169, 226–233. [Google Scholar] [CrossRef]
- Snedecor, G.W.; Cochran, W.G. Statistical Methods, 8th ed.; Iowa State University Press: Iowa City, IA, USA, 1989; pp. 113–128. [Google Scholar]
- Choné, X.; Van Leeuwen, C.; Dubourdieu, D.; Gaudillère, J.P. Stem water potential is a sensitive indicator of grapevine water status. Ann. Bot. 2001, 87, 477–483. [Google Scholar] [CrossRef]
- Garnier, E.; Berger, A. Testing water potential in peach trees as an indicator of water stress. J. Hortic. Sci. 1985, 60, 47–56. [Google Scholar] [CrossRef]
- Remorini, D.; Massai, R. Comparison of water status indicators for young peach trees. Irrig. Sci. 2003, 22, 39–46. [Google Scholar] [CrossRef]
- Naor, A.; Naschitz, S.; Peres, M.; Gal, Y. Responses of apple fruit size to tree water status and crop load. Tree Physiol. 2008, 28, 1255–1261. [Google Scholar] [CrossRef]
- Xu, W.; Jia, L.; Shi, W.; Liang, J.; Zhou, F.; Li, Q.; Zhang, J. Abscisic acid accumulation modulates auxin transport in the root tip to enhance proton secretion for maintaining root growth under moderate water stress. New Phytol. 2013, 197, 139–150. [Google Scholar] [CrossRef]
- Brunner, I.; Herzog, C.; Dawes, M.A.; Arend, M.; Sperisen, C. How tree roots respond to drought. Front. Plant Sci. 2015, 6, 547. [Google Scholar] [CrossRef] [PubMed]
- Martin-Vertedor, A.I.; Dodd, I.C. Root-to-shoot signalling when soil moisture is heterogeneous: Increasing the proportion of root biomass in drying soil inhibits leaf growth and increases leaf abscisic acid concentration. Plant Cell Environ. 2011, 34, 1164–1175. [Google Scholar] [CrossRef] [PubMed]
- Saab, I.N.; Sharp, R.E. Non−hydraulic signals from maize roots in drying soil: Inhibition of leaf elongation but not stomatal conductance. Planta 1989, 179, 466–474. [Google Scholar] [CrossRef]
- Seo, M.; Koshiba, T. Transport of ABA from the site of biosynthesis to the site of action. J. Plant Res. 2011, 124, 501–507. [Google Scholar] [CrossRef]
- Tardieu, F.; Parent, B.; Simonneau, T. Control of leaf growth by abscisic acid: Hydraulic or non−hydraulic processes? Plant Cell Environ. 2010, 33, 636–647. [Google Scholar] [CrossRef]
- Xiloyannis, C.; Uriu, K.; Martin, G.C. Seasonal and diurnal variations in abscisic acid, water potential, and diffusive resistance in leaves from irrigated and non−irrigated peach trees. J. Am. Soc. Hortic. Sci. 1980, 105, 412–415. [Google Scholar]
- Trejo, C.L.; Davies, W.J. Drought−induced closure of Phaseolus vulgaris stomata precedes leaf water defict and any increase in xylem ABA concentration. J. Exp. Bot. 1991, 42, 1507–1516. [Google Scholar] [CrossRef]
- Zhang, J.; Davies, W.J. Changes in the concentration of ABA in xylem sap as a function of changing soil−water status can account for changes in leaf conductance and growth. Plant Cell Environ. 1990, 13, 277–285. [Google Scholar] [CrossRef]
- Wartinger, A.; Heilmeier, H.; Hartung, W.; Schulze, E. Daily and seasonal courses of leaf conductance and abscisic acid in the xylem sap of almond trees [Prunus dulcis (Miller) D. A. Webb] under desert conditions. New Phytol. 1990, 116, 581–587. [Google Scholar] [CrossRef]
- Hartung, W.; Slovik, S. Physicochemical properties of plant−growth regulators and plant−tissues determine their distribution and redistribution—Stomatal regulation by abscisic−acid in leaves. New Phytol. 1991, 119, 361–382. [Google Scholar] [CrossRef]
- Hartung, W.; Sauter, A.; Hose, E. Abscisic acid in the xylem: Where does it come from, where does it go to? J. Exp. Bot. 2002, 53, 27–32. [Google Scholar] [CrossRef] [PubMed]
- Kaiser, W.M.; Hartung, W. Uptake and release of abscisic acid by isolated photoautotrophic mesophyll cells, depending on pH gradients. Plant Physiol. 1981, 68, 202–206. [Google Scholar] [CrossRef]
- Slovik, S.; Hartung, W. Compartmental distribution and redistribution of abscisic acid in intact leaves. Planta 1992, 187, 26–36. [Google Scholar] [CrossRef]
- Basile, B.; Bryla, D.R.; Salsman, M.L.; Marsal, J.; Cirillo, C.; Johnson, R.S.; DeJong, T.M. Growth patterns and morphology of fine roots of size−controlling and invigorating peach rootstocks. Tree Physiol. 2007, 27, 231–241. [Google Scholar] [CrossRef]
- Nuzzo, V.; Dichio, B.; Xiloyannis, C. Canopy development and light interception in peach trees trained to transverse Y and delayed vase in the first four years after planting. Acta Hortic. 2002, 592, 405–412. [Google Scholar] [CrossRef]








| Irrigation Method | Irrigation Volume (m3/tree−1) | Yield (kg FW Tree−1) | Fruit FW (g Fruit−1) | Firmness (kg cm−2) | Soluble Sugar (°Br) |
|---|---|---|---|---|---|
| Microjet | 9.19 | 13.92 ± 2.36a | 132 ± 0.0031 a | 3.84 ± 0.15 a | 9.52 ± 0.17 a |
| Drip | 3.14 | 13.16 ± 1.09a | 134 ± 0.0027 a | 3.43 ± 0.13 b | 9.98 ± 0.19 b |
© 2020 by the authors. Licensee MDPI, Basel, Switzerland. This article is an open access article distributed under the terms and conditions of the Creative Commons Attribution (CC BY) license (http://creativecommons.org/licenses/by/4.0/).
Share and Cite
Xylogiannis, E.; Sofo, A.; Dichio, B.; Montanaro, G.; Mininni, A.N. Root−to−Shoot Signaling and Leaf Water−Use Efficiency in Peach Trees under Localized Irrigation. Agronomy 2020, 10, 437. https://doi.org/10.3390/agronomy10030437
Xylogiannis E, Sofo A, Dichio B, Montanaro G, Mininni AN. Root−to−Shoot Signaling and Leaf Water−Use Efficiency in Peach Trees under Localized Irrigation. Agronomy. 2020; 10(3):437. https://doi.org/10.3390/agronomy10030437
Chicago/Turabian StyleXylogiannis, Evangelos, Adriano Sofo, Bartolomeo Dichio, Giuseppe Montanaro, and Alba N. Mininni. 2020. "Root−to−Shoot Signaling and Leaf Water−Use Efficiency in Peach Trees under Localized Irrigation" Agronomy 10, no. 3: 437. https://doi.org/10.3390/agronomy10030437
APA StyleXylogiannis, E., Sofo, A., Dichio, B., Montanaro, G., & Mininni, A. N. (2020). Root−to−Shoot Signaling and Leaf Water−Use Efficiency in Peach Trees under Localized Irrigation. Agronomy, 10(3), 437. https://doi.org/10.3390/agronomy10030437

