Spatial and Temporal Variability of Soil Redox Potential, pH and Electrical Conductivity across a Toposequence in the Savanna of West Africa
Abstract
1. Introduction
2. Materials and Methods
2.1. Study Area
2.2. Experimental Design
2.3. Measurement of Electrochemical Soil Parameters
2.3.1. Measurement of Soil Redox Potential (Eh)
2.3.2. Measurement of Soil pH and Temperature
2.3.3. Measurement of Soil Humidity and Electrical Conductivity
2.4. Statistical Analyses
3. Results
3.1. Rainfall and Air Temperature
3.2. Soil Moisture
3.3. Soil Temperature Variation
3.4. Electrical Conductivity Variation
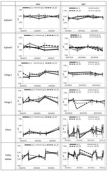
3.5. Soil pH Variation
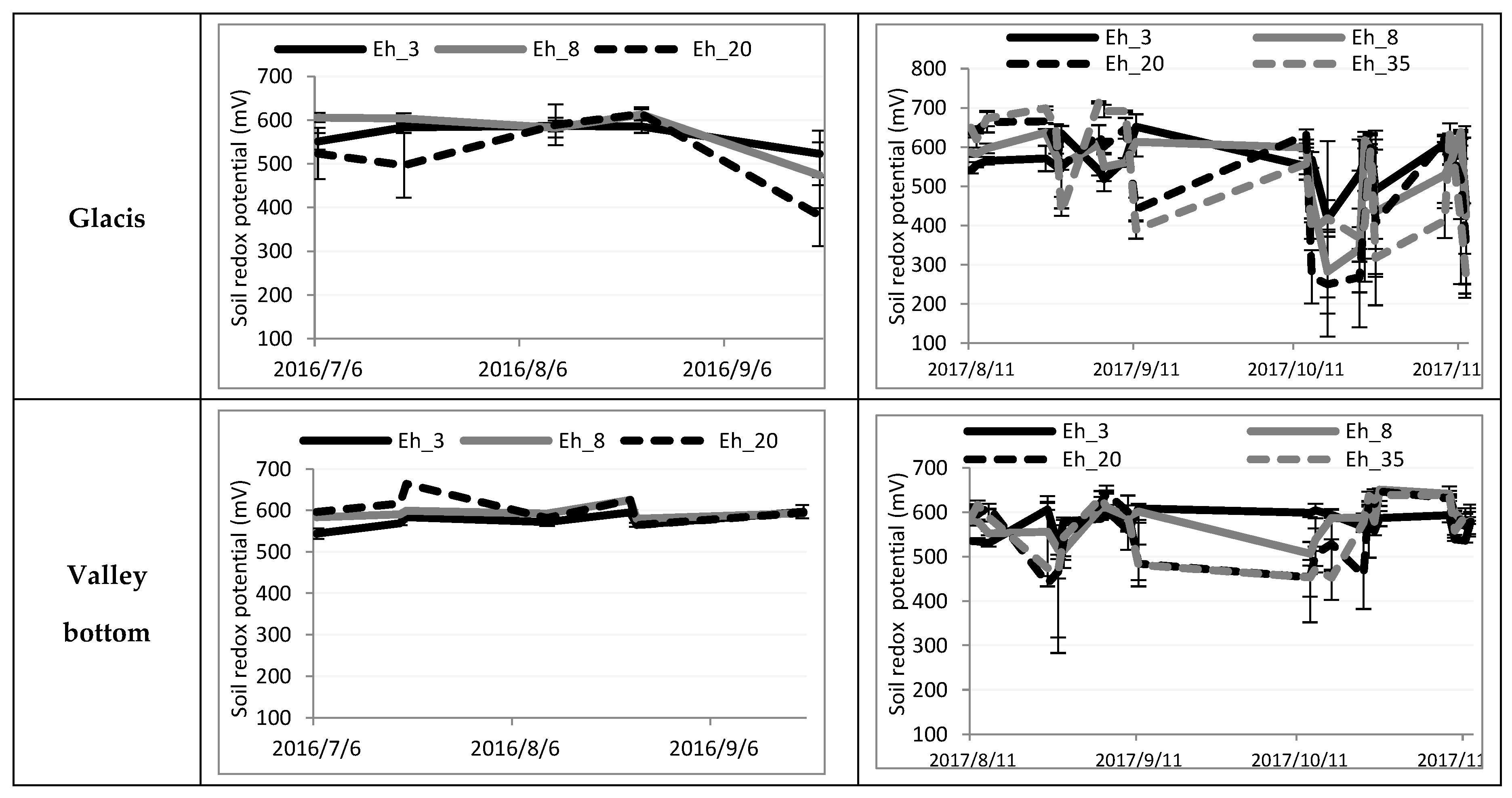
3.6. Soil Redox Potential Variation
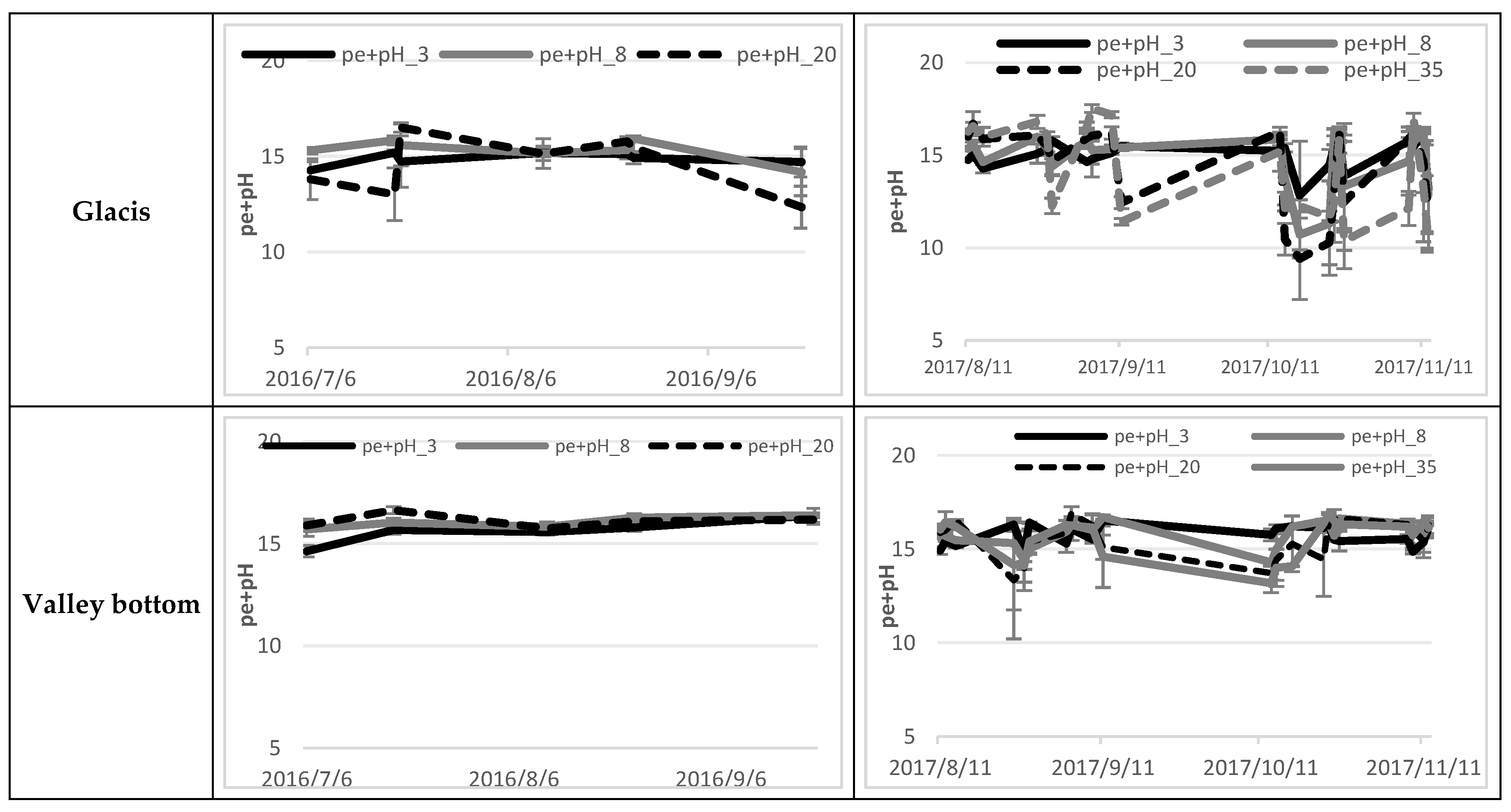
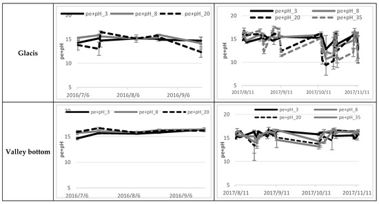
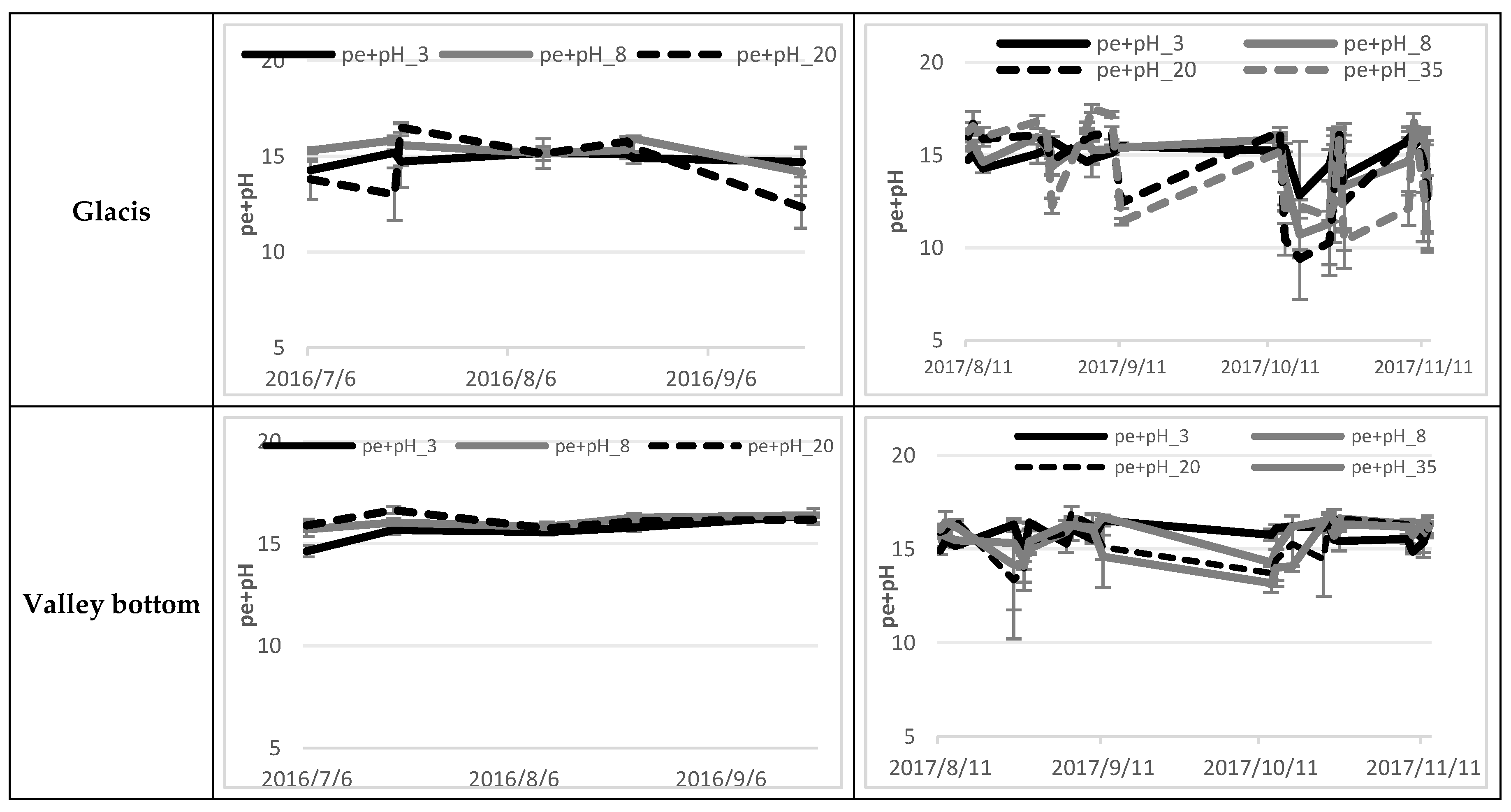
3.7. Variation in Soil pe + pH
3.8. Relationships between Soil Potential Redox and Other Soil Electrochemical Properties
4. Discussion
- (i)
- In the upland ecology (Upland 1 and Upland 2), the average redox potential was high (570 mV and 572 mV for Upland 1 and Upland 2, respectively). Eh always remained above 500 mV and the amplitude of variation remained very low for all the soil depths, particularly at a depth of 3 cm. The low variation in soil Eh can be related to the rather high organic C content of these soils, and probably the high content of stable, black C related to frequent fires. Biochar is known to have a high poising capacity for Eh [32,33]. Again, this supports the assumption that these soils have a low biological activity, and that most of their C is stable C. This C and the soil texture retain water, thus increasing soil moisture, while biological activity remains low. The Eh functioning of these soils is mainly related to soil chemistry, with high Eh related to soil moisture.
- (ii)
- At the fringe, the redox potential always remained higher than 400 mV for all soil depths. This indicates that the soil of the fringe has remained well drained [18]. The lower mean redox potential (556 mV for Fringe 1 and 558 mV for Fringe 2) as compared to upland conditions might be explained by the lower soil moisture, related to lower total soil C. The higher fluctuations in redox potential (as compared to upland soils) may be explained by the lower soil C content, as C, especially black C, is known to poise the redox potential.
- (iii)
- The glacis had the lowest mean Eh (544 mV) and the highest amplitude in fluctuations, varying from 250 to 714 mV for depths 3, 8, 20 and 35 cm all together. These large amplitudes on glacis can be explained by soil heterogeneity due, on the one hand, to its transitional position between the dry soils, upstream, and on the fringe and the wet soils, downstream. However, first of all, these large amplitudes in Eh on the glacis can be explained by local resurgences of water at this level in relation to a clayey layer. These resurgences of water led to temporary waterlogging, and therefore a strong decrease in soil Eh during the periods of water saturation: in water-saturated soils, oxygen diffusion is very slow, and dissolved oxygen is quickly consumed by soil organisms and plant roots; the soil would then have become anaerobic, as reported by [35], and these reduced conditions would cause a rapid fall in the redox potential. Similar observations have been made by [18,35,36]. Drainage that occurred a few days after the rain resulted in an increase in soil oxidation, as was also observed by [37]. Declines in the level of soil redox potential were particularly pronounced in mid-October, passing below 400 mV before rising above 500 mV. The reduction of the redox potential was very pronounced at the lower depths, with the lowest soil redox potential recorded at a depth of 20 cm (285 mV).
- (iv)
- Surprisingly, the valley bottom recorded the highest mean redox potential, ranging from 466 to 639 mV, with the highest average redox potential (574 mV) of all sites. This may be explained by the fact that although it is located lower on the toposequence than the glacis, there was no observed flooding of the valley bottoms, even when the glacis was saturated with water from local resurgences. As a consequence, the high soil moisture in a soil rich in organic matter (especially black C), without water saturation, may explain the highest mean redox potential measured in the valley bottoms. The stronger ECb in the wettest parts might also contribute to raise the redox potential, which would also contribute to the higher Eh in the valley bottoms as compared to upland conditions.
5. Conclusions
Supplementary Materials
Author Contributions
Funding
Acknowledgments
Conflicts of Interest
References
- Vanlauwe, B.; AbdelGadir, A.H.; Adewopo, J.; Adjei-Nsiah, S.; Ampadu-Boakye, T.; Asare, R.; Baijukya, F.; Baars, E.; Bekunda, M.; Coyne, D.; et al. Looking back and moving forward: 50 years of soil and soil fertility management research in sub-Saharan Africa. Int. J. Agric. Sustain. 2017, 15, 613–631. [Google Scholar] [CrossRef] [PubMed]
- Depieu, E.M.; Doumbia, S.; Keli, J.Z.; Michel, Z. Typologie des exploitations en riziculture pluviale de la région de Saïoua, en zone forestière de la Côte d’ Ivoire. J. Appl. Biosci. 2010, 35, 2260–2278. [Google Scholar]
- Haefele, S.M.; Saito, K.; N’Diaye, K.M.; Mussgnug, F.; Nelson, A.; Wopereis, M.C.S. Increasing rice productivity through improved nutrient use in Africa. In Realizing Africa’s Rice Promise; Wopereis, M.C.S., Johnson, D.E., Ahmadi, N., Tollens, E., Jalloh, A., Eds.; CAB International: Wallingford, UK, 2013; pp. 250–264. [Google Scholar]
- Vlaar, J.C.J. Les Techniques de Conservations des Eaux et des Sols Dans les Pays du Sahel. 1992. Available online: https://www.ircwash.org/sites/default/files/276-92TE-11865.pdf (accessed on 26 September 2019).
- Husson, O. Redox potential (Eh) and pH as drivers of soil/plant/microorganism systems: A transdisciplinary overview pointing to integrative opportunities for agronomy. Plant Soil 2013, 362, 389–417. [Google Scholar] [CrossRef]
- Arshad, M.A.; Martin, S. Identifying critical limits for soil quality indicators in agro-ecosystems. Agric. Ecosyst. Environ. 2002, 88, 153–160. [Google Scholar] [CrossRef]
- Husson, O.; Audebert, A.; Benada, J.; Soglonou, B.; Tano, F.; Dieng, I.; Bousset, L.; Sarthou, J.-P.; Joseph, S.; Menozzi, P.; et al. Leaf EH and pH: A novel indicator of plant stress. Spatial, Temporal and Genotypic Variability in Rice (Oryza sativa L.). Agronomy 2018, 8, 209. [Google Scholar] [CrossRef]
- Morel, L. Les Sols Cultivés, 2nd ed.; Ed. Tec & Doc-Lavoisier: Paris, France, 1996. [Google Scholar]
- Petruzzelli, G. Recycling wastes in agriculture: Heavy metal bioavailability. Agric. Ecosyst. Environ. 1989, 27, 493–503. [Google Scholar] [CrossRef]
- Pigozzo, A.T.J.; Lenzi, E.; De Luca, J.; Scapim, C.A.; Da Costa, A.C.S. Transition metal rates in latosol twice treated with sewage sludge. Braz. Arch. Biol. Technol. 2006, 49, 515–526. [Google Scholar] [CrossRef][Green Version]
- Paillet, Y.; Cassagne, N.; Brun, J.J. Monitoring forest soil properties with electrical resistivity. Biol. Fertil. Soils 2010, 46, 451–460. [Google Scholar] [CrossRef]
- Samouëlian, A.; Cousin, I.; Tabbagh, A.; Bruand, A.; Richard, G.; Samoue, A. Electrical resistivity survey in soil science: A review. Soil Tillage Res. 2005, 83, 173–193. [Google Scholar] [CrossRef]
- Greenland, D.J.; Hayes, M.H. The Chemistry of Soil Processes; Greenland, D.J., Hayes, M.H.B., Eds.; Wiley: Chichester, PA, USA, 1981; Volume 7, pp. 295–296. [Google Scholar]
- Snakin, V.V.; Prisyazhnaya, A.A.; Kovacs-Lang, E. Soil Liquid Phase Composition, 1st ed.; Elsvier: Amsterdam, The Netherlands, 2001; ISBN 0-444-50675-6. [Google Scholar]
- Husson, O.; Husson, B.; Brunet, A.; Babre, D.; Alary, K.; Sarthou, J.P.; Charpentier, H.; Durand, M.; Benada, J.; Henry, M. Practical improvements in soil redox potential (Eh) measurement for characterisation of soil properties. Application for comparison of conventional and conservation agriculture cropping systems. Anal. Chim. Acta 2016, 906, 98–109. [Google Scholar] [CrossRef]
- Chesworth, W.; Cortizas, A.M.; Garcı, E. The redox—pH approach to the geochemistry of the Earth’s land surface, with application to peatlands. Dev. Earth Surf. Process. 2006, 2025, 175–195. [Google Scholar]
- Schwertmann, U.; Murad, E. Effect of pH on the formation of goethite and hematite from ferrihydrite. Clays Clay Miner. 1983, 31, 277–284. [Google Scholar] [CrossRef]
- Ponnamperuma, F.N. The chemistry of submerged soils. In Advances in Agronomy; Academic Press: Cambridge, MA, USA, 1972; Volume 24, pp. 29–96. [Google Scholar]
- Hall, S.J.; Mcdowell, W.H.; Silver, W.L. When Wet Gets Wetter: Decoupling of Moisture, Redox Biogeochemistry, and Greenhouse Gas Fluxes in a Humid Tropical Forest Soil. Ecosystems 2013, 16, 576–589. [Google Scholar] [CrossRef]
- Stumm, W.; Morgan, J.J. An introduction emphasizing chemical equilibria in natural waters. In Aquatic Chemistry; Wiley-Interscience: New York, NY, USA, 1981; pp. 282–285. ISBN 978-0-471-51185-4. [Google Scholar]
- Szafranek-nakonieczna, A.; Stepniewska, Z. The influence of the aeration status (ODR, Eh) of peat soils on their ability to produce methane. Wetl. Ecol. Manag. 2015, 23, 665–676. [Google Scholar] [CrossRef]
- Diatta, S. Les Sols Gris de Bas Versant sur Granito-Gneiss en Région Centrale de la Côte d’Ivoire: Organisation Toposéquentielle et Spatiale, Fonctionnement Hydrologique: Conséquences Pour la Riziculture. Ph.D. Thesis, Université Henri Poincaré-Nancy 1, Nancy, France, 1996. [Google Scholar]
- NF X31-107. Qualité du Sol-Détermination de la Distribution Granulométrique des Particules du Sol-Méthode à la Pipette; AFNOR: Paris, France, 2003. [Google Scholar]
- Saito, K.; Asai, H.; Zhao, D.; Laborte, A.G.; Grenier, C. Progress in varietal improvement for increasing upland rice productivity in the tropics. Plant Prod. Sci. 2018, 21, 145–158. [Google Scholar] [CrossRef]
- Pidello, A. Environmental redox potential and redox capacity concepts using a simple polarographic experiment. J. Chem. Educ. 2003, 80, 68–70. [Google Scholar] [CrossRef]
- Lindsay, W.L.; Sadiq, M. Use of pe+pH to predict and interpret metal solubility relationships in soils. Sci. Total Environ. 1983, 28, 169–178. [Google Scholar] [CrossRef]
- Patrick, W.H.J.; Mahapatra, I.C. Transformation and availability to rice plant of nitrogen and phosphorus in waterlogged soils. Adv. Agron. 1968, 20, 323–359. [Google Scholar]
- Bohrerova, Z.; Stralkova, R.; Podesvova, J.; Bohrer, G.; Pokorny, E. The relationship between redox potential and nitrification under different sequences of crop rotations. Soil Tillage Res. 2004, 77, 25–33. [Google Scholar] [CrossRef]
- Kralova, M. Redox Potential as an Indicator of Electron Availability for Microbial. Zentralbl. Mikrobiol. 1992, 147, 388–399. [Google Scholar] [CrossRef]
- Chesworth, W. Redox, soil and carbon sequestration. Edafologia 2004, 11, 37–43. [Google Scholar]
- Lovley, D.R.; Fraga, J.L.; Blunt-Harris, E.L.; Hayes, L.A.; Phillips, E.J.P.; Coates, J.D. Humic substances as a mediator for microbially catalyzed metal reduction. Acta Hydrochim. Hydrobiol. 1998, 26, 152–157. [Google Scholar] [CrossRef]
- Joseph, S.; Husson, O.; Graber, E.R.; Van Zwieten, L.; Taherymoosavi, S.; Thomas, T.; Nielsen, S.; Ye, J.; Pan, G.; Chia, C.; et al. The electrochemical properties of biochars and how they affect soil redox properties and processes. Agronomy 2015, 5, 322–340. [Google Scholar] [CrossRef]
- Klüpfel, L.; Keiluweit, M.; Kleber, M.; Sander, M.; Kluepfel, L.; Keiluweit, M.; Kleber, M.; Sander, M. Redox properties of plant biomass-derived black carbon (biochar). Environ. Sci. Technol. 2014, 48, 5601–5611. [Google Scholar] [CrossRef] [PubMed]
- Chadwick, O.A.; Chorover, J. The chemistry of pedogenic thresholds. Geoderma 2001, 100, 321–353. [Google Scholar] [CrossRef]
- Kyuma, K.P. Paddy Soil Science; Kyoto University Press: Kyoto, Japan, 2004; pp. 273–280. ISBN 1920901000. [Google Scholar]
- Vizier, J.F. Etude de l’état d’oxydoréduction du sol et de ses conséquences sur la dynamique du fer dans les sols hydromorphes. Cah. ORSTOM 1971, 9, 373–397. [Google Scholar]
- Kongchum, M. Effect of Plant Residue and Water Management Practices on Soil Redox Chemistry, Methane Emission, and Rice Productivity. Ph.D. Thesis, Louisiana State University, Baton Rouge, LA, USA, 2005. [Google Scholar]
- Pennington, M.R.; Walters, M.B. The response of planted trees to vegetation zonation and soil redox potential in created wetlands. Forest Ecol. Manag. 2006, 233, 1–10. [Google Scholar] [CrossRef]













| Soil Depth | pH (H20) | Organic Carbon (%) | Electrical Conductivity (μS/cm) | Clay (%) | Silt (%) | Sand (%) | Texture | |
|---|---|---|---|---|---|---|---|---|
| Upland 1 | 0–5 cm | 6.48 | 3.45 | 119.0 | 23.25 | 17.75 | 59.0 | Sandy clay loam |
| 15–25 cm | 6.70 | 2.41 | 54.1 | 28.25 | 12.25 | 59.5 | Sandy clay loam | |
| 35–45 cm | 6.70 | 1.37 | 47.3 | 31.46 | 10.50 | 58.0 | Sandy clay loam | |
| Upland 2 | 0–5 cm | 6.27 | 2.62 | 86.4 | 16.21 | 11.25 | 72.5 | Sandy loam |
| 15–25 cm | 6.40 | 1.43 | 32.2 | 26.00 | 8.74 | 65.3 | Sandy clay loam | |
| 35–45 cm | 6.31 | 1.03 | 28.6 | 30.77 | 8.22 | 61.0 | Sandy clay loam | |
| Fringe 1 | 0–5 cm | 6.59 | 2.15 | 89.4 | 12.00 | 7.50 | 80.5 | Loamy sand |
| 15–25 cm | 6.59 | 1.43 | 61.0 | 17.50 | 7.00 | 75.5 | Loamy sand | |
| 35–45 cm | 6.61 | 1.05 | 55.3 | 24.00 | 6.50 | 69.5 | Sandy clay loam | |
| Fringe 2 | 0–5 cm | 6.57 | 1.75 | 84.4 | 5.93 | 7.50 | 86.5 | Loamy sand |
| 15–25 cm | 6.76 | 0.92 | 35.9 | 6.50 | 6.85 | 86.7 | Loamy sand | |
| 35–45 cm | 6.74 | 0.56 | 43.2 | 6.32 | 7.00 | 86.7 | Loamy sand | |
| Glacis | 0–5 cm | 6.24 | 2.92 | 143.3 | 22.25 | 16.25 | 61.5 | Sandy clay loam |
| 15–25 cm | 6.56 | 1.20 | 54.5 | 23.50 | 11.50 | 65.0 | Sandy clay loam | |
| 35–45 cm | 6.47 | 0.32 | 34.0 | 14.00 | 6.50 | 79.5 | Loamy sand | |
| Valley bottom | 0–5 cm | 6.32 | 3.56 | 189.2 | 22.00 | 24.25 | 53.8 | Sandy clay loam |
| 15–25 cm | 6.78 | 1.20 | 92.8 | 28.67 | 18.33 | 53.0 | Sandy clay loam | |
| 35–45 cm | 6.93 | 0.63 | 114.5 | 37.00 | 18.75 | 44.3 | Clay loam |
| Treatments | Temperature (°C) | pH | Moisture (m3.m−3) | ECb (mS.cm−1) | Eh (mV) | Pe + pH |
|---|---|---|---|---|---|---|
| Year (Y) | ||||||
| 2016 | 28.2 a | 5.94 a | 0.17 a | 0.14 a | 560 a | 15.35 a |
| 2017 | 29.1 b | 5.99 a | 0.21 b | 0.18 b | 562 a | 15.34 a |
| SED (main year effect) | 0.1 | ns | 0.01 | 0.01 | ns | ns |
| Site (S) | ||||||
| Upland 1 | 29.5 c | 6.40 d | 0.15 d | 0.09 b | 570 b,c | 15.90 d |
| Upland 2 | 28.2 a | 5.90 b | 0.12 c | 0.06 a,b | 572 b,c | 15.42 b,c |
| Fringe 1 | 29.0 b,c | 6.06 c | 0.11 b | 0.04 a,b | 556 a,b | 15.32 b |
| Fringe 2 | 29.1 c | 6.13 c | 0.08 a | 0.03 a | 558 a,b,c | 15.43 b,c |
| Glacis | 28.1 a | 5.70 a | 0.22 e | 0.12 c | 544 a | 14.66 a |
| Valley bottom | 28.7 b | 6.12 c | 0.28 f | 0.38 d | 574 c | 15.71 c,d |
| SED (main site effects) | 0.4 | 0.1 | 0.02 | 0.04 | 16 | 0.27 |
| Depth (D) | ||||||
| 3 cm | 29.0 c | 5.94 a | 0.17 a | 0.12 a | 550 a | 15.12 a |
| 8 cm | 28.5 b | 5.98 a | 0.19 b | 0.14 a | 564 b | 15.42 b |
| 20 cm | 28.4 a | 5.98 a | 0.20 c | 0.18 b | 566 b | 15.44 b |
| 35 cm | 29.0 c | 5.99 a | 0.23 d | 0.29 c | 569 b | 15.47 b |
| SED (main depths effects) | 0.2 | ns | 0.01 | 0.03 | 10 | 0.2 |
| Source of Variance | p-Value | |||||
| Year (Y) | <0.001 | 0.06 | <0.001 | <0.001 | 0.40 | 0.63 |
| Site (S) | <0.001 | <0.001 | <0.001 | <0.001 | <0.001 | <0.001 |
| Depth (D) | <0.001 | 0.45 | <0.001 | <0.001 | 0.03 | 0.01 |
| Y × S | <0.001 | 0.04 | 0.69 | 0.85 | 0.41 | 0.12 |
| Y × D | 0.49 | 0.86 | 0.37 | 0.02 | <0.001 | <0.001 |
| S × D | 0.99 | 0.77 | 0.95 | 0.99 | 0.91 | 0.94 |
| Y × S × D | 0.99 | 0.05 | 0.05 | <0.001 | 0.03 | 0.03 |
Publisher’s Note: MDPI stays neutral with regard to jurisdictional claims in published maps and institutional affiliations. |
© 2020 by the authors. Licensee MDPI, Basel, Switzerland. This article is an open access article distributed under the terms and conditions of the Creative Commons Attribution (CC BY) license (http://creativecommons.org/licenses/by/4.0/).
Share and Cite
Tano, B.F.; Brou, C.Y.; Dossou-Yovo, E.R.; Saito, K.; Futakuchi, K.; Wopereis, M.C.S.; Husson, O. Spatial and Temporal Variability of Soil Redox Potential, pH and Electrical Conductivity across a Toposequence in the Savanna of West Africa. Agronomy 2020, 10, 1787. https://doi.org/10.3390/agronomy10111787
Tano BF, Brou CY, Dossou-Yovo ER, Saito K, Futakuchi K, Wopereis MCS, Husson O. Spatial and Temporal Variability of Soil Redox Potential, pH and Electrical Conductivity across a Toposequence in the Savanna of West Africa. Agronomy. 2020; 10(11):1787. https://doi.org/10.3390/agronomy10111787
Chicago/Turabian StyleTano, Bernard F., Casimir Y. Brou, Elliott R. Dossou-Yovo, Kazuki Saito, Koichi Futakuchi, Marco. C. S. Wopereis, and Olivier Husson. 2020. "Spatial and Temporal Variability of Soil Redox Potential, pH and Electrical Conductivity across a Toposequence in the Savanna of West Africa" Agronomy 10, no. 11: 1787. https://doi.org/10.3390/agronomy10111787
APA StyleTano, B. F., Brou, C. Y., Dossou-Yovo, E. R., Saito, K., Futakuchi, K., Wopereis, M. C. S., & Husson, O. (2020). Spatial and Temporal Variability of Soil Redox Potential, pH and Electrical Conductivity across a Toposequence in the Savanna of West Africa. Agronomy, 10(11), 1787. https://doi.org/10.3390/agronomy10111787

