Response of Barley Genotypes to Weed Interference in Australia
Abstract
1. Introduction
2. Materials and Methods
2.1. Experimental Design and Location
2.2. Statistical Analyses
3. Results
3.1. Weather Parameters
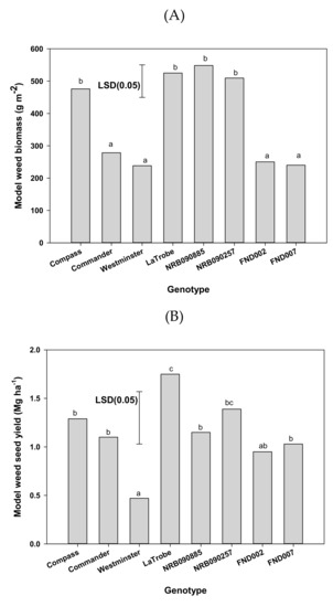
3.2. Weed (Oat) Biomass and Yield
3.3. Crop Plant Height
3.4. Panicles Per Meter Row Length
3.5. Grain Yield
3.6. Weed-Tolerance and Weed-Suppressive Ability
3.7. Correlation Studies
4. Discussion
5. Conclusions
Author Contributions
Funding
Acknowledgments
Conflicts of Interest
References
- ABARES. Australian crop production. ABARE Australian Crop Report, September 2018. No. 187. p. 17; Australian Bureau of Agricultural and Resource Economics and Sciences. Available online: http://www.agriculture.gov.au/abares/research-topics/agricultural-commodities/australian-crop-report (accessed on 4 October 2019).
- Watson, P.R.; Dirksen, D.A.; Van Acker, R.C. Ability of 29 barley cultivars to compete and withstand competition. Weed Sci. 2006, 54, 783–792. [Google Scholar] [CrossRef]
- Llewellyn, R.S.; Ronning, D.; Ouzman, J.; Walker, S.; Mayfield, A.; Clarke, M. Impact of Weeds on Australian Grain Production: The Cost of Weeds to Australian Grain Growers and the Adoption of Weed Management and Tillage Practices Report for GRDC; CSIRO: Canberra, Australia, 2016; p. 112. [Google Scholar]
- Heap, I. The International Survey of Herbicide Resistant Weeds. Available online: www.weedscience.com (accessed on 4 October 2019).
- Goss, S.; Wheeler, R. Using Crop Competition for Weed Control in Barley and Wheat; GRDC. Porker. Available online: https://grdc.com.au/Research-and-Development/GRDC-Update-Papers/2015/02/Usingcrop-competition-for-weed-control-in-barley-and-wheat (accessed on 10 September 2015).
- O’Donovan, J.T.; Harker, K.N.; Clayton, G.W.; Hall, L.M. Wild oat (Avena fatua) interference in barley (Hordeum vulgare) is influenced by barley variety and seeding rate. Weed Technol. 2000, 14, 624–629. [Google Scholar] [CrossRef]
- Christensen, S. Herbiciddosering i relation til kornarter og sorter. Tid.ukriftfor Plall/ead. 1992, 86, 107–121. [Google Scholar]
- Mahajan, G.; Ramesha, M.S.; Chauhan, B.S. Genotypic differences for water-use efficiency and weed competitiveness in dry direct-seeded rice. Agron. J. 2015, 107, 1573–1583. [Google Scholar] [CrossRef]
- Goldberg, D.E.; Miller, T.E. Effects of different resource additions of species diversity in an annual plant community. Ecology 1990, 71, 213–225. [Google Scholar] [CrossRef]
- Huel, D.G.; Hucl, P. Genotypic variation for competitive ability in spring wheat. Plant Breed. 1996, 115, 325–329. [Google Scholar] [CrossRef]
- Coleman, R.K.; Gill, G.S.; Rebetzke, G.J. Identification of quantitative trait loci for traits conferring weed competitiveness in wheat (Triticum aestivum L.). Aust. J. Agric. Res. 2001, 52, 1235–1246. [Google Scholar] [CrossRef]
- Seefeldt, S.; Ogg, A.; Hou, Y. Near-isogenic lines for Triticum aestivum height and crop competitiveness. Weed Sci. 1999, 47, 316–320. [Google Scholar] [CrossRef]
- Miller, T.E.; Werner, P.A. Competitive effects and responses between plant species in a first-year old-field community. Ecology 1987, 68, 1201–1210. [Google Scholar] [CrossRef]
- Cahill, J.F.; Kembel, S.W.; Gustafson, D.J. Differential genetic influences on competitive effect and response in Arabidopsis thaliana. J. Ecol. 2005, 98, 958–967. [Google Scholar] [CrossRef]
- Cousens, R.D.; Mokhtari, S. Seasonal and site variability in the tolerance of wheat cultivars to interference in Lolium rigidum. Weed Res. 1998, 38, 301–307. [Google Scholar] [CrossRef]
- Owen, M.J.; Powles, S.B. Distribution and frequency of herbicide resistant wild oat (Avena spp.) across the Western Australian grain belt. Crop Pasture Sci. 2009, 60, 25–31. [Google Scholar] [CrossRef]
- Vandeleur, R.K.; Gill, G.S. The impact of plant breeding on the grain yield and competitive ability of wheat in Australia. Aust. J. Agric. Res. 2004, 55, 855–861. [Google Scholar] [CrossRef]
- Lemerle, D.; Luckett, D.J.; Lockley, P.; Koetz, E.; Wu, H. Competitive ability of Australian canola (Brassica napus) genotypes for weed management. Crop Pasture Sci. 2014, 65, 1300–1310. [Google Scholar] [CrossRef]
- Zerner, M.C.; Rebetzke, G.J.; Gill, G.S. Genotypic stability of weed competitive ability for bread wheat (Triticum aestivum) genotypes in multiple environments. Crop Pasture Sci. 2016, 67, 695–702. [Google Scholar] [CrossRef]
- Christensen, S. Crop weed competition and herbicide performance in cereal species and varieties. Weed Res. 1994, 34, 29–36. [Google Scholar] [CrossRef]
- Didon, U.M.E. Variation between barley cultivars in early response to weed competition. J. Agron. Crop Sci. 2002, 188, 176–184. [Google Scholar] [CrossRef]
- Challaiah, B.O.C.; Wicks, G.A.; Johnson, V.A. Competition between winter wheat (Triticum aestivum) cultivars and downy brome (Bromus tectorum). Weed Sci. 1986, 34, 689–693. [Google Scholar] [CrossRef]
- Balyan, R.S.; Maijk, R.K.; Panwar, R.S.; Singh, S. Competitive ability of winter wheat cultivars with wild oat (Avena ludoviciana). Weed Sci. 1991, 39, 154–158. [Google Scholar] [CrossRef]
- Ruiz, D.; Baarroso, J.; Hernaiz, P.; Fernandez-Quintanilla, C. The competitive interaction between winter barley and Avena sterilis are site-specific. Weed Res. 2008, 48, 38–47. [Google Scholar] [CrossRef]
- Fischer, A.J.; Ramirez, H.V.; Gibson, K.D.; Pinheiro, B.S. Competitiveness of semi-dwarf upland rice cultivars against palisadegrass (Brachiaria brizantha) and signalgrass (Brachiaria decumbens). Agron. J. 2001, 93, 967–973. [Google Scholar] [CrossRef]
- Garrity, D.P.; Movillon, M.; Moody, K. Differential weed suppression ability in upland rice cultivars. Agron. J. 1992, 84, 586–591. [Google Scholar] [CrossRef]
- Givnish, T.J. On the adaptive significance of leaf height in forest herbs. Am. Nat. 1982, 120, 353–381. [Google Scholar] [CrossRef]
- Andres, A.; Concenço, G.; Schreiber, F.; Teló, G.M.; Fagundes, P.R.R.; Magalhães, A.M., Jr.; Moisinho, I.S.; Martins, M.B.; Coradini, M.C. Habilidade competitiva de genótipos de arroz irrigado com capim-arroz [Competitive ability of rice genotypes against barnyardgrass]. In Boletim de Pesquisa e Desenvolvimento; Embrapa Clima Temperado: Pelotas, Brazil, 2017; Volume 281, p. 54. [Google Scholar]
- Sociedade Sul-Brasileira de arroz irrigado—SOSBAI. Arroz Irrigado: Recomendações Técnicas da Pesquisa para o Sul do Brasil; Universidade Federal de Santa Maria: Santa Maria, Brazil, 2016. [Google Scholar]
- Guneyli, E.; Burnside, O.C.; Nordquist, P.T. Influence of seedling characteristics on weed competitive ability of sorghum hybrids and inbred lines. Crop Sci. 1969, 9, 713–716. [Google Scholar] [CrossRef]
- Lemerle, D.; Verbeek, B.; Cousens, R.D.; Coombes, N.E. The potential for selecting wheat varieties strongly competitive against weeds. Weed Res. 1996, 36, 505–513. [Google Scholar] [CrossRef]




| Genotype | Type | Plant Type |
|---|---|---|
| Compass | Cultivar | Droopy |
| Commander | Cultivar | Droopy |
| Westminster | Cultivar | Droopy |
| LaTrobe | Cultivar | Erect |
| NRB090885 | Breeding line | Semi-erect |
| NRB090257 | Breeding line | Droopy |
| FND002 | Breeding line | Droopy |
| FND007 | Breeding line | Droopy |
| Source of Variation | Degree of Freedom | Mean Square | ||
|---|---|---|---|---|
| Plant Height (cm) | Panicles Per Meter Row Length (No) | Barley Yield (Mg ha−1) | ||
| Replication | 5 | 74.5 | 1161 | 0.80 |
| Weed infestation level (WIL) | 1 | 233.7 | 52,875 * | 101.9 * |
| Error (WIL) | 5 | 79.1 | 55.6 | 4.86 |
| Genotype (G) | 7 | 338.5 * | 3834.4 * | 3.93 * |
| WIL x G | 7 | 26.5 | 2108.6 * | 0.21 * |
| Error (G) | 70 | 13.1 | 133.6 | 0.09 |
| Source of Variation | Degree of Freedom | Mean Square | |||
|---|---|---|---|---|---|
| Weed Biomass (g m−2) | Weed Yield (t ha−1) | Weed-Tolerance Ability | Weed-Suppressive Ability | ||
| Replication | 5 | 34,273 | 4.75 | 5262.5 | 3962.8 |
| Genotype | 7 | 121,820 * | 7.82 * | 787.5 * | 1010.5 * |
| Error | 35 | 7346 | 0.21 | 63.6 | 104.4 |
| Genotype | Weed Infestation Level | |
|---|---|---|
| Weedy | Weed-Free | |
| Panicles per meter row length | ||
| Compass | 66 | 93 |
| Commander | 73 | 129 |
| Westminster | 80 | 122 |
| LaTrobe | 58 | 159 |
| NRB090885 | 46 | 65 |
| NRB090257 | 68 | 91 |
| FND002 | 77 | 128 |
| FND007 | 73 | 130 |
| LSD (0.05) | 13.3 | |
| Grain yield (Mg ha−1) | ||
| Compass | 1.13 | 3.18 |
| Commander | 2.11 | 3.70 |
| Westminster | 1.82 | 4.35 |
| LaTrobe | 1.66 | 3.67 |
| NRB090885 | 0.55 | 2.49 |
| NRB090257 | 1.01 | 2.98 |
| FND002 | 1.93 | 4.18 |
| FND007 | 1.77 | 3.90 |
| LSD (0.05) | 0.35 | |
| Genotype | WTA Value | Rank | WSA Value | Rank |
|---|---|---|---|---|
| Compass | 35.9 | 6 | 55.4 | 5 |
| Commander | 62.3 | 1 | 66.4 | 2 |
| Westminster | 42.2 | 5 | 77.2 | 1 |
| LaTrobe | 50.3 | 2 | 50.9 | 6 |
| NRB090885 | 24.7 | 8 | 37.9 | 8 |
| NRB090257 | 35.1 | 7 | 42.1 | 7 |
| FND002 | 47.3 | 4 | 63.5 | 3 |
| FND007 | 47.8 | 3 | 60.6 | 4 |
| LSD (0.05) | 9.3 | 12.0 |
| RYL (%) | WSY | WB | WTA | WSA | Ht (W) | Ht (WF) | PD (W) | PD (WF) | Yw | Ywf | |
|---|---|---|---|---|---|---|---|---|---|---|---|
| RYL (%) | 1 | ||||||||||
| WSY | 0.11 | ||||||||||
| WB | 0.68 | 0.74 * | |||||||||
| WTA | −0.99 * | −0.01 | −0.60 | ||||||||
| WSA | −0.71 * | −0.72 * | −0.88 * | 0.62 | |||||||
| Ht (W) | −0.67 | −0.61 | −0.85 * | 0.55 | 0.85 * | ||||||
| Ht (WF) | −0.83 * | 0.11 | −0.45 | 0.83 * | 0.55 | 0.44 | |||||
| PD (W) | −0.67 | −0.61 | −0.85 * | 0.55 | 0.85 * | 1.00 * | 0.44 | ||||
| PD (WF) | −0.83 * | 0.11 | −0.45 | 0.83 * | 0.55 | 0.44 | 1.00 * | 0.44 | |||
| Yw | −0.96 * | −0.32 | −0.81 * | 0.92 * | 0.84 * | 0.77 * | 0.84 * | 0.77 * | 0.84 * | ||
| Ywf | −0.75 * | −0.51 | −0.89 * | 0.67 | 0.90 * | 0.83 * | 0.70 | 0.83 * | 0.77 * | 0.91 * | 1 |
© 2020 by the authors. Licensee MDPI, Basel, Switzerland. This article is an open access article distributed under the terms and conditions of the Creative Commons Attribution (CC BY) license (http://creativecommons.org/licenses/by/4.0/).
Share and Cite
Mahajan, G.; Hickey, L.; Chauhan, B.S. Response of Barley Genotypes to Weed Interference in Australia. Agronomy 2020, 10, 99. https://doi.org/10.3390/agronomy10010099
Mahajan G, Hickey L, Chauhan BS. Response of Barley Genotypes to Weed Interference in Australia. Agronomy. 2020; 10(1):99. https://doi.org/10.3390/agronomy10010099
Chicago/Turabian StyleMahajan, Gulshan, Lee Hickey, and Bhagirath Singh Chauhan. 2020. "Response of Barley Genotypes to Weed Interference in Australia" Agronomy 10, no. 1: 99. https://doi.org/10.3390/agronomy10010099
APA StyleMahajan, G., Hickey, L., & Chauhan, B. S. (2020). Response of Barley Genotypes to Weed Interference in Australia. Agronomy, 10(1), 99. https://doi.org/10.3390/agronomy10010099

