Role of Ion Dissociation on DC Conductivity and Silver Nanoparticle Formation in PVA:AgNt Based Polymer Electrolytes: Deep Insights to Ion Transport Mechanism
Abstract
:1. Introduction
2. Experimental Details
2.1. Materials and Sample Preparation
2.2. Characterization Techniques
3. Results and Discussion
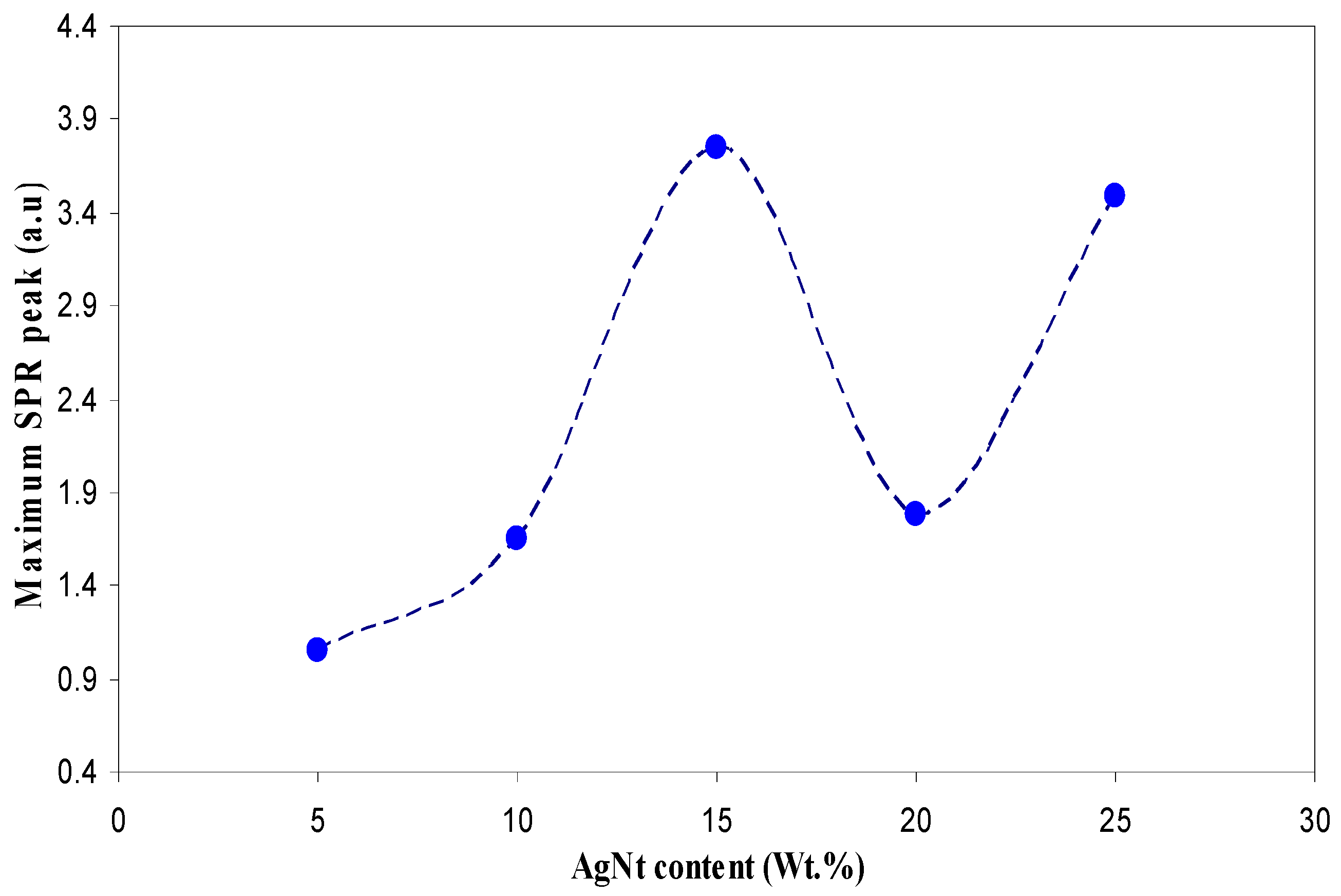
3.1. Absorption and Morphological Study
3.2. Conductivity Study at Room Temperature
3.3. Impedance Analysis
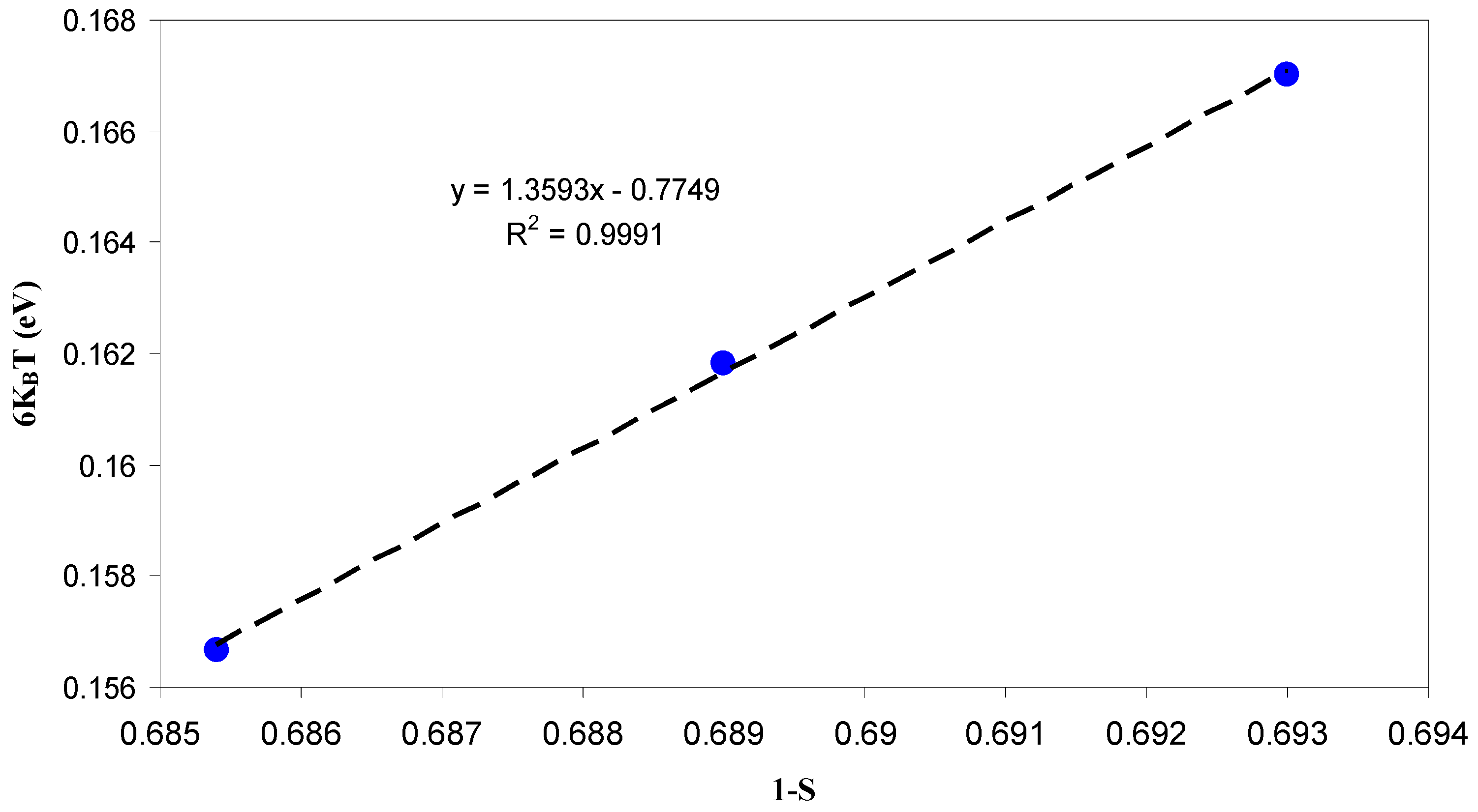
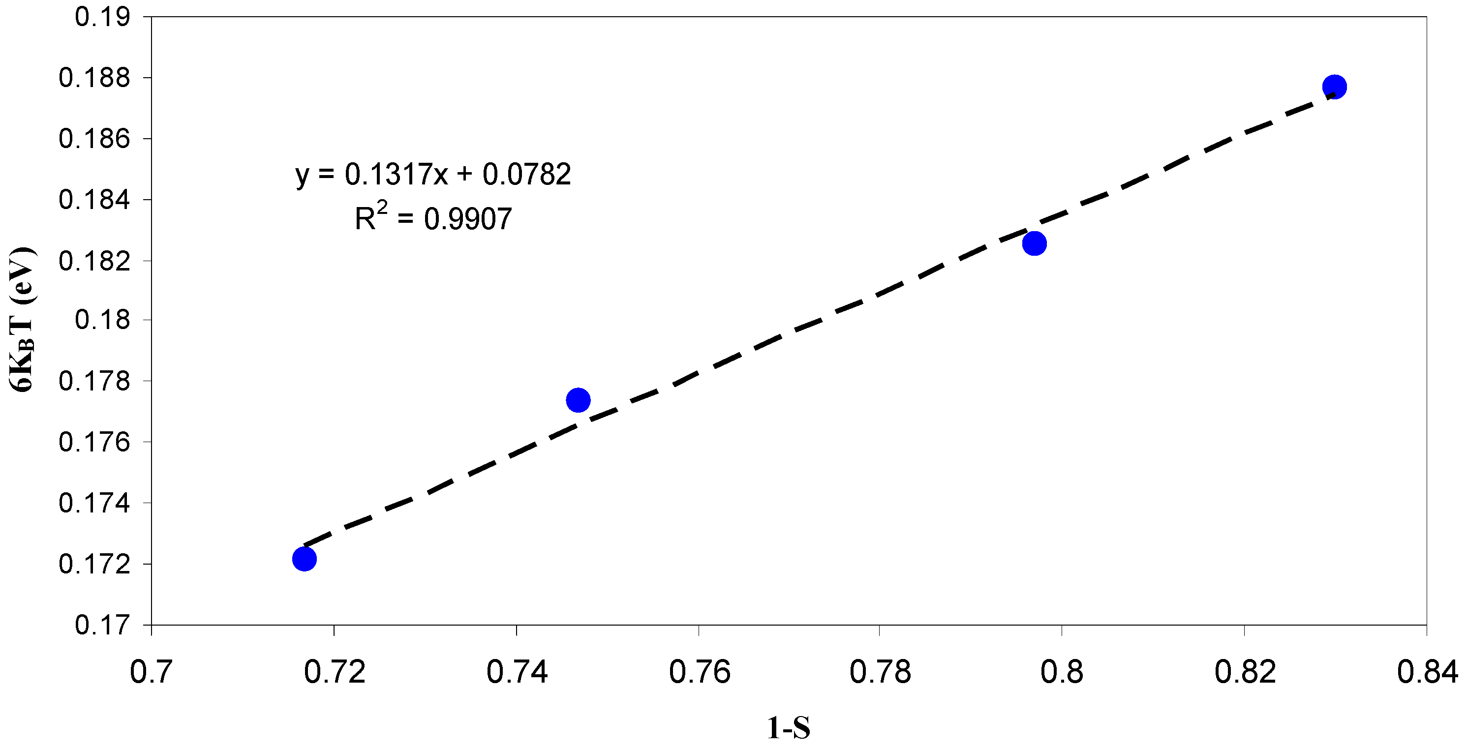
3.4. DC Conductivity and Ion Transport Models
4. Conclusions
Acknowledgments
Author Contributions
Conflicts of Interest
References
- Pavani, Y.; Ravi, M.; Bhavan, I.S.; Sharma, A.K.; Rao, V.V.R.N. Characterization of Poly(vinyl alcohol)/Potassium Chloride Polymer Electrolytes for Electrochemical Cell Applications. Polym. Eng. Sci. 2012, 52, 1685–1692. [Google Scholar] [CrossRef]
- Kulshrestha, N.; Chatterjee, B.; Gupta, P.N. Characterization and electrical properties of polyvinyl alcohol based polymer electrolyte films doped with ammonium thiocyanate. Mater. Sci. Eng. B 2014, 184, 49–57. [Google Scholar] [CrossRef]
- Merle, G.; Hosseiny, S.S.; Wessling, M.; Nijmeijer, K. New cross-linked PVA based polymer electrolyte membranes for alkaline fuel cells. J. Membr. Sci. 2012, 409–410, 191–199. [Google Scholar] [CrossRef]
- Aziz, S.B.; Abidin, Z.H.Z.; Arof, A.K. Effect of silver nanoparticles on the DC conductivity in chitosan–silver triflate polymer electrolyte. Phys. B Condens. Matter 2010, 405, 4429–4433. [Google Scholar] [CrossRef]
- Aziz, S.B.; Abidin, Z.H.Z. Ion-transport study in nanocomposite solid polymer electrolytes based on chitosan: Electrical and dielectric analysis. J. Appl. Polym. Sci. 2015, 132, 41774. [Google Scholar] [CrossRef]
- Kadir, M.F.Z.; Majid, S.R.; Arof, A.K. Plasticized chitosan–PVA blend polymer electrolyte based proton battery. Electrochim. Acta 2010, 55, 1475–1482. [Google Scholar] [CrossRef]
- Aziz, S.B. Role of dielectric constant on ion transport: Reformulated Arrhenius equation. Adv. Mater. Sci. Eng. 2016, 2016, 2527013. [Google Scholar] [CrossRef]
- Leones, R.; Sabadini, R.C.; Esperança, J.M.S.S.; Pawlicka, A.; Silva, M.M. Effect of storage time on the ionic conductivity of chitosan-solid polymer electrolytes incorporating cyano-based ionic liquids. Electrochim. Acta 2017, 232, 22–29. [Google Scholar] [CrossRef]
- Rosli, N.H.A.; Chan, C.H.; Subban, R.H.Y.; Winie, T. Studies on the Structural and Electrical Properties of Hexanoyl Chitosan/Polystyrene-based Polymer Electrolytes. Phys. Procedia 2012, 25, 215–220. [Google Scholar] [CrossRef]
- Salleh, N.S.; Aziz, S.B.; Aspanut, Z.; Kadir, M.F.Z. Electrical impedance and conduction mechanism analysis of biopolymer electrolytes based on methyl cellulose doped with ammonium iodide. Ionics 2016, 22, 2157–2167. [Google Scholar] [CrossRef]
- Hamdan, K.Z.; Khiar, A.S.A. Conductivity and Dielectric Studies of Methylcellulose/Chitosan-NH4CF3SO3 Polymer Electrolyte. Key Eng. Mater. 2014, 594–595, 818–822. [Google Scholar]
- Yusof, S.Z.; Woo, H.J.; Arof, A.K. Ion dynamics in methylcellulose–LiBOB solid polymer electrolytes. Ionics 2016, 22, 2113–2121. [Google Scholar] [CrossRef]
- Aziz, N.A.N.; Idris, N.K.; Isa, M.I.N. Solid Polymer Electrolytes Based on Methylcellulose: FT-IR and Ionic Conductivity Studies. Int. J. Polym. Anal. Charact. 2010, 15, 319–327. [Google Scholar] [CrossRef]
- Sheha, E.; Nasr, M.M.; El-Mansy, M.K. Structural, thermal and electrical properties of plasticised PVA based polymer electrolyte. Mater. Sci. Technol. 2015, 31, 1113–1121. [Google Scholar] [CrossRef]
- Polu, A.R.; Kumar, R. Preparation and characterization of PVA based solid polymer electrolytes for electrochemical cell applications. Chin. J. Polym. Sci. 2013, 31, 641–648. [Google Scholar] [CrossRef]
- Hebbar, V.; Bhajantri, R.F.; Naik, J. Physico-chemical properties of Bismuth nitrate filled PVA–LiClO4 polymer composites for energy storage applications. J. Mater. Sci. Mater. Electron. 2017, 28, 5827–5839. [Google Scholar] [CrossRef]
- Aziz, S.B. Modifying poly (vinyl alcohol)(PVA) from insulator to small-bandgap polymer: A novel approach for organic solar cells and optoelectronic devices. J. Electron. Mater. 2016, 45, 736–745. [Google Scholar] [CrossRef]
- Kim, J.H.; Park, S.M.; Won, J.; Kang, Y.S. Dependence of facilitated olefin transport on the thickness of silver polymer electrolyte membranes. J. Membr. Sci. 2004, 236, 209–212. [Google Scholar] [CrossRef]
- Kim, J.H.; Won, J.; Kang, Y.S. Olefin-induced dissolution of silver salts physically dispersed in inert polymers and their application to olefin/paraffin separation. J. Membr. Sci. 2004, 241, 403–407. [Google Scholar] [CrossRef]
- Sekhon, S.S.; Singh, G.; Agnihotry, S.A.; Chandra, S. Solid polymer electrolytes based on polyethylene oxide-silver thiocyanate. Solid State Ionics 1995, 80, 37–44. [Google Scholar] [CrossRef]
- Aziz, S.B.; Abidin, Z.H.Z.; Arof, A.K. Influence of silver ion reduction on electrical modulus parameters of solid polymer electrolyte based on chitosan-silver triflate electrolyte membrane. Express Polym. Lett. 2010, 5, 300–310. [Google Scholar] [CrossRef]
- Aziz, S.B.; Abidin, Z.H.Z.; Kadir, M.F.Z. Innovative method to avoid the reduction of silver ions to silver nanoparticles in silver ion conducting based polymer electrolytes. Phys. Scr. 2015, 90, 035808. [Google Scholar] [CrossRef]
- Aziz, S.B.; Abdullah, O.G.; Rasheed, M.A. A novel polymer composite with a small optical band gap: New approaches for photonics and optoelectronics. J. Appl. Polym. Sci. 2017, 134, 44847. [Google Scholar] [CrossRef]
- Shin, J.; Kim, Y.; Lee, K.; Lim, Y.M.; Nho, Y.C. Significant effects of sodium acetate, an impurity present in poly(vinyl alcohol) solution on the radiolytic formation of silver nanoparticle. Radiat. Phys. Chem. 2008, 77, 871–876. [Google Scholar] [CrossRef]
- Yu, D.-G.; Lin, W.-C.; Lin, C.-H.; Chang, L.-M.; Yang, M.-C. An in situ reduction method for preparing silver/poly(vinyl alcohol) nanocomposite as surface-enhanced Raman scattering (SERS)-active substrates. Mater. Chem. Phys. 2007, 101, 93–98. [Google Scholar] [CrossRef]
- Kang, S.W.; Hong, J.; Char, K.; Kim, J.H.; Kim, J.; Kang, Y.S. Correlation between anions of ionic liquids and reduction of silver ions in facilitated olefin transport membranes. Desalination 2008, 233, 327–332. [Google Scholar] [CrossRef]
- Kim, J.H.; Kim, C.K.; Won, J.; Kang, Y.S. Role of anions for the reduction behavior of silver ions in polymer/silver salt complex membranes. J. Membr. Sci. 2005, 250, 207–214. [Google Scholar] [CrossRef]
- Abdullah, O.G.; Aziz, S.B.; Omer, K.M.; Salih, Y.M. Reducing the optical band gap of polyvinyl alcohol (PVA) based nanocomposite. J. Mater. Sci. Mater. Electron. 2015, 26, 5303–5309. [Google Scholar] [CrossRef]
- Aziz, S.B.; Abdulwahid, R.T.; Rsaul, H.A.; Ahmed, H.M. In situ synthesis of CuS nanoparticle with a distinguishable SPR peak in NIR region. J. Mater. Sci. Mater. Electron. 2016, 27, 4163–4171. [Google Scholar] [CrossRef]
- Mogensen, K.B.; Kneipp, K. Size-Dependent Shifts of Plasmon Resonance in Silver Nanoparticle Films Using Controlled Dissolution: Monitoring the Onset of Surface Screening Effects. J. Phys. Chem. C 2014, 118, 28075–28083. [Google Scholar] [CrossRef]
- Baba, A.; Imazu, K.; Yoshida, A.; Tanaka, D.; Tamada, K. Surface plasmon resonance properties of silver nanoparticle 2D sheets on metal gratings. SpringerPlus 2014, 3, 284. [Google Scholar] [CrossRef] [PubMed]
- Alqudami, A.; Annapoorni, S.; Sen, P.; Rawat, R.S. The incorporation of silver nanoparticles into polypyrrole: Conductivity changes. Synth. Met. 2007, 157, 53–59. [Google Scholar] [CrossRef]
- Aziz, S.B.; Kadir, M.F.Z.; Abidin, Z.H.Z. Structural, Morphological and Electrochemical Impedance Study of CS: LiTf based Solid Polymer Electrolyte: Reformulated Arrhenius Equation for Ion Transport Study. Int. J. Electrochem. Sci. 2016, 11, 9228–9244. [Google Scholar] [CrossRef]
- De Jonge, J.J.; van Zon, A.; de Leeuw, S.W. Molecular dynamics study of the influence of the polarizability in PEOx–NaI polymer electrolyte systems. Solid State Ionics 2002, 147, 349–359. [Google Scholar] [CrossRef]
- Aziz, S.B.; Abidin, Z.H.Z. Electrical conduction mechanism in solid polymer electrolytes: New concepts to arrhenius equation. J. Soft Matter 2013, 2013, 323868. [Google Scholar] [CrossRef]
- Aziz, S.B.; Abidin, Z.H.Z. Electrical and morphological analysis of chitosan: AgTf solid electrolyte. Mater. Chem. Phys. 2014, 144, 280–286. [Google Scholar] [CrossRef]
- Machappa, T.; Prasad, M.A. AC conductivity and dielectric behavior of polyaniline/sodium metavenadate(PANI/NaVO3) composites. Phys. B Condens. Matter 2009, 404, 4168–4172. [Google Scholar] [CrossRef]
- Stephan, A.M.; Thirunakaran, R.; Renganathan, N.G.; Sundaram, V.; Pitchumani, S.; Muniyandi, N.; Gangadharan, R.; Ramamoorthy, P. A study on polymer blend electrolyte based on PVCrPMMA with lithium salt. J. Power Sources 1999, 81–82, 752–758. [Google Scholar] [CrossRef]
- Mariappan, C.R.; Govindaraj, G. Ac conductivity, dielectric studies and conductivity scaling of NASICON materials. Mater. Sci. Eng. B 2002, 94, 82–88. [Google Scholar] [CrossRef]
- Muralidharan, P.; Venkateswarlu, M.; Satyanarayana, N. AC conductivity studies of lithium borosilicate glasses: Synthesized by sol–gel process with various concentrations of nitric acid as a catalyst. Mater. Chem. Phys. 2004, 88, 138–144. [Google Scholar] [CrossRef]
- Suthanthiraraj, S.A.; Sheeba, D.J.; Paul, B.J. Impact of ethylene carbonate on ion transport characteristics of PVdF–AgCF3SO3 polymer electrolyte system. Mater. Res. Bull. 2009, 44, 1534–1539. [Google Scholar] [CrossRef]
- Kumar, A.; Deka, M.; Banerjee, S. Enhanced ionic conductivity in oxygen ion irradiated poly(vinylidene fluoride-hexafluoropropylene) based nanocomposite gel polymer electrolytes. Solid State Ionics 2010, 181, 609–615. [Google Scholar] [CrossRef]
- Aziz, S.B. Li+ ion conduction mechanism in poly (ε-caprolactone)-based polymer electrolyte. Iran. Polym. J. 2013, 22, 877–883. [Google Scholar] [CrossRef]
- Farag, A.A.M.; Terra, F.S.; Mahmoud, G.M. Structure, DC and AC conductivity of oxazine thin films prepared by thermal evaporation technique. Synth. Met. 2010, 160, 743–749. [Google Scholar] [CrossRef]
- Aziz, S.B. Occurrence of electrical percolation threshold and observation of phase transition in chitosan(1−x):AgIx (0.05 ≤ x ≤ 0.2)-based ion-conducting solid polymer composites. Appl. Phys. A 2016, 122, 1–13. [Google Scholar]
- Angadi, B.; Victor, P.; Jali, V.M.; Lagare, M.T.; Kumar, R.; Krupanidhi, S.B. Ac conductivity studies on the Li irradiated PZT and SBT ferroelectric thin films. Mater. Sci. Eng. B 2003, 100, 93–101. [Google Scholar] [CrossRef]
- Okutan, M.; Basaran, E.; Bakan, H.I.; Yakuphanoglu, F. AC conductivity and dielectric properties of Co-doped TiO2. Phys. B Condens. Matter 2005, 364, 300–305. [Google Scholar] [CrossRef]
- El Ata, A.M.A.; Attia, S.M.; Meaz, T.M. AC conductivity and dielectric behavior of CoAlxFe2−xO4. Solid State Sci. 2004, 6, 61–69. [Google Scholar] [CrossRef]
- El Ata, A.M.A.; El Nimr, M.K.; Attia, S.M.; El Kony, D.; Al-Hammadi, A.H. Studies of AC electrical conductivity and initial magnetic permeability of rare-earth-substituted Li–Co ferrites. J. Magn. Magn. Mater. 2006, 297, 33–43. [Google Scholar] [CrossRef]
- Lobna, M.; Sharaf, E. The ac conductivity studies for Cu2O–Bi2O3 glassy system. Mater. Chem. Phys. 2000, 65, 275–281. [Google Scholar]
- Afifi, M.A.; El-Nahass, M.M.; Bekheet, A.E.; Zedan, I.T. Dc and ac electrical conductivity of bulk CdSexTe1-x(0 ≤ x ≤ 0.4). Phys. B Condens. Matter 2007, 400, 248–251. [Google Scholar] [CrossRef]
- Hegab, N.A.; Afifi, M.A.; Atyia, H.E.; Farid, A.S. Ac conductivity and dielectric properties of amorphous Se80Te20−xGex chalcogenide glass film compositions. J. Alloys Compd. 2009, 477, 925–930. [Google Scholar] [CrossRef]















| Sample Designation | PVA (g) | AgNt (wt %) | AgNt (g) |
|---|---|---|---|
| SPE0 | 1 | 0 | 0.0000 |
| SPE1 | 1 | 5 | 0.0526 |
| SPE2 | 1 | 10 | 0.1111 |
| SPE3 | 1 | 15 | 0.1765 |
| SPE4 | 1 | 20 | 0.2500 |
| SPE5 | 1 | 25 | 0.3333 |
| Sample Designation | DC Conductivity (S/cm) | Dielectric Constant |
|---|---|---|
| SPE0 | 6.48 × 10−9 | 3.1 |
| SPE1 | 2.1 × 10−8 | 3.9 |
| SPE2 | 3.06 × 10−7 | 6.27 |
| SPE3 | 2.3 × 10−6 | 9.2 |
| SPE4 | 1.01 × 10−6 | 4.97 |
| SPE5 | 4.5 × 10−6 | 10.8 |
© 2017 by the authors. Licensee MDPI, Basel, Switzerland. This article is an open access article distributed under the terms and conditions of the Creative Commons Attribution (CC BY) license (http://creativecommons.org/licenses/by/4.0/).
Share and Cite
Aziz, S.B.; Abdullah, R.M.; Rasheed, M.A.; Ahmed, H.M. Role of Ion Dissociation on DC Conductivity and Silver Nanoparticle Formation in PVA:AgNt Based Polymer Electrolytes: Deep Insights to Ion Transport Mechanism. Polymers 2017, 9, 338. https://doi.org/10.3390/polym9080338
Aziz SB, Abdullah RM, Rasheed MA, Ahmed HM. Role of Ion Dissociation on DC Conductivity and Silver Nanoparticle Formation in PVA:AgNt Based Polymer Electrolytes: Deep Insights to Ion Transport Mechanism. Polymers. 2017; 9(8):338. https://doi.org/10.3390/polym9080338
Chicago/Turabian StyleAziz, Shujahadeen B., Ranjdar M. Abdullah, Mariwan A. Rasheed, and Hameed M. Ahmed. 2017. "Role of Ion Dissociation on DC Conductivity and Silver Nanoparticle Formation in PVA:AgNt Based Polymer Electrolytes: Deep Insights to Ion Transport Mechanism" Polymers 9, no. 8: 338. https://doi.org/10.3390/polym9080338
APA StyleAziz, S. B., Abdullah, R. M., Rasheed, M. A., & Ahmed, H. M. (2017). Role of Ion Dissociation on DC Conductivity and Silver Nanoparticle Formation in PVA:AgNt Based Polymer Electrolytes: Deep Insights to Ion Transport Mechanism. Polymers, 9(8), 338. https://doi.org/10.3390/polym9080338

