Grafting of Hindered Phenol Groups onto Ethylene/α-Olefin Copolymer by Nitroxide Radical Coupling
Abstract
1. Introduction
2. Materials and Methods
2.1. Materials
2.2. Samples Preparation
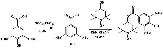
2.2.1. Synthesis of 3,5-di-tert-butyl-4-hydroxybenzoyl-2,2,6,6-tetramethylpiperidine-1-oxyl (BHB-T)
2.2.2. Polymer Samples Preparation
2.3. Characterization
3. Results and Discussion
3.1. Preparation and Structural Characterization of the Samples
3.2. Photo- and Thermo-Oxidation Behavior of Functionalized EOC
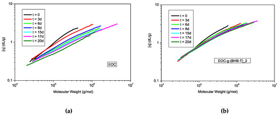
3.2.1. Photo-Oxidation Tests
3.2.2. Thermo-Oxidation Tests
4. Migration Tests
5. Conclusions
Supplementary Materials
Acknowledgments
Author Contributions
Conflicts of Interest
References
- Billingham, N.C. Degradation and Stabilization of Polymers. In Materials Science and Technology; Wiley-VCH Verlag GmbH & Co.: Weinheim, Germany, 2006; pp. 469–507. [Google Scholar]
- Gijsman, P. Handbook of Environmental Degradation of Materials, 2nd ed.; Polymer Stabilization; Elsevier: Amsterdam, The Netherlands, 2012; Chapter 23; pp. 673–714. [Google Scholar]
- Hawkins, W.L. Polymer Degradation and Stabilization; Springer Science & Business Media: Berlin, Germany, 2012; Volume 8. [Google Scholar]
- Gao, X.; Hu, G.; Qian, H.Z.; Ding, Y.; Zhang, S.; Wang, D.; Yang, M. Immobilization of antioxidant on nanosilica and the antioxidative behavior in low density polyethylene. Polymer 2007, 48, 7309–7315. [Google Scholar] [CrossRef]
- Chen, J.; Yang, M.S.; Zhang, S.M. Immobilization of antioxidant on nanosilica and the aging resistance behavior in polypropylene. Compos. Part A 2011, 42, 471–477. [Google Scholar] [CrossRef]
- Lonkar, S.P.; Kutlu, B.; Leuteritz, A.; Heinrich, G. Nanohybrids of phenolic antioxidant intercalated into MgAl-layered double hydroxide clay. Appl. Clay Sci. 2013, 71, 8–14. [Google Scholar] [CrossRef]
- Lonkar, S.P.; Leuteritz, A.; Heinrich, G. Antioxidant intercalated layered double hydroxides: A new multifunctional nanofiller for polymers. RSC Adv. 2013, 3, 1495–1501. [Google Scholar] [CrossRef]
- Dintcheva, N.T.; Al-Malaika, S.; Arrigo, R.; Morici, E. Novel strategic approach for the thermo- and photo-oxidative stabilization of polyolefin/clay nanocomposites. Polym. Degrad. Stab. 2017, 145, 41–51. [Google Scholar] [CrossRef]
- Perez Amaro, L.; Cicogna, F.; Passaglia, E.; Morici, E.; Oberhauser, W.; Al-Malaika, S.; Dintcheva, N.T.; Coiai, S. Thermo-oxidative stabilization of poly(lactic acid) with antioxidant intercalated layered double hydroxides. Polym. Degrad. Stab. 2016, 113, 92–100. [Google Scholar] [CrossRef]
- Al-Malaika, S.; Scott, G.; Wirjosentono, B. Mechanisms of antioxidant action: Polymer-bound hindered amines by reactive processing, Part III Effect of reactive antioxidant structure. Polym. Degrad. Stab. 1993, 40, 233–238. [Google Scholar] [CrossRef]
- Al-Malaika, S.; Suharty, N. Reactive processing of polymers: Mechanisms of grafting reactions of functional antioxidants on polyolefins in the presence of a coagent. Polym. Degrad. Stab. 1995, 49, 77–89. [Google Scholar] [CrossRef]
- Manteghi, A.; Ahmadi, S.; Arabi, H. Covalent immobilization of phenolic antioxidant on Ethylene copolymers: An efficient approach toward enhanced long-term stabilization of polypropylene. Polymer 2016, 104, 31–39. [Google Scholar] [CrossRef]
- Kim, T.H.; Lee, N. Melt-Grafting of Maleimides Having Hindered Phenol Group onto Polypropylene. Bull. Korean Chem. Soc. 2003, 24, 1809–1813. [Google Scholar] [CrossRef]
- Chinelatto, M.A.; Agnelli, J.A.M.; Canevarolo, S.V. Synthesis and photostabilizing performance of a polymeric HALS based on 1,2,2,6,6-pentamethylpiperidine and vinyl acetate. Polímeros 2015, 25, 575–580. [Google Scholar] [CrossRef]
- Wilén, C.-E.; Auer, M.; Strandén, J.; Näsman, J.H.; Rotzinger, B.; Steinmann, A.; King, R.E., III; Zweife, H.; Drewes, R. Synthesis of Novel Hindered Amine Light Stabilizers (HALS) and Their Copolymerization with Ethylene or Propylene over Both Soluble and Supported Metallocene Catalyst Systems. Macromolecules 2000, 33, 5011–5026. [Google Scholar] [CrossRef]
- Xue, B.; Ogata, K.; Toyota, A. Synthesis and radical scavenging ability of new polymers from sterically hindered phenol functionalized norbornene monomers via ROMP. Polymer 2007, 48, 5005–5016. [Google Scholar] [CrossRef]
- Stagnaro, P.; Mancini, G.; Piccinini, A.; Losio, S.; Sacchi, M.C.; Viglianisi, C.; Menichetti, S.; Adobati, A.; Limbo, S. Novel Ethylene/Norbornene Copolymers as Nonreleasing Antioxidantsfor Food-Contact Polyolefinic Materials. J. Polym. Sci. B Polym. Phys. 2013, 51, 1007–1016. [Google Scholar] [CrossRef]
- Beer, S.; Teasdale, I.; Brueggemann, O. Immobilization of antioxidants via ADMET polymerization for enhanced long-term stabilization of polyolefins. Eur. Polym. J. 2013, 49, 4257–4264. [Google Scholar] [CrossRef]
- Al-Malaika, S.; Ibrahim, A.Q.; Scott, G. Mechanisms of antioxidant action: Photo-antioxidant activity of polymer-bound hindered amines. Part I—Bismaleate esters. Polym. Degrad. Stab. 1988, 22, 233–1239. [Google Scholar] [CrossRef]
- Passaglia, E.; Coiai, S.; Cicogna, F.; Ciardelli, F. Some recent advances in polyolefin functionalization. Polym. Int. 2014, 63, 12–21. [Google Scholar] [CrossRef]
- Franssen, N.M.G.; Reek, J.N.H.; de Bruin, B. Synthesis of functional ‘polyolefins’: State of the art and remaining challenges. Chem. Soc. Rev. 2013, 42, 5809–5832. [Google Scholar] [CrossRef] [PubMed]
- Cicogna, F.; Coiai, S.; Passaglia, E.; Tucci, I.; Ricci, L.; Ciardelli, F.; Batistini, A. Grafting of Functional Nitroxyl Free Radicals to Polyolefins as a Tool to Postreactor Modification of Polyethylene-Based Materials with Control of Macromolecular Architecture. J. Polym. Sci. Part A Polym. Chem. 2011, 49, 781–795. [Google Scholar] [CrossRef]
- Cicogna, F.; Coiai, S.; Pinzino, C.; Ciardelli, F.; Passaglia, E. Fluorescent polyolefins by free radical post-reactor modification with functional nitroxides. React. Funct. Polym. 2012, 72, 695–702. [Google Scholar] [CrossRef]
- Cicogna, F.; Coiai, S.; Rizzarelli, P.; Carroccio, S.; Gambarotti, C.; Domenichelli, I.; Yang, C.; Dintcheva, N.T.; Filippone, G.; Pinzino, C.; et al. Functionalization of aliphatic polyesters by nitroxide radical coupling. Polym. Chem. 2014, 5, 5656–5667. [Google Scholar] [CrossRef]
- Cicogna, F.; Domenichelli, I.; Coiai, S.; Bellina, F.; Lessi, M.; Spiniello, R.; Passaglia, E. Azo-aromatic functionalized polyethylene by nitroxide radical coupling (NRC) reaction: Preparation and photo-physical properties. Polymer 2016, 82, 366–377. [Google Scholar] [CrossRef]
- Domenichelli, I.; Coiai, S.; Pinzino, C.; Taddei, S.; Martinelli, E.; Cicogna, F. Polymer surface modification by photografting of functional nitroxides. Eur. Polym. J. 2017, 87, 24–38. [Google Scholar] [CrossRef]
- Molloy, B.M.; Johnson, K.; Ross, R.J.; Parent, J.S. Functional group tolerance of AOTEMPO-mediated peroxide cure chemistry. Polymer 2016, 99, 598–604. [Google Scholar] [CrossRef]
- Hyslop, D.K.; Parent, J.S. Dynamics and yields of AOTEMPO-mediated polyolefin cross-linking. Polymer 2013, 54, 84–89. [Google Scholar] [CrossRef]
- Lucarini, M.; Pedulli, G.F. Free radical intermediates in the inhibition of the autoxidation reaction. Chem. Soc. Rev. 2010, 39, 2106–2119. [Google Scholar] [CrossRef] [PubMed]
- Allen, N.S.; Kotecha, J.L.; Parkinson, A.; Loffelman, F.F.; Rauhut, M.M.; Susi, P.S. Photo-stabilising action of a p-hydroxybenzoate light stabiliser in polyolefins: Part III—Antioxidant behaviour and additive/pigment interactions in high density polyethylene. Polym. Degrad. Stab. 1985, 10, 1–13. [Google Scholar] [CrossRef]
- Pospíšil, J. Chemical and photochemical behaviour of phenolic antioxidants in polymer stabilization: A state of the art report, part II. Polym. Degrad. Stab. 1993, 39, 103–115. [Google Scholar] [CrossRef]
- Gijsman, P. A review on the mechanism of action and applicability of Hindered Amine Stabilizers. Polym. Degrad. Stab. 2017, 145, 2–10. [Google Scholar] [CrossRef]
- Denisov, E.T.; Shestakov, A.F. Reaction between radicals and N-alkoxyamines as coordinated cleavage with fragmentation. Russ. J. Phys. Chem. A 2015, 89, 1343–1355. [Google Scholar] [CrossRef]
- Pilař, J.; Michálková, D.; Šedìnková, I.; Pfleger, J.; Pospíšil, J. NOR and nitroxide-based HAS in accelerated photooxidation of carbon-chain polymers; Comparison with secondary HAS: An ESRI and ATR FTIR study. Polym. Degrad. Stab. 2011, 96, 847–862. [Google Scholar] [CrossRef]
- Marek, A.; Kaprálková, L.; Schmidt, P.; Pfleger, J.; Humlíček, J.; Pospíšil, J.; Pilař, J. Spatial resolution of degradation in stabilized polystyrene and polypropylene plaques exposed to accelerated photodegradation or heat aging. J. Polym. Degrad. Stab. 2006, 91, 444–458. [Google Scholar] [CrossRef]
- Kósa, C.S.; Chmela, Š.; Pawelke, B.; Thumer, G.; Habicher, W.D. New combined hindered phenol/hindered amine stabilizers for polymers based on diphenylmethane-4,4′-diisocyanate. Polym. Degrad. Stab. 2003, 81, 453–461. [Google Scholar] [CrossRef]
- Mosnáček, J.; Chmela, Š.; Theumerb, G.; Habicherb, W.D.; Hrdlovič, P. New combined phenol/hindered amine photo- and thermal-stabilizers based on toluene-2,4-diisocyanate. Polym. Degrad. Stab. 2003, 80, 113–126. [Google Scholar] [CrossRef]
- Colwell, J.M.; Walker, J.R.; Blinco, J.P.; Micallef, A.S.; Graeme, G.A.; Bottle, S.E. Profluorescent nitroxides: Thermo-oxidation sensors for stabilised polypropylene. Polym. Degrad. Stab. 2010, 95, 2101–2109. [Google Scholar] [CrossRef]
- Calucci, L.; Cicogna, F.; Forte, C. Effects of post-reactor functionalization on the phase behaviour of an ethylene-1-octene copolymer studied using solid-state high resolution 13C NMR spectroscopy. Phys. Chem. Chem. Phys. 2013, 15, 15584–15594. [Google Scholar] [CrossRef] [PubMed]
- Mukai, K.; Yano, H.; Ishizu, K. ESR studies of a new phenoxyl-nitroxide hetero biradical. Tetrahedron Lett. 1981, 22, 1903–1904. [Google Scholar] [CrossRef]
- Atkinson, D.; Lehrle, R. A model polymer-bound antioxidant system for lubricant. Eur. Polym. J. 1992, 28, 1569–1575. [Google Scholar] [CrossRef]
- Mendichi, R.; Giacometti Schieroni, A. Current Trends in Polymer Science; Pandalai, S.G., Ed.; TWR Network: Trivandrum, India, 2001; Volume 6, p. 17. [Google Scholar]
- Murphy, J. Additives for Plastics Handbook, 2nd ed.; Elsevier Advanced Technology: Oxford, UK, 2001. [Google Scholar]
- Mark, H.F. Encyclopaedia of Polymer Science and Technology; John Wiley & Sons: Hoboken, NJ, USA, 2004. [Google Scholar]
- Carroccio, S.; Rizzarelli, P.; Zampino, D. A Snapshot of Thermo-Oxidative Degradation Products in Poly(bisphenol A carbonate) by Electrospray Ionization Mass Spectrometry and Matrix-Assisted Laser Desorption Ionization Time of Flight Mass Spectrometry. Macromol. Chem. Phys. 2011, 212, 2648–2666. [Google Scholar] [CrossRef]
- Paine, M.R.L.; Barker, P.J.; Blanksby, S.J. Desorption electrospray ionisation mass spectrometry reveals in situ modification of a hindered amine light stabiliser resulting from direct N–OR bond cleavage. Analyst 2011, 136, 904–912. [Google Scholar] [CrossRef] [PubMed]
- Marshall, D.L.; Christian, M.L.; Gryn’ova, G.; Coote, M.L.; Barkera, P.J.; Blanksby, S.J. Oxidation of 4-substituted TEMPO derivatives reveals modifications at the 1- and 4-positions. Org. Biomol. Chem. 2011, 9, 4936–4947. [Google Scholar] [CrossRef] [PubMed]
- Thorshaug, K.; Mendichi, R.; Boggioni, L.; Tritto, I. Poly(ethene-co-norbornene) Obtained with a Constrained Geometry Catalyst. A Study of Reaction Kinetics and Copolymer Properties. Macromolecules 2002, 35, 2903–2911. [Google Scholar] [CrossRef]
- Zeynalov, E.B.; Allen, N.S. Modelling light stabilizers as thermal antioxidants. Polym. Degrad. Stab. 2006, 91, 3390–3396. [Google Scholar] [CrossRef]
- Gardette, M.; Perthue, A.; Gardette, J.-L.; Janecska, T.; Földes, E.; Pukánszky, B.; Therias, S. Photo- and thermal-oxidation of polyethylene: Comparison of mechanisms and influence of unsaturation content. Polym. Degrad. Stab. 2013, 98, 2383–2390. [Google Scholar] [CrossRef]
- Focke, W.W.; van der Westhuizen, I. Oxidation induction time and oxidation onset temperature of polyethylene in air. J. Therm. Anal. Calorim. 2010, 99, 285–293. [Google Scholar] [CrossRef]
- Schmid, M.; Ritter, A.; Affolter, S. Determination of oxidation induction time and temperature by DSC. J. Therm. Anal. Calorim. 2006, 83, 367–371. [Google Scholar] [CrossRef]
- Pospíšil, J.; Horák, Z.; Pilař, J.; Billingham, N.C.; Zweifel, H.; Nešpůrek, S. Influence of testing conditions on the performance and durability of polymer stabilisers in thermal oxidation. Polym. Degrad. Stab. 2003, 82, 145–162. [Google Scholar] [CrossRef]
- Pospíšil, J.; Pilař, J.; Nešpůrek, S. Exploitation of the complex chemistry of hindered amine stabilizers in effective plastics stabilization. J. Vinyl Addit. Technol. 2007, 13, 119–132. [Google Scholar] [CrossRef]
- Luengo, C.; Allen, N.S.; Wilkinson, A.; Edge, M.; Parellad, M.D.; Barrio, J.A.; Ruitz Santa, V. Synergistic profiles of chain-breaking antioxidants with phosphites and hindered amine light stabilizers in styrene–ethylene–butadiene–styrene (SEBS) block copolymer. J. Vinyl Addit. Technol. 2006, 12, 8–13. [Google Scholar] [CrossRef]
- Al-Malaika, S.; Riasat, S.; Lewucha, C. Reactive antioxidants for peroxide crosslinked polyethylene. Polym. Degrad. Stab. 2014, 145, 11–24. [Google Scholar] [CrossRef]
- Molly, B.M.; Hyslop, D.K.; Parent, L.S. Comparative analysis of delayed-onset peroxide crosslinking formulations. Polym. Eng. Sci. 2014, 54, 2645–2653. [Google Scholar] [CrossRef]
- Vieth, W.R.; Amini, M.A. Permeability of Plastic Films and Coatings; Hopfenberg, H., Ed.; Plenum Press: London, UK, 1974; p. 49. [Google Scholar]












| Sample name | Feed composition | Functionalization degree (FD) 1 (mol %) | |
|---|---|---|---|
| Functional molecule (mol %) | Peroxide (mol %) | ||
| EOC-g-(BHB-T)_1 | BHB-T 0.14) | 0.04 | 0.05 ± 0.01 |
| EOC-g-(BHB-T)_2 | BHB-T (0.28) | 0.08 | 0.09 ± 0.01 |
| EOC-g-(Bz-T) [22] | Bz-T (0.50) | 0.21 | 0.23 ± 0.03 |
| Sample name | Type and amount of free additive (mol %) 1 |
|---|---|
| EOC/(BHB-T)_2 | BHB-T (0.09) |
| EOC/CY_2 | CY (0.09) |
| EOC/(Bz-T)_2 | Bz-T (0.09) |
| Sample | Amount of bonded functional group (mol %) 1 | OIT (min) 2 | OOT (°C) 3 |
|---|---|---|---|
| EOC | - | <1 | 201.3 ± 0.5 |
| EOC-g-(Bz-T) | 0.23 | <1 | 196 ± 1 |
| EOC-g-(BHB-T)_1 | 0.05 | 10 ± 1 | 213 ± 1 |
| EOC-g-(BHB-T)_2 | 0.09 | 16 ± 2 | 221 ± 1 |
| Sample | Amount of mixed functional group (mol %) 1 | OIT (min) 2 | OOT (°C) 3 |
|---|---|---|---|
| EOC/(BHB-T)_2 | 0.09 | 52 ± 7 | 239 ± 2 |
| EOC/(Bz-T)_2 | 0.09 | 14 ± 3 | 231 ± 2 |
| EOC/CY_2 | 0.09 | 50 ± 5 | 236.9 ± 0.3 |
| Sample | Amount of functional group (mol %) 1 | OIT (min) 2 | OOT (°C) 3 |
|---|---|---|---|
| EOC-g-(BHB-T)_2 | 0.09 | 16 ± 2 | 221 ± 1 |
| EOC-g-(BHB-T)_2_EX 4 | 0.08 | 14 ± 2 | 205 ± 2 |
| EOC/CY_2 5 | 0.09 | 50 ± 5 | 236.9 ± 0.3 |
| EOC/CY_2_EX 4,5 | - | <1 | 181 ± 0.6 |
© 2017 by the authors. Licensee MDPI, Basel, Switzerland. This article is an open access article distributed under the terms and conditions of the Creative Commons Attribution (CC BY) license (http://creativecommons.org/licenses/by/4.0/).
Share and Cite
Coiai, S.; Cicogna, F.; Yang, C.; Tempesti, V.; Carroccio, S.C.; Gorrasi, G.; Mendichi, R.; Dintcheva, N.T.; Passaglia, E. Grafting of Hindered Phenol Groups onto Ethylene/α-Olefin Copolymer by Nitroxide Radical Coupling. Polymers 2017, 9, 670. https://doi.org/10.3390/polym9120670
Coiai S, Cicogna F, Yang C, Tempesti V, Carroccio SC, Gorrasi G, Mendichi R, Dintcheva NT, Passaglia E. Grafting of Hindered Phenol Groups onto Ethylene/α-Olefin Copolymer by Nitroxide Radical Coupling. Polymers. 2017; 9(12):670. https://doi.org/10.3390/polym9120670
Chicago/Turabian StyleCoiai, Serena, Francesca Cicogna, Chengcheng Yang, Veronika Tempesti, Sabrina Carola Carroccio, Giuliana Gorrasi, Raniero Mendichi, Nadka Tz. Dintcheva, and Elisa Passaglia. 2017. "Grafting of Hindered Phenol Groups onto Ethylene/α-Olefin Copolymer by Nitroxide Radical Coupling" Polymers 9, no. 12: 670. https://doi.org/10.3390/polym9120670
APA StyleCoiai, S., Cicogna, F., Yang, C., Tempesti, V., Carroccio, S. C., Gorrasi, G., Mendichi, R., Dintcheva, N. T., & Passaglia, E. (2017). Grafting of Hindered Phenol Groups onto Ethylene/α-Olefin Copolymer by Nitroxide Radical Coupling. Polymers, 9(12), 670. https://doi.org/10.3390/polym9120670

