Design of Thermochromic Polynorbornene Bearing Spiropyran Chromophore Moieties: Synthesis, Thermal Behavior and Dielectric Barrier Discharge Plasma Treatment
Abstract
1. Introduction
2. Materials and Methods
2.1. Materials and Characterization
2.1.1. General
2.1.2. Dielectric Barrier Discharge (DBD) Plasma System
2.2. Synthesis of the Target Spirobenzopyrans and Their Polymerization with Norbornene Moiety
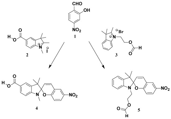
2.2.1. Synthesis of 1′,3′,3′-Trimethyl-6-nitrospiro[chromene-2,2′-indoline]-5′-carboxylic Acid (4)
2.2.2. Synthesis of 3-(3′,3′-Dimethyl-6-nitrospiro[chromene-2,2′-indolin]-1′-yl)propanoic Acid (5)
2.2.3. Synthesis of Norbornene Monomers
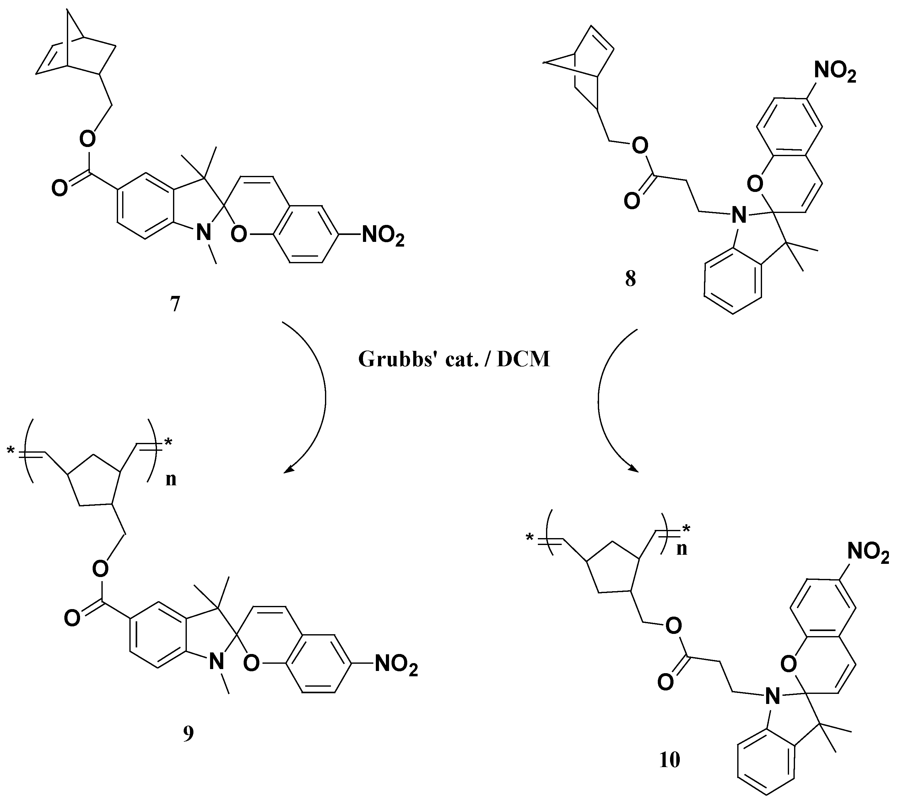
2.2.4. Preparation of Polynorbornene Pendent Chromophore Units
3. Results
3.1. Synthesis of the Chromophores
3.2. Monomers Synthesis
3.3. ROMP and Thermal Analysis
3.4 Thermochromic Behavior
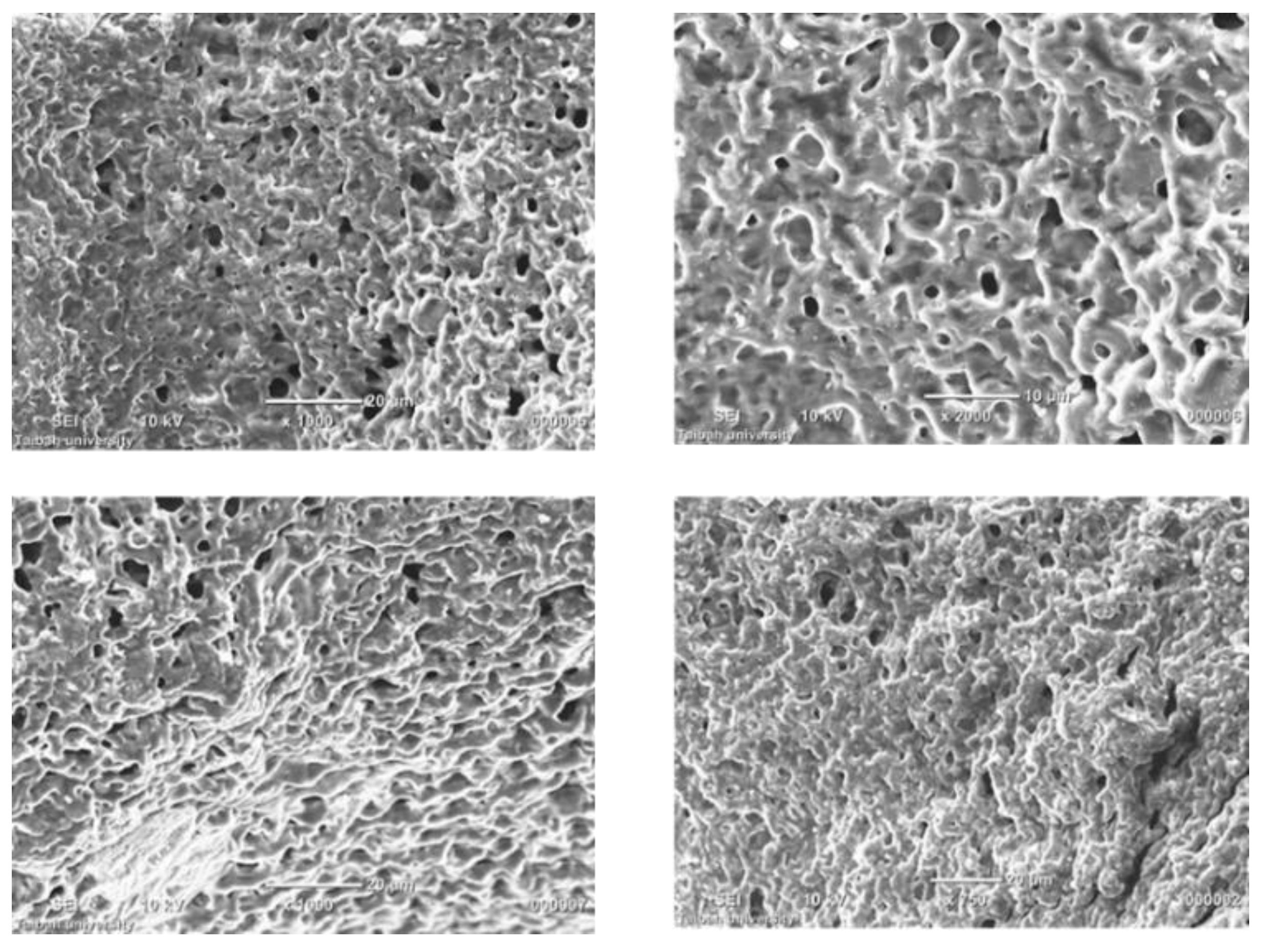
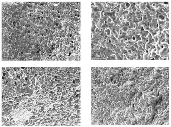
3.5. Plasma Treatment and X-ray Diffraction
4. Conclusions
Acknowledgments
Author Contributions
Conflicts of Interest
References
- Seeboth, A.; Ruhmann, R.; Mühling, O. Thermotropic and Thermochromic Polymer Based Materials for Adaptive Solar Control. Materials 2010, 3, 5143–5168. [Google Scholar] [CrossRef] [PubMed]
- Hebbard, C.F.F.; Wang, Y.; Baker, C.J.; Morrissey, J.H. Synthesis and Evaluation of Chromogenic and Fluorogenic Substrates for High-Throughput Detection of Enzymes That Hydrolyze Inorganic Polyphosphate. Biomacromolecules 2014, 15, 3190–3196. [Google Scholar] [CrossRef] [PubMed]
- Garc’ia, J.M.; Garc’ia, F.C.; Serna, F.; De lapena, J.L. Fluorogenic and Chromogenic Polymer Chemosensors. Polym. Rev. 2011, 51, 341–390. [Google Scholar] [CrossRef]
- Bamfield, P.; Hutchings, M.G. Chromic Phenomena: Technological Applications of Colour Chemistry, 2nd ed.; The Royal Society of Chemistry: Cambridge, UK, 2010; Chapter 1.3. [Google Scholar]
- Mukherjee, S.; Boudouris, B.W. Design of a three-state switchable chromogenic radical-based moiety and its translation to molecular logic systems. Mol. Syst. Des. Eng. 2017, 2, 159–164. [Google Scholar] [CrossRef]
- Pucci, A.; Bizzarri, R.; Ruggeri, G. Polymer composites with smart optical properties. Soft Mater. 2011, 7, 3689–3700. [Google Scholar] [CrossRef]
- MacLaren, D.C.; White, M.A. Competition between dye–developer and solvent–developer interactions in a reversible thermochromic system. J. Mater. Chem. 2003, 13, 1701–1704. [Google Scholar] [CrossRef]
- Luthern, J.; Peredes, A. Determination of the stoichiometry of a thermochromic color complex via Job’s method. J. Mater. Sci. Lett. 2000, 19, 185–188. [Google Scholar] [CrossRef]
- Seeboth, A.; Lötzsch, D.; Ruhmann, R.; Muehling, O. Thermochromic Polymers—Function by Design. Chem. Rev. 2014, 114, 3037–3068. [Google Scholar] [CrossRef] [PubMed]
- Minkin, V.I. Photo-, Thermo-, Solvato-, and Electrochromic Spiroheterocyclic Compounds. Chem. Rev. 2004, 104, 2751–2776. [Google Scholar] [CrossRef] [PubMed]
- Raymo, F.M.; Giordani, S. Signal Processing at the Molecular Level. J. Am. Chem. Soc. 2001, 123, 4651–4652. [Google Scholar] [CrossRef] [PubMed]
- Wojtyk, J.T.C.; Wasey, A.; Xiao, N.N.; Kazmaier, P.M.; Hoz, S.; Yu, C.; Lemieux, R.P.; Buncel, E. Elucidating the Mechanisms of Acidochromic Spiropyran-Merocyanine Interconversion. J. Phys. Chem. A 2007, 111, 2511–2516. [Google Scholar] [CrossRef] [PubMed]
- Keum, S.R.; Lee, K.B.; Kazmaier, P.M.; Buncel, E. A novel method for measurement of the merocyanine-spiropyran interconversion in non-activated 1,3,3-trimethylspiro-(2H-1-benzopyran-2,2′-indoline) derivatives. Tetrahedron Lett. 1994, 35, 1015–1018. [Google Scholar] [CrossRef]
- Rosario, R.; Gust, D.; Hayes, M.; Jahnke, F.; Springer, J.; Garcia, A.A. Photon-Modulated Wettability Changes on Spiropyran-Coated Surfaces. Langmuir 2002, 18, 8062–8069. [Google Scholar] [CrossRef]
- Wagner, K.; Byrne, R.; Zanoni, M.; Gambhir, S.; Dennany, L.; Breukers, R.; Higgins, M.; Wagner, P.; Diamond, D.; Wallace, G.G.; et al. A Multiswitchable Poly(terthiophene) Bearing a Spiropyran Functionality: Understanding Photo- and Electrochemical Control. J. Am. Chem. Soc. 2011, 133, 5453–5462. [Google Scholar] [CrossRef] [PubMed]
- Lenoble, C.; Becker, R.S. Photophysics, photochemistry, kinetics, and mechanism of the photochromism of 6′-nitroindolinospiropyran. J. Phys. Chem. 1986, 90, 62–65. [Google Scholar] [CrossRef]
- Parthenopoulos, D.A.; Rentzepis, P.M. Three-Dimensional Optical Storage Memory. Science 1989, 245, 843–845. [Google Scholar] [CrossRef] [PubMed]
- Tipikin, D.S. Mechanochromism of Organic compounds by The Example of Spiropyran. Russ. J. Phys. Chem. 2001, 75, 1720–1722. [Google Scholar]
- Hauser, L.; Knall, A.C.; Roth, M.; Trimmel, G.; Edler, M.; Griesser, T.; Kern, W. Reversible photochromism of polynorbornenes bearing spiropyran side groups. Monatsh. Chem. 2012, 143, 1551–1558. [Google Scholar] [CrossRef] [PubMed]
- Keum, S.R.; Ahn, S.M.; Roh, S.J.; Ma, S.Y. The synthesis and spectroscopic properties of novel, photochromic indolinobenzospiropyran-based homopolymers prepared via ring-opening metathesis polymerization. Dyes Pigments 2010, 86, 74–80. [Google Scholar] [CrossRef]
- Mistry, B.B.; Patel, R.G.; Patel, V.S. Synthesis and characterization of photochromic homopolymer/copolymer. J. Appl. Polym. Sci. 1997, 64, 841–848. [Google Scholar] [CrossRef]
- Verborgt, J.; Smets, G. Photochromic behavior of copolymers of indolinospirobenzopyrane methacrylic derivatives. J. Polym. Sci. Polym. Chem. Ed. 1974, 12, 2511–2523. [Google Scholar] [CrossRef]
- Su, J.H.; Chen, J.; Zeng, F.; Chen, Q.M.; Wu, S.Z.; Tong, Z. Synthesis and photochromic property of nanoparticles with spiropyran moieties via one-step miniemulsion polymerization. Polym. Bull. 2008, 61, 425–434. [Google Scholar] [CrossRef]
- Moniruzzaman, M.; Fernando, G.F.; Bellamy, A.J. Synthesis and structural investigation of 1′,3′,3′-trimethyl-6-hydroxy-spiro(2H-1-benzopyran-2,2′-indoline), 1′,3′,3′-trimethyl-6-methacryloyloxy-spiro(2H-1-benzopyran-2,2′-indoline) and a copolymer with methyl methacrylate by 1D and 2D NMR spectroscopy. Eur. Polym. J. 2006, 42, 1455–1466. [Google Scholar] [CrossRef]
- Choi, Y.K.; Kim, E.Y.; Keum, S.R. Synthesis and polymerization of 6-(alkyloxyphenyl)carbonyl substituted spirobenzopyran. Tetrahedron Lett. 1998, 39, 8861–8864. [Google Scholar] [CrossRef]
- Schenderlein, H.; Voss, A.; Stark, R.W.; Biesalski, M. Preparation and Characterization of Light-Switchable Polymer Networks Attached to Solid Substrates. Langmuir 2013, 29, 4525–4534. [Google Scholar] [CrossRef] [PubMed]
- Negishi, N.; Tsunemitsu, K.; Ishihara, K.; Shinohara, I.; Okano, T.; Kataoka, K.; Akaike, T.; Sakurai, Y. Photo Induced reversible change on wettability on photochromic polymer surface. Kobunshi Ronbunshu 1980, 37, 287–291. [Google Scholar] [CrossRef]
- Nakao, R.; Ueda, N.; Abe, Y.; Horii, T.; Inoue, E. New photochromic inorganic/organic hybrid siloxane gels with chemically bonded spirobenzopyran moiety. Polym. Adv. Technol. 1994, 5, 240–241. [Google Scholar] [CrossRef]
- Nakao, R.; Ueda, N.; Abe, Y.; Horii, T.; Inoue, E. Preparation and photochromic properties of oligomeric poly(dimethylsiloxane) with the spiropyran or spirooxazine moiety in the side chain. Polym. Adv. Technol. 1995, 6, 243–247. [Google Scholar] [CrossRef]
- Nakao, R.; Ueda, N.; Abe, Y.; Horii, T.; Inoue, H. Polymeric siloxanes with a substituent and the spirobenzopyran moiety: Effect of polar substituent on the photochromic properties. Polym. Adv. Technol. 1996, 7, 863–866. [Google Scholar] [CrossRef]
- Kim, J.H.; Ban, S.Y.; Zhang, Q.; Kim, G.W.; Cho, M.J.; Choi, D.H. Effect of Photocrosslinking on Photochromism of Chalcone-based Polymeric Materials bearing Spiropyran Dye. Mol. Cryst. Liq. Cryst. 2006, 445, 307–314. [Google Scholar] [CrossRef]
- Achilleos, D.S.; Vamvakaki, M. Multiresponsive Spiropyran-Based Copolymers Synthesized by Atom Transfer Radical Polymerization. Macromolecules 2010, 43, 7073–7081. [Google Scholar] [CrossRef]
- Chen, J.; Zeng, F.; Wu, S.Z.; Zhao, J.Q.; Chen, Q.M.; Tong, Z. Reversible fluorescence modulation through energy transfer with ABC triblock copolymer micelles as scaffolds. Chem. Commun. 2008, 5580–5582. [Google Scholar] [CrossRef] [PubMed]
- Lee, H.I.; Wu, W.; Oh, J.K.; Mueller, L.; Sherwood, G.; Peteanu, L.; Kowalewski, T.; Matyjaszewski, K. Light-Induced Reversible Formation of Polymeric Micelles. Angew. Chem. Inter. Ed. 2007, 46, 2453–2457. [Google Scholar] [CrossRef] [PubMed]
- Huang, C.Q.; Wang, Y.; Hong, C.Y.; Pan, C.Y. Spiropyran-Based Polymeric Vesicles: Preparation and Photochromic Properties. Macromol. Rapid Commun. 2011, 32, 1174–1179. [Google Scholar] [CrossRef] [PubMed]
- Li, C.H.; Zhang, Y.X.; Hu, J.M.; Cheng, J.J.; Liu, S.Y. Reversible Three-State Switching of Multicolor Fluorescence Emission by Multiple Stimuli Modulated FRET Processes within Thermoresponsive Polymeric Micelles. Angew. Chem. Int. Ed. 2010, 49, 5120–5124. [Google Scholar] [CrossRef] [PubMed]
- Guragain, S.; Bastakoti, B.P.; Ito, M.; Yusa, S.-I.; Nakashima, K. Aqueous polymeric micelles of poly[N-isopropylacrylamide-b-sodium 2-(acrylamido)-2-methylpropanesulfonate] with a spiropyran dimer pendant: Quadruple stimuli-responsiveness. Soft Matter 2012, 8, 9628–9634. [Google Scholar] [CrossRef]
- Chung, D.J.; Ito, Y.; Imanishi, Y. Preparation of porous membranes grafted with poly(spiropyran-containing methacrylate) and photocontrol of permeability. J. Appl. Polym. Sci. 1994, 51, 2027–2033. [Google Scholar] [CrossRef]
- Bardavid, Y.; Goykhman, I.; Nozaki, D.; Cuniberti, G.; Yitzchaik, S. Dipole Assisted Photogated Switch in Spiropyran Grafted Polyaniline Nanowires. J. Phys. Chem. C 2011, 115, 3123–3128. [Google Scholar] [CrossRef]
- Moniruzzaman, M.; Sabey, C.J.; Fernando, G.F. Photoresponsive polymers: An investigation of their photoinduced temperature changes during photoviscosity measurements. Polymer 2007, 48, 255–263. [Google Scholar] [CrossRef]
- Connal, L.A.; Franks, G.V.; Qiao, G.G. Photochromic, Metal-Absorbing Honeycomb Structures. Langmuir 2010, 26, 10397–10400. [Google Scholar] [CrossRef] [PubMed]
- Wu, S.Z.; Lu, J.R.; Zeng, F.; Chen, Y.N.; Tong, Z. Photoinduced Formation of Microscopic Ordering and Macroscopic Pattern in Spiropyran-Containing Polyacrylate−Tetraoctylammonium Bromide Films. Macromolecules 2007, 40, 5060–5066. [Google Scholar] [CrossRef]
- Ratner, J.; Kahana, N.; Warshawsky, A.; Krongauz, V. Photochromic Polysulfones. 2. Photochromic Properties of Polymeric Polysulfone Carrying Pendant Spiropyran and Spirooxazine Groups. Ind. Eng. Chem. Res. 1996, 35, 1307–1315. [Google Scholar] [CrossRef]
- Warshawsky, A.; Kahana, N.; Buchholtz, F.; Zelichonok, A.; Ratner, J.; Krongauz, V. Photochromic Polysulfones. 1. Synthesis of Polymeric Polysulfone Carrying Pendant Spiropyran and Spirooxazine Groups. Ind. Eng. Chem. Res. 1995, 34, 2825–2832. [Google Scholar] [CrossRef]
- Allcock, H.R.; Kim, C. Photochromic polyphosphazenes with spiropyran units. Macromolecules 1991, 24, 2846–2851. [Google Scholar] [CrossRef]
- Ivin, K.J.; Mol, J.C. Olefin Metathesis and Metathesis Polymerization; Academic Press: San Diego, CA, USA, 1997. [Google Scholar]
- Dragutan, V.; Streck, R. Catalytic Polymerization of Cycloolefins: Ionic, Ziegler-Natta and Ring-Opening Metathesis Polymerization; Elsevier: Amsterdam, The Netherlands, 2000. [Google Scholar]
- Trnka, T.M.; Grubbs, R.H. The Development of L2X2Ru=CHR Olefin Metathesis Catalysts: An Organometallic Success Story. Acc. Chem. Res. 2001, 34, 18–29. [Google Scholar] [CrossRef] [PubMed]
- Buchmeiser, M.R. Homogeneous Metathesis Polymerization by Well-Defined Group VI and Group VIII Transition-Metal Alkylidenes: Fundamentals and Applications in the Preparation of Advanced Materials. Chem. Rev. 2000, 100, 1565–1604. [Google Scholar] [CrossRef] [PubMed]
- Grubbs, R.H. Hand Book of Metathesis; Wiley-VCH: Weinhiem, Germany, 2003. [Google Scholar]
- Schrocks, R.R. Multiple Metal–Carbon Bonds for Catalytic Metathesis Reactions (Nobel Lecture). Angew. Chem. Int. Ed. 2006, 45, 3748–3759. [Google Scholar] [CrossRef] [PubMed]
- Grubbs, R.H. Olefin-Metathesis Catalysts for the Preparation of Molecules and Materials (Nobel Lecture). Angew. Chem. Int. Ed. 2006, 45, 3760. [Google Scholar] [CrossRef] [PubMed]
- Bielawski, C.W.; Grubbs, R.H. Living ring-opening metathesis polymerization. Prog. Polym. Sci. 2007, 32, 1–29. [Google Scholar] [CrossRef]
- Abd-El-Aziz, A.S.; Todd, E.K.; Okasha, R.M. Polymerization of Olefinic Monomers Functionalized with Cationic Cyclopentaienyliron Arene Complexes. In Macromolecules Containing Metal and Metal-Like Elements; Abd-El-Aziz, A., Carraher, C., Pittman, C., Sheats, J., Zeldin, M., Eds.; Wiley-Interscience, John Wiley and Sons, Inc.: New York, NY, USA, 2004; Volume 2, p. 233. [Google Scholar]
- Abd-El-Aziz, A.S.; May, L.J.; Hurd, J.A.; Okasha, R.M. First Ring-Opening Metathesis Polymerization of Norbornenes Containing Cationic Iron Moieties. J. Polym. Sci. Part A Polym. Chem. 2001, 39, 2716–2722. [Google Scholar] [CrossRef]
- Abd-El-Aziz, A.S.; Okasha, R.M.; May, L.J.; Hurd, J. Synthesis of norbornenes containing cationic mono- and di(cyclopentadienyliron)arene complexes and their ring-opening metathesis polymerization. J. Polym. Sci. Part A Polym. Chem. 2006, 44, 3053–3070. [Google Scholar] [CrossRef]
- Abd-El-Aziz, A.S.; Shipman, P.O.; Pilfold, J.L.; Shipley, P.R. Synthesis of Upper Rim Functionalized Calixarene-Based Poly(norbornenes). Macromol. Chem. Phys. 2010, 211, 996–1002. [Google Scholar] [CrossRef]
- Abd-El-Aziz, A.S.; Shipman, P.O.; Shipley, P.R.; Boden, B.N.; Aly, S.; Harvey, P.D. Homo- and Co-Polymers of Norbornene containing Aryl- and Hetaryl-Azo Dyes; Synthesis and Sensing Properties. Macromol. Chem. Phys. 2009, 210, 2099–2106. [Google Scholar] [CrossRef]
- Joraid, A.A.; Abu-Sehly, A.A.; Alamri, S.N.; Al-Raqa, S.Y.; Shipman, P.O.; Shipley, P.R.; Abd-El-Aziz, A.S. Kinetics analysis of degradation of polynorbornene containing aryl or hetaryl azo dye. Thermochim. Acta 2012, 529, 22–24. [Google Scholar] [CrossRef]
- Joraid, A.A.; Alamri, S.N.; Abu-Sehly, A.A.; Al-Raqa, S.Y.; Shipman, P.O.; Shipley, P.R.; Abd-El-Aziz, A.S. Isothermal Kinetics and Thermal Degradation of an Aryl Azo Dye-containing Polynorbornene. Thermochim. Acta 2011, 515, 38–42. [Google Scholar] [CrossRef]
- Okasha, R.M. Proton Sensing Color Changing Organoiron and Organic Macromolecules. J. Inorg. Organomet. Polym. Mater. 2015, 25, 354–366. [Google Scholar] [CrossRef]
- Abd-El-Aziz, A.S.; Okasha, R.M.; Afifi, T.H.; Todd, E.K. A New Class of Cationic Organoiron Polynorbornenes Containing Azo Dyes. Macromol. Chem. Phys. 2003, 204, 555–563. [Google Scholar] [CrossRef]
- Sallenave, X.; Delbaere, S.; Vermeersch, G.; Ahmed, S.A.; Pozzo, J.-L. Photoswitch based on remarkably simple naphthopyrans. Tetrahedron Lett. 2005, 46, 3257–3259. [Google Scholar] [CrossRef]
- Sallenave, X.; Delbaere, S.; Ahmed, S.A.; Vermeersch, G.; Pozzo, J.-L. 5-Ureido-3,3-diphenyl-3H-naphtho[2,1-b]pyrans: Photoswitchable self-assembling architectures. Int. J. Photoenergy 2004, 6, 169–173. [Google Scholar] [CrossRef]
- Ahmed, S.A.; Tanaka, M.; Ando, H.; Tawa, K.; Kimura, K. Fluorescence emission control and switching of oxymethylcrowned spirobenzopyrans by metal ion. Tetrahedron 2004, 60, 6029–6036. [Google Scholar] [CrossRef]
- Ahmed, S.A.; Tanaka, M.; Ando, H.; Iwamoto, H.; Kimura, K. Oxymethylcrowned chromene: photoswitchable stoichiometry of metal ion complex and ion-responsive photochromism. Tetrahedron 2004, 60, 3211–3220. [Google Scholar] [CrossRef]
- El Guesmi, N.; Ahmed, S.A.; Maurel, F.; Althagafi, I.I.; Khairou, K.S. Photochromism of dihydroindolizines. Part XXII: Significant effect of region B substituents on tuning the photophysical properties of photochromic dihydroindolizines: Absorption, kinetic and computational studies. J. Photochem. Photobiol. A Chem. 2017, 348, 125–133. [Google Scholar] [CrossRef]
- El Guesmi, N.; Ahmed, S.A.; Althagafi, I.I.; Khairou, K.S. Photochromism of Dihydroindolizines. Part XXI: Multiaddressable Photochromic Performances based on Pyrrolo[1,2-b]pyridazine photochromes: Kinetics, Substituent Effect and Solvatochromism. J. Photochem. Photobiol. A Chem. 2017, 346, 287–295. [Google Scholar] [CrossRef]
- Ahmed, S.A.; El Guesmi, N.; Asghar, B.H.; Maurel, F.; Althagafi, I.I.; Khairou, K.S.; Muathen, H.A. Photochromism of dihydroindolizines Part XIX. Efficient one-pot solid-state synthesis, kinetic, and computational studies based on dihydroindolizine photochromes. J. Phys. Org. Chem. 2017, 30, e3614. [Google Scholar] [CrossRef]
- Bagchi, D.; Ghosh, A.; Singh, P.; Dutta, S.; Polley, N.; Althagafi, I.I.; Jassas, R.S.; Ahmed, S.A.; Pal, S.K. Allosteric Inhibitory Molecular Recognition of a Photochromic Dye by a Digestive Enzyme: Dihydroindolizine makes α-chymotrypsin Photo-responsive. Sci. Rep. (Nat.) 2016, 6, 1–11. [Google Scholar] [CrossRef] [PubMed]
- Seeboth, A.; Lötzsch, D. Thermochromic Phenomena in Polymers; Smithers Rapra Technology Limited: Shrewsbury, UK, 2008. [Google Scholar]
- Chen, W.; Menze, M.; Prucker, O.; Wang, E.; Ober, C.K.; Rühe, J. Morphology of Nanostructured Polymer Brushes Dependent on Production and Treatment. Macromolecules 2017, 50, 4715–4724. [Google Scholar] [CrossRef]
- Martins, A.; Pinho, E.D.; Faria, S.; Pashkuleva, I.; Marques, A.P.; Reis, R.L.; Neves, N.M. Surface modification of electrospun polycaprolactone nanofiber meshes by plasma treatment to enhance biological performance. Small 2009, 5, 1195–1206. [Google Scholar] [CrossRef] [PubMed]
- Gorjanc, M.; Mozetic, M. Modification of Fibrous Polymers by Gaseous Plasma: Principles, Techniques and Applications; Lambert Academic Publishing: Saarbrücken, Germany, 2014. [Google Scholar]
- Kravets, L.; Dmitriev, S.; Dinescu, G.; Lazea, A.; Satulu, V. Effect of Plasma Treatment on Polymer Track Membranes. Plasma Process. Polym. 2009, 6, S796–S802. [Google Scholar] [CrossRef]
- El-Sayed, W.S.; Ouf, S.A.; Mohamed, A.-A.H. Deterioration to extinction of wastewater bacteria by non-thermal atmospheric pressure air plasma as assessed by 16S rDNA-DGGE fingerprinting. Front. Microbiol. 2015, 6, 1098–1110. [Google Scholar] [CrossRef] [PubMed]
- Musher, J.I. The N.M.R. Spectra of Some Bicyclo [2.2.1] Heptanol. Mol. Phys. 1963, 6, 93–100. [Google Scholar] [CrossRef]
- Fisher, J.; Gradwell, M.J. Complete Assignment of the 1H and 13C NMR Spectra of Norbornene Derivatives. Magn. Reson. Chem. 1991, 29, 1068–1069. [Google Scholar] [CrossRef]
- Ujihira, Y.; Li, H.-L.; Ito, K. Free volume study on three types of shape memory polymers by positron annihilation. Acta Phys. Polon. A 1999, 95, 677–682. [Google Scholar] [CrossRef]
- Khosravi, E.; Szymanska-Buzar, T.S. (Eds.) Ring Opening Metathesis Polymerization and Related Chemistry: State of the Art and Visions for the New Century; Nato Science Series; Kluwer Academic Publishers: Dordrecht, The Netherlands, 2000; Volume 56, p. 140. [Google Scholar]
- Dejong, S.J.; Broekhuis, M.D.; Byker, H.J. Constructions for Moisture Sensitive Thermochromic Layers and Structures Having Reduced Moisture Content in Thermochromic Layers. U.S. Patent 20140134367 A1, 17 January 2014. [Google Scholar]
- Krongauz, V. Quasi-Crystals. Isr. J. Chem. 1979, 18, 304–311. [Google Scholar] [CrossRef]
- Chang, J.; Lu, Y.; He, S.; Liu, C.; Zhao, L.; Zeng, X. Efficient fluorescent chemosensors for HSO4− based on a strategy of anion-induced rotation-displaced H-aggregates. Chem. Commun. 2013, 49, 6259–6261. [Google Scholar] [CrossRef] [PubMed]
- Mçbius, D. Scheibe Aggregates. Adv. Mater. 1995, 7, 437–444. [Google Scholar] [CrossRef]
- Berkovic, G.; Krongauz, V.; Weiss, V. Spiropyrans and Spirooxazines for Memories and Switches. Chem. Rev. 2000, 100, 1741–1753. [Google Scholar] [CrossRef] [PubMed]
- Gao, H.; Zhang, J.; Chen, Y.; Zhu, F.; Wu, Q. Vinyl-polymerization of norbornene with novel anilido–imino nickel complexes/methylaluminoxane: Abnormal influence of polymerization temperature on molecular weight of polynorbornenes. J. Mol. Catal. A Chem. 2005, 240, 178–185. [Google Scholar] [CrossRef]









© 2017 by the authors. Licensee MDPI, Basel, Switzerland. This article is an open access article distributed under the terms and conditions of the Creative Commons Attribution (CC BY) license (http://creativecommons.org/licenses/by/4.0/).
Share and Cite
Ahmed, S.A.; Okasha, R.M.; Khairou, K.S.; Afifi, T.H.; Mohamed, A.-A.H.; Abd-El-Aziz, A.S. Design of Thermochromic Polynorbornene Bearing Spiropyran Chromophore Moieties: Synthesis, Thermal Behavior and Dielectric Barrier Discharge Plasma Treatment. Polymers 2017, 9, 630. https://doi.org/10.3390/polym9110630
Ahmed SA, Okasha RM, Khairou KS, Afifi TH, Mohamed A-AH, Abd-El-Aziz AS. Design of Thermochromic Polynorbornene Bearing Spiropyran Chromophore Moieties: Synthesis, Thermal Behavior and Dielectric Barrier Discharge Plasma Treatment. Polymers. 2017; 9(11):630. https://doi.org/10.3390/polym9110630
Chicago/Turabian StyleAhmed, Saleh A., Rawda M. Okasha, Khalid S. Khairou, Tarek H. Afifi, Abdel-Aleam H. Mohamed, and Alaa S. Abd-El-Aziz. 2017. "Design of Thermochromic Polynorbornene Bearing Spiropyran Chromophore Moieties: Synthesis, Thermal Behavior and Dielectric Barrier Discharge Plasma Treatment" Polymers 9, no. 11: 630. https://doi.org/10.3390/polym9110630
APA StyleAhmed, S. A., Okasha, R. M., Khairou, K. S., Afifi, T. H., Mohamed, A.-A. H., & Abd-El-Aziz, A. S. (2017). Design of Thermochromic Polynorbornene Bearing Spiropyran Chromophore Moieties: Synthesis, Thermal Behavior and Dielectric Barrier Discharge Plasma Treatment. Polymers, 9(11), 630. https://doi.org/10.3390/polym9110630
