Durability and Mechanical Performance of PMMA/Stone Sludge Nanocomposites for Acrylic Solid Surface Applications
Abstract
:1. Introduction
2. Experimental Techniques
2.1. Materials
2.2. PMMA Nanocomposite Preparation
2.3. Autoclave Polymerization Technique
2.4. Testing Methods
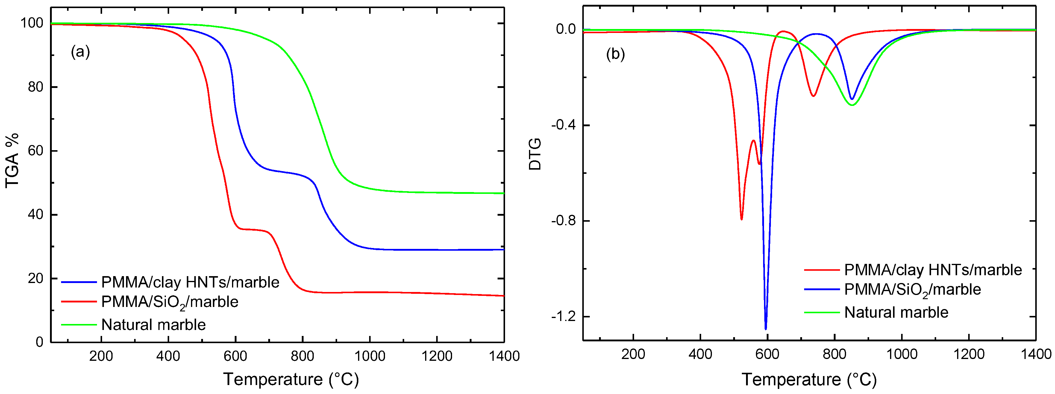
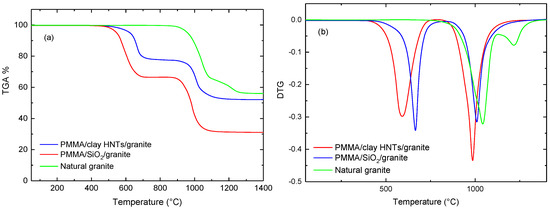
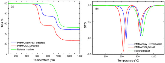
3. Results and Discussion
4. Conclusions
Acknowledgments
Author Contributions
Conflicts of Interest
References
- Hagrman, P.J.; Hagrman, D.; Zubieta, J. Organic-Inorganic Hybrid Materials: From “Simple” Coordination Polymers to Organodiamine-Templated Molybdenum Oxides. Angew. Chem. Int. Ed. 1999, 38, 2638–2684. [Google Scholar] [CrossRef]
- Baillie, C. Green Composites: Polymer Composites and the Environment; CRC Press: Boca Raton, FL, USA, 2005. [Google Scholar]
- Mai, Y.-W.; Yu, Z.-Z. Polymer Nanocomposites; Woodhead Publishing: Sawston, UK, 2006. [Google Scholar]
- El-Bashir, S. Photophysical Properties of PMMA Nanohybrids and Their Applications: Luminescent Solar Concentrators & Smart Greenhouses; LAP LAMBERT Academic Publishing: Saarbrücken, Germany, 2012. [Google Scholar]
- El-Bashir, S.M.; Binhussain, M.A.; Al-Thumairi, N.A.; AlZayed, N. Preparation and characterization of PMMA/stone waste nanocomposites for marmoreal artificial stone industry. J. Reinf. Plast. Compos. 2014, 33, 350–357. [Google Scholar] [CrossRef]
- Binhussain, M.A.; Abdul, S.M.E.-B.A. Synthetic Composition of Marble and Method of Production. U.S. Patent US8669303 B2, 11 March 2014. [Google Scholar]
- El-Bashir, S.; Hendi, A. A decorative construction material prepared by making use of marble waste granules and PMMA/SiO2 nanocomposites. Polym. Plast. Technol. Eng. 2009, 49, 78–82. [Google Scholar] [CrossRef]
- Kashiwagi, T.; Morgan, A.B.; Antonucci, J.M.; VanLandingham, M.R.; Harris, R.H.; Awad, W.H.; Shields, J.R. Thermal and flammability properties of a silica-poly (methylmethacrylate) nanocomposite. J. Appl. Polym. Sci. 2003, 89, 2072–2078. [Google Scholar] [CrossRef]
- Yanagase, A.; Ige, H.; Watanabe, H.; Okazaki, S. Artificial Marble and Method for Preparing It. U.S. Patent US6028127 A, 22 February 2000. [Google Scholar]
- Appleton, G.T.; Gosser, N.L.; Vogel, B.N. Antibacterial Solid Surface Materials with Restorable Antibacterial Effectiveness. U.S. Patent US6663877 B1, 16 December 2003. [Google Scholar]
- McKeen, L.W. Fatigue and Tribological Properties of Plastics and Elastomers; William Andrew: North-Holland, The Netherlands, 2016. [Google Scholar]
- Kawano, S.; Sei, A.; Kunitake, M. Thixotropic interparticle interaction between silica and nonionic polymer particles prepared by static dispersion polymerization. Polymer 2011, 52, 1577–1588. [Google Scholar] [CrossRef]
- Paetau, I.; Chen, C.-Z.; Jane, J.-L. Biodegradable plastic made from soybean products. 1. Effect of preparation and processing on mechanical properties and water absorption. Ind. Eng. Chem. Res. 1994, 33, 1821–1827. [Google Scholar] [CrossRef]
- Dhibar, A.; Mallick, S.; Rath, T.; Khatua, B. Effect of clay platelet dispersion as affected by the manufacturing techniques on thermal and mechanical properties of PMMA-clay nanocomposites. J. Appl. Polym. Sci. 2009, 113, 3012–3018. [Google Scholar] [CrossRef]
- Standard, A. D7264 Standard Test Method for Flexural Proper-Ties of Polymer Composite Materials; American Society for Testing and Materials: Philadelphia, PA, USA, 1993.
- Standard, A. D6110: Standard Test Method for Determining the Charpy Impact Resistance of Notched Specimens of Plastics; ASTM International: West Conshohocken, PA, USA, 2006.
- Standard, A. E18–11, 2011. Standard Test Methods for Rockwell Hardness of Metallic Materials; ASTM International: West Conshohocken, PA, USA, 2012.
- Narendar, R.; Dasan, K.P.; Jayachandran, J. Effect of hybridization and chemical treatment on the mechanical properties of coir pith/nylon/epoxy hybrid composites. Polym. Compos. 2016, 37, 649–657. [Google Scholar] [CrossRef]
- El-Bashir, S. Thermal and mechanical properties of plywood sheets based on polystyrene/silica nanocomposites and palm tree fibers. Polym. Bull. 2013, 70, 2035–2045. [Google Scholar] [CrossRef]
- Shah, V. Handbook of Plastics Testing and Failure Analysis; John Wiley & Sons: Hoboken, NJ, USA, 2007; Volume 21. [Google Scholar]
- Saminathan, K.; Selvakumar, P.; Bhatnagar, N. Fracture studies of polypropylene/nanoclay composite. Part I: Effect of loading rates on essential work of fracture. Polym. Test. 2008, 27, 296–307. [Google Scholar] [CrossRef]
- Watson, E.B. Basalt contamination by continental crust: Some experiments and models. Contrib. Mineral. Petrol. 1982, 80, 73–87. [Google Scholar] [CrossRef]
- Dowling, N.E. Mechanical Behavior of Materials; Pearson: London, UK, 2012. [Google Scholar]
- Mohamadpour, S.; Pourabbas, B.; Fabbri, P. Anti-scratch and adhesion properties of photo-curable polymer/clay nanocomposite coatings based on methacrylate monomers. Sci. Iran. 2011, 18, 765–771. [Google Scholar] [CrossRef]
- Acchar, W.; Vieira, F.; Hotza, D. Effect of marble and granite sludge in clay materials. Mater. Sci. Eng. A 2006, 419, 306–309. [Google Scholar] [CrossRef]
- Leung, S.N.; Khan, M.O.; Chan, E.; Naguib, H.; Dawson, F.; Adinkrah, V.; Lakatos-Hayward, L. Analytical modeling and characterization of heat transfer in thermally conductive polymer composites filled with spherical particulates. Compos. B 2013, 45, 43–49. [Google Scholar] [CrossRef]
- Maiti, M.; Mitra, S.; Bhowmick, A.K. Effect of nanoclays on high and low temperature degradation of fluoroelastomers. Polym. Degrad. Stab. 2008, 93, 188–200. [Google Scholar] [CrossRef]
- Golebiewski, J.; Galeski, A. Thermal stability of nanoclay polypropylene composites by simultaneous DSC and TGA. Compos. Sci. Technol. 2007, 67, 3442–3447. [Google Scholar] [CrossRef]











| Stone | PMMA/Nano SiO2 | PMMA/Clay HNTs |
|---|---|---|
| Marble | 44.07 | 47.04 |
| Basalt | 49.40 | 53.92 |
| Granite | 56.06 | 64.02 |
| Sample | E (103 MPa) | σm (MPa) | εm (%) | |||
|---|---|---|---|---|---|---|
| Nano SiO2 | Clay HNTs | Nano SiO2 | Clay HNTs | Nano SiO2 | Clay HNTs | |
| Marble | 4.72 | 5.50 | 190.10 | 218.00 | 4.16 | 4.54 |
| Basalt | 4.91 | 5.80 | 234.00 | 317.00 | 5.03 | 5.80 |
| Granite | 5.44 | 5.92 | 255.80 | 417.00 | 6.19 | 7.30 |
| Stone | ρ (g/cm3) | K (cal/cm s °C) | σdc (Ω−1 cm−1) | |||
|---|---|---|---|---|---|---|
| Natural | Artificial | Natural | Artificial | Natural | Artificial | |
| Marble | 2.56 | 1.57 | 6.51 × 10−3 | 2.82 × 10−4 | 1.21 × 10−14 | 1.20 × 10−19 |
| Basalt | 3.02 | 1.95 | 7.80 × 10−3 | 3.03 × 10−4 | 3.71 × 10−7 | 3.41 × 10−18 |
| Granite | 2.78 | 1.63 | 9.53 × 10−3 | 4.61 × 10−4 | 2.06 × 10−9 | 2.4 × 10−17 |
| Sample | PMMA/Nano SiO2 | PMMA/Clay HNTs | Natural |
|---|---|---|---|
| Marble | 15 | 29 | 47 |
| Basalt | 26 | 48 | 52 |
| Granite | 31 | 52 | 56 |
| Sample | PMMA/Nano SiO2 | PMMA/Clay HNTs | Natural | |||
|---|---|---|---|---|---|---|
| T1st (°C) | T2nd (°C) | T1st (°C) | T2nd (°C) | T1st (°C) | T2nd (°C) | |
| Marble | 522 | 736 | 594 | 852 | - | 855 |
| Basalt | 630 | 932 | 685 | 958 | - | 980 |
| Granite | 592 | 985 | 665 | 1010 | 1042 | 1219 |
© 2017 by the authors. Licensee MDPI, Basel, Switzerland. This article is an open access article distributed under the terms and conditions of the Creative Commons Attribution (CC BY) license (http://creativecommons.org/licenses/by/4.0/).
Share and Cite
EL-Bashir, S.; Althumairi, N.; Alzayed, N. Durability and Mechanical Performance of PMMA/Stone Sludge Nanocomposites for Acrylic Solid Surface Applications. Polymers 2017, 9, 604. https://doi.org/10.3390/polym9110604
EL-Bashir S, Althumairi N, Alzayed N. Durability and Mechanical Performance of PMMA/Stone Sludge Nanocomposites for Acrylic Solid Surface Applications. Polymers. 2017; 9(11):604. https://doi.org/10.3390/polym9110604
Chicago/Turabian StyleEL-Bashir, Samah, Nouf Althumairi, and Naser Alzayed. 2017. "Durability and Mechanical Performance of PMMA/Stone Sludge Nanocomposites for Acrylic Solid Surface Applications" Polymers 9, no. 11: 604. https://doi.org/10.3390/polym9110604
APA StyleEL-Bashir, S., Althumairi, N., & Alzayed, N. (2017). Durability and Mechanical Performance of PMMA/Stone Sludge Nanocomposites for Acrylic Solid Surface Applications. Polymers, 9(11), 604. https://doi.org/10.3390/polym9110604

