Synthesis and Characterization of Multifunctional Two-Component Waterborne Polyurethane Coatings: Fluorescence, Thermostability and Flame Retardancy
Abstract
:1. Introduction
2. Materials and Methods
2.1. Materials
2.2. Methods
2.3. Characterizations
2.3.1. NOWPU Emulsion
2.3.2. NOWPU Coatings and Films
3. Results
3.1. Structure Analysis of the NOWPU Films
3.2. Particle Size, Viscosity, and Emulsion Stability
3.3. Fluorescence
3.3.1. Stereohindrance Factors
3.3.2. Temperature Influence
3.3.3. Solvatochromic Factor
3.4. Thermal Properties and Mechanism
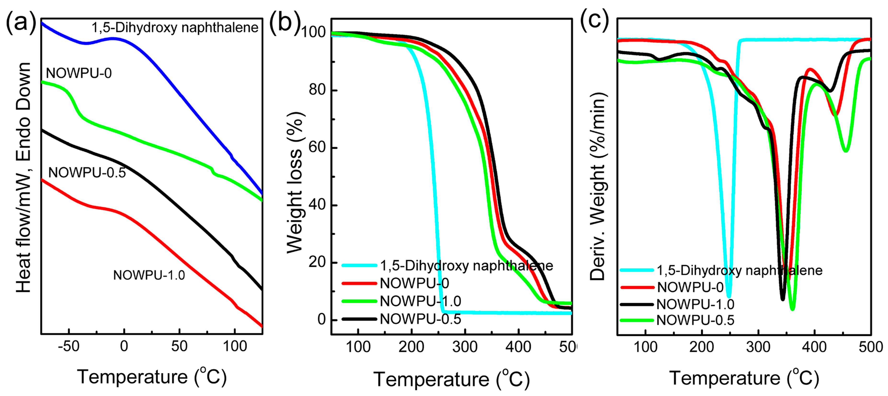
3.4.1. Thermal Properties Determined by DSC (Differential Scanning Calorimetry)
3.4.2. Thermal Properties Determined by TGA (Thermogravimetric Analysis)
3.4.3. Thermal Mechanism
3.5. Flame Retardancy and Mechanism
3.6. Application Evaluation
4. Discussion
5. Conclusions
Acknowledgments
Author Contributions
Conflicts of Interest
References
- Chung, Y.C.; Yang, K.; Choi, J.W.; Chun, B.C. Characterisation and application of polyurethane copolymers grafted with photoluminescent dyes. Color. Technol. 2014, 130, 305–313. [Google Scholar] [CrossRef]
- Chung, Y.C.; Choi, J.W.; Lee, H.L.; Chun, B.C. The characterization and effects of the alizarin series dyes grafted to polyurethane copolymers on the photoluminescence and low temperature flexibility. Fibers Polym. 2014, 15, 8–17. [Google Scholar] [CrossRef]
- Guo, L.; Wang, L.; Huang, S.; Qu, J. Synthesis and properties of novel water-dispersible polyisocyanates. J. Appl. Polym. Sci. 2017, 134, 44735. [Google Scholar] [CrossRef]
- Ge, Z.; Luo, Y. Synthesis and characterization of siloxane-modified two-component waterborne polyurethane. Prog. Org. Coat. 2013, 76, 1522–1526. [Google Scholar] [CrossRef]
- Wu, G.; Li, J.; Chai, C.; Ge, Z.; Lin, J.; Luo, Y. Synthesis and characterization of novel post-chain extension flame retardant waterborne polyurethane. RSC Adv. 2015, 5, 97710–97719. [Google Scholar] [CrossRef]
- Alcón, M.J.; Ribera, G.; Galià, M.; Cádiz, V. Advanced flame-retardant epoxy resins from phosphorus-containing diol. J. Polym. Sci. Part A Polym. Chem. 2005, 43, 3510–3515. [Google Scholar] [CrossRef]
- Chagnon, L.; Arnold, G.; Giljean, S.; Brogly, M. Elastic recovery and creep properties of waterborne two-component polyurethanes investigated by micro-indentation. Prog. Org. Coat. 2013, 76, 1337–1345. [Google Scholar] [CrossRef]
- Yin, X.; Luo, Y.; Zhang, J. Synthesis and Characterization of Halogen-Free Flame Retardant Two-Component Waterborne Polyurethane by Different Modification. Ind. Eng. Chem. Res. 2017, 56, 1791–1802. [Google Scholar] [CrossRef]
- Qu, J.; Tu, W.; Chen, H. Synthesis and Characterization of Two Component Waterborne Polyurethane Paints. J. Chem. Eng. Chin. Univ. 2002, 16, 213–216. [Google Scholar]
- Park, J.; Lee, J.; Park, T. Improved interfacial shear strength and durability of single carbon fiber reinforced isotactic polypropylene composites using water-dispersible graft copolymer as a coupling agent. Polym. Compos. 1996, 17, 375–383. [Google Scholar] [CrossRef]
- Wu, G.M.; Chen, J.; Huo, S.P.; Liu, G.F.; Kong, Z.W. Thermoset nanocomposites from two-component waterborne polyurethanes and cellulose whiskers. Carbohydr. Polym. 2014, 105, 207–213. [Google Scholar] [CrossRef] [PubMed]
- Luo, Y.; Yin, X.; Chai, C.; Ge, Z. A Kind of Mixed Hydrophilic Polyisocyanate Curing Agent and its Preparation Method. CN Patent 201610935289.5, 19 April 2017. [Google Scholar]
- Hu, X.; Zhang, X.; Liu, J.; Dai, J. Synthesis, characterization and fluorescence performance of a waterborne polyurethane-based fluorescent dye 4-amino-N-cyclohexyl-1,8-naphthalimide, WPU-ACN. Polym. Int. 2014, 63, 453–458. [Google Scholar] [CrossRef]
- Hu, X.; Zhang, X.; Liu, J.; Dai, J. Synthesis, characterization and fluorescence performance of a waterborne polyurethane-based polymeric dye. J. Lumin. 2013, 42, 23–27. [Google Scholar] [CrossRef]
- Kim, B.K.; Lee, J.C. Polyurethane ionomer dispersions from poly(neopertylene phthalate) glycol and isophorone diisocyanate. Polymer 1996, 37, 469–475. [Google Scholar] [CrossRef]
- Hu, X.H.; Zhang, X.Y.; Dai, J.B. Synthesis and characterization of a novel waterborne stilbene-based polyurethane fluorescent brightener. Chin. Chem. Lett. 2011, 22, 997–1000. [Google Scholar] [CrossRef]
- Hu, X.; Zhang, X.; Liu, J. Synthesis and Optical Performances of a Waterborne Polyurethane-Based Polymeric Dye. Int. J. Polym. Sci. 2015, 2015, 1–8. [Google Scholar] [CrossRef]
- Sheng Li, W.; Tie Jun, S.; Li Yuan, Z. Latex co-coagulation approach to fabrication of polyurethane-graphene nanocomposites with improved electrical conductivity, thermal conductivity, and barrier property. J. Appl. Polym. Sci. 2016, 133, 43117–43219. [Google Scholar] [CrossRef]
- Zhou, C.; Xie, T.; Zhou, R.; Trindle, C.O.; Tikman, Y.; Zhang, X.; Zhang, G. Waterborne Polyurethanes with Tunable Fluorescence and Room-Temperature Phosphorescence. ACS Appl. Mater. Interfaces 2015, 7, 17209–17216. [Google Scholar] [CrossRef] [PubMed]
- Cho, B.S.; Kim, J.S.; Lee, J.M.; Kweon, J.O.; Noh, S.T. Synthesis and characterization of poly(ferrocenyl glycidyl ether)-1,2-butylene oxide copolymers. Macromol. Res. 2014, 22, 826–831. [Google Scholar] [CrossRef]
- Aguirresarobe, R.H.; Martin, L.; Fernandez-Berridi, M.J.; Irusta, L. Autonomic healable waterborne organic-inorganic polyurethane hybrids based on aromatic disulfide moieties. Express Polym. Lett. 2017, 11, 266–277. [Google Scholar] [CrossRef]
- Gallagher, S. Synthesis and Characterization of Phosphonate-Containing Polysiloxanes. J. Polym. Sci. Part A Polym. Chem. 2003, 41, 48–59. [Google Scholar] [CrossRef]
- Gu, L.; Luo, Y. Flame Retardancy and Thermal Decomposition of Phosphorus-Containing Waterborne Polyurethanes Modified by Halogen-Free Flame Retardants. Ind. Eng. Chem. Res. 2015, 54, 2431–2438. [Google Scholar] [CrossRef]
- Wu, G.; Li, J.; Luo, Y. Flame retardancy and thermal degradation mechanism of a novel post-chain extension flame retardant waterborne polyurethane. Polym. Degrad. Stab. 2016, 123, 36–46. [Google Scholar] [CrossRef]
- Zhang, P.; Tian, S.; Fan, H.; Chen, Y.; Yan, J. Flame retardancy and hydrolysis resistance of waterborne polyurethane bearing organophosphate moieties lateral chain. Prog. Org. Coat. 2015, 89, 170–180. [Google Scholar] [CrossRef]
- Zhang, P.; He, Y.; Tian, S.; Fan, H.; Chen, Y.; Yan, J. Flame retardancy, mechanical, and thermal properties of waterborne polyurethane conjugated with a novel phosphorous-nitrogen intumescent flame retardant. Polym. Compos. 2017, 38, 452–462. [Google Scholar] [CrossRef]
- Yu, F.; Cao, L.; Meng, Z.; Lin, N.; Liu, X. Crosslinked waterborne polyurethane with high waterproof performance. Polym. Chem. 2016, 7, 3913–3922. [Google Scholar] [CrossRef]










| Sample | 1,5-dihydroxy Naphthalene (g) | PPG1000 (g) | OP550 (g) | IPDI (g) | DMPA (g) | TEA (g) | Acetone (g) | M12A4 (g) | Deionized Water (g) |
|---|---|---|---|---|---|---|---|---|---|
| GOWPU-1.6 | 0.0 | 50.0 | 13.5 | 20.9 | 5.0 | 5.0 | 20.0 | 7.6 | 238 |
| NOWPU-0.1 | 0.1 | 50.0 | 14.5 | 21.1 | 5.2 | 5.2 | 20.8 | 7.7 | 242 |
| NOWPU-0.5 | 1.0 | 50.0 | 15.0 | 22.6 | 5.4 | 5.4 | 21.6 | 8.0 | 251 |
| NOWPU-1.0 | 2.1 | 50.0 | 15.5 | 24.3 | 5.6 | 5.6 | 22.4 | 8.3 | 259 |
| NOWPU-1.5 | 3.2 | 50.0 | 16.2 | 26.2 | 5.8 | 5.8 | 23.2 | 8.6 | 270 |
| NOWPU-2.0 | 5.8 | 50.0 | 16.8 | 28.2 | 6.0 | 6.0 | 24.0 | 9.0 | 284 |
| Sample | Tgs (°C) | Tgh (°C) | ΔTg (°C) |
|---|---|---|---|
| 1,5-Dihydroxy naphthalene | −37.7 | 97.6 | 135.3 |
| NOWPU-0 | −44.8 | 79.9 | 124.7 |
| NOWPU-0.5 | −34.6 | 99.3 | 133.9 |
| NOWPU-1.0 | −40.7 | 99.8 | 140.5 |
| Sample | 1st Stage | 2nd Stage | 3rd Stage | 4th Stage | Tcom (°C) | ||||||||
|---|---|---|---|---|---|---|---|---|---|---|---|---|---|
| T0 (°C) | Vmax (%/min) | Tmax (°C) | T0 (°C) | Vmax (%/min) | Tmax (°C) | T0 (°C) | Vmax (%/min) | Tmax (°C) | T0 (°C) | Vmax (%/min) | Tmax (°C) | ||
| 1,5-Dihydroxy naphthalene | 141 | 0.0304 | 248 | - | - | - | - | - | - | - | - | - | 274 |
| NOWPU-0 | 180 | 0.0019 | 230 | 245 | 0.0039 | 309 | 324 | 0.0123 | 351 | 391 | 0.0040 | 440 | 470 |
| NOWPU-0.5 | 174 | 0.0008 | 227 | 238 | 0.0049 | 315 | 318 | 0.0158 | 343 | 408 | 0.0026 | 427 | 500 |
| NOWPU-1.0 | 176 | 0.0012 | 231 | 252 | 0.0072 | 324 | 343 | 0.0126 | 361 | 409 | 0.0047 | 456 | 500 |
| Sample | LOI Value (%) | Carbon Residue Yield (%) | UL-94 Result |
|---|---|---|---|
| NOWPU-0.5 | 29.4 | 4.2 | V-0 |
| NOWPU-1.0 | 31.2 | 5.9 | V-0 |
| Sample | Pencil Hardness | Transmittance (%) | Solvent Resistance | |||
|---|---|---|---|---|---|---|
| UV 200 nm | UV 400 nm | Visible Light 800 nm | Natural Light | |||
| NOWPU-0.5 | H | 22.2 | 78.3 | 82.7 | 91.2 | Pass |
| NOWPU-1.0 | 2H | 0.1 | 90.0 | 95.5 | 100.0 | Pass |
© 2017 by the authors. Licensee MDPI, Basel, Switzerland. This article is an open access article distributed under the terms and conditions of the Creative Commons Attribution (CC BY) license (http://creativecommons.org/licenses/by/4.0/).
Share and Cite
Yin, X.; Li, X.; Luo, Y. Synthesis and Characterization of Multifunctional Two-Component Waterborne Polyurethane Coatings: Fluorescence, Thermostability and Flame Retardancy. Polymers 2017, 9, 492. https://doi.org/10.3390/polym9100492
Yin X, Li X, Luo Y. Synthesis and Characterization of Multifunctional Two-Component Waterborne Polyurethane Coatings: Fluorescence, Thermostability and Flame Retardancy. Polymers. 2017; 9(10):492. https://doi.org/10.3390/polym9100492
Chicago/Turabian StyleYin, Xuan, Xiaoyu Li, and Yunjun Luo. 2017. "Synthesis and Characterization of Multifunctional Two-Component Waterborne Polyurethane Coatings: Fluorescence, Thermostability and Flame Retardancy" Polymers 9, no. 10: 492. https://doi.org/10.3390/polym9100492
APA StyleYin, X., Li, X., & Luo, Y. (2017). Synthesis and Characterization of Multifunctional Two-Component Waterborne Polyurethane Coatings: Fluorescence, Thermostability and Flame Retardancy. Polymers, 9(10), 492. https://doi.org/10.3390/polym9100492

