FRP-Confined Recycled Coarse Aggregate Concrete: Experimental Investigation and Model Comparison
Abstract
:1. Introduction
2. Experimental Program
2.1. Recycled Aggregate (RA)
2.2. Design of Test Specimens
2.3. Material Properties
2.4. Specimen Preparation
2.5. Test Setup and Instrumentation
3. Test Results and Discussions
3.1. Failure Mode
3.2. Stress–Strain Behavior
3.3. Hoop Rupture Strain of CFRP
4. Influence Factor Analyses
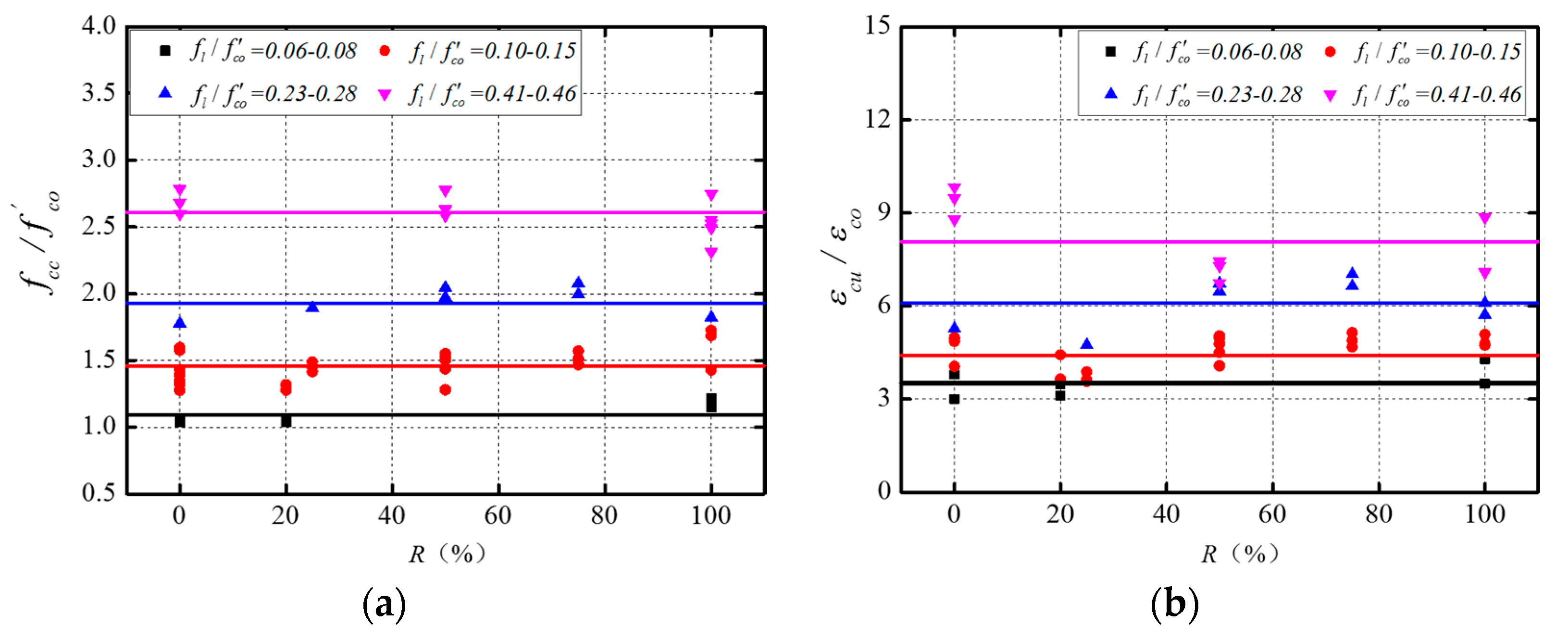
4.1. Effects of FRP Type
4.2. Effects of the Replacement Ratio of RA
5. Comparisons with Existing Ultimate Strength and Strain Models
6. Comparisons with Existing Stress–Strain Models
6.1. Existing Stress–Strain Models and Discussion
6.2. Comparison of Zhou and Wu’s Model and Jiang and Teng’s Model
7. Conclusions
- (1)
- The compressive behaviors of FRP-confined RAC are similar to those of FRP-confined NAC. Effective FRP confinement can significantly improve the ultimate strength and ultimate strain of RAC.
- (2)
- The experimental results indicate that a different replacement ratio of recycled aggregate between specimens with similar concrete strength (i.e., C2-100% and C1-30%) provide higher ultimate axial strain for higher confinement (see C2R100E3 versus C1R30E3, Figure 4b,e). The analysis of the compiled database for FRP-confined RAC indicates that the mechanical properties of FRP-confined RAC significantly depend on the confinement ratio instead of FRP type and the replacement ratio of RA has a very slight influence on the behavior of FRP-confined RAC.
- (3)
- Through the quantitative assessment of eleven well-recognized strength and strain models of FRP-confined NAC, it can be concluded that the models proposed by Jiang and Teng [2] and Wei and Wu [57] have respectively the top performance in predicting the ultimate strength and ultimate strain of FRP-confined RAC. On this basis, this paper finally recommends the use of Zhou and Wu’s model [60] and Jiang and Teng’s model [2] to respectively simulate the axial stress–axial strain and axial stress–lateral strain behaviors of FRP-confined RAC, which have provided a reasonable accuracy in prediction.
Acknowledgments
Author Contributions
Conflicts of Interest
Notation
| E1 | initial elasticity modulus of FRP-confined concrete |
| E2 | the slope of the asymptotical line of the hardening branch of the stress–strain curve |
| Ec | initial elasticity modulus of concrete |
| Efrp | elasticity modulus of FRP |
| R | the replacement ratio of RA |
| D | the diameter of the circular section |
| ffrp | ultimate tensile strength of FRP |
| compressive strength of unconfined concrete | |
| fcc | ultimate strength of CFRP-confined concrete |
| kε | FRP strain efficiency factor |
| fo | stress value at the intersection of the back-extended asymptotical line of stress–strain curve |
| n | the shape parameter of the curve |
| tfrp | thickness of FRP fiber |
| εfrp | ultimate strain of FRP |
| εh,frp | average hoop rupture strain of CFRP |
| εhm,frp | maximum hoop rupture strain of CFRP |
| εo | axial peak strain |
| εcu | ultimate strain of CFRP-confined concrete |
References
- Xiao, J.Z.; Li, W.G.; Fan, Y.H.; Huang, X. An overview of study on recycled aggregate concrete in China (1996–2011). Constr. Build. Mater. 2012, 31, 364–383. [Google Scholar] [CrossRef]
- Jiang, T.; Teng, J.G. Analysis-oriented stress-strain models for FRP-confined concrete. Eng. Struct. 2007, 29, 2968–2986. [Google Scholar] [CrossRef]
- Lam, L.; Teng, J.G. Design-oriented stress-strain model for FRP-confined concrete. Constr. Build. Mater. 2003, 17, 471–489. [Google Scholar] [CrossRef]
- Rochette, P.; Labossiere, P. Axial testing of rectangular column models confined with composites. ASCE J. Compos. Constr. 2000, 4, 129–136. [Google Scholar] [CrossRef]
- Toutanji, H.A. Stress-strain characteristics of concrete columns externally confined with advanced fiber composite sheets. ACI Mater. J. 1999, 96, 397–404. [Google Scholar]
- Wang, Y.C.; Restrepo, J.I. Investigation of concentrically loaded reinforced concrete columns confined with glass fiber-reinforced polymer jackets. ACI Struct. J. 2001, 98, 377–385. [Google Scholar]
- Nisticò, N.; Monti, G. RC square sections confined by FRP: Analytical prediction of peak strength. Compos. B Eng. 2013, 45, 127–137. [Google Scholar] [CrossRef]
- Nisticò, N. RC square sections confined by FRP: A numerical procedure for predicting stress–strain relationships. Compos. B Eng. 2014, 59, 238–247. [Google Scholar] [CrossRef]
- Ilki, A.; Peker, O.; Karamuk, E.; Demir, C.; Kumbasar, N. FRP retrofit of low and medium strength circular and rectangular reinforced concrete columns. J. Mater. Civ. Eng. 2008, 20, 169–188. [Google Scholar] [CrossRef]
- Lignola, G.P.; Prota, A.; Manfredi, G.; Cosenza, E. Nonlinear modeling of RC rectangular hollow piers confined with CFRP. Compos. Struct. 2009, 88, 56–64. [Google Scholar] [CrossRef]
- Wang, L.M.; Wu, Y.F. Effects of corner radius on the performance of CFRP-confined square concrete columns: Test. Eng. Struct. 2007, 16, 1–13. [Google Scholar] [CrossRef]
- Wu, Y.F.; Wei, Y.Y. Effect of cross-sectional aspect ratio on the strength of CFRP-confined rectangular concrete columns. Eng. Struct. 2010, 32, 32–45. [Google Scholar] [CrossRef]
- Teng, J.G.; Jiang, T. Refinement of a design-oriented stress-strain model for FRP-confined concrete. ASCE J. Compos. Constr. 2009, 7, 269–278. [Google Scholar] [CrossRef]
- Wu, Y.F.; Jiang, J.F. Effective strain of FRP for confined circular concrete columns. Compos. Struct. 2013, 95, 479–491. [Google Scholar] [CrossRef]
- Dai, J.G.; Bai, Y.L.; Teng, J.G. Behavior and modeling of concrete confined with FRP composites of large deformability. ASCE J. Compos. Constr. 2011, 6, 963–973. [Google Scholar] [CrossRef]
- Bai, Y.L.; Dai, J.G.; Teng, J.G. Cyclic compressive behavior of concrete confined with large rupture strain FRP composites. J. Compos. Constr. ASCE 2014, 1, 4013025. [Google Scholar] [CrossRef]
- Xiao, Y.; Wu, H. Compressive behavior of concrete confined by various types of FRP composite jackets. J. Reinf. Plast. Compos. 2003, 22, 1187–1201. [Google Scholar] [CrossRef]
- Anggawidjaja, D.; Ueda, T.; Dai, J.; Nakai, H. Deformation capacity of RC piers by new fiber-reinforced polymer with large fracture strain. Cem. Concr. Compos. 2006, 28, 914–927. [Google Scholar] [CrossRef]
- Rousakis, T. Elastic Fiber Ropes of Ultrahigh-Extension Capacity in Strengthening of Concrete through Confinement. J. Mater. Civ. Eng. 2014, 26, 34–44. [Google Scholar] [CrossRef]
- Wu, Y.W.; Yun, Y.C.; Wei, Y.Y.; Zhou, Y.W. Effect of Predamage on the Stress-Strain Relationship of Confined Concrete under Monotonic Loading. ASCE J. Struct. Eng. 2014, 12, 139–146. [Google Scholar] [CrossRef]
- Zhou, Y.W.; Li, M.L.; Sui, L.L.; Xing, F. Effect of sulfate attack on the stress–strain relationship of FRP-confined concrete. Constr. Build. Mater. 2016, 110, 235–250. [Google Scholar] [CrossRef]
- Mirmiran, A.; Shahawy, M.; Samaan, M.; Echary, H. Effect of column parameters on FRP-confined concrete. ASCE J. Compos. Constr. 1998, 2, 175–185. [Google Scholar] [CrossRef]
- Kabir, M.; Shafei, E. Plasticity modeling of FRP confined circular reinforced concrete columns subjected to eccentric axial loading. Compos. B Eng. 2012, 43, 34973506. [Google Scholar] [CrossRef]
- Lignola, G.P.; Prota, A.; Manfredi, G.; Cosenza, E. Deformability of reinforced concrete hollow columns confined with CFRP. ACI Struct. J. 2007, 104, 629637. [Google Scholar]
- Zohrevand, P.; Mirmiran, A. Behavior of Ultrahigh-Performance Concrete Confined by Fiber-Reinforced Polymers. ASCE J. Mater. Civ. Eng. 2011, 23, 1727–1734. [Google Scholar] [CrossRef]
- Xiao, Y.; Wu, H.; Priestley, J.N. Full-scale Testing of a Parking Structure Column Reinforced with Carbon Fiber Reinforced Composites. Constr. Build. Mater. 2000, 14, 63–71. [Google Scholar]
- Matthys, S.; Toutanji, H.; Audenaert, K.; Taerwe, L. Axial load behavior of large-scale columns confined with fiber-reinforced polymer composites. ACI Struct. J. 2005, 102, 258–267. [Google Scholar]
- De Luca, A.; Nardone, F.; Matta, F.; Nanni, A.; Lignola, G.; Prota, A. Structural evaluation of full-scale FRP-confined reinforced concrete columns. J. Compos. Constr. 2011, 15, 112–123. [Google Scholar] [CrossRef]
- Rousakis, T.C.; Tourtouras, I.S. RC Columns of Square Section-Passive and Active Confinement with Composite Ropes. Compos. B Eng. 2014, 58, 573–581. [Google Scholar] [CrossRef]
- Monti, G.; Nistico, N. Square and rectangular concrete columns confined by CFRP: Experimental and numerical investigation. Mech. Compos. Mater. 2008, 44, 289–308. [Google Scholar] [CrossRef]
- Bocciarelli, M.; Gambarelli, S.; Nisticò, N.; Pisani, M.A.; Poggi, C. Shear failure of RC elements strengthened with steel profiles and CFRP wraps. Compos. B Eng. 2014, 67, 9–21. [Google Scholar] [CrossRef]
- Karantzikis, M.; Papanicolaou, C.G.; Antonopoulos, C.P.; Triantafillou, T.C. Experimental investigation of nonconventional confinement for concrete using FRP. J. Compos. Constr. 2005, 9, 480–487. [Google Scholar] [CrossRef]
- Rousakis, T. Hybrid Confinement of Concrete by FRP Sheets and Fiber Ropes Under Cyclic Axial Compressive Loading. ASCE J. Compos. Constr. 2013, 17, 732–743. [Google Scholar] [CrossRef]
- Triantafillou, T.C.; Papanicolaou, C.G.; Zissimopoulos, P.; Laourdekis, T. Concrete confinement with textile-reinforced mortar jackets. ACI Struct. J. 2006, 103, 28–37. [Google Scholar]
- Choi, E.; Jeon, J.S.; Cho, B.S.; Park, K. External jacket of FRP wire for confining concrete and its advantages. Eng. Struct. 2013, 56, 555–566. [Google Scholar] [CrossRef]
- Triantafyllou, G.G.; Rousakis, T.C.; Karabinis, A.I. Axially Loaded Reinforced Concrete Columns with a Square Section Partially Confined by Light GFRP Straps. ASCE Compos. Constr. 2015, 19, 04014035. [Google Scholar] [CrossRef]
- Barros, J.A.O.; Ferreira, D.R.S.M. Assessing the efficiency of CFRP discrete confinement systems for concrete cylinders. J. Compos. Constr. 2008, 12, 134–148. [Google Scholar] [CrossRef]
- Spoelstra, M.R.; Monti, G. FRP-confined concrete model. ASCE J. Compos. Constr. 1999, 3, 143–150. [Google Scholar] [CrossRef]
- Wang, Z.; Wang, D.; Smith, T.S.; Lu, D. CFRP confined square columns. II: Cyclic axial compression stress-strain model. J. Compos. Constr. 2012, 16, 161–170. [Google Scholar] [CrossRef]
- Rousakis, T.C.; Tourtouras, I.S. Modeling of passive and active external confinement of RC columns with elastic material. ZAMM 2015, 95, 1046–1057. [Google Scholar] [CrossRef]
- Xiao, Y.; Wu, H. Compressive behavior of concrete confined by carbon fiber composite jackets. ASCE J. Mater. Civ. Eng. 2000, 12, 139–146. [Google Scholar] [CrossRef]
- Bisby, L.A.; Dent, A.J.S.; Green, M.F. Comparison of confinement models for fiber-reinforced polymer-wrapped concrete. ACI Struct. J. 2005, 102, 62–72. [Google Scholar]
- Tamuzs, V.; Tepfers, R.; Sparnins, E. Behavior of concrete cylinders confined by carbon composite II: Prediction of strength. Mech. Compos. Mater. 2006, 42, 109–118. [Google Scholar] [CrossRef]
- Tamuzs, V.; Tepfers, R.; Zile, E.; Ladnova, O. Behavior of concrete cylinders confined by a carbon composite III: Deformability and the ultimate axial strain. Mech. Compos. Mater. 2006, 42, 303–314. [Google Scholar] [CrossRef]
- Berthet, J.F.; Ferrier, E.; Hamelin, P. Compressive behavior of concrete externally confined by composite jackets. Part B: Model. Constr. Build. Mater. 2006, 20, 338–347. [Google Scholar] [CrossRef]
- Youssef, M.N.; Feng, M.Q.; Mosallam, N.S. Stress-strain model for concrete confined by FRP composites. Compos. B Eng. 2007, 38, 614–628. [Google Scholar] [CrossRef]
- Wu, Y.F.; Zhou, Y.W. Unified strength model based on Hoek–Brown failure criterion for circular and square concrete columns confined by FRP. ASCE J. Compos. Constr. 2010, 14, 175–184. [Google Scholar] [CrossRef]
- Ozbakkaloglu, T.; Lim, T.C. Axial compressive behavior of FRP-confined concrete: Experimental test database and a new design-oriented model. Compos. B Eng. 2013, 55, 607–634. [Google Scholar] [CrossRef]
- Xiao, J.Z.; Tresserras, J.; Tam, W.Y. GFRP-tube confined RAC under axial and eccentric loading with and without expansive agent. Constr. Build. Mater. 2014, 73, 575–585. [Google Scholar] [CrossRef]
- Xiao, J.Z.; Huang, Y.J.; Yang, J.; Zhang, C.H. Mechanical properties of confined recycled aggregate concrete under axial compression. Constr. Build. Mater. 2012, 26, 591–603. [Google Scholar] [CrossRef]
- Zhao, J.L.; Yu, T.; Teng, J.G. Stress-Strain Behavior of FRP-Confined Recycled Aggregate Concrete. ASCE J. Compos. Constr. 2015, 19, 04014054-1-11. [Google Scholar] [CrossRef]
- Chen, G.M.; He, Y.H.; Jiang, T.; Lin, C.J. Behavior of CFRP-confined recycled aggregate concrete under axial compression. Constr. Build. Mater. 2016, 111, 85–97. [Google Scholar] [CrossRef]
- Rousakis, T.C. Reusable and recyclable nonbonded composite tapes and ropes for concrete columns confinement. Compos. B Eng. 2016, 103, 15–22. [Google Scholar] [CrossRef]
- Ozbakkaloglu, T.; Vincent, T. Axial compressive behavior of circular high strength concrete-filled FRP tubes. ASCE J. Compos. Constr. 2013, 18. [Google Scholar] [CrossRef]
- Ozbakkaloglu, T.; Lim, J.C.; Vincent, T.H. FRP-confined concrete in circular sections: Review and assessment of stress-strain models. Eng. Struct. 2013, 49, 1068–1088. [Google Scholar] [CrossRef]
- Nisticò, N.; Pallini, F.; Rousakis, T.; Wu, Y.F.; Karabinis, A. Peak strength and ultimate strain prediction for FRP confined square and circular concrete sections. Compos. B Eng. 2014, 67, 543–554. [Google Scholar] [CrossRef]
- Wei, Y.Y.; Wu, Y.F. Unified stress-strain model of concrete for FRP-confined columns. Constr. Build. Mater. 2012, 26, 381–392. [Google Scholar] [CrossRef]
- De Lorenzis, L.; Tepfers, R. Comparative study of models on confinement of concrete cylinders with fiber reinforced polymer composites. J. Compos. Constr. 2003, 7, 219–237. [Google Scholar] [CrossRef]
- Samaan, M.; Mirmiran, A.; Shahawy, M. Model of concrete confined by fiber composites. ASCE J. Struct. Eng. 1998, 124, 1025–1031. [Google Scholar] [CrossRef]
- Zhou, Y.W.; Wu, Y.F. General model for constitutive relationships of concrete and its composites structures. Compos. Struct. 2012, 94, 580–592. [Google Scholar] [CrossRef]
- Zhou, Y.W.; Liu, X.M.; Xing, F.; Cui, H.Z.; Sui, L.L. Axial Compressive Behavior of FRP-confined Lightweight Aggregate Concrete: An Experimental Study and Stress-strain Relation Model. Constr. Build. Mater. 2016, 119, 1–15. [Google Scholar] [CrossRef]
- Harajli, M.H. Axial stress-strain relationship for FRP confined circular and rectangular concrete columns. Cem. Concr. Compos. 2006, 28, 938–948. [Google Scholar] [CrossRef]












| Aggregate type | Size range (mm) | Apparent density (kg/m3) | Water absorption rate (%) | Stacking density (kg/m3) | Crushing index (%) |
|---|---|---|---|---|---|
| RA | 5–31.5 | 2476.9 | 6.31 | 1,158.2 | 18.6 |
| NA | 5–31.5 | 2650.0 | 1.35 | 1,515.3 | 11.2 |
| Series name | Replacement ratio of RA, R (%) | Number of CFRP layers | Number of identical specimens | Subtotal of test specimens |
|---|---|---|---|---|
| C1 | 0, 30, 50, 100 a | 0, 1, 3 | 3 | 33 |
| C2 | 100 | 0, 1, 3 | 3 | 9 |
| C3 | 100 | 0, 3 | 3 | 6 |
| Series name | Replacement ratio, R | W/C | Cement (kg/m3) | Water (kg/m3) | RA (kg/m3) | NA (kg/m3) | Sand (kg/m3) | Water reducing agent | Concrete strength (MPa) |
|---|---|---|---|---|---|---|---|---|---|
| C1 | 0% | 0.35 | 563 | 190 | 0 | 838 | 1,275 | 1.80% | 48.41 |
| C1 | 30% | 0.35 | 563 | 190 | 251 | 587 | 1,275 | 1.80% | 42.74 |
| C1 | 50% | 0.35 | 563 | 190 | 419 | 419 | 1,275 | 1.80% | 43.06 |
| C1 | 100% | 0.35 | 563 | 190 | 838 | 0 | 1,275 | 3.50% | 37.21 |
| C2 | 100% | 0.45 | 500 | 219 | 880 | 0 | 1,259 | 2.50% | 40.54 |
| C3 | 100% | 0.30 | 625 | 179 | 838 | 0 | 1,253 | 3.00% | 56.34 |
| Specimen name | R | FRP type | Efrp | ffrp | tfrp | FRP layers | * | fcc | Ec * | fo * | ||||
|---|---|---|---|---|---|---|---|---|---|---|---|---|---|---|
| (%) | (GPa) | (GPa) | (mm) | (%) | (%) | (%) | (%) | (MPa) | (GPa) | (MPa) | ||||
| C1R0E1N1 | 0 | CFRP | 272.73 | 3.93 | 0.167 | 1 | 0.2 | 1.216 | 1.096 | 0.685 | 0.65 a | 65.14 | 30.3 | 55.08 |
| C1R0E1N2 | 0 | CFRP | 272.73 | 3.93 | 0.167 | 1 | 0.2 | 1.09 | 77.28 | |||||
| C1R0E1N3 | 0 | CFRP | 272.73 | 3.93 | 0.167 | 1 | 0.2 | 1.00 | 76.32 | |||||
| C1R0E3N1 | 0 | CFRP | 272.73 | 3.93 | 0.167 | 3 | 0.2 | 1.485 | 1.347 | 0.842 | 1.90 | 129.80 | 30.3 | 75.39 |
| C1R0E3N2 | 0 | CFRP | 272.73 | 3.93 | 0.167 | 3 | 0.2 | 1.96 | 134.76 | |||||
| C1R0E3N3 | 0 | CFRP | 272.73 | 3.93 | 0.167 | 3 | 0.2 | 1.76 | 125.76 | |||||
| C1R30E1N1 | 30 | CFRP | 272.73 | 3.93 | 0.167 | 1 | 0.2 | 1.394 | 1.285 | 0.803 | 1.05 | 67.04 | 31.8 | 42.63 |
| C1R30E1N2 | 30 | CFRP | 272.73 | 3.93 | 0.167 | 1 | 0.2 | 0.96 | 65.22 | |||||
| C1R30E1N3 | 30 | CFRP | 272.73 | 3.93 | 0.167 | 1 | 0.2 | 0.99 | 64.04 | |||||
| C1R30E3N1 | 30 | CFRP | 272.73 | 3.93 | 0.167 | 3 | 0.2 | 1.101 | 0.954 | 0.596 | 1.80 | 96.12 | 31.8 | 62.93 |
| C1R30E3N2 | 30 | CFRP | 272.73 | 3.93 | 0.167 | 3 | 0.2 | 1.53 | 89.03 | |||||
| C1R30E3N3 | 30 | CFRP | 272.73 | 3.93 | 0.167 | 3 | 0.2 | 1.77 | 95.78 | |||||
| C1R50E1N1 | 50 | CFRP | 272.73 | 3.93 | 0.167 | 1 | 0.2 | 1.258 | 1.103 | 0.689 | 0.82 | 61.87 | 30.8 | 50.65 |
| C1R50E1N2 | 50 | CFRP | 272.73 | 3.93 | 0.167 | 1 | 0.2 | 0.90 | 62.23 | |||||
| C1R50E1N3 | 50 | CFRP | 272.73 | 3.93 | 0.167 | 1 | 0.2 | 0.51 a | 55.09 | |||||
| C1R50E3N1 | 50 | CFRP | 272.73 | 3.93 | 0.167 | 3 | 0.2 | 1.388 | 1.197 | 0.748 | 1.49 | 119.59 | 30.8 | 70.95 |
| C1R50E3N2 | 50 | CFRP | 272.73 | 3.93 | 0.167 | 3 | 0.2 | 1.35 | 111.36 | |||||
| C1R50E3N3 | 50 | CFRP | 272.73 | 3.93 | 0.167 | 3 | 0.2 | 1.46 | 113.40 | |||||
| C1R100E3N1 | 100 | CFRP | 272.73 | 3.93 | 0.167 | 3 | 0.2 | 1.184 | 0.988 | 0.618 | 1.42 | 102.19 | 31.3 | 65.26 |
| C1R100E3N2 | 100 | CFRP | 272.73 | 3.93 | 0.167 | 3 | 0.2 | 1.77 | 94.04 | |||||
| C1R100E3N3 | 100 | CFRP | 272.73 | 3.93 | 0.167 | 3 | 0.2 | 1.42 | 95.01 | |||||
| C2R100E1N1 | 100 | CFRP | 272.73 | 3.93 | 0.167 | 1 | 0.2 | 1.283 | 1.148 | 0.718 | 0.92 | 58.10 | 31.3 | 37.82 |
| C2R100E1N2 | 100 | CFRP | 272.73 | 3.93 | 0.167 | 1 | 0.2 | 0.97 | 57.80 | |||||
| C2R100E1N3 | 100 | CFRP | 272.73 | 3.93 | 0.167 | 1 | 0.2 | 1.04 | 60.92 | |||||
| C2R100E3N1 | 100 | CFRP | 272.73 | 3.93 | 0.167 | 3 | 0.2 | 1.169 | 1.021 | 0.638 | 2.25 | 101.00 | 31.3 | 58.12 |
| C2R100E3N2 | 100 | CFRP | 272.73 | 3.93 | 0.167 | 3 | 0.2 | 2.20 | 93.78 | |||||
| C2R100E3N3 | 100 | CFRP | 272.73 | 3.93 | 0.167 | 3 | 0.2 | - | - | |||||
| C3R100E3N1 | 100 | CFRP | 272.73 | 3.93 | 0.167 | 3 | 0.2 | 1.403 | 1.203 | 0.752 | 1.61 | 124.77 | 33.0 | 72.23 |
| C3R100E3N2 | 100 | CFRP | 272.73 | 3.93 | 0.167 | 3 | 0.2 | 1.58 | 125.15 | |||||
| C3R100E3N3 | 100 | CFRP | 272.73 | 3.93 | 0.167 | 3 | 0.2 | 1.41 | 117.89 |
| Specimen name | R | FRP type | Efrp | ffrp | tfrp | FRP layers | * | εco * | εh,rup | kε | εcu | Ec * | * | |
|---|---|---|---|---|---|---|---|---|---|---|---|---|---|---|
| (%) | (GPa) | (GPa) | (mm) | (MPa) | (%) | (%) | (%) | (MPa) | (GPa) | (MPa) | ||||
| R0-G1-1 | 0 | GFRP | 98.7 | 1.72 | 0.170 | 1 | 45.00 | 0.280 | 1.46 | 0.849 | 1.06 | 46.70 | 30.7 | 48.67 |
| R0-G1-2 | 0 | GFRP | 98.7 | 1.72 | 0.170 | 1 | 1.24 | 0.721 | 0.84 | 48.00 | ||||
| R0-G2-1 | 0 | GFRP | 98.7 | 1.72 | 0.170 | 2 | 45.00 | 0.280 | 1.33 | 0.773 | 1.36 | 59.50 | 30.7 | 52.33 |
| R0-G2-2 | 0 | GFRP | 98.7 | 1.72 | 0.170 | 2 | 1.44 | 0.837 | 1.38 | 57.40 | ||||
| R0-G3-1 | 0 | GFRP | 98.7 | 1.72 | 0.170 | 3 | 45.00 | 0.280 | 1.45 | 0.843 | 1.61 | 69.60 | 30.7 | 56.00 |
| R0-G3-2 | 0 | GFRP | 98.7 | 1.72 | 0.170 | 3 | 1.45 | 0.843 | 1.48 | 70.00 | ||||
| R20-G1-1 | 20 | GFRP | 98.7 | 1.72 | 0.170 | 1 | 44.90 | 0.260 | 1.26 | 0.733 | 0.81 | 46.50 | 31.6 | 48.30 |
| R20-G1-2 | 20 | GFRP | 98.7 | 1.72 | 0.170 | 1 | 1.43 | 0.831 | 0.90 | 47.10 | ||||
| R20-G2-1 | 20 | GFRP | 98.7 | 1.72 | 0.170 | 2 | 44.90 | 0.260 | 1.24 | 0.721 | 0.95 | 57.30 | 31.6 | 51.71 |
| R20-G2-2 | 20 | GFRP | 98.7 | 1.72 | 0.170 | 2 | 1.35 | 0.785 | 1.15 | 59.20 | ||||
| R20-G3-1 | 20 | GFRP | 98.7 | 1.72 | 0.170 | 3 | 44.90 | 0.260 | 1.33 | 0.773 | 1.42 | 71.90 | 31.6 | 55.11 |
| R20-G3-2 | 20 | GFRP | 98.7 | 1.72 | 0.170 | 3 | 1.31 | 0.762 | 1.23 | 68.70 | ||||
| R100-G1-1 | 100 | GFRP | 98.7 | 1.72 | 0.170 | 1 | 37.30 | 0.280 | 1.18 | 0.686 | 0.98 | 42.70 | 27.0 | 40.97 |
| R100-G1-2 | 100 | GFRP | 98.7 | 1.72 | 0.170 | 1 | 1.42 | 0.826 | 1.20 | 45.40 | ||||
| R100-G2-1 | 100 | GFRP | 98.7 | 1.72 | 0.170 | 2 | 37.30 | 0.280 | 1.24 | 0.721 | 1.34 | 53.30 | 27.0 | 44.63 |
| R100-G2-2 | 100 | GFRP | 98.7 | 1.72 | 0.170 | 2 | 1.54 | 0.895 | 1.78 | 56.20 | ||||
| R100-G3-1 | 100 | GFRP | 98.7 | 1.72 | 0.170 | 3 | 37.30 | 0.280 | 1.50 | 0.872 | 1.71 | 68.00 | 27.0 | 48.30 |
| R100-G3-2 | 100 | GFRP | 98.7 | 1.72 | 0.170 | 3 | 1.41 | 0.820 | 1.60 | 68.00 | ||||
| R0C1-1 | 0 | CFRP | 250.0 | 4.517 | 0.111 | 1 | 44.44 | 0.345 | 1.34 | 0.742 | 1.17 | 63.56 | 37.1 | 54.00 |
| R0C1-2 | 0 | CFRP | 250.0 | 4.517 | 0.111 | 1 | 1.35 | 0.747 | 1.40 | 61.71 | ||||
| R0C1-3 | 0 | CFRP | 250.0 | 4.517 | 0.111 | 1 | 1.45 | 0.803 | 1.08 | 61.9 | ||||
| R0C2-1 | 0 | CFRP | 250.0 | 4.517 | 0.111 | 2 | 44.44 | 0.345 | 1.18 | 0.653 | 1.42 | 78.94 | 37.1 | 49.94 |
| R0C2-2 | 0 | CFRP | 250.0 | 4.517 | 0.111 | 2 | 1.43 | 0.791 | 1.82 | 78.94 | ||||
| R0C2-3 | 0 | CFRP | 250.0 | 4.517 | 0.111 | 2 | 1.26 | 0.697 | 1.56 | 78.74 | ||||
| R0C3-1 | 0 | CFRP | 250.0 | 4.517 | 0.111 | 3 | 44.44 | 0.345 | 1.31 | 0.725 | 2.06 | 97.04 | 37.1 | 56.48 |
| R0C3-2 | 0 | CFRP | 250.0 | 4.517 | 0.111 | 3 | 1.20 | 0.664 | 1.82 | 95.09 | ||||
| R0C3-3 | 0 | CFRP | 250.0 | 4.517 | 0.111 | 3 | 1.31 | 0.725 | 2.21 | 95.87 | ||||
| R25C1-1 | 25 | CFRP | 250.0 | 4.517 | 0.111 | 1 | 40.75 | 0.320 | 1.24 | 0.686 | 1.24 | 60.64 | 35.1 | 44.81 |
| R25C1-2 | 25 | CFRP | 250.0 | 4.517 | 0.111 | 1 | 1.36 | 0.753 | 1.14 | 57.72 | ||||
| R25C1-3 | 25 | CFRP | 250.0 | 4.517 | 0.111 | 1 | 1.20 | 0.664 | 1.16 | 58.98 | ||||
| R25C2-1 | 25 | CFRP | 250.0 | 4.517 | 0.111 | 2 | 40.75 | 0.320 | 1.27 | 0.703 | 1.52 | 77.18 | 35.1 | 48.34 |
| R25C2-3 | 25 | CFRP | 250.0 | 4.517 | 0.111 | 2 | 1.13 | 0.625 | 1.61 | 75.72 | ||||
| R25C3-1 | 25 | CFRP | 250.0 | 4.517 | 0.111 | 3 | 40.75 | 0.320 | 1.18 | 0.653 | 2.10 | 91.2 | 35.1 | 50.69 |
| R25C3-2 | 25 | CFRP | 250.0 | 4.517 | 0.111 | 3 | 1.04 | 0.576 | 2.28 | 94.61 | ||||
| R25C3-3 | 25 | CFRP | 250.0 | 4.517 | 0.111 | 3 | 1.21 | 0.670 | 2.08 | 94.41 | ||||
| R50C1-1 | 50 | CFRP | 250.0 | 4.517 | 0.111 | 1 | 37.03 | 0.272 | 1.18 | 0.653 | 1.37 | 57.43 | 32.1 | 39.36 |
| R50C1-2 | 50 | CFRP | 250.0 | 4.517 | 0.111 | 1 | 1.47 | 0.814 | 1.30 | 56.55 | ||||
| R50C1-3 | 50 | CFRP | 250.0 | 4.517 | 0.111 | 1 | 1.33 | 0.736 | 1.35 | 55.58 | ||||
| R50C2-1 | 50 | CFRP | 250.0 | 4.517 | 0.111 | 2 | 37.03 | 0.272 | 1.46 | 0.808 | 2.04 | 76.11 | 32.1 | 45.28 |
| R50C2-2 | 50 | CFRP | 250.0 | 4.517 | 0.111 | 2 | 1.24 | 0.686 | 1.83 | 75.72 | ||||
| R50C2-3 | 50 | CFRP | 250.0 | 4.517 | 0.111 | 2 | 1.21 | 0.670 | 1.76 | 73.00 | ||||
| R50C3-1 | 50 | CFRP | 250.0 | 4.517 | 0.111 | 3 | 37.03 | 0.272 | 1.16 | 0.642 | 2.69 | 95.09 | 32.1 | 48.58 |
| R50C3-2 | 50 | CFRP | 250.0 | 4.517 | 0.111 | 3 | 1.30 | 0.720 | 2.78 | 89.06 | ||||
| R50C3-3 | 50 | CFRP | 250.0 | 4.517 | 0.111 | 3 | 1.20 | 0.664 | 2.24 | 91.39 | ||||
| R75C1-1 | 75 | CFRP | 250.0 | 4.517 | 0.111 | 1 | 37.48 | 0.280 | 1.35 | 0.747 | 1.31 | 56.65 | 32.4 | 39.79 |
| R75C1-2 | 75 | CFRP | 250.0 | 4.517 | 0.111 | 1 | 1.44 | 0.797 | 1.44 | 54.99 | ||||
| R75C1-3 | 75 | CFRP | 250.0 | 4.517 | 0.111 | 1 | 1.45 | 0.803 | 1.37 | 58.89 | ||||
| R75C2-1 | 75 | CFRP | 250.0 | 4.517 | 0.111 | 2 | 37.48 | 0.280 | 1.38 | 0.764 | 1.86 | 74.75 | 32.4 | 43.89 |
| R75C2-2 | 75 | CFRP | 250.0 | 4.517 | 0.111 | 2 | 1.32 | 0.731 | 1.97 | 77.87 | ||||
| R75C2-3 | 75 | CFRP | 250.0 | 4.517 | 0.111 | 2 | 1.61 | 0.891 | 1.71 | 74.46 | ||||
| R75C3-1 | 75 | CFRP | 250.0 | 4.517 | 0.111 | 3 | 37.48 | 0.280 | 1.13 | 0.625 | 2.60 | 89.84 | 32.4 | 45.91 |
| R75C3-2 | 75 | CFRP | 250.0 | 4.517 | 0.111 | 3 | 1.08 | 0.598 | 2.31 | 88.18 | ||||
| R75C3-3 | 75 | CFRP | 250.0 | 4.517 | 0.111 | 3 | 1.11 | 0.614 | 1.98 | 89.06 | ||||
| R100C1-1 | 100 | CFRP | 250.0 | 4.517 | 0.111 | 1 | 32.87 | 0.289 | 1.32 | 0.731 | 1.37 | 56.74 | 30.8 | 39.43 |
| R100C1-2 | 100 | CFRP | 250.0 | 4.517 | 0.111 | 1 | 1.36 | 0.753 | 1.35 | 56.36 | ||||
| R100C1-3 | 100 | CFRP | 250.0 | 4.517 | 0.111 | 1 | 1.32 | 0.731 | 1.47 | 55.38 | ||||
| R100C2-1 | 100 | CFRP | 250.0 | 4.517 | 0.111 | 2 | 32.87 | 0.289 | 1.34 | 0.742 | 2.27 | 72.12 | 30.8 | 42.60 |
| R100C2-2 | 100 | CFRP | 250.0 | 4.517 | 0.111 | 2 | 1.39 | 0.769 | 2.14 | 75.34 | ||||
| R100C2-3 | 100 | CFRP | 250.0 | 4.517 | 0.111 | 2 | 1.33 | 0.736 | 2.11 | 74.95 | ||||
| R100C3-1 | 100 | CFRP | 250.0 | 4.517 | 0.111 | 3 | 32.87 | 0.289 | 1.11 | 0.614 | 2.59 | 86.63 | 30.8 | 44.08 |
| R100C3-2 | 100 | CFRP | 250.0 | 4.517 | 0.111 | 3 | 1.18 | 0.653 | 2.60 | 86.92 | ||||
| R100C3-3 | 100 | CFRP | 250.0 | 4.517 | 0.111 | 3 | 1.17 | 0.648 | 2.68 | 89.35 | ||||
| R100C2-3 | 100 | CFRP | 250.0 | 4.517 | 0.111 | 2 | 32.87 | 0.289 | 1.33 | 0.736 | 2.11 | 74.95 | 30.8 | 42.60 |
| R100C3-1 | 100 | CFRP | 250.0 | 4.517 | 0.111 | 3 | 32.87 | 0.289 | 1.11 | 0.614 | 2.59 | 86.63 | 30.8 | 44.08 |
| R100C3-2 | 100 | CFRP | 250.0 | 4.517 | 0.111 | 3 | 1.18 | 0.653 | 2.60 | 86.92 |
| H | Group 1 | Group 2 | Group 3 | Group 4 | ||||||||
|---|---|---|---|---|---|---|---|---|---|---|---|---|
| = 0.06–0.08 | = 0.10–0.15 | = 0.23–0.28 | = 0.41–0.46 | |||||||||
| μ | σ | COV | μ | σ | COV | μ | σ | COV | μ | σ | COV | |
| fcc/f ’co | 1.092 | 0.074 | 0.067 | 1.456 | 0.121 | 0.083 | 1.926 | 0.112 | 0.058 | 2.608 | 0.140 | 0.054 |
| εcu/εco | 3.525 | 0.468 | 0.133 | 4.478 | 0.573 | 0.128 | 6.282 | 0.619 | 0.099 | 8.068 | 1.163 | 0.144 |
| No. | Reference | Strength model |
|---|---|---|
| 1 | Xiao and Wu [41] | |
| 2 | Lam and Teng [3] | |
| 3 | Bisby et al. [42] | |
| 4 | Tamuzs et al. [43] | |
| 5 | Brether et al. [45] | |
| 6 | Youssef et al. [46] | |
| 7 | Jiang and Teng [2] | |
| 8 | Teng et al. [13] | |
| 9 | Wu and Zhou [47] | |
| 10 | Ozbakkaloglu and Lim [48] | |
| 11 | Nistico and Monti [7] |
| No. | Reference | Strain model |
|---|---|---|
| 1 | Xiao and Wu [41] | |
| 2 | Lam and Teng [3] | |
| 3 | Bisby et al. [42] | |
| 4 | Tamuzs et al. [44] | |
| 5 | Brether et al. [45] | |
| 6 | Youssef et al. [46] | |
| 7 | Jiang and Teng [2] | |
| 8 | Teng et al. [13] | |
| 9 | Ozbakkaloglu and Lim [48] | |
| 10 | Wei and Wu [57] | |
| 11 | De Lorenzis et al. [58] |
| NO. | AAE | MSE | SD | COV | RPE | ||||||||||
|---|---|---|---|---|---|---|---|---|---|---|---|---|---|---|---|
| GFRP | CFRP | Both a | GFRP | CFRP | Both a | GFRP | CFRP | Both a | GFRP | CFRP | Both a | GFRP | CFRP | Both a | |
| 1 | 0.083 | 0.102 | 0.099 | 0.012 | 0.046 | 0.040 | 0.038 | 0.080 | 0.073 | 0.030 | 0.044 | 0.043 | 0.917 | 0.912 | 0.913 |
| 2 | 0.093 | 0.071 | 0.075 | 0.016 | 0.033 | 0.030 | 0.054 | 0.070 | 0.095 | 0.036 | 0.037 | 0.053 | 1.093 | 0.949 | 0.978 |
| 3 | 0.056 | 0.166 | 0.145 | 0.009 | 0.164 | 0.133 | 0.073 | 0.076 | 0.109 | 0.054 | 0.046 | 0.069 | 1.004 | 0.838 | 0.871 |
| 4 | 0.184 | 0.076 | 0.097 | 0.065 | 0.035 | 0.041 | 0.044 | 0.075 | 0.089 | 0.027 | 0.035 | 0.044 | 1.184 | 1.064 | 1.088 |
| 5 | 0.108 | 0.061 | 0.070 | 0.022 | 0.024 | 0.024 | 0.051 | 0.070 | 0.093 | 0.034 | 0.036 | 0.051 | 1.108 | 0.968 | 0.996 |
| 6 | 0.112 | 0.264 | 0.234 | 0.042 | 0.364 | 0.301 | 0.086 | 0.072 | 0.109 | 0.071 | 0.050 | 0.078 | 0.900 | 0.736 | 0.769 |
| 7 | 0.113 | 0.058 | 0.069 | 0.024 | 0.022 | 0.022 | 0.050 | 0.070 | 0.093 | 0.033 | 0.036 | 0.050 | 1.113 | 0.975 | 1.002 |
| 8 | 0.029 | 0.084 | 0.073 | 0.002 | 0.037 | 0.030 | 0.036 | 0.080 | 0.076 | 0.027 | 0.042 | 0.043 | 0.988 | 0.943 | 0.952 |
| 9 | 0.057 | 0.175 | 0.152 | 0.010 | 0.186 | 0.151 | 0.075 | 0.081 | 0.116 | 0.055 | 0.050 | 0.074 | 1.004 | 0.829 | 0.864 |
| 10 | 0.096 | 0.077 | 0.081 | 0.018 | 0.039 | 0.035 | 0.055 | 0.077 | 0.101 | 0.037 | 0.041 | 0.056 | 1.096 | 0.948 | 0.977 |
| 11 | 0.072 | 0.207 | 0.180 | 0.017 | 0.248 | 0.202 | 0.081 | 0.080 | 0.116 | 0.062 | 0.051 | 0.077 | 0.970 | 0.795 | 0.829 |
| NO. | AAE | MSE | SD | COV | RPE | ||||||||||
|---|---|---|---|---|---|---|---|---|---|---|---|---|---|---|---|
| GFRP | CFRP | Both a | GFRP | CFRP | Both a | GFRP | CFRP | Both a | GFRP | CFRP | Both a | GFRP | CFRP | Both a | |
| 1 | 0.726 | 0.331 | 0.409 | 11.933 | 9.838 | 10.252 | 0.029 | 0.351 | 0.371 | 0.023 | 0.078 | 0.096 | 0.274 | 0.725 | 0.636 |
| 2 | 0.673 | 0.398 | 0.452 | 10.539 | 10.994 | 10.904 | 0.039 | 0.458 | 0.467 | 0.026 | 0.088 | 0.104 | 0.327 | 0.856 | 0.751 |
| 3 | 0.699 | 0.593 | 0.614 | 11.439 | 17.524 | 16.320 | 0.042 | 0.119 | 0.116 | 0.031 | 0.048 | 0.051 | 0.301 | 0.407 | 0.386 |
| 4 | 0.646 | 0.316 | 0.381 | 9.653 | 9.135 | 9.238 | 0.037 | 0.296 | 0.302 | 0.023 | 0.070 | 0.081 | 0.354 | 0.703 | 0.634 |
| 5 | 0.668 | 0.413 | 0.464 | 10.388 | 11.391 | 11.193 | 0.038 | 0.226 | 0.228 | 0.025 | 0.063 | 0.072 | 0.332 | 0.587 | 0.536 |
| 6 | 0.730 | 0.782 | 0.771 | 12.474 | 28.714 | 25.502 | 0.043 | 0.064 | 0.067 | 0.036 | 0.050 | 0.053 | 0.270 | 0.218 | 0.229 |
| 7 | 0.667 | 0.451 | 0.494 | 10.338 | 11.908 | 11.597 | 0.038 | 0.207 | 0.207 | 0.025 | 0.061 | 0.069 | 0.333 | 0.549 | 0.506 |
| 8 | 0.704 | 0.383 | 0.447 | 11.318 | 10.162 | 10.390 | 0.030 | 0.441 | 0.456 | 0.022 | 0.087 | 0.105 | 0.296 | 0.841 | 0.733 |
| 9 | 0.672 | 0.348 | 0.412 | 10.514 | 10.365 | 10.395 | 0.039 | 0.291 | 0.294 | 0.026 | 0.073 | 0.084 | 0.328 | 0.661 | 0.595 |
| 10 | 0.090 | 0.193 | 0.172 | 0.279 | 1.919 | 1.595 | 0.103 | 0.226 | 0.214 | 0.023 | 0.033 | 0.034 | 0.964 | 1.114 | 1.085 |
| 11 | 0.240 | 0.206 | 0.212 | 1.540 | 2.891 | 2.624 | 0.085 | 0.177 | 0.165 | 0.024 | 0.034 | 0.034 | 0.760 | 0.843 | 0.827 |
© 2016 by the authors. Licensee MDPI, Basel, Switzerland. This article is an open access article distributed under the terms and conditions of the Creative Commons Attribution (CC-BY) license ( http://creativecommons.org/licenses/by/4.0/).
Share and Cite
Zhou, Y.; Hu, J.; Li, M.; Sui, L.; Xing, F. FRP-Confined Recycled Coarse Aggregate Concrete: Experimental Investigation and Model Comparison. Polymers 2016, 8, 375. https://doi.org/10.3390/polym8100375
Zhou Y, Hu J, Li M, Sui L, Xing F. FRP-Confined Recycled Coarse Aggregate Concrete: Experimental Investigation and Model Comparison. Polymers. 2016; 8(10):375. https://doi.org/10.3390/polym8100375
Chicago/Turabian StyleZhou, Yingwu, Jingjing Hu, Mali Li, Lili Sui, and Feng Xing. 2016. "FRP-Confined Recycled Coarse Aggregate Concrete: Experimental Investigation and Model Comparison" Polymers 8, no. 10: 375. https://doi.org/10.3390/polym8100375
APA StyleZhou, Y., Hu, J., Li, M., Sui, L., & Xing, F. (2016). FRP-Confined Recycled Coarse Aggregate Concrete: Experimental Investigation and Model Comparison. Polymers, 8(10), 375. https://doi.org/10.3390/polym8100375
