Enhancing the Compatibility, Hydrophilicity and Mechanical Properties of Polysulfone Ultrafiltration Membranes with Lignocellulose Nanofibrils
Abstract
:1. Introduction
2. Experimental
2.1. Materials
2.2. Preparation of CNF and LCN
2.3. Preparation of Casting Solution
2.4. Preparation of the Blend Membranes
2.5. Ultrafiltration Experimental Setup
2.6. Characterization
2.6.1. Morphology Observations of CNF, LCN and Membranes
2.6.2. Structure Characteristic of the CNF, LCN and the Membranes
2.6.3. Rheological Performance of Membrane Casting Solution
2.6.4. Shear Viscosity
2.6.5. Non-Newtonian Fluid Index
2.6.6. Thermal Ability of CNF, LCN and Membranes
2.6.7. Mechanical Properties of Membranes
2.6.8. Pure Water Flux (PWF) and Bovine Serum Albumin (BSA) Rejection Ratio of Membranes
2.6.9. Contact Angle and Surface Energy of Membranes
2.6.10. Molecular Weight Cut-off (MWCO)
3. Results
3.1. Morphology Observations of CNF, LCN and Membranes
3.1.1. Transmission Electron Microscope of CNF and LCN
3.1.2. Scanning Electron Microscope of Membranes
3.2. Structure Characteristic of CNF, LCN and Membranes
Fourier Transform Infrared Spectroscopy
3.3. Heat Ability of CNF, LCN and Membranes
3.3.1. Thermal Gravity Analysis
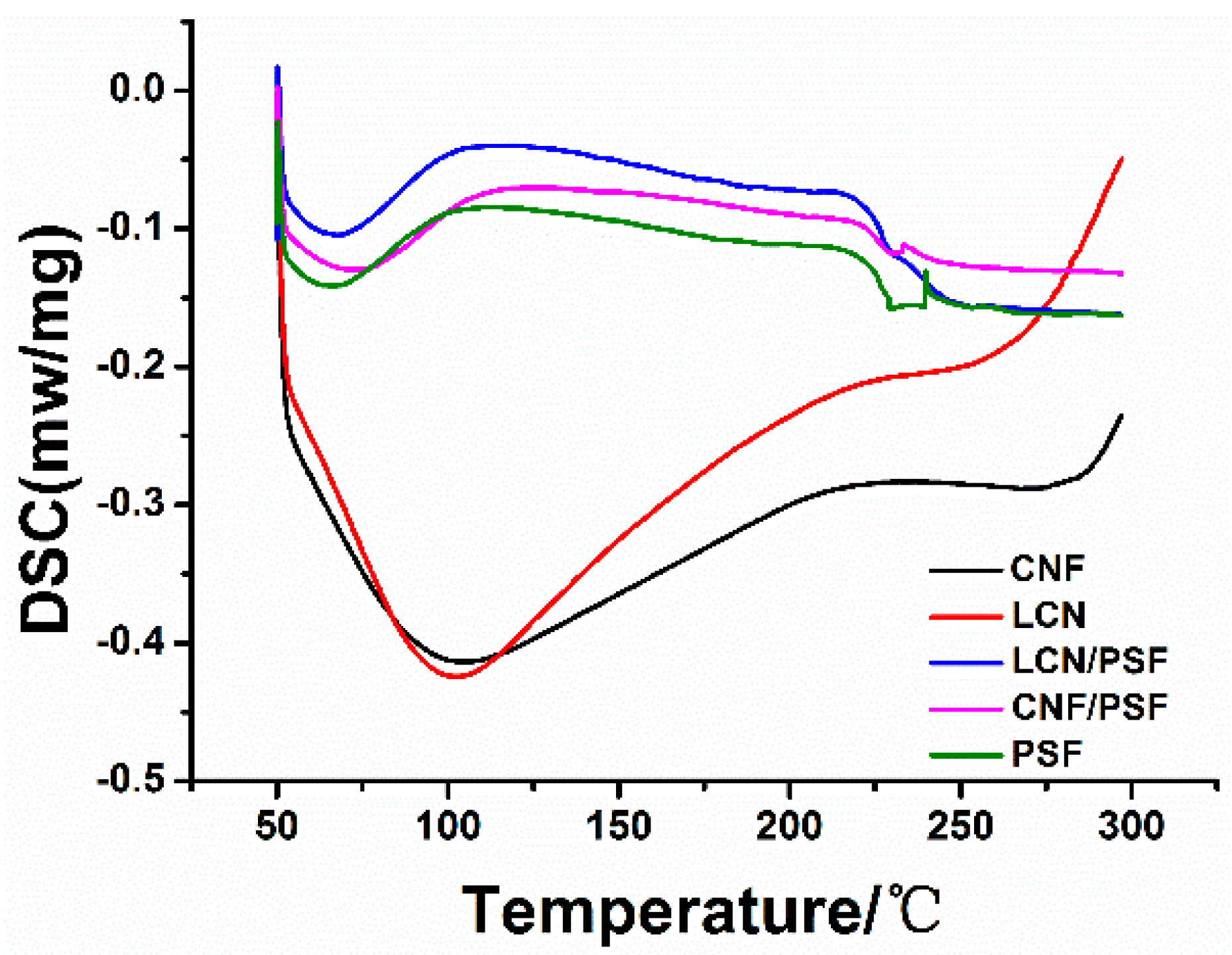
3.3.2. Differential Scanning Calorimetry
3.3.3. Rheology Analysis of Membrane Solution
3.3.4. Contact Angle and Surface Energy of Membranes
3.4. Mechanical Properties of Membranes
3.5. PWF, MWCO, Bovine Serum Albumin Retention Rejection and Pore Size of Membranes
4. Conclusions and Discussion
Acknowledgments
Author Contributions
Conflicts of Interest
References
- Thakur, V.K.; Voicu, S.I. Recent advances in cellulose and chitosan based membranes forwater purification: A concise review. Carbohydr. Polym. 2016, 146, 148–165. [Google Scholar] [CrossRef] [PubMed]
- Susanto, H.; Ulbrichta, M. Dextran fouling of polyrsulfone ultrafiltration membranes—Causes, extent and consequences. J. Membr. Sci. 2009, 125, 125–135. [Google Scholar] [CrossRef]
- Gong, G.; Wang, J.H. Process to fabricate a new type of uniform and thin organosilica coating on polysulfone film. Mater. Lett. 2013, 109, 1300–1309. [Google Scholar] [CrossRef]
- Shen, J.; Ruan, H.; Wu, L. Preparation and characterization of PS Fulfo or gaicty using variation in CBT and addition of tetronic. J. Appl. Polym. Sci. 2011, 19, 1272. [Google Scholar]
- Li, J.F.; Xu, Z.L.; Yang, H.; Yu, L.-Y.; Liu, M. Effect of TiO2 nanoparticles on the surface morphology and performance of microporous PSF membrane. Appl. Surf. Sci. 2009, 255, 25–47. [Google Scholar]
- Huang, J.; Arthanareeswaran, G.; Zhang, K. Effect of silver loaded sodium zirconium phosphate (nano AgZ) nanoparticles incorporation on PES membrane performance. Desalination 2012, 285, 100–115. [Google Scholar] [CrossRef]
- Chen, Y.; Zhang, Y.; Liu, J. Preparation and antibacterial property of polyrsulfone ultrafiltration hybrid membrane containing halloysite nanotubes loaded with copper ions. Chem. Eng. J. 2012, 298, 1120–1137. [Google Scholar]
- Yu, L.; Zhang, Y.; Zhang, B.; Liu, J.; Zhang, H.; Song, C. Preparation and characterization of HPEI-GO/PSF ultrafiltration membrane with antifouling and antibacterial properties. J. Membr. Sci. 2013, 447, 452–462. [Google Scholar] [CrossRef]
- Miculescu, M.; Thakur, V.K.; Miculescu, F.; Voicu, S.I. Graphene-based polymer nano composite membranes: A review. Polym. Adv. Technol. 2016, 27, 844–859. [Google Scholar] [CrossRef]
- Zhang, Y.; Shan, L.; Tu, Z. Preparation and characterization of novel Ce-doped nonstoichiometric nanosilica/polysulfone composite membranes. Sep. Purif. Technol. 2007, 63, 207–215. [Google Scholar] [CrossRef]
- Kull, R.; Steen, M.; Fisher, E. Surface modification with nitrogen-containing plasmas to produce hydrophilic, low-foulingmembranes. J. Membr. Sci. 2005, 246, 2030–2039. [Google Scholar] [CrossRef]
- Lin, J.; Ye, W.; Zhong, K. Enhancement of polyrsulfone (PSF) membrane doped by monodisperse Stöber silica for water treatment. Chem. Eng. Process. 2015, 327, 1250–1263. [Google Scholar]
- Trussell, R.S.; Merlo, R.P.; Hermanowicz, S.W.; Jenkins, D. The effect of organic loading on process performance and membrane fouling in a submerged membrane bioreactor treating municipal wastewater. Water Res. 2006, 40, 2675–2683. [Google Scholar] [CrossRef] [PubMed]
- Razi, F.; Sawada, I.; Ohmukai, Y.; Maruyama, T.; Matsuyama, H. The improvement of antibiofouling efficiency of polyrsulfone membrane by functionalization with zwitterionic monomers. J. Membr. Sci. 2012, 40, 292–299. [Google Scholar] [CrossRef]
- Ivnitsky, H.; Katz, I.; Minz, D.; Shimoni, E.; Chen, Y.; Tarchitzky, J.; Semiat, R.; Dosoretz, C.G. Characterization of membrane biofouling in nanofiltration processes of wastewater treatment. Desalination 2005, 185, 255–268. [Google Scholar] [CrossRef]
- Faraji, M.; Yamini, M.; Rezaee, M. Magnetic nanoparticles: Synthesis, stabilization, functionalization, characterization, and applications. Iran Chem. Soc. 2007, 274, 2889–2896. [Google Scholar] [CrossRef]
- Zhang, M.; Liao, B.; Zhou, X. Effects of hydrophilicity/hydrophobicity of membrane on membrane fouling in a submerged membrane bioreactor. Bioresour. Technol. 2015, 175, 59–67. [Google Scholar] [CrossRef] [PubMed]
- Corobea, M.C.; Muhulet, O.; Miculescu, F. Novel nanocomposite membranes from cellulose acetate and clay-silica nanowires. Polym. Adv. Technol. 2016. [Google Scholar] [CrossRef]
- Dang, J.; Zhang, Y.; Du, Z.; Zhang, H.; Liu, J. Antibacterial properties of PSF/CuCl2 three-bore hollow fiber UF membrane. Water Sci. Technol. 2012, 22, 799–803. [Google Scholar] [CrossRef] [PubMed]
- Chen, Y.; Dang, J.; Zhang, Y.; Zhang, H.; Liu, J. Preparation and antibacterial property of PSF/AgNO3 three-bore hollow fiber ultrafiltration membranes. Water Sci. Technol. 2013, 218, 1519–1524. [Google Scholar] [CrossRef] [PubMed]
- Fan, Z.; Wang, Z.; Sun, N.; Wang, J.; Wang, S. Performance improvement of polysulfone ultrafiltration membrane by blending with polyaniline nano fibers. J. Membr. Sci. 2008, 320, 363–371. [Google Scholar] [CrossRef]
- Wang, M.; Wu, L.G.; Mo, J.X.; Gao, C.-J. The preparation and characterization of novel charged polyacrylonitrile/PSF-C blend membranes used for ultrafiltration. J. Membr. Sci. 2006, 274, 200–208. [Google Scholar] [CrossRef]
- Jennifer, R.; Sigrid, P.; Peter, M. The preparation and characterization of novel charged poly acrylonitrile/PSF-C blend membranes used for ultrafiltration. Membr. Sci. 2015, 475, 488–495. [Google Scholar]
- Wang, X.; Cui, X.; Hang, L. Preparation and characterization of lignin-containing nanofibrillar cellulose. Procedia Environ. Sci. 2014, 16, 125–137. [Google Scholar] [CrossRef]
- Lannoy, C.; Soyer, E.; Wiesner, M. Optimizing carbon nanotube-reinforced polysulfone ultrafiltration membranes through carboxylic acid functionalization. J. Membr. Sci. 2013, 447, 395–407. [Google Scholar] [CrossRef]
- Li, S.; Gao, Y.; Bai, H.L. Preparation and characteristics of polysulfone dialysis composite membranes modified with nanocrystalline cellulose. Bioresources 2011, 6, 1670–1677. [Google Scholar]
- Majumdar, P.; Lee, E.; Gubbins, N.; Stafslien, S.J.; Daniels, J.; Thorson, C.J.; Chisholm, B.J. Synthesis and antimicrobial activity of quaternary ammonium-functionalized POSS (Q-POSS) and polysiloxane coating containing Q-POSS. Polymer 2009, 50, 1124–1133. [Google Scholar] [CrossRef]
- Grainer, Y.; Ali, A.; Zaidi, S. Novel sulfonated poly(ether ether ketone)/phosphonated polysulfone polymer blends for proton conducting membranes. J. Mater. Res. 2012, 27, 1958–1969. [Google Scholar]
- Beg, M.D.H. Mechanical performance of Kraft fibre reinforced polypropylene composites: Influence of fibre length, fibre beating and hygrothermal ageing. J. Membr. Sci. 2012, 409, 751–767. [Google Scholar] [CrossRef]
- Hancock, F.; Fagan, S.; Ziolo, M. Preparation and characterization of nanoporous polysulfone membranes with high hydrophilic property using variation in CBT and addition of tetronic-1107 surfactant. Biomaterials 2000, 21, 725–737. [Google Scholar] [CrossRef]
- Gorshkova, T.; Kozlova, L.; Mikshina, P. Spatial structure of plant cell wall polysaccharides and its functional significance. Biochemistry 2003, 78, 836–849. [Google Scholar] [CrossRef] [PubMed]
- Benavente, J.; Vázquez, M.; Hierrezuelo, J. Effect of lipid nanoparticles inclusion on transport parameters through regenerated cellulose membranes. J. Membr. Sci. 2010, 355, 4511–4523. [Google Scholar]
- Vázquez, M.; Romero, V.; Hierrezuelo, J. Study of ionic and diffusive transport through a regenerated cellulose nanoporous membrane. J. Membr. Sci. 2009, 370, 2170–2186. [Google Scholar]
- Jiang, G.; Huang, G.; Wang, B. The changes of crystalline structure of cellulose during dissolution in 1-butyl-3-methylimidazolium chloride. Cellulose 2012, 306, 2147–2162. [Google Scholar] [CrossRef]
- Raghavendra, G.; Jayaramudu, T.; Varaprasad, K. Microbial resistant nanocurcumin-gelatin-cellulose fibers for advanced medical applications. RSC Adv. 2014, 4, 3994–4007. [Google Scholar] [CrossRef]
- Li, X.; Liu, G.; Liu, Y. Cellulose derivatives and graft copolymers as blocks for functional materials. J. Polym. Sci. 2008, 46, 6907–6916. [Google Scholar] [CrossRef]
- Ding, Z.; Zhong, L.; Wang, X.; Zhang, L. Effect of lignin-cellulose nanofibrils (LCN) on the hydrophilicity and mechanical properties of polyethersulfone (PES) ultrafiltration membranes. High Perform. Polym. 2016, 228, 468–481. [Google Scholar]
- Zhong, L.; Gao, Y.; Li, B. Preparation of hydrophilic polysulfone porous membrane by use of amphiphilic cellulose. J. Appl. Polym. Sci. 2015, 132, 416–424. [Google Scholar] [CrossRef]
- Magnenet, C.; Jurin, F.E.; Lakard, S.; Buron, C.C.; Lakard, B. Polyelectrolyte modification of ultrafiltration membrane for removal of copper ions. Colloids Surf. A 2013, 435, 170–177. [Google Scholar] [CrossRef]
- Rezvani-Boroujeni, A.; Javanbakht, M.; Karimi, M.; Shahrjerdi, C.; Akbariadergani, B. Immobilization of thiol-functionalized nanosilica on the surface of poly(ether sulfone) membranes for the removal of heavy-metal ions from industrial wastewater samples. Ind. Eng. Chem. Res. 2015, 54, 502–513. [Google Scholar] [CrossRef]
- Dai, J.; Yang, H.; Yan, H.; Shuangguan, Y.; Zheng, Q.; Cheng, R. Phosphate adsorption from aqueous solutions by disused adsorbents: Chitosan hydrogel beads after the removal of copper(II). Chem. Eng. J. 2011, 166, 970–977. [Google Scholar] [CrossRef]
- Graupner, N. Application of lignin as natural adhesion promoter in cotton fibre-reinforced poly(lactic acid) (PLA) composites. J. Mater. Sci. 2008, 43, 5222–5229. [Google Scholar] [CrossRef]
- Nathanael, G.; Luc, V.; Alice, M. Pretreatments of natural fibers and their application as reinforcing material in polymer composites—A review. Compos. Sci. Technol. 2009, 97, 1979–1984. [Google Scholar]
- Li, X.G.; Amar, M.; Manju, M. Multifunctionalized carbon nanotubes polymer composites: Properties and applications. Ind. Crop. Prod. 2013, 47, 13–19. [Google Scholar]
- Zhong, R.J.; Shung, C.T.; Li, D.F. Reversible switching transitions of stimuli-responsive shape changing polymers. J. Mater. Chem. A 2013, 1, 7838–7865. [Google Scholar]
- Ismail, A.F.; Lai, P.Y. Effects of phase inversion and rheological factors on formation of defect-free and ultrathin-skinned asymmetric polysulfone membranes for gas separation. Sep. Purif. Technol. 2003, 33, 127–143. [Google Scholar] [CrossRef]
- Lynam, J.G.; Chow, G.I.; Hyland, P.L.; Coronella, C.J. Corn stover pretreatment by ionic liquid and glycerol mixtures with their density, viscosity, and thermo gravimetric properties. ACS Sustain. Chem. Eng. 2016, 4, 1765–1774. [Google Scholar] [CrossRef]
- Liu, Y.; Yue, X.; Zhang, S.; Ren, J.; Yang, L.; Wang, Q.; Wang, G. Synthesis of sulfonated polyphenylsulfone as candidates for antifouling ultrafiltration membrane. Sep. Purif. Technol. 2012, 98, 298–307. [Google Scholar] [CrossRef]
- Xia, M.; Liu, Q.; Zhou, Z.; Tao, Y.; Li, M.; Liu, K.; Wu, Z.; Wang, D. A novel hierarchically structured and highly hydrophilic poly(vinylalcohol-co-ethylene)/poly(ethylene terephthalate) nanoporous membrane for lithium-ion battery separator. J. Power Sources 2014, 266, 29–35. [Google Scholar] [CrossRef]
- Wang, Y.M.; Zhu, J.Y.; Dong, G.Y. Sulfonated halloysite nanotubes/polyethersulfone nanocomposite membrane for efficient dye purification. Sep. Purif. Technol. 2015, 150, 243–251. [Google Scholar] [CrossRef]
- Zhang, C.; Wu, H.; Michael, R.K. High bio-content polyurethane composites with urethane modified lignin as filler. J. Appl. Polym. Sci. 2015, 69, 52–57. [Google Scholar] [CrossRef]
- Lai, S.; Jing, H.; Li, X. Phosphate adsorption by a Cu(II)-loaded polyethersulfone-type metal affinity membrane with the presence of coexistent ions. Chem. Eng. J. 2016, 284, 182–193. [Google Scholar]
- Qu, P.; Tang, H.; Gao, Y. Polyrsulfone composite membrane blended with cellulose fibrils. Bioresources 2010, 255, 2323–2335. [Google Scholar]
- Han, M.J.; Nam, S.T. Thermodynamic and rheological variation in polysulfone solution by PVP and its effect in the preparation of phase inversion membrane. J. Membr. Sci. 2002, 202, 55–61. [Google Scholar] [CrossRef]
- Feng, Y.; Wang, K.; Chris, H.J.; Wang, H. Carbon nanotube/alumina/polyethersulfone hybrid hollow fiber membranes with enhanced mechanical and anti-fouling properties. Nanomaterials 2015, 5, 1366–1378. [Google Scholar] [CrossRef]
- Sivasankarapillai, G.; McDonald, A.G. Synthesis and properties of lignin-highly branched poly(ester-amine) polymeric systems. Biomass Bioenergy 2011, 35, 919–931. [Google Scholar] [CrossRef]















| Membranes | PSF (wt %) | CNF (wt %) | LCN (wt %) | PVP (wt %) | DMAC (wt %) |
|---|---|---|---|---|---|
| M0 | 18 | - | - | 1 | 81 |
| M1 | 18 | 0.2 | - | 1 | 80.8 |
| M2 | 18 | 0.4 | - | 1 | 80.6 |
| M3 | 18 | 0.6 | - | 1 | 80.4 |
| M4 | 18 | 0.8 | - | 1 | 80.2 |
| M5 | 18 | 1.0 | - | 1 | 80 |
| M6 | 18 | 1.2 | - | 1 | 79.8 |
| M7 | 18 | - | 0.2 | 1 | 80.8 |
| M8 | 18 | - | 0.4 | 1 | 80.6 |
| M9 | 18 | - | 0.6 | 1 | 80.4 |
| M10 | 18 | - | 0.8 | 1 | 80.2 |
| M11 | 18 | - | 1.0 | 1 | 80 |
| M12 | 18 | - | 1.2 | 1 | 79.8 |
| Sample | CNF | LCN | PSF | CNF/PSF | LCN/PSF |
|---|---|---|---|---|---|
| Tonset/°C | 274.3 | 271.2 | 410.6 | 424.5 | 431.7 |
| Tmax/°C | 339.2 | 357.7 | 541.3 | 546.9 | 549.1 |
| Sample | T (min) | |||||||||
|---|---|---|---|---|---|---|---|---|---|---|
| 10 | 20 | 30 | 40 | 50 | 60 | 70 | 80 | 90 | 100 | |
| Shear viscosity of the dope solutions (Pa·s) | ||||||||||
| M0 | 13.61 | 13.59 | 13.58 | 13.59 | 13.58 | 13.58 | 13.57 | 13.55 | 13.54 | 13.53 |
| M1 | 14.23 | 14.19 | 14.17 | 14.16 | 14.16 | 14.13 | 14.15 | 14.14 | 14.13 | 14.13 |
| M7 | 15.87 | 15.88 | 15.79 | 15.82 | 15.78 | 15.78 | 15.76 | 15.78 | 15.78 | 15.79 |
| M2 | 14.61 | 14.59 | 14.57 | 14.55 | 14.54 | 14.51 | 14.52 | 14.52 | 14.53 | 14.52 |
| M8 | 15.41 | 15.37 | 15.36 | 15.38 | 15.39 | 15.47 | 15.43 | 15.39 | 15.39 | 15.39 |
| M3 | 15.23 | 15.21 | 15.23 | 15.23 | 15.18 | 15.17 | 15.17 | 15.16 | 15.17 | 15.17 |
| M9 | 17.81 | 17.82 | 17.86 | 17.81 | 17.83 | 17.82 | 17.81 | 17.79 | 17.80 | 17.82 |
| M4 | 18.12 | 18.11 | 18.07 | 18.06 | 18.05 | 18.06 | 18.07 | 18.07 | 18.08 | 18.07 |
| M10 | 23.52 | 23.50 | 23.51 | 23.52 | 23.51 | 23.50 | 23.51 | 23.52 | 23.53 | 23.51 |
| M5 | 19.71 | 19.72 | 19.71 | 19.73 | 19.69 | 19.77 | 19.68 | 19.67 | 19.69 | 19.69 |
| M11 | 25.91 | 25.86 | 25.81 | 25.79 | 25.88 | 25.87 | 25.79 | 25.77 | 25.85 | 25.86 |
| M6 | 21.33 | 21.32 | 21.31 | 21.31 | 21.32 | 21.32 | 21.29 | 21.28 | 21.29 | 21.28 |
| M12 | 28.79 | 28.84 | 28.59 | 28.80 | 28.67 | 28.86 | 28.74 | 28.51 | 28.75 | 28.76 |
| Sample | M0 | M1 | M2 | M3 | M4 | M5 | M6 |
| Young’s modulus | 157 ± 13.16 | 191 ± 9.17 | 237 ± 17.39 | 310 ± 11.44 | 391 ± 12.17 | 217 ± 8.31 | 140 ± 12.73 |
| Sample | M7 | M8 | M9 | M10 | M11 | M12 | |
| Young’s modulus | 210 ± 11.64 | 271 ± 13.78 | 343 ± 9.45 | 425 ± 17.19 | 375 ± 8.17 | 291 ± 6.55 |
| Sample | M0 | M4 | M10 |
|---|---|---|---|
| MWCO (Da) | 20,870 | 24,169 | 25,823 |
| Porosity (%) | 57.1 | 73.7 | 80.4 |
| Pore size (nm) | 89.1 ± 0.2 | 103.7 ± 0.5 | 150.6 ± 0.5 |
© 2016 by the authors. Licensee MDPI, Basel, Switzerland. This article is an open access article distributed under the terms and conditions of the Creative Commons Attribution (CC-BY) license ( http://creativecommons.org/licenses/by/4.0/).
Share and Cite
Ding, Z.; Liu, X.; Liu, Y.; Zhang, L. Enhancing the Compatibility, Hydrophilicity and Mechanical Properties of Polysulfone Ultrafiltration Membranes with Lignocellulose Nanofibrils. Polymers 2016, 8, 349. https://doi.org/10.3390/polym8100349
Ding Z, Liu X, Liu Y, Zhang L. Enhancing the Compatibility, Hydrophilicity and Mechanical Properties of Polysulfone Ultrafiltration Membranes with Lignocellulose Nanofibrils. Polymers. 2016; 8(10):349. https://doi.org/10.3390/polym8100349
Chicago/Turabian StyleDing, Zhaodong, Xuejiao Liu, Yang Liu, and Liping Zhang. 2016. "Enhancing the Compatibility, Hydrophilicity and Mechanical Properties of Polysulfone Ultrafiltration Membranes with Lignocellulose Nanofibrils" Polymers 8, no. 10: 349. https://doi.org/10.3390/polym8100349
APA StyleDing, Z., Liu, X., Liu, Y., & Zhang, L. (2016). Enhancing the Compatibility, Hydrophilicity and Mechanical Properties of Polysulfone Ultrafiltration Membranes with Lignocellulose Nanofibrils. Polymers, 8(10), 349. https://doi.org/10.3390/polym8100349
