Biocatalytic Self-Cleaning Polymer Membranes
Abstract
:1. Introduction


2. Experimental Section
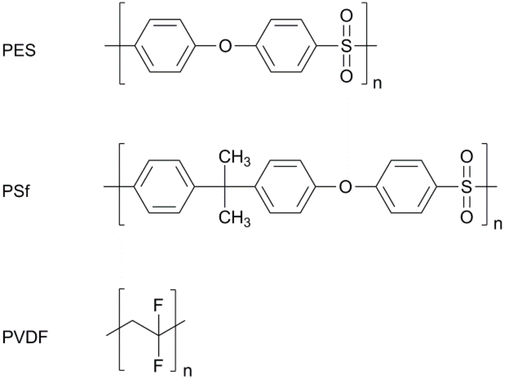
2.1. Chemicals and Materials
2.2. Preparation and Characterization of Biocatalytic Membranes

3. Results and Discussion
| # | Surface energy a [mN/mm2] | Contribution polar/dispersive | Pore size b [µm] | Thickness c [µm] | Trypsin amount [µg/cm2] | ktrypsin [−10−5 s−1] |
|---|---|---|---|---|---|---|
| A | 6.4 ± 1.9 | 0.2/6.1 | 0.45 | 130 | 30.9 ± 1.2 | −882 |
| B | 66.6 ± 3.8 | 25.9/40.8 | 0.22 | 115 | 3.0 ± 0.5 | −282 |
| C | 35.4 ± 5.1 | 9.6/25.8 | 0.45 | 110 | 0.6 ± 0.4 | −216 |
| # | Sample | C 1s [mol %] | F 1s [mol %] | O 1s [mol %] | N 1s [mol %] | S 2p [mol %] |
|---|---|---|---|---|---|---|
| A | reference | 43.12 | 56.75 | 0.13 | - | - |
| trypsin/PVDF | 51.97 | 31.47 | 9.73 | 5.89 | 0.95 | |
| B | reference | 62.38 | 11.19 | 26.44 | - | - |
| trypsin/PVDF | 62.36 | 6.79 | 24.91 | 5.21 | 0.73 | |
| C | reference | 53.25 | 32.17 | 14.58 | - | - |
| trypsin/PVDF | 59.31 | 12.59 | 21.03 | 5.87 | 1.21 |

| # | Sample | Water permeation flux [mL/(min·cm2·bar)] | Pore size a [µm] | Porosity a [%] |
|---|---|---|---|---|
| A | reference | 29.7 | 0.95 ± 0.2 | 72.1 ± 2.4 |
| EB | 30.3 | 0.94 ± 0.2 | 66.6 ± 1.9 | |
| B | reference | 6.1 | 0.55 ± 0.1 | 59.7 ± 1.4 |
| EB | 6.1 | 0.51 ± 0.1 | 52.3 ± 1.5 | |
| C | reference | 30.7 | 1.16 ± 0.4 | 62.7 ± 2.1 |
| EB | 30.7 | 1.25 ± 0.4 | 58.8 ± 1.9 |

4. Conclusions
Acknowledgments
Author Contributions
Conflicts of Interest
References
- Marchand-Brynaert, J. Polymer Membranes; CRC Press: Boka Raton, FL, USA, 2012; pp. 4854–4873. [Google Scholar]
- Nunes, S.P.; Peinemann, K.-V. Membrane Technology in the Chemical Industry, 2nd ed.; Wiley-VCH Verlag GmbH: Weinheim, Germany, 2006. [Google Scholar]
- Hilal, N.; Ogunbiyi, O.O.; Miles, N.J.; Nigmatullin, R. Methods employed for control of fouling in MF and UF membranes: A comprehensive review. Sep. Sci. Technol. 2005, 40, 1957–2005. [Google Scholar] [CrossRef]
- Ulbricht, M. Advanced functional polymer membranes. Polymer 2006, 47, 2217–2262. [Google Scholar] [CrossRef]
- Fang, Y.; Xu, Z.-K.; Wu, J.; Hoek, E.M.V.; Tarabara, V.V. Surface modification of membranes. In Encyclopedia of Membrane Science and Technology; John Wiley & Sons, Inc.: New York, NY, USA, 2013. [Google Scholar]
- Kochkodan, V.; Johnson, D.J.; Hilal, N. Polymeric membranes: Surface modification for minimizing (bio)colloidal fouling. Adv. Colloid Interface Sci. 2014, 206, 116–140. [Google Scholar] [CrossRef] [PubMed]
- Le-Clech, P.; Chen, V.; Fane, T.A.G. Fouling in membrane bioreactors used in wastewater treatment. J. Membr. Sci. 2006, 284, 17–53. [Google Scholar] [CrossRef]
- Ke, Y.; Zhang, X.; Wu, G.; Ren, L.; Wang, Y. Comparative degradation study of surface-modified polyacrylamide/poly(3-hydroxybutyrate-co-3-hydroxyvalerate) membranes. Polym. Sci. Ser. B 2015. [Google Scholar] [CrossRef]
- Wang, J.; Wang, Z.; Wang, J.; Wang, S. Improving the water flux and bio-fouling resistance of reverse osmosis (RO) membrane through surface modification by zwitterionic polymer. J. Membr. Sci. 2015, 493, 188–199. [Google Scholar] [CrossRef]
- Nazri, N.; Lau, W.; Ismail, A. Improving water permeability and anti-fouling property of polyacrylonitrile-based hollow fiber ultrafiltration membranes by surface modification with polyacrylonitrile-g-poly(vinyl alcohol) graft copolymer. Korean J. Chem. Eng. 2015, 9, 1853–1863. [Google Scholar] [CrossRef]
- Ren, P.-F.; Fang, Y.; Wan, L.-S.; Ye, X.-Y.; Xu, Z.-K. Surface modification of polypropylene microfiltration membrane by grafting poly(sulfobetaine methacrylate) and poly(ethylene glycol): Oxidative stability and antifouling capability. J. Membr. Sci. 2015, 492, 249–256. [Google Scholar] [CrossRef]
- Li, F.; Ye, J.; Yang, L.; Deng, C.; Tian, Q.; Yang, B. Surface modification of ultrafiltration membranes by grafting glycine-functionalized pva based on polydopamine coatings. Appl. Surf. Sci. 2015, 345, 301–309. [Google Scholar] [CrossRef]
- Cheng, Q.; Zheng, Y.; Yu, S.; Zhu, H.; Peng, X.; Liu, J.; Liu, J.; Liu, M.; Gao, C. Surface modification of a commercial thin-film composite polyamide reverse osmosis membrane through graft polymerization of N-isopropylacrylamide followed by acrylic acid. J. Membr. Sci. 2013, 447, 236–245. [Google Scholar] [CrossRef]
- Chung, Y.T.; Ng, L.Y.; Mohammad, A.W. Sulfonated-polysulfone membrane surface modification by employing methacrylic acid through UV-grafting: Optimization through response surface methodology approach. J. Ind. Eng. Chem. 2014, 20, 1549–1557. [Google Scholar] [CrossRef]
- Muthumeenal, A.; Neelakandan, S.; Rana, D.; Matsuura, T.; Kanagaraj, P.; Nagendran, A. Sulfonated polyethersulfone (SPES)-charged surface modifying macromolecules (cSMMs) blends as a cation selective membrane for fuel cells. Fuel Cells 2014, 14, 853–861. [Google Scholar] [CrossRef]
- Roy, A.; Dadhich, P.; Dhara, S.; De, S. In vitro cytocompatibility and blood compatibility of polysulfone blend, surface-modified polysulfone and polyacrylonitrile membranes for hemodialysis. RSC Adv. 2015, 5, 7023–7034. [Google Scholar] [CrossRef]
- Rana, D.; Narbaitz, R.M.; Garand-Sheridan, A.-M.; Westgate, A.; Matsuura, T.; Tabe, S.; Jasim, S.Y. Development of novel charged surface modifying macromolecule blended pes membranes to remove edcs and ppcps from drinking water sources. J. Mater. Chem. A 2014, 2, 10059–10072. [Google Scholar] [CrossRef]
- Ouradi, A.; Nguyen, Q.T.; Benaboura, A. Polysulfone–AN69 blend membranes and its surface modification by polyelectrolyte-layer deposit—Preparation and characterization. J. Membr. Sci. 2014, 454, 20–35. [Google Scholar] [CrossRef]
- Mehrparvar, A.; Rahimpour, A.; Jahanshahi, M. Modified ultrafiltration membranes for humic acid removal. J. Taiwan Inst. Chem. Eng. 2014, 45, 275–282. [Google Scholar] [CrossRef]
- Mahlicli, F.; Altinkaya, S. Surface modification of polysulfone based hemodialysis membranes with layer by layer self assembly of polyethyleneimine/alginate-heparin: A simple polyelectrolyte blend approach for heparin immobilization. J. Mater. Sci. Mater. Med. 2013, 24, 533–546. [Google Scholar] [CrossRef] [PubMed]
- Wu, X.-M.; Wang, L.-L.; Wang, Y.; Gu, J.-S.; Yu, H.-Y. Surface modification of polypropylene macroporous membrane by marrying raft polymerization with click chemistry. J. Membr. Sci. 2012, 421, 60–68. [Google Scholar] [CrossRef]
- Schulze, A.; Marquardt, B.; Kaczmarek, S.; Schubert, R.; Prager, A.; Buchmeiser, M.R. Electron beam-based functionalization of poly(ethersulfone) membranes. Macromol. Rapid Commun. 2010, 31, 467–472. [Google Scholar] [CrossRef] [PubMed]
- Schulze, A.; Marquardt, B.; Went, M.; Prager, A.; Buchmeiser, M.R. Electron beam-based functionalization of polymer membranes. Water Sci. Technol. 2012, 65, 574–580. [Google Scholar] [CrossRef] [PubMed]
- Schulze, A.; Maitz, M.F.; Zimmermann, R.; Marquardt, B.; Fischer, M.; Werner, C.; Went, M.; Thomas, I. Permanent surface modification by electron-beam-induced grafting of hydrophilic polymers to PVDF membranes. RSC Adv. 2013, 3, 22518–22526. [Google Scholar] [CrossRef]
- Starke, S.; Went, M.; Prager, A.; Schulze, A. A novel electron beam-based method for the immobilization of trypsin on poly(ethersulfone) and poly(vinylidene fluoride) membranes. React. Funct. Polym. 2013, 73, 698–702. [Google Scholar] [CrossRef]
- Jahangiri, E.; Reichelt, S.; Thomas, I.; Hausmann, K.; Schlosser, D.; Schulze, A. Electron beam-induced immobilization of laccase on porous supports for waste water treatment applications. Molecules 2014, 19, 11860–11882. [Google Scholar] [CrossRef] [PubMed]
- Brown, J.R.; O’Donnell, J.H. Effects of gamma radiation on two aromatic polysulfones. J. Appl. Polym. Sci. 1975, 19, 405–417. [Google Scholar] [CrossRef]
- Hill, D.J.T.; Lewis, D.A.; O’Donnell, J.H.; Whittaker, A.K. The crosslinking mechanism in gamma irradiation of polyarylsulfone: Evidence for Y-links. Polym. Adv. Technol. 1998, 9, 45–51. [Google Scholar] [CrossRef]
- Klimová, M.; Szöcs, F. ESR and DSC study of the radiation crosslinking effect on macroradical decay in poly(vinylidene fluoride). J. Appl. Polym. Sci. 1989, 37, 3449–3458. [Google Scholar] [CrossRef]
- Cleland, M.R.; Parks, L.A.; Cheng, S. Applications for radiation processing of materials. Nucl. Instrum. Methods Phys. Res. Sect. B 2003, 208, 66–73. [Google Scholar] [CrossRef]
- Barrett, A.J.; Rawlings, N.D.; Woessner, J.F. Handbook of Proteolytic Enzymes, 2nd ed.; Elsevier Academic Press: London, UK, 2004. [Google Scholar]
- Simon, M.L.; László, K.; Kotormán, M.; Szajáni, B. A comparative study of the conformational stabilities of trypsin and alpha-chymotrypsin. Acta Biol. Szeged. 2001, 45, 43–49. [Google Scholar]
- Crewther, W.G. The effect of pH and cations on the thermal denaturation of trypsin. Aust. J. Biol. Sci. 1953, 6, 597–616. [Google Scholar] [PubMed]
- Pinto, S.C.; Rodrigues, A.R.; Saraiva, J.A.; Lopes-da-Silva, J.A. Catalytic activity of trypsin entrapped in electrospun poly(ε-caprolactone) nanofibers. Enzyme Microb. Technol. 2015, 79, 8–18. [Google Scholar] [CrossRef] [PubMed]
- Ahn, H.-K.; Kim, B.C.; Jun, S.-H.; Chang, M.S.; Lopez-Ferrer, D.; Smith, R.D.; Gu, M.B.; Lee, S.-W.; Kim, B.S.; Kim, J. Robust trypsin coating on electrospun polymer nanofibers in rigorous conditions and its uses for protein digestion. Biotechnol. Bioeng. 2010, 107, 917–923. [Google Scholar] [CrossRef] [PubMed]
- Shi, Q.; Su, Y.; Ning, X.; Chen, W.; Peng, J.; Jiang, Z. Trypsin-enabled construction of anti-fouling and self-cleaning polyethersulfone membrane. Bioresour. Technol. 2011, 102, 647–651. [Google Scholar] [CrossRef] [PubMed]
- Liu, J.; Huang, J.; Wujcik, E.K.; Qiu, B.; Rutman, D.; Zhang, X.; Salazard, E.; Wei, S.; Guo, Z. Hydrophobic electrospun polyimide nanofibers for self-cleaning materials. Macromol. Mater. Eng. 2015, 300, 358–368. [Google Scholar] [CrossRef]
- Oliveira, G.B.; Lima Filho, J.L.; Cavalcante Chaves, M.E.; Azevedo, W.M.; Carvalho, L.B., Jr. Enzyme immobilization on anodic aluminum oxide/polyethyleneimine or polyaniline composites. React. Funct. Polym. 2008, 68, 27–32. [Google Scholar] [CrossRef]
- Smith, P.K.; Krohn, R.I.; Hermanson, G.T.; Mallia, A.K.; Gartner, F.H.; Provenzano, M.D.; Fukimotot, E.K.; Goeke, N.M.; Olson, B.J.; Klenk, D.C. Measurement of protein using bicinchoninic acid. Anal. Biochem. 1985, 150, 76–85. [Google Scholar] [PubMed]
- Smith, A.L.; Skerlos, S.J.; Raskin, L. Membrane biofilm development improves cod removal in anaerobic membrane bioreactor wastewater treatment. Microb. Biotechnol. 2015, 8, 883–894. [Google Scholar] [CrossRef] [PubMed]
- Lin, J.; Ye, W.; Huang, J.; Ricard, B.; Baltaru, M.-C.; Greydanus, B.; Balta, S.; Shen, J.; Vlad, M.; Sotto, A.; et al. Toward resource recovery from textile wastewater: Dye extraction, water and base/acid regeneration using a hybrid NF-BMED process. ACS Sustain. Chem. Eng. 2015, 3, 1993–2001. [Google Scholar] [CrossRef]
- Zhao, Q.; Hou, J.; Shen, J.; Liu, J.; Zhang, Y. Long-lasting antibacterial behavior of a novel mixed matrix water purification membrane. J. Mater. Chem. A 2015, 3, 18696–18705. [Google Scholar] [CrossRef]
- Chu, K.H.; Yoo, S.S.; Yoon, Y.; Ko, K.B. Specific investigation of irreversible membrane fouling in excess of critical flux for irreversibility: A pilot-scale operation for water treatment. Sep. Purif. Technol. 2015, 151, 147–154. [Google Scholar] [CrossRef]
- Duan, L.; Li, S.; Han, L.; Song, Y.; Zhou, B.; Zhang, J. Comparison between moving bed-membrane bioreactor and conventional membrane bioreactor systems. Part I: Membrane fouling. Environ. Earth. Sci. 2015, 73, 4881–4890. [Google Scholar] [CrossRef]
- Borrely, S.I.; Cruz, A.C.; Mastro, N.L.D.; Sampa, M.H.O.; Somessari, E.S. Radiation processing of sewage and sludge. A review. Prog. Nucl. Energy 1998, 33, 3–21. [Google Scholar] [CrossRef]
- Sharpatyi, V.A. Aspects of radiation-chemistry of protein molecules. High Energy Chem. 1995, 29, 77–90. [Google Scholar]
- Boulares-Pender, A.; Thomas, I.; Prager, A.; Schulze, A. Surface modification of polyamide and polyvinylidene fluoride membranes. J. Appl. Polym. Sci. 2013, 128, 322–331. [Google Scholar] [CrossRef]
- Marletta, G.; Pignataro, S. X-ray, electron, and ion beam induced modifications of poly(ether sulfone). Macromolecules 1991, 24, 99–150. [Google Scholar] [CrossRef]
© 2015 by the authors; licensee MDPI, Basel, Switzerland. This article is an open access article distributed under the terms and conditions of the Creative Commons Attribution license (http://creativecommons.org/licenses/by/4.0/).
Share and Cite
Schulze, A.; Stoelzer, A.; Striegler, K.; Starke, S.; Prager, A. Biocatalytic Self-Cleaning Polymer Membranes. Polymers 2015, 7, 1837-1849. https://doi.org/10.3390/polym7091485
Schulze A, Stoelzer A, Striegler K, Starke S, Prager A. Biocatalytic Self-Cleaning Polymer Membranes. Polymers. 2015; 7(9):1837-1849. https://doi.org/10.3390/polym7091485
Chicago/Turabian StyleSchulze, Agnes, Astrid Stoelzer, Karl Striegler, Sandra Starke, and Andrea Prager. 2015. "Biocatalytic Self-Cleaning Polymer Membranes" Polymers 7, no. 9: 1837-1849. https://doi.org/10.3390/polym7091485
APA StyleSchulze, A., Stoelzer, A., Striegler, K., Starke, S., & Prager, A. (2015). Biocatalytic Self-Cleaning Polymer Membranes. Polymers, 7(9), 1837-1849. https://doi.org/10.3390/polym7091485

