Photochemical Stability and Photostabilizing Efficiency of Poly(methyl methacrylate) Based on 2-(6-Methoxynaphthalen-2-yl)propanoate Metal Ion Complexes
Abstract
:1. Introduction
2. Experimental Section
2.1. Materials
| Symbol | Name |
|---|---|
| L | Potassium 2-(6-methoxynaphthalen-2-yl)propanoate |
| NiL2 | bis[2-(6-Methoxynaphthalen-2-yl)propanoate] nickel(II) |
| CuL2 | bis[2-(6-Methoxynaphthalen-2-yl)propanoate] copper(II) |
| ZnL2 | bis[2-(6-Methoxynaphthalen-2-yl)propanoate] zinc(II) |
| SnL2 | bis[2-(6-Methoxynaphthalen-2-yl)propanoate] tin(II) |

2.2. Film Preparation
2.3. Irradiation Experiments: Accelerated Testing Technique
2.4. Photodegradation Measuring Methods
2.4.1. Measuring the Photodegradation Rate of Polymer Films Using Infrared Spectrophotometry
2.4.2. Determination of Average Molecular Weight () Using the Viscometry Method
3. Results and Discussion
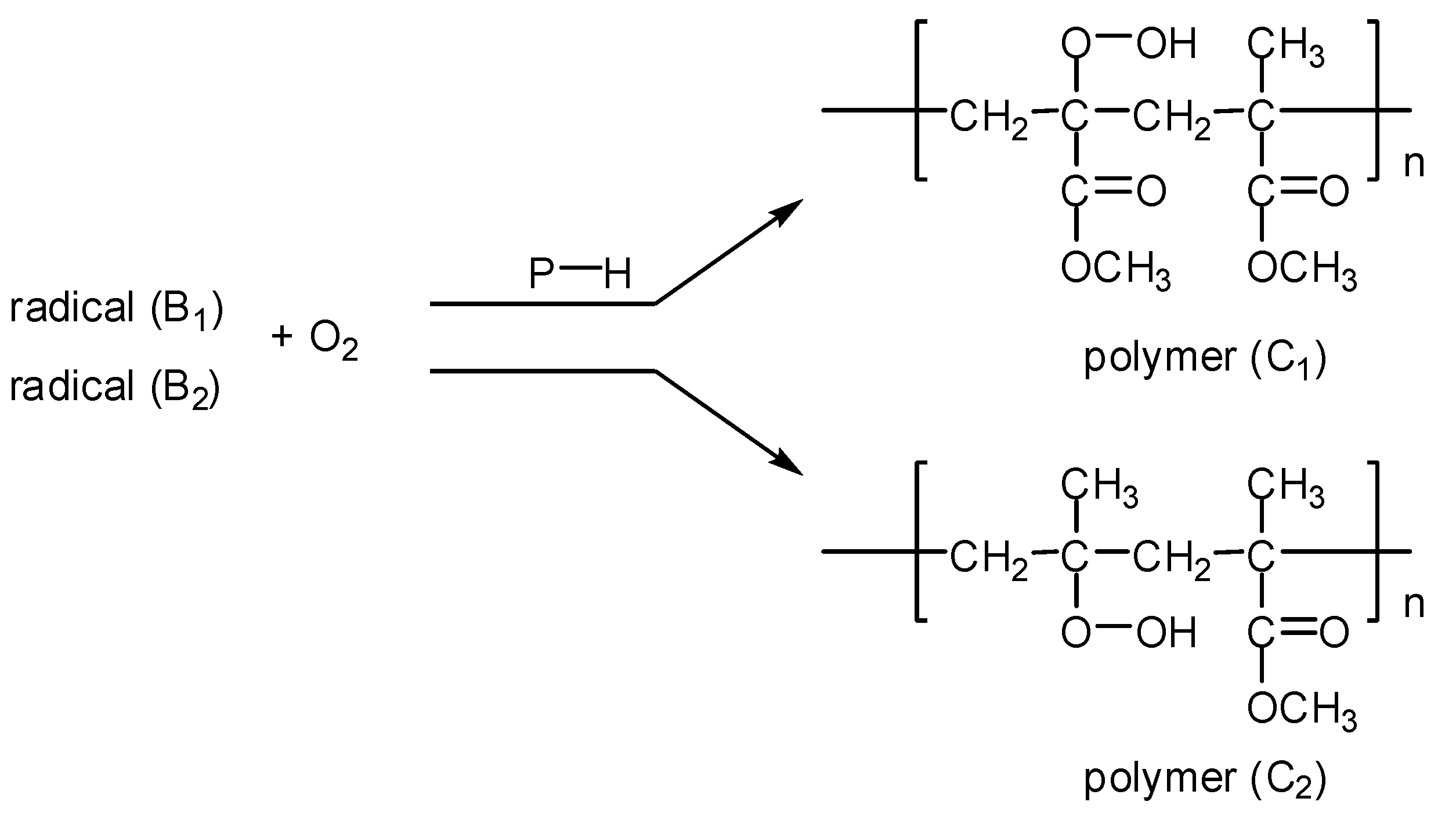
3.1. Photodegradation Mechanism for PMMA








3.2. Variation of PMMA Molecular Weight during Photolysis in the Presence of bis[2-(6-Methoxynaphthalen-2-yl)propanoate] Complexes
| Additive (0.5 wt%) | Quantum Yield of Main Chain Scission (Φcs) |
|---|---|
| PMMA +NiL2 | 5.96 × 10−5 |
| PMMA + CuL2 | 5.35 × 10−5 |
| PMMA + ZnL2 | 7.11 × 10−5 |
| PMMA + SnL2 | 7.21 × 10−5 |
| PMMA (blank) | 4.55 × 10−6 |



3.3. Suggested Mechanisms of Photostabilization of PMMA by the bis[2-(6-Methoxynaphthalen-2-yl)propanoate] Complexes



4. Conclusions
Acknowledgments
Author Contributions
Conflicts of Interests
References
- Chmela, Š.; Lajoie, P.; Hrdlovič, P.; Lacoste, J. Combined oligomeric light and heat stabilizers. Polym. Degrad. Stabil. 2001, 71, 171–177. [Google Scholar]
- Zhao, Y.; Dan, Y. Preparation and characterization of a high molecular weight UV-stabilizer based on a derivative of 2,4-dihydroxybenzophenone and its application in polymer aterials. J. Appl. Polym. Sci. 2006, 102, 2203–2211. [Google Scholar] [CrossRef]
- Grassie, N.; Scott, G. Polymer Degradation and Stabilization; Cambridge University Press: London, UK, 1985. [Google Scholar]
- Andrady, A.L.; Hamid, S.H.; Hu, X.; Torikai, A. Effects of increased solar ultraviolet radiation on materials. In environmental effects of ozone depletion. J. Photochem. Photobiol. B 1998, 46, 96–103. [Google Scholar] [CrossRef]
- Harper, D.J.; McKellar, J.F.; Turner, P.H. Photostabilizing effect of Ni(II) chelates in polymers. II. Effect of diamagnetic chelates on polypropylene phosphorescence. J. Appl. Polym. Sci. 1974, 18, 2805–2807. [Google Scholar]
- Shneshil, M.K.; Redayan, M.A. Photostabilization of PVC films by using some novel tetra Schiff’s bases derived from1,2,4,5-tetra-[5-amino-1,3,4-thiadiazole-2-yl]benzene. Diyala J. Pure Sci. 2010, 7, 34–77. [Google Scholar]
- Yousif, E.; Haddad, R. Photodegradation and photostabilization of polymers, especially polystyrene: Review. SpringerPlus 2013, 2, 398–460. [Google Scholar] [CrossRef] [PubMed]
- Ratnam, C.T. Irradiation crosslinking of PVC–ENR blend effect of efficient radical scavenger. Plast. Rubber Compos. 2001, 30, 416–420. [Google Scholar] [CrossRef]
- Griffini, G.; Bella, F.; Nisic, F.; Dragonetti, C.; Roberto, D.; Levi, M.; Bongiovanni, R.; Turri, S. Multifunctional luminescent down shifting fluoropolymer coatings: A straightforward strategy to improve the UV-light harvesting ability and long term outdoor stability of organic dye sensitized solar cells. Adv. Energy Mater. 2015, 5. [Google Scholar] [CrossRef]
- Bella, F.; Griffini, G.; Gerosa, M.; Turri, S.; Bongiovanni, R. Performance and stability improvements for dye-sensitized solar cells in the presence of luminescent coatings. J. Power Sources 2015, 283, 195–203. [Google Scholar] [CrossRef]
- Fouassier, J.P.; Lalevée, J. Photochemical production of interpenetrating polymer networks; SimultaneousiInitiation of radical and cationic polymerization reactions. Polymers 2014, 6, 2588–2610. [Google Scholar] [CrossRef]
- Mosnáček, J.; Kundys, A.; Andicsová, A. Reversible-deactivation radical polymerization of methyl methacrylate induced by photochemical reduction of various copper catalysts. Polymers 2014, 6, 2862–2874. [Google Scholar] [CrossRef]
- Shih, H.-K.; Chen, Y.H.; Chu, Y.L.; Cheng, C.-C.; Chang, F.-C.; Zhu, C.-Y.; Kuo, S.-W. Photo-crosslinking of pendent uracil units provides supramolecular hole injection/transport conducting polymers for highly efficient light-emitting diodes. Polymers 2015, 7, 804–818. [Google Scholar] [CrossRef]
- Buruaga, L.; Pomposo, J.A. Metal-free polymethyl methacrylate (PMMA) nanoparticles by enamine “click” chemistry at room temperature. Polymers 2011, 3, 1673–1683. [Google Scholar] [CrossRef]
- Smith, K.; Balakit, A.A.; El-Hiti, G.A. Poly(propylene sulfide)-borane: Convenient and versatile reagent for organic synthesis. Tetrahedron 2012, 68, 7834–7839. [Google Scholar] [CrossRef]
- Smith, K.; Al-Zuhairi, A.J.; El-Hiti, G.A.; Alshammari, M.B. Comparison of cyclic and polymeric disulfides as catalysts for the regioselective chlorination of phenols. J. Sulfur Chem. 2015, 36, 74–85. [Google Scholar] [CrossRef]
- Smith, K.; Balakit, A.A.; Pardasani, R.T.; El-Hiti, G.A. New polymeric sulfide–borane complexes: Convenient hydroborating and reducing reagents. J. Sulfur Chem. 2011, 32, 287–295. [Google Scholar] [CrossRef]
- Smith, K.; El-Hiti, G.A.; Al-Zuhairi, A.J. The synthesis of polymeric sulfides by reaction of dihaloalkanes with sodium sulphide. J. Sulfur Chem. 2011, 32, 521–531. [Google Scholar] [CrossRef]
- Yousif, E.A.; Aliwi, S.M.; Ameer, A.A.; Ukal, J.R. Improved photostability of PVC films in the presence of 2-thioacetic acid-5-phenyl-1,3,4-oxadiazole complexes. Turk. J. Chem. 2009, 33, 399–410. [Google Scholar]
- Balakit, A.A.; Ahmed, A.; El-Hiti, G.A.; Smith, K.; Yousif, E. Synthesis of new thiophene derivatives and their use as photostabilizers for rigid poly(vinyl chloride). Int. J. Polym. Sci. 2015, 2015. [Google Scholar] [CrossRef]
- Ahmed, A.; Shneine, J.; Yousif, E.; Salman, H. Synthesis and characterization on some metal ions of 2-(6-methoxynaphthalen-2-yl)propanoate complexes. J. Al-Nahrain Univ. 2013, 16, 46–50. [Google Scholar]
- Yousif, E.; Salimon, J.; Salih, N. Improvement of the photostabilization of PVC films in the presence of thioacetic acid benzothiazole complexes. Malaysian J. Anal. Sci. 2011, 15, 81–92. [Google Scholar]
- Rabek, J.; Ranby, B. Photodegradation, Photooxidation and Photostabilization of Polymers; John Wiley: New York, NY, USA, 1975. [Google Scholar]
- Mark, J. Physical Properties of Polymers Handbook; Springer: New York, NY, USA, 2007. [Google Scholar]
- Nakajima, N.; Sadeghi, M.R.; Kyu, T. Swelling of PVC particles during gelation and fusion of plastisols as observed with small-angle light scattering. J. Appl. Polym. Sci. 1990, 41, 889–363. [Google Scholar] [CrossRef]
- Yousif, E.; Salimon, J.; Salih, N. Mechanism of photostabilization of poly(methy methacrylate) films by 2-thioacetic acid benzothiazol complexes. Arabian J. Chem. 2014, 7, 306–311. [Google Scholar] [CrossRef]
- Yousif, E.; Salih, N.; Salimon, J. Improvement of the photostabilization of PVC films in the presence of 2N-salicylidene-5-(substituted)-1,3,4-thiadiazole. J. Appl. Polym. Sci. 2011, 120, 2207–2214. [Google Scholar] [CrossRef]
- Yousif, E.; Salimon, J.; Salih, N. New stabilizers for polystyrene based on 2-thioacetic acid benzothiazol complexes. J. Appl. Polym. Sci. 2012, 125, 1922–1927. [Google Scholar] [CrossRef]
- Andrady, A.L.; Searle, N.D. Photodegradation of rigid PVC formulations. II. Spectral sensitivity to light-induced yellowing by polychromatic light. J. Appl. Polym. Sci. 1989, 37, 2789–2802. [Google Scholar]
- Mori, F.; Koyama, M.; Oki, Y. Studies on photodegradation of poly(vinyl chloride (part I). Die Angew. Makromol. Chem. 1997, 64, 89–99. [Google Scholar] [CrossRef]
- Shyichuk, A.V.; White, J.R. Analysis of chain-scission and crosslinking rates on the photo–oxidation of polystyrene. J. Appl. Polym. Sci. 2000, 77, 3015–3023. [Google Scholar] [CrossRef]
- Gugumus, F. Mechanism of Polymer Degradation and Stabilization; Elsevier: Amsterdam, The Netherlands, 1990. [Google Scholar]
- Pospíšil, J.; Nešpurek, S. Photostabilization of coatings. Mechanisms and performance. Prog. Polym. Sci. 2000, 25, 1261–1335. [Google Scholar] [CrossRef]
- Shahroosvand, H.; Rezaei, S.; Mohajerani, E.; Mahmoudi, M.; Kamyabi, M.A.; Nasiri, S.; Affiliations, S. Key role of ancillary ligands in imparting blue shift in electroluminescence wavelength in ruthenium polypyridyl light-emitting diodes. New J. Chem. 2014, 38, 5312–5323. [Google Scholar] [CrossRef]
- Xu, H.; Chen, R.; Sun, Q.; Lai, W.; Su, Q.; Huang, W.; Liu, X. Recent progress in metal-organic complexes for optoelectronic applications. Chem. Soc. Rev. 2014, 43, 3259–3302. [Google Scholar] [CrossRef] [PubMed]
- Anthonysamy, A.; Lee, Y.; Karunagaran, B.; Ganapathy, V.; Rhee, S.-W.; Karthikeyan, S.; Kim, K.S.; Ko, M.J.; Park, N.-G.; Ju, M.-J.; et al. Molecular design and synthesis of ruthenium(II) sensitizers for highly efficient dye-sensitized solar cells. J. Mater. Chem. 2011, 21, 12389–12397. [Google Scholar]
- Yousif, E.; Hameed, A.; Rasheed, R.; Mansoor, H.; Farina, Y.; Graisa, A.; Salih, N.; Salimon, J. Synthesis and photostability study of some modified poly(vinyl chloride) containing pendant benzothiazole and benzimidozole ring. Int. J. Chem. 2010, 2, 65–80. [Google Scholar] [CrossRef]
- Pospíšil, J.; Klemchuk, P.P. Oxidation Inhibition in Organic Materials; CRC Press: Boca Raton, FL, USA, 1989; Volume 1, pp. 48–49. [Google Scholar]
© 2015 by the authors; licensee MDPI, Basel, Switzerland. This article is an open access article distributed under the terms and conditions of the Creative Commons Attribution license (http://creativecommons.org/licenses/by/4.0/).
Share and Cite
Yousif, E.; El-Hiti, G.A.; Haddad, R.; Balakit, A.A. Photochemical Stability and Photostabilizing Efficiency of Poly(methyl methacrylate) Based on 2-(6-Methoxynaphthalen-2-yl)propanoate Metal Ion Complexes. Polymers 2015, 7, 1005-1019. https://doi.org/10.3390/polym7061005
Yousif E, El-Hiti GA, Haddad R, Balakit AA. Photochemical Stability and Photostabilizing Efficiency of Poly(methyl methacrylate) Based on 2-(6-Methoxynaphthalen-2-yl)propanoate Metal Ion Complexes. Polymers. 2015; 7(6):1005-1019. https://doi.org/10.3390/polym7061005
Chicago/Turabian StyleYousif, Emad, Gamal A. El-Hiti, Raghad Haddad, and Asim A. Balakit. 2015. "Photochemical Stability and Photostabilizing Efficiency of Poly(methyl methacrylate) Based on 2-(6-Methoxynaphthalen-2-yl)propanoate Metal Ion Complexes" Polymers 7, no. 6: 1005-1019. https://doi.org/10.3390/polym7061005
APA StyleYousif, E., El-Hiti, G. A., Haddad, R., & Balakit, A. A. (2015). Photochemical Stability and Photostabilizing Efficiency of Poly(methyl methacrylate) Based on 2-(6-Methoxynaphthalen-2-yl)propanoate Metal Ion Complexes. Polymers, 7(6), 1005-1019. https://doi.org/10.3390/polym7061005

