Compressive Behavior of Concrete Confined with GFRP Tubes and Steel Spirals
Abstract
:1. Introduction
2. Experimental Section
2.1. Test Matrix
| Specimen | fc' (MPa) | nFRP | Ef (GPa) | t (mm) | flf/fc' | ρf (%) | fhy (MPa) | ρs (%) | fls/fc' | Number of Specimens |
|---|---|---|---|---|---|---|---|---|---|---|
| P1S1 | 30 | 1 | 60.8 | 0.436 | 0.190 | 20.20 | 356 | 3.0 | 0.164 | 3 |
| P2S1 | 30 | 2 | 60.8 | 0.872 | 0.378 | 25.23 | 356 | 3.0 | 0.164 | 3 |
| P3S1 | 30 | 3 | 60.8 | 1.308 | 0.567 | 27.52 | 356 | 3.0 | 0.164 | 3 |
| P1S2 | 30 | 1 | 60.8 | 0.436 | 0.190 | 20.20 | 356 | 1.5 | 0.073 | 3 |
| P2S2 | 30 | 2 | 60.8 | 0.872 | 0.378 | 25.23 | 356 | 1.5 | 0.073 | 3 |
| P3S2 | 30 | 3 | 60.8 | 1.308 | 0.567 | 27.52 | 356 | 1.5 | 0.073 | 3 |


2.2. Fabrication of Specimens
2.3. Material Properties
2.3.1. Concrete
| fc' (MPa) | W/C | Water (kg/m3) | Cement (kg/m3) | Fine Aggregates (kg/m3) | Coarse Aggregates (kg/m3) |
|---|---|---|---|---|---|
| 30 | 0.51 | 195.0 | 382.3 | 583.3 | 1239.4 |
2.3.2. Steel Reinforcement
2.3.3. FRP Composites

2.4. Ductility Index and Energy Consideration for Ductility Index at Failure

2.5. Test Instrumentation

3. Results and Discussion
3.1. Failure Modes

3.2. Axial Stress–Strain Relationships

3.3. Residual Compressive Behavior of Confined Concrete after Rupture of the GFRP Tube

3.4. Ultimate Condition
| Specimen | fc' (MPa) | μ | Ec (kJ) | εc' | εfu | Etot (kJ) | εcu | εcu/εc' | fcu | fcu/fc' | εfu,a | εfu,a/εfu | flf,a (MPa) | fls,a (MPa) |
|---|---|---|---|---|---|---|---|---|---|---|---|---|---|---|
| P1S1 | 30.04 | 5.77 | 0.51 | 0.005 | 0.016 | 7.58 | 0.0223 | 4.46 | 86.24 | 2.87 | 0.0140 | 0.875 | 4.95 | 5.16 |
| P2S1 | 30.04 | 5.81 | 0.51 | 0.005 | 0.016 | 11.03 | 0.0244 | 4.88 | 109.71 | 3.66 | 0.0146 | 0.913 | 10.32 | 5.16 |
| P3S1 | 30.04 | 6.06 | 0.51 | 0.005 | 0.016 | 17.91 | 0.0300 | 6.00 | 131.17 | 4.37 | 0.0154 | 0.963 | 16.32 | 5.16 |
| P1S2 | 30.04 | 5.71 | 0.51 | 0.005 | 0.016 | 6.56 | 0.0222 | 4.44 | 70.95 | 2.37 | 0.0121 | 0.756 | 4.27 | 2.31 |
| P2S2 | 30.04 | 5.76 | 0.51 | 0.005 | 0.016 | 8.23 | 0.0241 | 4.82 | 94.24 | 3.14 | 0.0134 | 0.838 | 9.48 | 2.31 |
| P3S2 | 30.04 | 5.95 | 0.51 | 0.005 | 0.016 | 13.30 | 0.0286 | 5.72 | 114.67 | 3.82 | 0.0148 | 0.925 | 15.70 | 2.31 |
3.5. Influence of Experiment Variables
3.5.1. SR


3.5.2. Numbers of FRP Layers
3.6. Axial-Transverse Strain Responses

4. Analytical Modeling for Concrete Confined with Both GFRP Tubes and SR under Monotonic Compression

4.1. Proposed Stress Equations


4.2. Proposed Stress–Strain Model for FRP–SR Confined Concrete in Compression





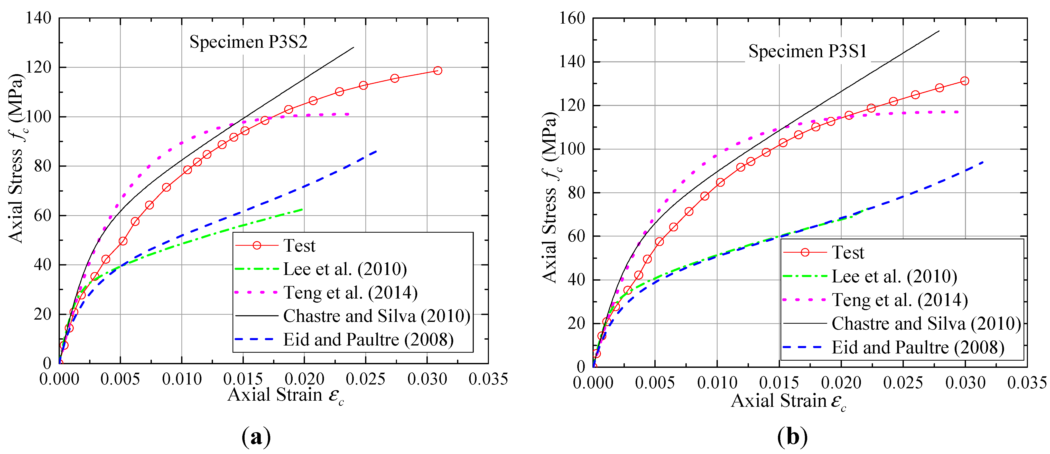
4.3. Comparison of the Model Proposed with the Experimental Results

5. Conclusions
- Significant increase in strength and ductility of concrete can be achieved by using GFRP tubes and SR. Unlike the explosive process observed in CFRP confined concrete cylinders, the failure process of GFRP–SR confined concrete was quiet and the GFRP–SR confined concrete had a good residual compressive strength after the rupture of GFRP.
- Increasing the volumetric SR ratio for a cylinder specimen with the same FRP confinement results in increased maximum actual lateral confining pressures of GFRP tubes, which is different from the test results of Eid and Paultre (2009) [33] for CFRP–TSR confined concrete.
- The stress–strain performances of concrete confined with GFRP tube and SR exhibited an ascending bilinear shape with a long transition zone around the stress level of unconfined concrete strength. A model was proposed to describe the relationships between the axial stress–axial strain and axial stress–lateral strain; this model showed good agreement with the experimental results.
- The test results were compared with predictions of some existing models. For GFRP–SR confined concrete, models proposed by Teng et al., (2014) [57] and Chastre and Silva (2010) [58] are superior to the two other existing models (Lee et al., 2010 [35]; Eid and Paultre 2008 [59]). The direct use of the Chastre and Silva (2010) [58] model significantly overestimates the ultimate axial stresses of the GFRP–SR confined concrete specimens, but provides reasonable predictions for the types of stress–strain curves.
- The inelastic energy absorbed by confined concrete cylinders corresponding to failure was much more than the elastic energy absorbed, and the elastic-to-inelastic energy dissipation ratios were relatively constant.
Acknowledgments
Author Contributions
Conflicts of Interest
References
- Ahmad, S.M.; Shah, S.P. Stress–strain curves of concrete confined by spiral reinforcement. ACI Struct. J. 1982, 79, 484–490. [Google Scholar]
- Mander, J.B.; Priestley, M.J.N.; Park, R. Observed stress strain behavior of confined concrete. ASCE J. Struct. Eng. 1988, 114, 1827–1849. [Google Scholar] [CrossRef]
- Parvin, A.; Brighton, D. FRP composites strengthening of concrete columns under various loading conditions. Polymers 2014, 6, 1040–1056. [Google Scholar] [CrossRef]
- Matthys, S.; Taerwe, L.; Audenaert, K. Tests on axially loaded concrete columns confined by fiber reinforced polymer sheet wrapping. ACI Spec. Publ. 1999, 188, 217–228. [Google Scholar]
- Lam, L.; Teng, J.G. Ultimate condition of fiber reinforced polymer-confined concrete. J. Compos. Constr. 2004, 8, 539–548. [Google Scholar] [CrossRef]
- Dai, J.G.; Bai, Y.L.; Teng, J.G. Behavior and modeling of concrete confined with FRP composites of large deformability. J. Compos. Constr. 2011, 15, 963–973. [Google Scholar] [CrossRef]
- Ilki, A.; Peker, O.; Karamuk, E.; Demir, C.; Kumbasar, N. FRP retrofit of low and medium strength circular and rectangular reinforced concrete columns. J. Mater. Civil Eng. 2008, 20, 169–188. [Google Scholar] [CrossRef]
- Ozcan, O.; Binici, B.; Ozcebe, G. Seismic strengthening of rectangular reinforced concrete columns using fiber reinforced polymers. Eng. Struct. 2010, 32, 964–973. [Google Scholar] [CrossRef]
- Wu, Y.F.; Wei, Y.Y. Effect of cross-sectional aspect ratio on the strength of CFRP-confined rectangular concrete columns. Eng. Struct. 2010, 32, 32–45. [Google Scholar] [CrossRef]
- Ozbakkaloglu, T.; Akin, E. Behavior of FRP-confined normaland high-strength concrete under cyclic axial compression. J. Compos. Constr. 2012, 16, 451–463. [Google Scholar] [CrossRef]
- Wang, Z.Y.; Wang, D.Y.; Smith, S.T.; Lu, D.G. CFRPconfined square RC columns. I: Experimental investigation. J. Compos. Constr. 2012, 16, 150–160. [Google Scholar] [CrossRef]
- Xiao, Y.; Wu, H. Compressive behavior of concrete confined by various types of FRP composite jackets. J. Reinf. Plast. Compos. 2003, 22, 1187–1201. [Google Scholar] [CrossRef]
- Xiao, Y.; Wu, H. Compressive behavior of concrete confined by carbon fiber composite jackets. J. Mater. Civil Eng. 2000, 12, 139–146. [Google Scholar] [CrossRef]
- Priestley, M.J.N.; Seible, F. Seismic Assessment and Retrofit of Bridges; Structural Systems Researck Project; Report No. SSRP 91103; University of California: San Diego, CA, USA, July 1991; p. 418. [Google Scholar]
- Seible, F.; Hegemier, G.A.; lnnamorato, D. Developments in bridge column jacketing using advance composites. In Proceedings of the National Seismic Conference on Bridges and Highways, Federal Highway Administration and California Department of Transportation, San Diego, CA, USA, 10–13 December 1995.
- Ma, R.; Xiao, Y.; Li, K.N. Full-scale testing of a parking structure column retrofitted with carbon fiber reinforced composites. J. Constr. Build. Mater. 2000, 14, 63–71. [Google Scholar] [CrossRef]
- Teng, J.G.; Chen, J.F.; Smith, S.T.; Lam, L. RC Structures Strengthened with FRP Composites; Research Centre for Advanced Technology in Structural Engineering, Department of Civil and Structural Engineering; The Hong Kong Polytechnic University: Hong Kong, China, December 2000; p. 134. [Google Scholar]
- Benzaid, R.; Mesbah, H.; Chikh, N.E. FRP-confined concrete cylinders: Axial compression experiments and strength model. J. Reinf. Plast. Compos. 2010, 29, 2469–2488. [Google Scholar] [CrossRef]
- Xie, T.; Ozbakkaloglu, T. Behavior of steel fiber-reinforced high-strength concrete-filled FRP tube columns under axial compression. Eng. Struct. 2015, 90, 158–171. [Google Scholar] [CrossRef]
- Vincent, T.; Ozbakkaloglu, T. Influence of fiber orientation and specimen end condition on axial compressive behavior of FRP-confined concrete. Constr. Build. Mater. 2013, 47, 814–826. [Google Scholar] [CrossRef]
- Vincent, T.; Ozbakkaloglu, T. Influence of shrinkage on compressive behavior of concrete-filled FRP tubes: An experimental study on interface gap effect. Constr. Build. Mater. 2015, 75, 144–156. [Google Scholar] [CrossRef]
- Vincent, T.; Ozbakkaloglu, T. Compressive behavior of prestressed high-strength concrete-filled aramid FRP tube columns: Experimental observations. J. Compos. Constr. 2015, 2015. [Google Scholar] [CrossRef]
- Vincent, T.; Ozbakkaloglu, T. Influence of slenderness on stress–strain behavior of concrete-filled FRP tubes: Experimental study. J. Compos. Constr. 2014, 19, 04014029. [Google Scholar] [CrossRef]
- Ozbakkaloglu, T.; Vincent, T. Axial compressive behavior of circular high-strength concrete-filled FRP tubes. J. Compos. Constr. 2014, 18, 04013037. [Google Scholar] [CrossRef]
- Yan, L.; Chouw, N. Dynamic and static properties of flax fibre reinforced polymer tube confined coir fibre reinforced concrete. J. Compos. Mater. 2014, 48, 1595–1610. [Google Scholar] [CrossRef]
- Ozbakkaloglu, T. Behavior of square and rectangular ultra high-strength concrete-filled FRP tubes under axial compression. Compos. B Eng. 2013, 54, 97–111. [Google Scholar] [CrossRef]
- Yan, L.; Chouw, N.; Jayaraman, K. Effect of column parameters on flax FRP confined coir fibre reinforced concrete. Constr. Build. Mater. 2014, 55, 299–312. [Google Scholar] [CrossRef]
- Zhang, B.; Yu, T.; Teng, J. Behavior of concrete-filled FRP tubes under cyclic axial compression. J. Compos. Constr. 2014, 2014. [Google Scholar] [CrossRef]
- Zhao, J.L.; Yu, T.; Teng, J.G. Stress–strain behavior of FRP-confined recycled aggregate concrete. J. Compos. Constr. 2014, 2014. [Google Scholar] [CrossRef]
- Monti, G. Confining reinforced concrete with FRP: Behavior and modeling. Compos. Constr. 2002, 2002, 213–222. [Google Scholar]
- Richart, F.E.; Brandtzæg, A.; Brown, R.L. Failure of Plain and Spirally Reinforced Concrete in Compression; Bulletin No. 190; Engineering Experiment Station, University of Illinois: Urbana, IL, USA, 1929. [Google Scholar]
- Kumutha, R.; Palanichamy, M.S. Investigation of reinforced concrete columns confined using glass fiber-reinforced polymers. J. Reinf. Plast. Compos. 2006, 25, 1669–1678. [Google Scholar] [CrossRef]
- Eid, R.; Roy, N.; Paultre, P. Normal- and high-strength concrete circular elements wrapped with FRP composites. J. Compos. Constr. 2009, 13, 113–124. [Google Scholar] [CrossRef]
- Triantafyllou, G.G.; Rousakis, T.C.; Karabinis, A.I. Axially loaded reinforced concrete columns with a square section partially confined by light GFRP straps. J. Compos. Constr. 2014, 19, 04014035. [Google Scholar] [CrossRef]
- Lee, J.Y.; Yi, C.K.; Jeong, H.S.; Kim, S.W.; Kim, J.K. Compressive response of concrete confined with steel spirals and FRP composites. J. Compos. Mater. 2010, 44, 481–504. [Google Scholar] [CrossRef]
- Demers, M.; Neale, K. Confinement of reinforced concrete columns with fibre-reinforced composite sheets—An experimental study. Can. J. Civil Eng. 1999, 26, 226–241. [Google Scholar] [CrossRef]
- Matthys, S.; Toutanji, H.; Audenaert, K.; Taerwe, L. Axial load behavior of large-scale columns confined with fiber-reinforced polymer composites. ACI Struct. J. 2005, 102, 258–267. [Google Scholar]
- Carey, S.A.; Harries, K.A. Axial behavior and modeling of confined small-, medium-, and large-scale circular sections with carbon fiber-reinforced polymer jackets. ACI Struct. J. 2005, 102, 596–604. [Google Scholar]
- Rousakis, T.C.; Karabinis, A.I. Adequately FRP confined reinforced concrete columns under axial compressive monotonic or cyclic loading. Mater. Struct. 2012, 45, 957–975. [Google Scholar] [CrossRef]
- De Luca, A.; Nardone, F.; Matta, F.; Nanni, A.; Lignola, G.P.; Prota, A. Structural evaluation of full-scale FRP-confined reinforced concrete columns. J. Compos. Constr. 2010, 15, 112–123. [Google Scholar] [CrossRef]
- Tamuzs, V.; Valdmanis, V.; Gylltoft, K.; Tepfers, R. Behavior of CFRP-confined concrete cylinders with a compressive steel reinforcement. Mech. Compos. Mater. 2007, 43, 191–202. [Google Scholar] [CrossRef]
- Wang, Y.C.; Restrepo, J.I. Investigation of concentrically loaded reinforced concrete columns confined with glass fiber-reinforced polymer jackets. ACI Struct. J. 2001, 98, 377–385. [Google Scholar]
- De Lorenzis, L.; Tepfers, R. Comparative study of models on confinement of concrete cylinders with fiber-reinforced polymer composites. J. Compos. Constr. 2003, 7, 219–237. [Google Scholar] [CrossRef]
- Teng, J.G.; Lam, L. Behavior and modeling of fiber reinforced polymer-confined concrete. J. Struct. Eng. 2004, 130, 1713–1723. [Google Scholar] [CrossRef]
- Samaan, M.; Mirmiran, A.; Shahawy, M. Model of concrete confined by fiber composites. ASCE J. Struct. Eng. 1998, 124, 1025–1031. [Google Scholar] [CrossRef]
- Spoelstra, M.R.; Monti, G. FRP-confined concrete model. J. Compos. Constr. 1999, 3, 143–150. [Google Scholar] [CrossRef]
- Teng, J.G.; Huang, Y.L.; Lam, L.; Ye, L.P. Theoretical model for fiber-reinforced polymer-confined concrete. J. Compos. Constr. 2007, 11, 201–210. [Google Scholar] [CrossRef]
- Légeron, F.; Paultre, P. Uniaxial confinement model for normal- and high-strength concrete columns. J. Struct. Eng. 2003, 129, 241–252. [Google Scholar] [CrossRef]
- Lignola, G.P.; Prota, A.; Manfredi, G. Simplified modeling of rectangular concrete cross-sections confined by external FRP wrapping. Polymers. 2014, 6, 1187–1206. [Google Scholar] [CrossRef]
- Kawashima, K.; Hosotani, M.; Yoneda, K. Carbon fiber sheet retrofit of reinforced concrete bridge piers. In Proceedings of Workshop on Annual Commemoration of Chi-Chi Earthquake, National Center for Research on Earthquake Engineering, Taipei, Taiwan, 18 September 2000; pp. 124–135.
- Matthys, S. Structural Behavior and Design of Concrete Members Strengthened with Externally Bonded FRP. Ph.D. Thesis, Ghent University, Gent, Belgium, 2000; p. 345. [Google Scholar]
- Lam, L.; Teng, J.G. Design-oriented stress–strain model for FRP-confined concrete. Constr. Build. Mater. 2003, 17, 471–489. [Google Scholar] [CrossRef]
- Matthys, S.; Toutanji, H.; Taerwe, L. Stress–strain behaviour of large-scale circular columns confined with FRP composites. J. Struct. Eng. 2006, 132, 123–133. [Google Scholar] [CrossRef]
- Mander, J.B.; Priestley, M.J.N.; Park, R. Theoretical stress–strain model for confined concrete. J. Struct. Eng. 1988, 114, 1804–1826. [Google Scholar] [CrossRef]
- Saafi, M.; Toutanji, H.; Li, Z. Behavior of concrete columns confined with fiber reinforced polymer tubes. ACI Mater. J. 1999, 96, 500–509. [Google Scholar]
- Toutanji, H. Stress–strain characteristics of concrete columns externally confined with advanced fiber composite sheets. ACI Mater. J. 1999, 96, 397–404. [Google Scholar]
- Teng, J.G.; Lin, G.; Yu, T. Analysis-oriented stress–strain model for concrete under combined FRP-steel confinement. J. Compos. Constr. 2014, 2014. [Google Scholar] [CrossRef]
- Chastre, C.; Silva, M.A. Monotonic axial behavior and modelling of RC circular columns confined with CFRP. Eng. Struct. 2010, 32, 2268–2277. [Google Scholar] [CrossRef]
- Eid, R.; Paultre, P. Analytical model for FRP-confined circular reinforced concrete columns. J. Compos. Constr. 2008, 12, 541–552. [Google Scholar] [CrossRef]
- Standard Test Method for Tensile Properties of Polymer Matrix Composite Materials; ASTM D3039/D 3039M; American Society for Testing and Materials (ASTM): West Conshohocken, PA, USA, 2008.
- Jo, B.-W.; Tae, G.-H.; Kwon, B.-Y. Ductility evaluation of prestressed concrete beams with CFRP tendons. J. Reinf. Plast. Compos. 2004, 23, 843–859. [Google Scholar] [CrossRef]
- Standard Test Methods for Compressive Strength of Cylindrical Concrete Specimens; ASTM C39; American Society for Testing and Materials (ASTM): West Conshohocken, PA, USA, 2010.
- Rousakis, T.C. Elastic fiber ropes of ultrahigh-extension capacity in strengthening of concrete through confinement. J. Mater. Civil Eng. 2013, 26, 34–44. [Google Scholar] [CrossRef]
- Rousakis, T.C. Hybrid confinement of concrete by fiber-reinforced polymer sheets and fiber ropes under cyclic axial compressive loading. J. Compos. Constr. 2013, 17, 732–743. [Google Scholar] [CrossRef]
- Rousakis, T.C.; Tourtouras, I.S. RC columns of square section—Passive and active confinement with composite ropes. Compos. B Eng. 2014, 58, 573–581. [Google Scholar] [CrossRef]
- Lim, J.C.; Ozbakkaloglu, T. Hoop strains in FRP-confined concrete columns: Experimental observations. Mater. Struct. 2014, 2014, 1–16. [Google Scholar]
- Ozbakkaloglu, T.; Lim, J.C.; Vincent, T. FRP-confined concrete in circular sections: Review and assessment of stress–strain models. Eng. Struct. 2013, 49, 1068–1088. [Google Scholar] [CrossRef]
- Lim, J.; Ozbakkaloglu, T. Lateral strain-to-axial strain relationship of confined concrete. J. Struct. Eng. 2015, 141, 04014141. [Google Scholar] [CrossRef]
- Lim, J.; Ozbakkaloglu, T. Factors influencing hoop rupture strains of FRP-confined concrete. Appl. Mech. Mater. 2014, 501, 949–953. [Google Scholar] [CrossRef]
- Ozbakkaloglu, T.; Lim, J.C. Axial compressive behavior of FRP-confined concrete: Experimental test database and a new design-oriented model. Compos. B Eng. 2013, 55, 607–634. [Google Scholar] [CrossRef]
- Lam, L.; Teng, J.G. Strength models for fiber-reinforced plastic-confined concrete. J. Struct. Eng. 2002, 128, 612–623. [Google Scholar] [CrossRef]
- Concrete Core Testing for Strength; CS-11; Concrete Society: London, UK, 1976.
- Eurocode 2: Design of Concrete Structures: Part 1–1: General Rules and Rules for Buildings; British Standards Institution: Brussels, Belgium, 2004.
- Richard, R.M.; Abbott, B.J. Versatile elastic–plastic stress–strain formula. J. Eng. Mech. Division 1975, 101, 511–515. [Google Scholar]
© 2015 by the authors; licensee MDPI, Basel, Switzerland. This article is an open access article distributed under the terms and conditions of the Creative Commons Attribution license (http://creativecommons.org/licenses/by/4.0/).
Share and Cite
Huang, L.; Sun, X.; Yan, L.; Zhu, D. Compressive Behavior of Concrete Confined with GFRP Tubes and Steel Spirals. Polymers 2015, 7, 851-875. https://doi.org/10.3390/polym7050851
Huang L, Sun X, Yan L, Zhu D. Compressive Behavior of Concrete Confined with GFRP Tubes and Steel Spirals. Polymers. 2015; 7(5):851-875. https://doi.org/10.3390/polym7050851
Chicago/Turabian StyleHuang, Liang, Xiaoxun Sun, Libo Yan, and Deju Zhu. 2015. "Compressive Behavior of Concrete Confined with GFRP Tubes and Steel Spirals" Polymers 7, no. 5: 851-875. https://doi.org/10.3390/polym7050851
APA StyleHuang, L., Sun, X., Yan, L., & Zhu, D. (2015). Compressive Behavior of Concrete Confined with GFRP Tubes and Steel Spirals. Polymers, 7(5), 851-875. https://doi.org/10.3390/polym7050851
