Next Article in Journal
Modified Weibull Distribution for Analyzing the Tensile Strength of Bamboo Fibers
Previous Article in Journal
Fabrication of Chitin/Poly(butylene succinate)/Chondroitin Sulfate Nanoparticles Ternary Composite Hydrogel Scaffold for Skin Tissue Engineering
 
 
Font Type:
Arial Georgia Verdana
Font Size:
Aa Aa Aa
Line Spacing:
Column Width:
Background:
Article

MALDI-TOF and 13C NMR Analysis of Tannin–Furanic–Polyurethane Foams Adapted for Industrial Continuous Lines Application

1
Laboratoire d'Etude et de Recherche sur le Materiau Bois (LERMAB), University of Lorraine, Epinal 88000, France
2
Indunor, Cerrito 1136, Buenos Aires 1033, Argentina
3
Silva Chimica, St. Michele Mondovi 12080, Italy
4
Department of Physics, King Abdulaziz University, Jeddah 21589, Saudi Arabia
5
Institute de Sciences des Materiaux de Mulhouse (IS2R), Université de Haute Alsace, Mulhouse 68057, France
6
Institut Jean Lamour (IJL), University of Lorraine, Epinal 88000, France
*
Author to whom correspondence should be addressed.
Polymers 2014, 6(12), 2985-3004; https://doi.org/10.3390/polym6122985
Submission received: 8 October 2014 / Revised: 28 November 2014 / Accepted: 11 December 2014 / Published: 17 December 2014

Abstract

:
Mixed phenolic-polyurethane-type rigid foams were developed using tannin-furfuryl alcohol natural materials co-reacted with polymeric isocyanate in the proportions imposed by the limitations inherent to continuous industrial plants for polyurethane foams. A variety of different copolymerization oligomers formed. Urethanes appeared to have been formed with two flavonoid tannin sites, mainly at the flavonoid hydroxyl group at C3, but also, although less, on the phenolic hydroxyl groups of the flavonoid oligomers. Urethanes are also formed with (i) glyoxal in the formulation, be it pre-reacted or not with the tannin; (ii) with phenolsulfonic acid and (iii) with furfural. This latter one, however, greatly favors reaction with the A-ring of the flavonoids through a methylene bridge rather than reaction with the isocyanate groups to form urethanes. All of the materials appeared to have co-reacted in a manner to form urethane and methylene bridges between all of the main components used. Thus, the tannin, the furfuryl alcohol, the isocyanate, the glyoxal and even the phenol sulfonic acid hardener formed a number of mixed species linked by the two bridge types. Several mixed species comprised of 2, 3 and even 4 co-reacted different components have been observed.

Graphical Abstract

1. Introduction

Nowadays, there is an increasing demand for natural-based products in industrial applications, due to environmental issues and the depletion of non-renewable raw materials. Renewable resources can constitute an attractive alternative to conventional petrochemical resources [1,2,3]. Thus, recent work on resins derived from natural products has led to the development of rigid foams based on polyflavonoid tannins–furfuryl alcohol copolymerization, giving foams of excellent performance and characteristics [4,5,6,7,8,9,10,11,12,13,14,15,16].
The technology developed for such tannin-based foams is based on self-blowing due to the very mild exothermic reaction of self-condensation of furfuryl alcohol under acid conditions, causing the rapid evaporation of an organic volatile solvent during hardening. The process takes place at ambient temperature, although foams at mild temperatures of induction have also been developed [12,13,14].
Recently, increasing interest has been shown for these tannin-derived materials by foam manufacturing polyurethane companies because of their fire resistance and environmental-friendliness [6,7,8,11,12]. However, the tannin-furanic foams described cannot be manufactured in their usual continuous lines, simply because the plants available are exclusively designed for polyurethane rather than phenolic foam production. Thus, the limitations imposed by the industrial polyurethane plant configurations have led to the adaptation of primitive tannin-furanic foam formulations and to the development of new kinds of tannin–furanic–polyurethane foams.
Recently, some elastic foams obtained by partial co-reaction of a tannin as an additive to a mixture of components used for polyurethane foams has been described [15]. In this previous work, the tannin was only used as an additive, but the finding of its co-reaction opened the way for the formulation of mixed copolymerized tannin–furanic–polyurethane foams in which the tannin and the furanic material are reacted, such as phenolic foam, while simultaneously reacting with an isocyanate. The incentive for the present work was the availability of a sizable polyurethane continuous production line in Switzerland to develop such a type of mixed foam, thus conserving the continuous production advantage and flow of polyurethanes, while maintaining the exceptional thermal, acoustic and fire resistance of tannin–furanic foams and still presenting the great majority of biosourced material in the final product. The present paper describes this development, the type of reaction products obtained and the obtained foam’s characteristics.

2. Experimental Section

2.1. Industrial Plant Limitations

The industrial equipment used for the foam manufacturing presents 3 main lines (designed for polyol, catalyst and isocyanate). Some additives can be pumped in accessories lines.
The limitations imposed by the industrial plant configuration were as follows:
  • Resin (i.e., tannin, furfuryl alcohol and most additives) = 80% by weight;
  • Polymeric isocyanate = minimum 10% of total formulation;
  • Catalyst = minimum 1/3 of the amount of isocyanate used.
The industrial installation is not prepared for operations with volatile compounds. Thus, no blowing agent, such as pentane, diethyl ether, etc., can be used.
All of the formulations shown in Table 1 satisfy these requirements.
Moreover, another essential request, in practical terms, is the availability of pre-products, i.e., resins, sufficiently stable in the long term to allow usual industrial operations (transport and/or manufacturing, injection, storage, etc., of all components of the system).
Table 1. Tannin/furanic/isocyanate foam formulation scans for application in plant trials at a temperature of 24 ± 2 °C.
Table 1. Tannin/furanic/isocyanate foam formulation scans for application in plant trials at a temperature of 24 ± 2 °C.
ComponentsReactivesR1R80BR80ER80GR80S
Component 1 (Resin)Tannin (g)3030303030
Furfuryl alcohol (g)2524242424
Water (g)6.25.46.26.2
Tegostab B 8406 (g) a2224
Ethylene glycol (g)4.52.23.12.22.2
ComponentsXiameter OFX 193 Fluid b2.3
Component 2Isocyanate (g) c3024222424
Component 3Catalyst CRC 605 (g) d7.57.06.77.07.0
AdditiveGlyoxal (g)1.03.03.01.53.0
Induction time (s)30140125100150
Curing time (s)4065605090
Density (g/cm3)0.0400.0600.0550.0500.070
Thermal conductivity (W/mK)0.0360.0440.0420.0400.046
a Silicone surfactant, Evonik Industries (Laterbourg, France); b Silicone surfactant, Dow Corning (Paris, France); c Voranate M220, Dow Chemical (Horgen, Switzerland); d Phenol sulfonic acid 65%, Capital Resin Corporation (Columbus, OH, USA).

2.2. Foams Preparation

The formulations were prepared according to the list of materials in Table 1 at room temperature in an open mold.
The materials used were mildly-sulfided quebracho (Schinopsis lorentzii and Schinopsis balansae) wood tannin extract (Fintan T) and furfuryl alcohol produced and supplied by Indunor-Silva Chimica (San Michele Mondovi, Italy).
A preliminary foam sample, R1 (Table 1), was prepared in the laboratory by adding tannin extract powder under continuous mechanical stirring to a mixture composed of furfuryl alcohol, ethylene glycol and a silicone polyether copolymer (PEG-12 dimethicone) as the surfactant (Xiameter OFX-193 Fluid, Dow Corning, Paris, France). At the end, glyoxal is added. Once the mix is homogeneous, when it is necessary to foam it, first the isocyanate (Voranate M220, Dow Chemical, Horgen, Switzerland) followed by the hardening catalyst, here a 65% concentrated water solution of phenolsulfonic acid (CRC 605, Capital Resins Corporation, Columbus, OH, USA), are added.
This first sample was analyzed in order to elucidate the oligomeric structure of the obtained product (see below). The R1 composition complies with the requirements of the industrial configuration described, but the resin is not stable enough to operate in the plant.
Thus, optimized samples (R80B, R80E, R80G and R80S) were prepared by adding tannin to a mixture composed of furfuryl alcohol, ethylene glycol and water. Water is necessarily incorporated into the compositions for the purpose of obtaining more liquid and stable resins. Ethylene glycol helps in the solubilization of tannin and also acts as a plasticizer. After this, another, different silicone surfactant, Tegostab B 8406 (Evonik Industries, Laterbourg, France), was added. The surfactant was changed for this latter one, because it was determined that this last one allows an optimal emulsion when water is used, thus yielding more stable resins. The components were mechanically stirred until a homogeneous blend was obtained. The resins so prepared were left at room temperature during 24 h to ensure complete tannin solubilization. Finally, the foaming process was carried out by simultaneously stirring the resins with glyoxal, the catalyst (CRC605) and the isocyanate for 10 s. The simultaneous mixing was done to simulate the injection of components in a continuous production line.
No post-curing has been done. Foams were stored for 1 week at room temperature before analysis. Thermal conductivity was measured by the transient plane source method (Hot Disk Transient Plane Source TPS 2500) at room temperature, and the mechanical resistance to compression was obtained with an Instron 4206 universal testing machine (Norwood, MA, USA) at a load rate of 2.0 mm min−1. Cellular morphology observations were performed with a scanning electron microscope (SEM, Hitachi 4800, Tokyo, Japan) for the R80B foam (Table 1) and also for another specimen prepared by using the same resin and the same amount of glyoxal and catalyst, but with 3 g of pentane instead of the isocyanate (P80 foam). Expansion and curing for this last foam were carried out at 35 °C.

2.3. Matrix Assisted Laser Desorption Ionization Time of Flight (MALDI-TOF) Mass Spectrometry

The samples were dissolved in acetone for analysis (Merck, supplied by VWR, Fontenay-sous-Bois, France) (4 mg/mL, 50/50 volume), and the solutions were mixed with the matrix solution (10 mg/mL in acetone). The matrix, which facilitates the deposition of the sample in the instrument, was 2,5-dihydroxy benzoic acid (LaserBio Labs, Sophia Antipolis, France). Calibration was done with red phosphorous (LaserBio Labs). For the enhancement of ion formation, a concentrated solution of sodium chloride (NaCl) (Carlo Erba Reactifs (SDS) (Val de Ruil, France)) was added to the matrix (10 mg/mL in distilled water). The sample and the matrix solutions were mixed as 3 parts of the matrix solution, 3 parts of the sample solution and 1 part NaCl solution, and 0.5 to 1 µL of the resulting mix was placed on the Matrix Assisted Laser Desorption Ionization (MALDI) target. The dry droplet sample preparation method was used [17]. After evaporation of the solvent, the MALDI target was introduced into the spectrometer. Each peak value in the resulting positive mode spectrum must be subtracted of 23 Da, this being the molecular weight of the Na+ included as NaCl in the matrix and attached to the oligomers, to obtain the molecular weight of the chemical species of the peak.

2.4. 13C Cross Polarisation-Magic Angle Spinning Nuclear Magnetic Resonance (CP-MAS NMR) Spectra

The hardened foams were ground finely for nuclear magnetic resonance (NMR) analysis. The hardened foam powder was analyzed by solid state Cross Polarisation-Magic Angle Spinning (CP-MAS) 13C NMR (Brüker, Billerica, MA, USA). Spectra were obtained on a Bruker AVANCE II 400 MHz spectrometer at a frequency of 100.6 MHz and at sample spin of 12 kHz, using a recycling delay of 1 s, depending on the 1H spin lattice relaxation times (t1) estimated with the inversion-recovery pulse sequence, and a contact time of 1 ms. The number of transients was about 15,000, and the decoupling field was 78 kHz. Chemical shifts were determined relative to tetramethyl silane (TMS), used as the control. The spectra were accurate to 1 ppm. The spectra were run with suppression of spinning side bands.

3. Results and Discussion

The configuration of the industrial polyurethane foam plant line used for trials has imposed the limitation of having to include isocyanate in the formulation. This has led to the need of having to reformulate the tannin-furanic foams, to start a pure phenolic-type foam, into a hybrid system in which polymeric 4,4'-diphenylmethane diisocyanate had to be injected. This presented some challenges to adapt the formulation. In Table 1, only the final series of formulations used are reported, from formulation R1, which was the one further analyzed for oligomeric structural elucidation to the R80 series of formulations that were characterized and used for the plant trial.
The formulations shown in Table 1 led to simultaneous foaming of the tannin, furanic and polyurethane networks. Thus, all of the foams obtained presented a homogeneous aspect and were less friable than the simples tannin-furanic foams prepared in the past [7,8,9,11]. This effect is due to the appropriate balance between the different components of the resins and the selection of a suitable surfactant. The exotherm of foaming is lower when water is included in the resins, and consequently, the induction times are longer (Series 80 compositions). The resultant foams present less structural imperfections, mainly at higher room temperature (results not reported), because the expansion process occurs under more controlled conditions. The times presented in Table 1, mainly the induction times, are indicative and can change depending on the length and type of mixing operation (stirring, injection), temperature, etc. These times can be regulated for a given condition by proportionally changing the amount of catalyst and isocyanate. For instance, for 64.4 g of the R80B resin (Table 1), when the temperature is around 28 °C, the catalyst and isocyanate amount must be fixed in 6.6 g and 22.6 g, respectively, in order to reach a controlled expansion of the foam.
As explained, the R80 series of resins are more stable than the R1 resin: this last formulation presents spontaneous polymerization and becomes a paste after a few hours, while for the R80 series resins (stored at room temperature), stability has been verified to be longer than five months. In particular, the viscosity of the resin used for the R80B foam containing the surfactant (Tegostab B8406) was 6000 Pa·s at 25 °C. After 24 h, the viscosity decreased to 5600 Pa·s at 25 °C. Such a decrease in viscosity during the first few hours is due to the completion of dissolving the tannin in the mixture. By 10 days after resin preparation, the viscosity has increased to 6600 Pa·s at 25 °C. The same resin, but without the surfactant, shows a viscosity at 25 °C of 5380 Pa·s, which decreases to 4900 Pa·s after 24 h and increases to 5020 Pa·s after 10 days of ageing.
The R80 series of formulations were used for industrial trials. The resin was prepared in the same way as that for the laboratory experiments, and after 72 h of continuous foaming, trials were carried out.
The analysis of the composition of the R80 series formulations (Table 1) indicates that decreasing the relative proportion of glyoxal from R80B causes a decrease of the foam density (R80G). Thus, Basso et al. [11] have observed the same effect when formaldehyde is eliminated from purely tannin–furanic foam formulations. Increasing the relative proportion of surfactant extends reaction times and causes a decrease of the temperature during foaming [14], giving more controlled, but slower foaming and rising foam density (R80S). Partially replacing water by ethylene glycol (R88) induced earlier foaming, because this solvent is less effective as a heat sink. The increase in foaming rate is lower than for R1, because for this last one, no water is included in the formulation, with just the water contained originally in the reagents (catalyst and glyoxal) being present.
The light grey foams so produced were tested, yielding a thermal conductivity from 0.036 to 0.046 W/mK for apparent densities in the 0.04–0.07 g/cm3 range (Table 1). Mechanical strength at 20% deformation for R80B samples is about 0.19 MPa with a Young’s modulus of 3.5 MPa. The mechanical characteristics of the R80B foam at 0.06 g/cm3 are better than those of the pine tannin-furanic foams having the same density [18]. They are comparable to those measured for quebracho tannin–furanic foams, presenting the same density, but also containing formaldehyde and a flammable solvent [19], this latter needing special handling. Moreover, these latter foams, contrary to the R80B, do not satisfy the conditions needed for their manufacturing on an industrial line built for polyurethane foam manufacturing.
The outstanding fire retarding capability of foams based on tannin and furfuryl alcohol has already been demonstrated [20] and is fully maintained in all of these new tannin–furanic–polyurethane foams. While the excellent fire resistance of the tannin–furanic–polyurethane foams represents a definite advantage over polyurethane foams, at equal density, the mechanical resistance of these latter is greater than that of these new materials. Thus, the improvement of the mechanical performance of the tannin–furanic–polyurethane foams remains a main objective for future research.
The cellular morphology of the P80 and R80B foams is shown in Figure 1 and Figure 2, respectively. The P80 foam shows broken and disordered cells, while for the new R80B foam, the cells are bigger, better preserved and evenly organized. This difference can be explained by considering that the exotherm of reaction is greater for the foams containing the isocyanate (>100 °C) [13]. Thus, hardening is more favored for such foams, and thus, the structure resists the foam expansion better. Furthermore, the coexistence of the two networks, namely the phenolic-furanic one and the polyurethane one, leads to a stronger structure. For the R80 foam without isocyanate, the exotherm and foaming temperature are lower, and as a consequence, the hardening is great; this notwithstanding the application of external heat (35 °C) to facilitate it. Thus, for this foam, evaporation of the blowing agent (pentane) affects markedly its cellular structure.
Figure 1. Scanning electron microscope (SEM) picture of P80 tannin–furanic foam.
Figure 1. Scanning electron microscope (SEM) picture of P80 tannin–furanic foam.
Polymers 06 02985 g001
Figure 2. SEM picture of R80B tannin–furanic–polyurethane foam.
Figure 2. SEM picture of R80B tannin–furanic–polyurethane foam.
Polymers 06 02985 g002
Of greater interest was to determine if co-reaction occurred between the three main components of the formulation, namely flavonoid tannin, furfuryl alcohol and polymeric isocyanate. Thus, the resulting foam was analyzed by matrix-assisted laser desorption ionization time of flight (MALDI-TOF) mass spectrometry and by solid-state CP-MAS 13C NMR. Since its introduction by Karas and Hillenkamp [17], MALDI-TOF has been used to good effect and has been shown to be a remarkably accurate analytical system to determine the oligomers’ distribution of polyflavonoid tannins [21] and derived condensation products [5,8,9]. The results of the MALDI-TOF analysis are shown in Figure 3, Figure 4, Figure 5 and Figure 6 and the interpretation in Table 2.
In condensed tannins, generally the flavonoid units involved in the formation of the oligomers are of three types, respectively A (fisetinidin), B (robinetinidin and catechin) and C (gallocatechin) of respective masses of 274.3 Da, 290.3 Da and 306.3 Da. Two structures correspond to the mass of B, which both coexist (Scheme 1).
Scheme 1. Structure of the four basic flavonoids composing a condensed tannin.
Scheme 1. Structure of the four basic flavonoids composing a condensed tannin.
Polymers 06 02985 g008
The combinations of these masses (A = 274, B = 290, C = 306) can be used to calculate the masses of the oligomer peaks in the spectra according to the expression M + Na+ = 23.0 (Na) + 2.0 (end groups, 2X H) + 272.3A + 288.3B + 304.3C, when NaCl enhancer has been used [21].
First of all, a few, but not many, unreacted flavonoid oligomers belonging to the tannin itself are noticed in Table 2 and Figure 3 and Figure 4. These are the monomers at the peaks of 303 and 326 Da, and the pure flavonoid tetramers at 1225 and 1241 Da. These are few, the mix of oligomers formed rather being composed of a number of different co-reaction products.
Second, the oligomers resulting from the exothermic self-condensation of furfuryl alcohol from which the foaming of the tannin–furanic system is derived, and their subsequent reaction with the flavonoid aromatic nuclei are clearly present. Some of these have been observed before [7,8,9]. These, where only tannin and furfuryl alcohol have reacted, are represented by the species peaks at 378, 393, 408, 472, 537, 552, 568 and 633 Da. However, at a higher molecular weight, when flavonoid and furfuryl alcohol are condensed together, they are also reacted with other reagents to yield more complex oligomers.
Table 2. MALDI-ToF interpretation of species in the preparation of the co-reaction of tannin-polyurethane. Legend: Flavo, flavonoid, with unit molecular weight in parenthesis; Fur, furan cycle; I, isocyanate with unit molecular weight in parenthesis; U, urethane bridge; PhSulph, phenolsulfonic acid; Gly, glyoxal, –CH(OH)–CH(OH)–; ethylene glycol, –CH2CH2– and –CH2CH2–OH.
Table 2. MALDI-ToF interpretation of species in the preparation of the co-reaction of tannin-polyurethane. Legend: Flavo, flavonoid, with unit molecular weight in parenthesis; Fur, furan cycle; I, isocyanate with unit molecular weight in parenthesis; U, urethane bridge; PhSulph, phenolsulfonic acid; Gly, glyoxal, –CH(OH)–CH(OH)–; ethylene glycol, –CH2CH2– and –CH2CH2–OH.
Peak (Da)Species
303gallocatechin without Na+
326gallocatechin + Na+
334I(250)–U–CH2CH2–OH
359/360 (big)Flavo(274)–CH(OH)–C+H(OH)
370I(250)–U–CH2–Fur
374Flavo(274)–CH(OH)–CH(OH)–OH
378(376)Flavo(274)–CH2–Fur
392–394Flavo(289)–CH2–Fur
394HO–CH2CH2–U–I(250)–U–CH2CH2–OH
405(404)I(382) + 23
408(410)Flavo(304)–CH2–Fur
436(431 + protonation)PhSulph–Gly–PhSulph (= PhSulph–CH(OH)–CH(OH)–PhSulph)
440HO–CH2CH2–U–I(250)–[–U–CH2CH2–OH]2
465I(250)–(U–CH2–Fur)2 or Fur–CH2–U–I(250)–U–CH2–Fur
466I(382)–U–CH2CH2–OH
472 (small)Flavo(289)–CH2–Fur–CH2–Fur
480/482Flavo(289)–CH2–Fur–CH(OH)–CH(OH)–OH
500/501I(382)–U–CH2–Fur
507(510)PhSulph–CH(OH)–CH(OH)–PhSulph–CH(OH)–CH–(OH)2
510+CH2CH2–U–I(382)–U–CH2CH2–OH
525/526HO–CH2CH2–U–I(382)–U–CH2CH2–OH and/or Flavo(274)–[–CH2–Fur]2–CH2–Fur
537 (big)Flavo(289)–[–CH2–Fur]2–CH2–Fur
552Flavo(304)–[–CH2–Fur]2–CH2–Fur
568/570+CH2CH2–U–I(382)–[–U–CH2CH2–OH]2
586HO–CH2CH2–U–I(382)–[–U–CH2CH2–OH]2
622(621–622)Flavo(274)–Gly–U–I(250)
633Flavo(289)–[–CH2–Fur]3–CH2–Fur and +CH2CH2–U–I(382)–[–U–CH2CH2–OH]3
639(642)Flavo(289)–Gly–U–I(250)
656(655)Flavo(304)–Gly–U–I(250)
657(661)Flavo(289)–Gly–Flavo(289)
670PhSulph–CH(OH)–CH(OH)–PhSulph–CH(OH)–CH(OH)–PhSulph
687HO–CH2CH2–U–I(250)–U–CH2CH2–U–I(250)–U–CH2CH2+
693/694I(382)–U–Flavo(274)
702(701) (big)Fur–CH2–Flavo(274)–Gly–U–I(250)
708(705 protonated)HO–CH2CH2–U–I(250)–U–CH2CH2–U–I(250)–U–CH2CH2–OH
709I(382)–U–Flavo(289)
712(714)Flavo(274)–Gly–Flavo(274)–CH2–Fur
716(720)HO–CH2CH2–U–I(250)–U–CH(OH)CH(OH)–U–I(250)–U–CH2CH2+
718(718)Fur–CH2–Flavo(289)–Gly–U–I(250)
733HOCH2CH2–U–I(250)–U–CH(OH)CH(OH)–U–I(250)–U–CH2CH2OH
734(732)Fur–CH2–Flavo(304)–Gly–U–I(250)
742(744)Flavo(289)–Gly–Flavo(289)–CH2–Fur
745PhSulph–Gly–PhSulph–Gly–PhSulph–CH(OH)–CH–(OH)2
754(756)Flavo(274)–CH(OH)–CH(OH)–U–I(382)
757(759/760)Flavo(304)–Gly–Flavo(289)–CH2–Fur
786(788)Flavo(304)–CH(OH)–CH(OH)–U–I(382)
834(833)Fur–CH2–Flavo(274)–Gly–U–I(382)
857(289)Flavo–U–I(250)–U–Flavo(289)
868(872)(289)Flavo–U–I(250)–U–Flavo(304)
907(904)PhSulph–Gly–PhSulph–Gly–PhSulph–Gly–PhSulph and I(382)–U–CH2–Fur–Gly–Fur–CH2–U–I(250)
966(968)Fur–CH2–Flavo(274)–Gly–U–I(382)
976(978)Fur–CH2–Flavo(274)–Flavo(274)–Gly–U–I(250)
981(979)(289)Flavo–U–I(382)–U–Flavo(289) and/or PhSulph–Gly–[–PhSulph–Gly–]3–CH(OH)–CH–(OH)2
995 (small)(289)Flavo–U–I(382)–U–Flavo(304)
1015HO–CH2CH2–U–I(250)–U–[–CH2CH2–U–I(250)–U–]2–CH2CH2–OH
1024Fur–CH2–Flavo(289)–Flavo(304)–Gly–U–I(250)
1056Fur–CH2–Flavo(274)–Flavo(274)–Gly–U–I(250)–U–CH2–Fur
1129(304)Flavo–U-I(250)–U–Flavo(304)–U–I(250)
1145PhSulph–Gly–[–PhSulph–Gly–]3–PhSulph
1155Fur–CH2–Flavo(289)–Flavo(304)–Gly–U–I(382)
1209(1207)HO–CH2CH2–U–I(382)–U–[CH(OH)CH(OH)–U–I(250)–U]2–CH2CH2–OH
1218(1214)PhSulph–Gly–[–PhSulph–Gly–]4–PhSulph
1225(1227)Flavo(289)–Flavo(304)–Flavo(304)–Flavo(305)
1241(1244)Flavo(305)–Flavo(304)–Flavo(304)–Flavo(305)
1360(1361)(274)Flavo–U–I(250)–U–Flavo(274)–U–I(250)–U–Flavo(289)
1361(1360)HOCH2CH2UI(250)U[CH2CH2U–I(250)U]2–[CH(OH)CH(OH)–U–I(250)–U]CH2CH2+
1375(1373)HOCH2CH2UI(250)U[CH2CH2U–I(250)U]2–[CH(OH)CH(OH)–U–I(250)–U]CH2CH2OH
1376(1376)(274)Flavo–U–I(250)–U–Flavo(289)–U–I(250)–U–Flavo(289)
1403HO–CH2CH2–U–I(250)–U–[CH(OH)CH(OH)–U–I(250)–U]3–CH2CH2+
1405Flavo(274)–Gly–(274)Flavo–U–I(250)–U–Flavo(274)–U–I(250) and (304)Flavo–U–I(250)–U–Flavo(304)–U–I(250)–U–Flavo(274) and (289)Flavo–U–I(250)–U–Flavo(304)–U–I(250)–U–Flavo
1417(1419)HO–CH2CH2–U–I(250)–U–[CH(OH)CH(OH)–U–I(250)–U]3–CH2CH2–OH
1465(1464)(304)Flavo–U–I(250)–U–Flavo(304)–Gly–U–I(250)–U–Flavo(274)
1420(274)Flavo–U–I(250)–U–Flavo(274)–Gly–U–I(250)–U–Flavo(289)
1450(289)Flavo–U–I(250)–U–Flavo(289)–Gly–U–I(250)–U–Flavo(289)
1466(1464/1466)(289)Flavo–U–I(250)–U–Flavo(289)–U–I(250)–U–Flavo(289)–CH(OH)CH(OH)2
1537HO–CH2CH2–U–I(382)–U–[CH(OH)CH(OH)–U–I(250)–U]3–CH2CH2+
1551HO–CH2CH2–U–I(382)–U–[CH(OH)CH(OH)–U–I(250)–U]3–CH2CH2–OH
1595(1597)(274)Flavo–U–I(250)–U–Flavo(274)–U–I(250)–U–Flavo(274)–U–I(250)
1597(274)Flavo–Gly–U–I(382)–U–Flavo(274)–U–I(250)–Gly–U–Flavo(274) and (274)Flavo–Gly–U–I(382)–U–Flavo(274)–U–I(250)U–CH2CH2–U–Flavo(274)
1673HOCH2CH2U–I(382)U[CH(OH)CH(OH)UI(382)U]–[CH(OH)CH(OH)UI(250)U]2–CH2CH2+
1671(1674)(289)Flavo–U–I(250)–U–Gly–Flavo(274)–U–I(250)–U–Flavo(274)–U–I(250)
1670(1674)(274)Flavo–U–I(382)–U–Flavo(274)–Gly–U–I(382)–U–Flavo(274)
1685HOCH2CH2U–I(382)U[CH(OH)CH(OH)UI(382)U]–[CH(OH)CH(OH)UI(250)U]2–CH2CH2OH and (274)Flavo–U–I(382)–U–Flavo(274)–U–I(382)–U–Flavo(274)–CH(OH)CH(OH)2
1727(HOCH2CH2U)2–I(382)U[CH(OH)CH(OH)UI(382)U]–[CH(OH)CH(OH)UI(250)U]2–CH2CH2OH and (274)Flavo–U–I(382)–U–Flavo(274)–U–I(250)–U–Flavo(274)–U–I(250)
1760HO–CH2CH2–U–I(250)–U–[CH(OH)CH(OH)-–U–I(250)–U]4–CH2CH2–OH
1772(HOCH2CH2U)2–I(382)U[CH(OH)CH(OH)UI(382)U]–[CH(OH)CH(OH)UI(250)U]2–CH2CH2OH
1816(304)Flavo–U–I(382)–U–Flavo(304)–U–I(250)–U–Flavo(304)–U–I(250)
1847(274)Flavo–U–I(382)–U–Gly–Flavo(274)–U–I(250)–U–Gly–Flavo(274)–U–I(250)
1862(274)Flavo–U–I(382)–U–Gly–Flavo(274)–U–I(250)–U–Flavo(274)–U–I(250)U–Gly–OH
1893HO–CH2CH2–U–I(382)–U–[CH(OH)CH(OH)–U–I(250)–U]4–CH2CH2–OH
1939(274)Flavo–U–I(250)–U–Flavo(274)–U–I(382)–U–Flavo(274)–U–I(382)
1949(304)Flavo–U–I(382)–U–Flavo(304)–U–I(382)–U–Flavo(304)–U–I(250)
1991(1993)(274)Flavo–U–I(382)–U–Flavo(274)–U–I(382)–U–Flavo(274)–U–I(382)
2025HO–CH2CH2UI(382)U–[CH(OH)CH(OH)U–I(382)–U]–[CH(OH)CH(OH)U–I(250)–U]3–CH2CH2–OH
Gly and glycol are the same at gly = 60 and 76 and glycol as 28 and 60 Da –O–CH2CH2–O–, all of this depends on where the O is considered in the urethane. They are interchangeable.
Figure 3. The 300–500 Da range of the MALDI-TOF spectrum of tannin–furanic–polyisocyanate hardened foam.
Figure 3. The 300–500 Da range of the MALDI-TOF spectrum of tannin–furanic–polyisocyanate hardened foam.
Polymers 06 02985 g003
Figure 4. The 500–700 Da range of the MALDI-TOF spectrum of tannin–furanic–polyisocyanate hardened foam.
Figure 4. The 500–700 Da range of the MALDI-TOF spectrum of tannin–furanic–polyisocyanate hardened foam.
Polymers 06 02985 g004
Figure 5. The 700–1200 Da range of the MALDI-TOF spectrum of tannin–furanic–polyisocyanate hardened foam.
Figure 5. The 700–1200 Da range of the MALDI-TOF spectrum of tannin–furanic–polyisocyanate hardened foam.
Polymers 06 02985 g005
Figure 6. The 1200–2000 Da of the range MALDI-TOF spectrum of tannin–furanic–polyisocyanate hardened foam.
Figure 6. The 1200–2000 Da of the range MALDI-TOF spectrum of tannin–furanic–polyisocyanate hardened foam.
Polymers 06 02985 g006
Several mixed copolymerization patterns can be noticed: flavonoids condensed through the reaction exclusively with the glyoxal, such as the peaks at 359–360 Da and at 374 Da. These materials participate then to the formation of urethanes by reaction with the isocyanate to form the peaks at 622, 639, 656, 754, 834, 966, 976, 1024, 1056 (with Fur (furan cycle), different origin perhaps), 1155, 1405 (possibly), 1420, 1450, 1465, 1597, 1670/1671 and 1685 Da (possibly). It must be pointed out that while in this series, flavonoid monomers and oligomers are reacted with glyoxal and with isocyanate, different cases appear to occur, such as (i) the isocyanate having formed the urethane with the glyoxal linked to the flavonoid, as well as (ii) the glyoxal having linked two flavonoid oligomers and the isocyanate having reacted with the flavonoid itself to form the urethane bridge or bridges. All that appears from this series is that oligomers obtained by co-reaction of flavonoids, glyoxal and isocyanate have been formed in considerable number and variety. Thus, for example, the oligomer at Peak 622 (Table 2) has a structure as follows (Scheme 2).
Scheme 2. Urethane linkage between a glyoxalated flavonoid and a diisocyanate dimer.
Scheme 2. Urethane linkage between a glyoxalated flavonoid and a diisocyanate dimer.
Polymers 06 02985 g009
Present are also urethanes formed by the reaction of the isocyanate exclusively with glyoxal. This latter one gives rise to the series of peaks at 334, 394, 440, 466, 526, 570, 586, 633 (possibly), 687, 708, 716, 733, 1015, 1209, 1361, 1365, 1403, 1417, 1537, 1551, 1673, 1685, 1727, 1760, 1772, 1893 and 2025 Da. Given the relatively low proportion of glyoxal present, these peaks appear to be rather noticeable, possibly because other higher molecular weight species once reacted have a molecular weight too high for MALDI analysis.
The reaction products of furfuryl alcohol with isocyanate are represented by the peaks at 370, 465 and 500/501 Da. Mixed species in which glyoxal has formed a bridge between two furfuryl alcohol molecules, each of which has then reacted with isocyanate groups to form urethane bridges attached to the furan nuclei, are also present, such as the species at 904/907 Da. However, this is the only species of this type that appears to have been formed.
Thus, for example, the oligomer at 370–371 Da has a structure as follows (Scheme 3).
Scheme 3. Urethane linkage between diisocyanate dimer and furfuryl alcohol.
Scheme 3. Urethane linkage between diisocyanate dimer and furfuryl alcohol.
Polymers 06 02985 g010
Other peaks in which the furfuryl alcohol has reacted with a flavonoid oligomer, either pure or already reacted with glyoxal to a higher MW, that has then reacted with the isocyanate are also present and are quite numerous. These, however, are not due to the direct reaction of furfuryl alcohol with the isocyanate. This appears to indicate that furfuryl alcohol favors more the formation of flavonoid-furan methylene (–CH2–) bridges rather than reacting with isocyanate groups to form urethane bridges. Thus, for example, the structure of the oligomers corresponding to the 537 Da peaks in Table 2 is shown in Scheme 4.
Scheme 4. Link between furfuryl alcohol oligomer and a flavonoid.
Scheme 4. Link between furfuryl alcohol oligomer and a flavonoid.
Polymers 06 02985 g011
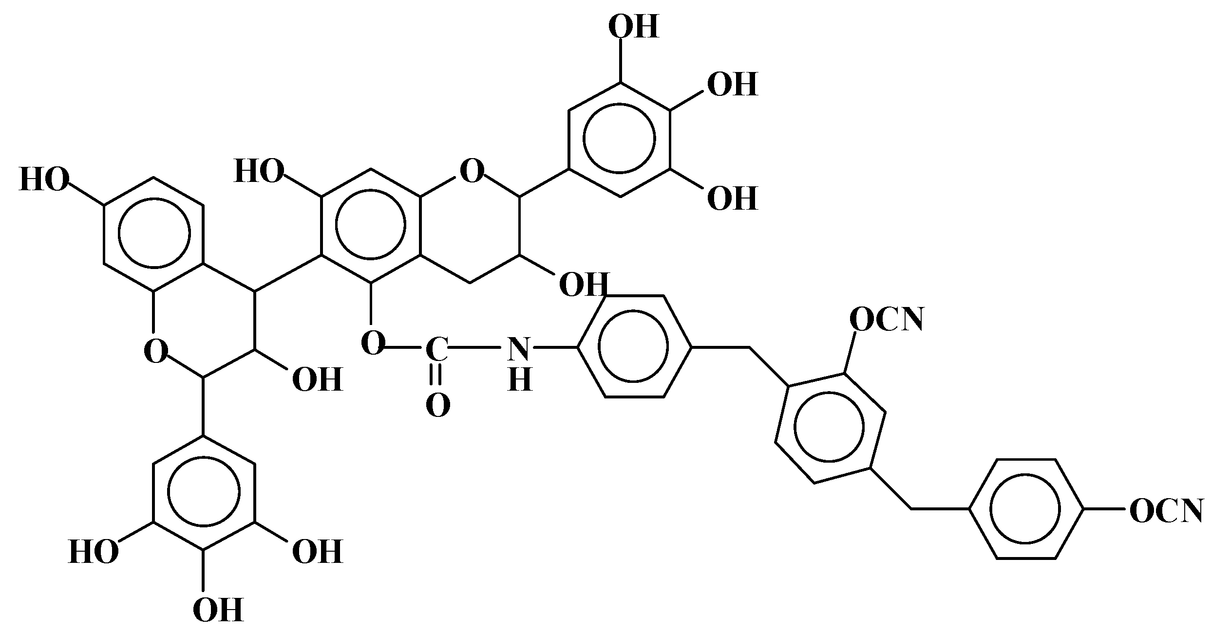
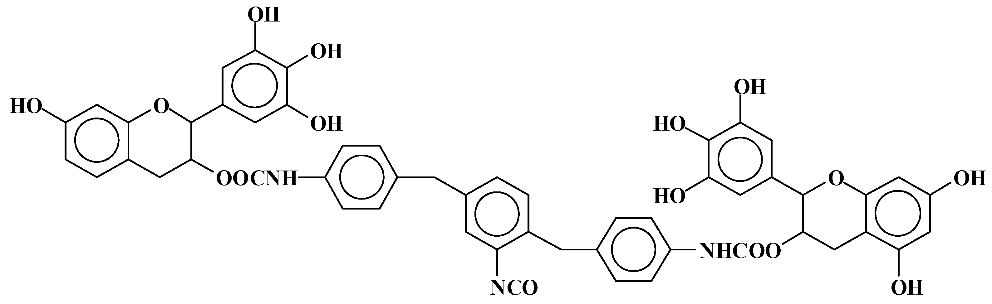
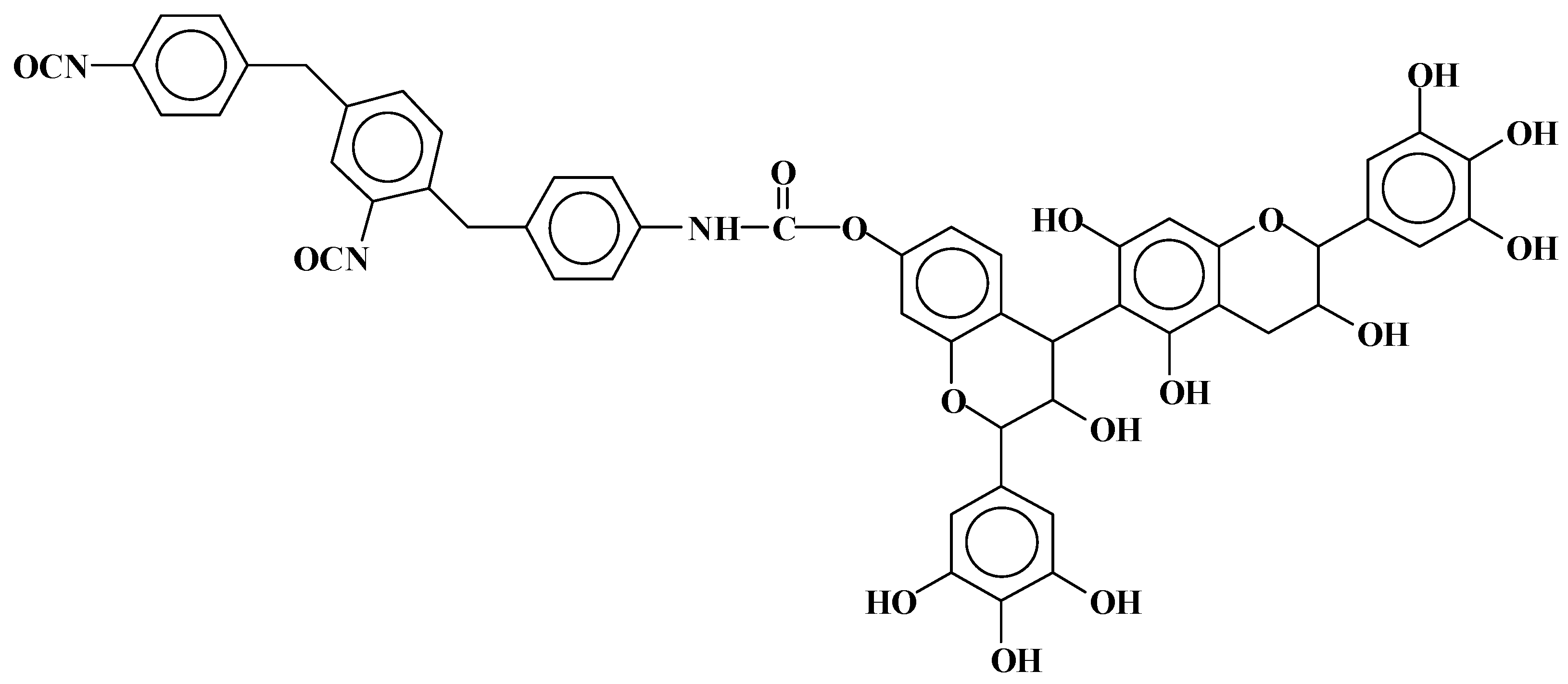
Equally present are species in which the flavonoids of the tannin have reacted with the isocyanate to form one or several urethane bridges; among these are the species at 693/694, 708, 857, 868, 981, 995, 1129, 1360, 1376, 1405, 1595, 1727, 1816, 1939, 1949 and 1991 Da, Some are oligomers of flavonoids linked by urethane bridges to the skeleton of the isocyanate. To give an example, the species indicated in Table 2 at 995 Da as (289)Flavo–U–I(382)–U–Flavo(304) can equally have the structure as shown in Scheme 5, Scheme 6, Scheme 7 and Scheme 8.
Scheme 5. One of the possible structures of the diurethane between two flavonoid monomers and an isocyanate trimer.
Scheme 5. One of the possible structures of the diurethane between two flavonoid monomers and an isocyanate trimer.
Polymers 06 02985 g012
Or the structure (Scheme 6):
Scheme 6. One of the possible structures of the urethane between a flavonoid dimer and an isocyanate trimer.
Scheme 6. One of the possible structures of the urethane between a flavonoid dimer and an isocyanate trimer.
Polymers 06 02985 g013
Or the structure (Scheme 7):
Scheme 7. One of the possible structures of the urethane between a flavonoid dimer and an isocyanate trimer
Scheme 7. One of the possible structures of the urethane between a flavonoid dimer and an isocyanate trimer
Polymers 06 02985 g014
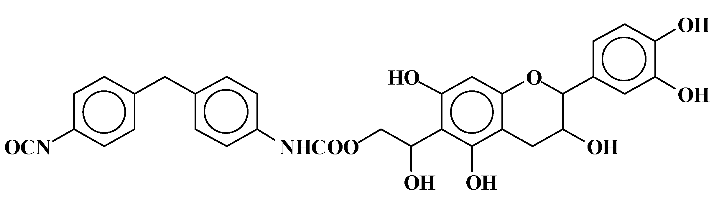
Structures of the same type as the one above, but where the flavonoid –OH in C3 is the one having reacted to form the urethane, are actually possible. An example is the following structure in Scheme 8.
Scheme 8. One of the possible structures of the diurethane between two flavonoid monomers and an isocyanate trimer.
Scheme 8. One of the possible structures of the diurethane between two flavonoid monomers and an isocyanate trimer.
Polymers 06 02985 g015
The CP-MAS 13C NMR examination discussed below indicated that C3-reacted structures of this last type predominate, but that also urethanes formed by the reaction of the isocyanate on phenolic hydroxyl groups were formed.
Given the relative abundance of the phenol sulfonic acid catalyst, there are also several oligomers formed by the reaction of its aromatic nuclei with glyoxal at 436, 507, 670, 745, 907, 981 (possibly), 1145 and 1218 Da. However, phenolsulfonic acid does not seem to have reacted with any other reagents other than glyoxal. What is interesting, however, is that it too has formed species of higher molecular weight, this eliminating the possibility of any acid residual mobility in, or leachability from, the foam structure.
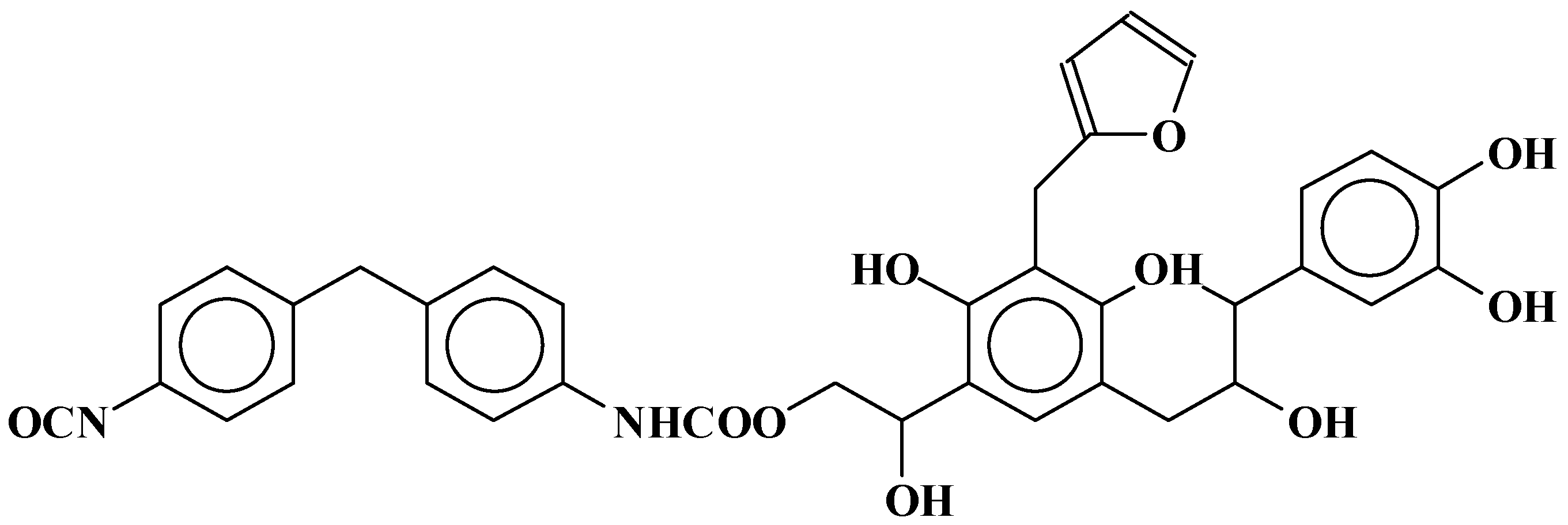
Mixed flavonoid/glyoxal/furanic/isocyanate oligomers in which all of main components participate are also very present, such as the oligomer peaks at 702, 718, 742, 757, 834, 966, 976, 1024, 1056, 1155 and 1405 Da. An example is the structure of the simpler oligomer of this series at 702 Da (Table 2, Scheme 9).
Scheme 9. Urethane linkage between a diisocyanate dimer and a gloxalated and furfurylated flavonois. Note the urethane linkage is with the glyoxal moiety.
Scheme 9. Urethane linkage between a diisocyanate dimer and a gloxalated and furfurylated flavonois. Note the urethane linkage is with the glyoxal moiety.
Polymers 06 02985 g016
One type of oligomer appears to be missing: formaldehyde formed by the splitting of FurCH2OCH2Fur species does not seem to have formed. The formation of FurCH2O CH2Fur species and their rearrangement to FurCH2Fur with splitting off of formaldehyde is known in fast reactions under acid setting conditions, but none is observed in this case.
CP-MAS 13C NMR gives also very useful information on the composition of the resulting foam [22]. The spectrum of formulation 922 is shown in Figure 7. The peak centered at 152.8 ppm shows three distinct peaks. Theoretically, a urethane bridge C=O with an aromatic ring should appear at 152 ppm; one with the –CH2OH group of the furfuryl alcohol should appear at 155 ppm; and finally, one with the alcohol –OH group on the C3 of the heterocyclic ring of the flavonoid should appear at 153 ppm, the nearest to 152.8. Thus, the three peaks indicate the presence of urethanes having formed with all of these groups, in not dissimilar proportions. These peaks are superimposed on the C2 and C5 (Scheme 10) of the unreacted flavonoid, hence the width of the complex f peaks centered at 152.8 ppm.
Scheme 10. Numbering of flavonoid sites.
Scheme 10. Numbering of flavonoid sites.
Polymers 06 02985 g017
The 136.4-ppm peak is that of just aromatic carbons. At 129–130 ppm, there is the superposition of several signals explaining the intensity of this peak; thus, the signal of O(C=O)–NH– is superimposed on the 127 ppm of unreacted –N=C=O groups, and the 129.7 ppm signal of the (Ar)C in meta position to the –N=C=O group, while the 117 ppm one pertains to the (Ar)C in ortho position to the –N=C=O group.
Figure 7. CP-MAS 13C NMR spectrum of tannin–furanic–polyisocyanate hardened foam.
Figure 7. CP-MAS 13C NMR spectrum of tannin–furanic–polyisocyanate hardened foam.
Polymers 06 02985 g007
The confirmation of the urethane bridges comes first from the huge peak at 70.3 ppm Effectively, the –CH2– is involved in the urethane bridge between the polymeric 4,4'-dimethyl methane diisocyanate (PMDI) and a –CH2OH group that could be either that of the furfuryl alcohol that should appear at 66.1 ppm or with the –CHOH of glyoxal, which is also likely. Effectively, a small peak at 66 ppm does appear, between two bigger peaks. The C2 next to the flavonoid heterocycle C3 involved in the urethane bridge should appear at 69.3 ppm. As the spectrum has a precision of ±1 ppm, this is the urethane most likely represented by the 70.3-ppm peak. This is supported by the clear and marked shoulder at 74.6 ppm, as the C3 of the flavonoid involved in a urethane bridge should occur at 75.1 ppm. These peaks confirm the presence of three types of urethane bridges.
The 63-ppm peak is that of the –CH2– of the CH2OH group of unreacted furfuryl alcohol. The 39.8-ppm one is the –CH2– inner bridge of the polymeric 4,4'-dimethyl methane diisocyanate (PMDI) superimposed on the unreacted C4 signal of the flavonoid. The shoulder at 27 ppm is the C site on the furan ring ortho to the–CH2– involved in the urethane bridge, and the 23-ppm one is the –CH2– linking two furan rings obtained by the polycondensation of two furfuryl alcohol molecules.
The conclusion that can be derived is that at least three types of urethane bridges occur. The most abundant is the one formed with the alcohol –OH on the C3 of the flavonoid heterocycle. The second is the one involving either the furfuryl alcohol alone or the glyoxal either alone or pre-linked to a flavonoid aromatic ring. Due to the low level of water present in the 922 formulation urethane linkages on the aromatic rings of the flavonoids, thus formed on the phenolic –OHs, also appear to occur, but the evidence for these is less circumstantial.

4. Conclusions

Tannin-furanic-polyurethane foams adapted for industrial continuous line application have been developed and applied, opening up new real possibilities for their large-scale manufacture.
The analysis by MALDI-TOF and 13C NMR of these new materials has confirmed that mixed foams of the phenolic-polyurethane type are possible when using tannin-furfuryl alcohol natural materials co-reacted with polymeric isocyanate. A variety of different copolymerization oligomers have formed. All of the materials appeared to have co-reacted in a manner to form urethane and methylene bridges between all of the main components used, thus the tannin, the furfuryl alcohol, the isocyanate, the glyoxal and even the phenol sulfonic acid hardener. Several mixed species comprising 2, 3 and even 4 co-reacted components, have been observed. Urethanes have appeared to have been formed with two flavonoid sites, mainly at the flavonoid hydroxyl group at C3, but also, although less, on the phenolic hydroxyl groups of the flavonoid oligomers. Urethanes are also formed with: (i) the glyoxal, be it pre-reacted or not with the tannin; (ii) with phenolsulfonic acid; and (iii) with furfural. This latter one, however, greatly favors reaction with the A-ring of the flavonoids rather than reaction with the isocyanate groups.

Acknowledgments

The LERMAB is supported by a grant overseen by the French National Research Agency (ANR) as part of the “Investissements d'Avenir” program (ANR-11-LABX-0002-01, Lab of Excellence Advanced Research on the Biology of TRee and Forest Ecosystems (ARBRE). The Department of Physics of King Abdulaziz University, Jeddah, Saudi Arabia supported in part this research. Indunor and Silva Chimica supported in part the research work and in particular its industrial application.

Author Contributions

The formulation of the foams was performed by Maria Cecilia Basso, the MALDI-TOF and NMR analysis interpretation and structures were determinated by Antonio Pizzi, Fahad M. Al-Marzouki and Soliman Abdalla. The MALDI-ToF analysis was carried out by Clement Lacoste, the NMR analysis by Luc Delmotte, the SEM images by Alain Celzard.

Conflicts of Interest

The authors declare no conflict of interest.

References

  1. Kaplan, D.L. Biopolymers From Renewable Resources; Springer: Berlin, Germany, 1998; pp. 1–417. [Google Scholar]
  2. Gardziella, A.; Pilato, L.; Knop, A. Phenolic Resins: Chemistry, Applications, Standardization, Safety and Ecology, 2nd ed.; Springer: Berlin, Germany, 2000; pp. 527–529. [Google Scholar]
  3. Raqueza, J.M.; Deleglise, M.; Lacrampea, M.F.; Krawczak, P. Thermosetting (bio) materials derived from renewable resources: A critical review. Prog. Polym. Sci. 2010, 35, 487–509. [Google Scholar] [CrossRef]
  4. Meikleham, N.; Pizzi, A. Acid and alkali-setting tannin-based rigid foams. J. Appl. Polym. Sci. 1994, 53, 1547–1556. [Google Scholar] [CrossRef]
  5. Pizzi, A.; Tondi, G.; Pasch, H.; Celzard, A. MALDI-TOF Structure determination of complex thermoset networks: Polyflavonoid tannin–furanic rigid foams. J. Appl. Polym. Sci. 2008, 110, 1451–1456. [Google Scholar] [CrossRef]
  6. Tondi, G.; Pizzi, A. Tannin based rigid foams: Characterisation and modification. Ind. Crops Prod. 2009, 29, 356–363. [Google Scholar] [CrossRef]
  7. Tondi, G.; Pizzi, A.; Olives, R. Natural tannin-based rigid foams as insulation in wood construction. Maderas Cienc. Tecnol. 2008, 10, 219–227. [Google Scholar] [CrossRef]
  8. Tondi, G.; Pizzi, A.; Pasch, H.; Celzard, A. Structure degradation, conservation and rearrangement in the carbonization of polyflavonoid tannin/furanic rigid foams—A MALDI-TOF investigation. Polym. Degrad. Stab. 2008, 93, 968–975. [Google Scholar] [CrossRef]
  9. Tondi, G.; Pizzi, A.; Pasch, H.; Celzard, A.; Rode, K. MALDI-TOF investigation of furanic polymer foams before and after carbonization: Aromatic rearrangement and surviving furanic structure. Eur. Polym. J. 2008, 44, 2938–2943. [Google Scholar] [CrossRef]
  10. Li, X.; Pizzi, A.; Cangemi, M.; Fierro, V.; Celzard, A. Flexible natural tannin-based and protein-based biosourced foams. Ind. Crops Prod. 2012, 37, 389–393. [Google Scholar] [CrossRef]
  11. Basso, M.C.; Li, X.; Fierro, V.; Pizzi, A.; Giovando, S.; Celzard, A. Green, formaldehyde-free, foams for termal insulation. Adv. Mater. Lett. 2011, 2, 378–382. [Google Scholar] [CrossRef]
  12. Basso, M.C.; Giovando, S.; Pizzi, A.; Celzard, A.; Fierro, V. Tannin/furanic foams without blowing agents and formaldehyde. Ind. Crops Prod. 2013, 49, 17–22. [Google Scholar] [CrossRef]
  13. Basso, M.C.; Pizzi, A.; Celzard, A. Influence of formulation on the dynamics of preparation of tannin based foams. Ind. Crops Prod. 2013, 51, 396–400. [Google Scholar]
  14. Basso, M.C.; Pizzi, A.; Celzard, A. Dynamic monitoring of tannin foams preparation: Surfactant effects. BioResources 2013, 8, 5807–5816. [Google Scholar] [CrossRef]
  15. Basso, M.C.; Giovando, S.; Pizzi, A.; Pasch, H.; Pretorius, N.; Delmotte, L.; Celzard, A. Flexible-elastic copolymerized polyurethane–tannin foams. J. Appl. Polym. Sci. 2014, 131. [Google Scholar] [CrossRef]
  16. Basso, M.C.; Giovando, S.; Pizzi, A.; Lagel, M.C.; Celzard, A. Alkaline tannin rigid foams. J. Renew. Mater. 2014, 2, 182–185. [Google Scholar] [CrossRef]
  17. Karas, M.; Hillenkamp, F. Laser desorption ionization of proteins with molecular masses exceeding 10,000 Daltons. Anal. Chem. 1988, 60, 2299–2301. [Google Scholar] [CrossRef] [PubMed]
  18. Lacoste, C.; Basso, M.C.; Pizzi, A.; Laborie, M.-P.; Celzard, A.; Fierro, V. Pine tannin-based rigid foams: Mechanical and thermal properties. Ind. Crops Prod. 2013, 43, 245–250. [Google Scholar] [CrossRef]
  19. Martinez de Yuso, A.; Lagel, M.-C.; Pizzi, A.; Fierro, V.; Celzard, A. Structure and properties of rigid foams derived from quebracho tannin. Mater. Des. 2014, 63, 208–212. [Google Scholar] [CrossRef]
  20. Celzard, A.; Fierro, V.; Amaral-Labat, G.; Pizzi, A.; Torero, J. Flammability assessment of tannin-based cellular materials. Polym. Degrad. Stab. 2011, 96, 477–482. [Google Scholar] [CrossRef]
  21. Pasch, H.; Pizzi, A.; Rode, K. MALDI-TOF mass spectrometry of polyflavonoid tannins. Polymer 2001, 42, 7531–7539. [Google Scholar] [CrossRef]
  22. Pizzi, A. Advanced Wood Adhesives Technology; CRC Press: Boca Raton, FL, USA, 1994; pp. 100–105. [Google Scholar]

Share and Cite

MDPI and ACS Style

Basso, M.C.; Pizzi, A.; Lacoste, C.; Delmotte, L.; Al-Marzouki, F.M.; Abdalla, S.; Celzard, A. MALDI-TOF and 13C NMR Analysis of Tannin–Furanic–Polyurethane Foams Adapted for Industrial Continuous Lines Application. Polymers 2014, 6, 2985-3004. https://doi.org/10.3390/polym6122985

AMA Style

Basso MC, Pizzi A, Lacoste C, Delmotte L, Al-Marzouki FM, Abdalla S, Celzard A. MALDI-TOF and 13C NMR Analysis of Tannin–Furanic–Polyurethane Foams Adapted for Industrial Continuous Lines Application. Polymers. 2014; 6(12):2985-3004. https://doi.org/10.3390/polym6122985

Chicago/Turabian Style

Basso, Maria Cecilia, Antonio Pizzi, Clement Lacoste, Luc Delmotte, Fahad M. Al-Marzouki, Soliman Abdalla, and Alain Celzard. 2014. "MALDI-TOF and 13C NMR Analysis of Tannin–Furanic–Polyurethane Foams Adapted for Industrial Continuous Lines Application" Polymers 6, no. 12: 2985-3004. https://doi.org/10.3390/polym6122985

APA Style

Basso, M. C., Pizzi, A., Lacoste, C., Delmotte, L., Al-Marzouki, F. M., Abdalla, S., & Celzard, A. (2014). MALDI-TOF and 13C NMR Analysis of Tannin–Furanic–Polyurethane Foams Adapted for Industrial Continuous Lines Application. Polymers, 6(12), 2985-3004. https://doi.org/10.3390/polym6122985

Article Metrics

Back to TopTop