Next Article in Journal
Ring-Opening Polymerization—An Introductory Review
Next Article in Special Issue
Exergetical Evaluation of Biobased Synthesis Pathways
Previous Article in Journal
Energetic and Entropic Contributions to the Landau–de Gennes Potential for Gay–Berne Models of Liquid Crystals
Previous Article in Special Issue
Biodegradable Poly(butylene succinate) Composites Reinforced by Cotton Fiber with Silane Coupling Agent
 
 
Font Type:
Arial Georgia Verdana
Font Size:
Aa Aa Aa
Line Spacing:
Column Width:
Background:
Article

Esterification of Condensed Tannins and Their Impact on the Properties of Poly(Lactic Acid)

Biopolymer Network Ltd and Manufacturing & Bioproduct Development, Scion, Rotorua, 3046, New Zealand
*
Author to whom correspondence should be addressed.
Polymers 2013, 5(2), 344-360; https://doi.org/10.3390/polym5020344
Submission received: 25 February 2013 / Revised: 6 March 2013 / Accepted: 11 April 2013 / Published: 19 April 2013
(This article belongs to the Special Issue Polymers from Biomass)

Abstract

:
Reported is a study evaluating the potential of esterified tannins as plastic additives in poly(lactic acid) (PLA). Tannin esterification using anhydrides was investigated as a route to synthesize tannin esters possessing varying ester chain length and degree of substitution (DS). Esterification decreased the tannin UV absorbance, predominately in the UVB region. However, tannin materials with longer ester chain lengths exhibited melt behaviors suitable for processing in plastics. On compounding into PLA, tannin hexanoate esters lowered the PLA glass transition by 5–6 °C. Shorter chain length tannin esters had a reduced effect on PLA polymer properties. The PLA flexural properties were significantly altered with stiffness decreases of up to 15% depending on ester chain length and loading. Artificial weathering of modified the PLA samples suggests the presence of tannin esters may confer a protection role to PLA on extended exposure. Overall, results suggest scope for the use of tannin esters possessing longer ester chain length as plastic additives.

1. Introduction

Application and market growth of renewable polymers has been driven by sustainability as much as the emergence and scale of technology to produce these materials. Poly(lactic acid) (PLA) is one bioplastic which has gained market share due to recent increases in production capacity [1]. In the lucrative plastic additives market, sustainable options remain less developed, particularly those additives being both renewable and biodegradable [2]. Plastic additives contribute a range of functionality and processability to plastics including plasticization, nucleation, flame retardancy, heat stability and impact modification [3]. Research evaluating bio-derived plastic additives has included fermentation products [4] and modified vegetable oils [5] to those based on polyphenols such as lignin [6,7]. In contrast, use of polyphenolic tannins remains relatively unexplored with few examples of these compounds blended with plastics [8,9,10]. Condensed tannins are polyphenolic oligomers based on a flavanyl repeat unit (Figure 1) and are ubiquitous in leaves, bark and wood of trees and plants. In plants these compounds offer a range of protective roles, inhibiting pathogens, oxidation and UV degradation [11]. Potentially, these tannin attributes could also be imparted to plastics, and in the case of bioplastics, potentially enhancing performance as well as sustainability credentials.
Figure 1. Reaction scheme showing the procyanidin structure repeat unit common in condensed tannins [12] and various routes to tannin ester formation including (i) acid anhydride with acetic anhydride [18]; (ii) acyl chloride with stearoyl chloride [19]; and (iii) transesterification with vinyl laurate [20].
Figure 1. Reaction scheme showing the procyanidin structure repeat unit common in condensed tannins [12] and various routes to tannin ester formation including (i) acid anhydride with acetic anhydride [18]; (ii) acyl chloride with stearoyl chloride [19]; and (iii) transesterification with vinyl laurate [20].
Polymers 05 00344 g001
Condensed tannins are commonly available in industrial quantity due to their historical use in leather tanning and adhesives [12]. While there is potential as plastic additives (antioxidant, light and thermal stability), tannins are inherently hydrophilic, being unsuited to many industrial applications. This necessitates chemical modification, for which tannin etherification and esterification have long been known [12]. In the latter case, this is usually limited to acetylation, but longer chain esters have been used in specific applications [13,14,15,16] as have di-acids for crosslinking [17]. Tannin esterification can be achieved by several routes including conventional approaches such as acyl chlorides and anhydrides to those involving transesterification (Figure 1) using a range of bases as catalysts. Within the literature, there is still opportunity to learn how tannin esterification can be applied, controlled and optimized to target certain properties and direct their application.
In the current paper, various tannin esters have been synthesized and compounded into PLA to evaluate their potential as plastic additives. Anhydride esterification has been used to prepare these tannin esters. This anhydride esterification route is contrasted with other esterification methods comparing ease of preparation with ester chain length, yield and degree of polyphenolic substitution. The impact of tannin ester chemistry on the physical, UV absorption and molecular mobility properties of tannin moieties is investigated. Changes to PLA plastic properties compounded with tannin and esterified tannin additives are compared with ester chain length and after exposure to artificial weathering of the plastic.

2. Experimental Section

2.1. Materials

Tannin was extracted from the bark of Pinus radiata using hot water (90 °C) which was subsequently spray dried and further dried under vacuum before use. Acetic, propanoic, butyric and hexanoic anhydrides and 1-methylimidazole were all general purpose grade reagents (>98%) and used as received. Poly(lactic acid) (3001D injection molding grade) was obtained from Natureworks (USA).

2.2. General Method for the Preparation of Tannin Esters

Tannin (5 g–10 g) was dispersed in 2-pentanone (20 mL) and acid anhydride (acetic, propionic, butyric or hexanoic anhydride) added at varying ratios with or without 1-methylimidazole as catalyst (Table 1). The reaction mixture was heated to 70 °C for 4 h with stirring, allowed to cool and poured into cold water (300 mL). In the case of acetylation, the product was collected by filtration and washed (water) until the pH was ≥ 4. For longer chain esters, the aqueous phase was decanted from the quenched reaction mixture, ethanol added and the mixture gently heated (60 °C, 30 min). The product was isolated by either precipitation into water (propionate and butyrate) or extraction into chloroform (hexanoate).
To prepare tannin hexanoate acetate, tannin (10 g) and hexanoic anhydride (14.5 mL) were combined in acetone (50 mL) and 1-methylimidazole (1 g) added. The reaction was heated in an oil bath at 60 °C for 4 h. Acetic anhydride (12.5 mL) was then added and the reaction continued for a further 2 h. After this time, the acetone solvent was distilled from solution. The reaction contents were then cooled with an iced water bath and 100 mL 10% sodium hydroxide solution poured in the flask with rapid stirring. The product was allowed to settle and then filtered. The product was washed with water (2 × 50 mL) before drying under vacuum.
Table 1. Ratios and isolated yields for tannin esterification reactions using acid anhydrides and 1-methylimidiazole as catalyst. The degree of substitution present in tannin ester products is calculated using NMR integration.
Table 1. Ratios and isolated yields for tannin esterification reactions using acid anhydrides and 1-methylimidiazole as catalyst. The degree of substitution present in tannin ester products is calculated using NMR integration.
ProductAcid anhydride ratioCatalyst level (%)Yield (%)≠Degree of substitution
Tannin acetate1:110 1.2
1:210 2.5
1:310 3.9
1:410 4.7
Excess0884.2
Excess11345.3
Excess31315.3
Excess101275.3
Tannin propionateExcess037-
Excess1136-
Tannin butyrateExcess031-
Excess10152-
Tannin hexanoate1:2101042.0
Excess00
Excess10147-
Tannin hexanoate acetate§101765.3
§ two equivalents of hexanoic anhydride, followed by excess acetic anhydride; ≠ isolated yield based on weight % increase on tannin used.

2.3. Compounding and Injection Molding

Tannin or tannin esters were combined with PLA to form a master batch using an OMC EBVP 19/30 high-speed twin-screw extruder. The temperature of the extruder head was 170 °C and the heating zones across the extruder barrel ranged between 170 °C and 185 °C [supplementary material]. Each extruded plastic blend was pelletized creating either 5 or 10% tannin ester PLA master batches.
Injection molding of plastic test specimens was undertaken using a BOY 15S injection molder. Nozzle and heating zones ranged between 195–205 °C and 170–190 °C, respectively and operated with a mould temperature of 32 °C, injection time of 6 sec and cooling time of 22 sec [supplementary material]. Using each master batch, PLA blends were prepared containing 0%, 0.5%, 1.0%, 5.0% and, for selected samples, 10% w/w tannin ester. At least 10 tensile test specimens and 20 flexural bars were prepared for each combination.

2.4. Flexural and Tensile Testing

Flexural and tensile testing was undertaken on an Instron 5566 universal testing machine. Prior to testing, samples were conditioned at 23 °C and 50% relative humidity for at least 7 days. Flexural testing was undertaken according to ASTM D790-00 with 10 specimens (123 × 13 × 3 mm) evaluated per sample. Tensile testing was performed to ASTM D638-01 using type I test specimens with a test speed of 5 mm.min −1. Generally 10 specimens were tested per sample.

2.5. Accelerated Weathering

Testing employed an accelerated weathering tester from Q-Panel Lab Products operating with UVA-340 lamps at an irradiance of 0.77 W/m2/nm. Flexural test specimens (123 × 13 × 3 mm) were exposed to a UV light and water regime according to ASTM D4329-99 with the detailed exposure cycle (Table 2). Samples were randomly rotated every 169 h and were exposed for a total of 504 h. Prior to, and at the completion of accelerated weathering, samples were weighed and CIE L*a*b* color measurements taken using a Konica Minolta Chroma CR-400 color meter to evaluate any changes to exposed samples. Flexural testing was also conducted on weathered samples after conditioning at 23 °C and 50% relative humidity.
Table 2. Exposure cycle conditions used for the accelerated weathering of PLA plastic samples.
Table 2. Exposure cycle conditions used for the accelerated weathering of PLA plastic samples.
StepConditionTemperature (°C)Time (h)
Step 1UV458
Step 2Water spray250.5
Step 3Condensation402
Step 4Water spray250.5
Step 5Condensation402

2.6. Characterization

Solid state 13C NMR spectra were obtained on a Bruker Avance DRX 200 instrument with a 7 mm doubly tuned 1H/X MAS probe (Bruker). Samples were packed into a zirconia rotor fitted with a Kel-F cap and spun at 5 kHz. A cross polarisation-magic angle spinning (CP-MAS) pulse program was used with a 1H preparation pulse of 5 µs, 1H decoupling field of 47 kHz, and an acquisition time of 50 ms. Hartmann-Hahn matching was conducted using glycine to allow semi-quantitative analysis. Integration of spectra for degree of ester substitution determination is further described in the supplementary material. Spin locking experiments and variable contact time experiments were run to determine the molecular spin relaxation measurements of selected samples. T1ρH values were calculated from signal intensity and contact times using methodology and protocols published elsewhere [21].
Differential Scanning Calorimetry (DSC) was undertaken on a Thermal Analysis Instruments Q1000 DSC. Samples (4–8 mg) were placed in standard aluminum pans and then initially heated to 120 °C at a heating rate of 10 °C/min. The samples were then cooled (5 °C/min) below 0 °C and heated in a second heat ramp to 200 °C.
Dynamic mechanical thermal analysis (DMTA) used a Rheometrics DMTA V in three point bending mode. Samples (65 × 10 × 3 mm) were acquired from injection molded flexural specimens. Testing was undertaken using a 3 °C/minute heating rate and employed 1 Hz frequency and strain rate of 0.05%.
Ultraviolet (UV) absorbance measurements employed a Cary 300 BIO UV/Vis spectrophotometer. Samples soluble in either water or chloroform were diluted to 0.25% solids whereas the tannin hexanoate and tannin hexanoate acetate samples were dissolved in dimethylformamide solvent at 0.02% concentration. Measurements were made between 200–450 nm in 5 nm increments using the appropriate solvent as a blank.
Confocal laser scanning microscopy (CLSM) was undertaken on a Leica TCS instrument analyzing flexural test specimens. Filters were used to separate the natural fluorescence of the tannin component into green light. Images were obtained using a 20 × 0.5 dry lens. The images were acquired at a size of 512 × 512 pixels and a total field of view of 500 × 500 μm, yielding a resolution of ~1 pixel/μm. Scans in the z-direction were recorded at 5 μm intervals to a depth of ca. 80 μm. Images from the different depths were then combined to produce a 2D projection of a 3D image. Some 10–20 images were acquired using CLSM. Projected 2D images were then subjected to image analysis to determine the size of residual tannin esters domains in the plastic employing a custom written macro using V++ software (Digital Optics V.4.0). The size of tannin ester features were defined by the image analysis program and their area calculated and expressed as frequency distributions of sizes ranging from 40 and >3000 μm2.

3. Results and Discussion

3.1. Esterification by Anhydride Treatment

Peracetylation using acetic anhydrides is a simple and common approach to alter hydrophobicity of polyphenolics [22]. In the current study, tannin was reacted with varying levels of acetic anhydride and 1-methylimidazole catalyst to determine any control of the anhydride reaction (Table 1). Isolation and work up of various tannin acetates revealed products as pale brown powders with yields varying from modest to excellent. The limited solubility of some products necessitated characterization by solid state NMR which was also utilized to determine the average degree of substitution (DS). Generally, it was observed that with a greater acetic anhydride ratio there were corresponding increases in the carbonyl (169 ppm) and methyl (20 ppm) peaks of pendant acetate groups (Figure 2). Upon esterification the tannin C-3’ and C-4’ (145 ppm) and C-5, 7, 9 (160 ppm) signals [23] split and moved upfield (2–5 ppm). This was more pronounced for the A-ring signals (Figure 1). While this may indicate substitution was occurring preferentially at the A-ring phenols (hydroxyl sites), only at high anhydride ratio was there evidence for these phenols being fully esterified. The degree of tannin esterification could be controlled by the level of anhydride addition (Table 1). A maximum DS of 5.3 was achieved with excess acetic anhydride and was indicative of full esterification of all hydroxyls of the pine bark tannin flavanyl unit [24]. Lastly, the degree of acetylation gave no relationship to the resulting tannin acetate solubility. The presence of both free phenol hydroxyls and acetate groups gives a relatively insoluble product compared to either full esterification (organic solvent soluble) or native tannin extract (water soluble). This suggests a minimum DS is required to permit a change in solubility (hydrophilic to hydrophobic) or greater ester chain length for hydrophobicity.
Esterifying tannin with varying catalyst content and differing chain length anhydrides can give variable results (Table 1). With acetylation, the use of only 1% w/w 1-methylimidazole catalyst proved equally effective as use with 10% catalyst. However, with higher chain length anhydrides, a 10% catalyst was required to maximize both DS and yield. With progressively higher chain length esters, isolated yields decrease, being less than anticipated for full esterification. NMR also suggests lower DS values were achieved with increasing anhydride chain length (Figure 3). This was visually evident with the relative intensity of the ester carbonyl and methyl peaks decreasing across products isolated from acetic to hexanoic anhydride treatments. For example, excess anhydride produces a tannin hexanoate only partially esterified with a DS < 3 when compared with acetylation (Figure 2, Figure 3). This result indicates esterification via anhydride treatment may become sterically inhibited at some phenol centers with greater chain length. Practically, it was also found using a longer chain anhydride requires a more involved isolation step to remove the corresponding acid by-product (Figure 1) compared with acetic acid and acetylation. Overall, these results suggest anhydride treatments should be tailored to deliver only two long chain ester groups via anhydride treatment with full esterification achieved by subsequent acetylation. This was demonstrated by preparing tannin hexanoate acetate (Table 1). This mixed ester approach enabled efficiencies in ester product work up, isolated yield with the additional benefits of minimizing reagent use and improved solvent miscibility, as similarly achieved with tannin-fatty acid conjugates [15].
Figure 2. Comparison of solid state 13C NMR CPMAS spectra of various pine bark tannin acetate products formed with differing molar ratio of tannin:acetic anhydride and 1-methylimidazole catalyst (cat).
Figure 2. Comparison of solid state 13C NMR CPMAS spectra of various pine bark tannin acetate products formed with differing molar ratio of tannin:acetic anhydride and 1-methylimidazole catalyst (cat).
Polymers 05 00344 g002
In comparison to anhydride treatment, acyl chlorides are preferable for the synthesis of longer chain length esters (Figure 1), due to the relative unavailability of such anhydrides, atom efficiency and ease of product work up [19,20]. As with anhydrides, control of the tannin:acyl chloride ratio can give defined DS values. Moreover, full esterification of the flavanyl unit phenols was achievable with long alkyl chain length acyl chlorides [19] compared to anhydride use (Table 1). This result, and the relatively high yields, suggests acyl chloride reactions with tannins are not subject to steric hindrance as observed with longer chain anhydride treatments (Table 1). However, if a lower stearic acid chloride ratio is employed, the tannin stearate product tends to be only partially soluble [15,19] as found with acetylation (Table 1, Figure 2). As above, partial esterification and inherent insolubility may be overcome by acetylation of residual phenols, giving the respective mixed ester tannin stearate acetates, which are soluble in organic solvent [15]. Transesterification is an alternative approach to synthesize tannins with high specificity for substitution of the tannin flavanyl B-ring [20]. This method can be performed in several solvents, does not require anhydrous conditions and offers efficiencies in product workup. However, typically, transesterification achieves a DS < 1, being independent of the ester chain length and this, together with long reaction time employed, may not suit industrial application.
Figure 3. Comparison of solid state 13C NMR spectra of isolated products from anhydride treatments with 10% 1-methylimidazole catalyst. (a) tannin acetate; (b) tannin propionate; (c) tannin butyrate and (d) tannin hexanoate.
Figure 3. Comparison of solid state 13C NMR spectra of isolated products from anhydride treatments with 10% 1-methylimidazole catalyst. (a) tannin acetate; (b) tannin propionate; (c) tannin butyrate and (d) tannin hexanoate.
Polymers 05 00344 g003

3.2 Tannin Ester Properties

While tannin esterification may enhance hydrophobicity and miscibility in oils [15], chemical modification may alter fundamental tannin properties including reduced antioxidant activity [20], ultraviolet (UV) light absorption or those associated with tannin macromolecular behavior. For example, evaluation of various tannin esters (Table 1) found a range of UV absorption profiles, with key differences observed in the UVB (285–315 nm) and UVA (315–385 nm) regions (Figure 4). In general, unmodified pine bark tannin has the highest absorption over the UVA and UVB region which decreases upon esterification as evident for tannin acetate (DS = 5.3, TanAc). This decrease in UV absorption upon esterification correlated with the level of substitution. Tannin hexanoate (DS = 2, TanHex) retains good absorption in the UVB range similar to unmodified pine bark tannin, but this absorption diminishes in the UVA region. However, despite differing levels of substitution, the various tannin esters show potential as UVB absorbers.
Figure 4. UV absorbance profiles of various tannin esters. Tannin (in water, pH7, blue), tannin acetate (in chloroform, red), tannin hexanoate (in dimethyl formamide, green) and tannin hexanoate acetate (in DMF, black).
Figure 4. UV absorbance profiles of various tannin esters. Tannin (in water, pH7, blue), tannin acetate (in chloroform, red), tannin hexanoate (in dimethyl formamide, green) and tannin hexanoate acetate (in DMF, black).
Polymers 05 00344 g004
Tannin esterification and ester chain length can alter the relative molecular mobility within the polyphenolic flavanyl unit and tannin oligomers. By employing solid state NMR and comparing native tannin with tannin propionate (TanPr, DS = 5.3), differing molecular motion characteristics were determined about the tannin flavanyl unit (Figure 5). Spin-lattice relaxation (T1ρH) values show the relative molecular motion of some carbons increase on adding propionate ester groups to the flavanyl unit. This increase was most significant at C-2,3, C-5,7,9 and C6’. This suggests the presence of propionate groups has increased the molecular mobility about these carbon centers. This characteristic, together with introduced hydrophobicity, has the potential to influence compatibility and polymer properties when integrated into a plastic.
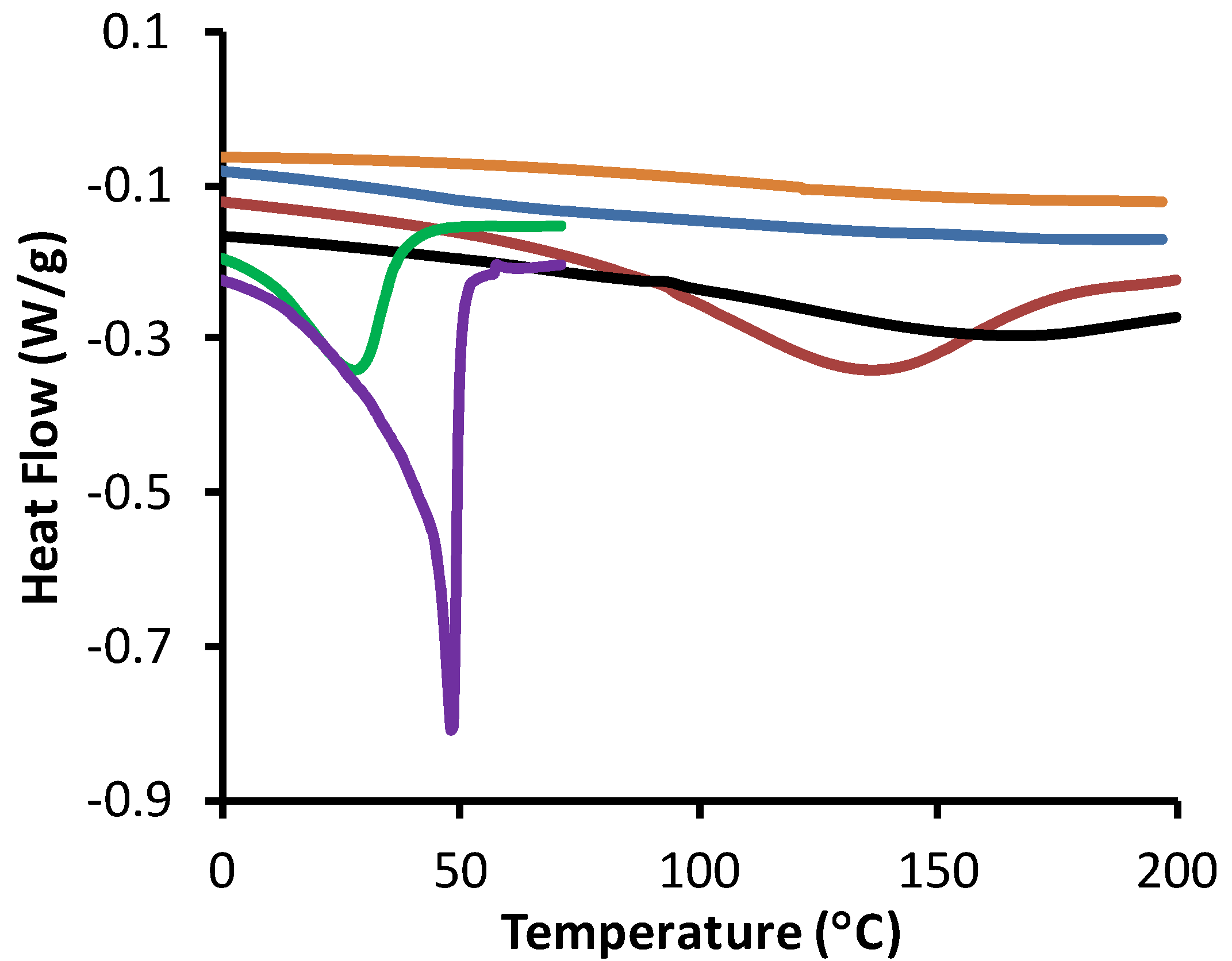
An evaluation of tannin ester properties by differential scanning calorimetry (DSC) was undertaken to assess the potential melt processing and polymer properties of modified tannins. DSC analysis revealed thermal behaviors were dependent on ester chain length (Figure 6). Both tannin and tannin acetate do not have obvious melt features nor physically melt [18]. However, modified tannins bearing longer chain esters show melt features, decreasing both in broadness and temperature with longer chain length. This broadness in the melt feature may be associated with the range of tannin oligomers present in the extract [25] together with extent and randomness of esterification about the tannin flavanyl unit. In the case of ester chain lengths of 4 to 6 carbons, a board melt occurs between 80 °C and 160 °C. Such melt behavior is generally below typical plastic melt processing temperatures [3]. In contrast, tannins bearing ester groups with 12 to 18 carbons melt below 50 °C [19]. These melt behaviors are at physiological temperature and also suited for application in unsaturated resin systems [15]. Overall, DSC analysis revealed tannins bearing ester chain lengths greater than propionate were likely suitable for processing into plastics.
Figure 5. A comparison of the spin relaxation T1ρH values for flavanyl unit carbons of tannin and tannin propionate using NMR spin locking experiments. Polymers 05 00344 i001 Tannin and Polymers 05 00344 i002 tannin propionate.
Figure 5. A comparison of the spin relaxation T1ρH values for flavanyl unit carbons of tannin and tannin propionate using NMR spin locking experiments. Polymers 05 00344 i001 Tannin and Polymers 05 00344 i002 tannin propionate.
Polymers 05 00344 g005
Figure 6. DSC thermograms of various tannin esters. Tannin acetate (orange), tannin propionate (blue), tannin hexanoate (DS = 2, red), tannin hexanoate acetate (black), tannin stearate (DS = 1, green) and tannin stearate (DS = 5, purple) with exo up.
Figure 6. DSC thermograms of various tannin esters. Tannin acetate (orange), tannin propionate (blue), tannin hexanoate (DS = 2, red), tannin hexanoate acetate (black), tannin stearate (DS = 1, green) and tannin stearate (DS = 5, purple) with exo up.
Polymers 05 00344 g006

3.3. Tannin Ester Modified Poly(Lactic Acid)

Based on the relative ease of anhydride treatments and their favorable properties, tannin esters with C2 to C6 chain lengths were compounded into poly(lactic acid) (PLA) at varying levels from 0.5% to 10% (w/w, Table 1). Generally, the presence of these tannin additives color PLA, with this dependent on the ester and concentration in the plastic [supplementary material]. Analysis of the compounded plastic by fluorescence microscopy revealed the relative dispersion of each tannin ester (Figure 7). In the case of TanAc this was retained as relatively distinct domains within the plastic matrix indicative of poor miscibility or phase separation. These domains were present across the TanAc concentration range (0.5%–5%). In contrast, TanHex appeared fully dispersed within the plastic. In progressing from tannin acetate to hexanoate, it was evident the ester chain length determined how the tannin ester dispersed into the plastic. Tannin propionate and butyrate derivatives respectively show progressive dissolution and diminishing particle domains within the PLA compared to tannin acetate.
Figure 7. Confocal microscopy images of plastic containing 5% loadings of tannin esters observing the inherent autofluorescence of tannin particles distributed in the plastic (top). TanAc (left), TanPr, TanBu and TanHex (right, with each image 500 × 500 μm). Representative particle size distributions of tannin esters in PLA. TanAc (bottom, left) and TanBu (bottom, right).
Figure 7. Confocal microscopy images of plastic containing 5% loadings of tannin esters observing the inherent autofluorescence of tannin particles distributed in the plastic (top). TanAc (left), TanPr, TanBu and TanHex (right, with each image 500 × 500 μm). Representative particle size distributions of tannin esters in PLA. TanAc (bottom, left) and TanBu (bottom, right).
Polymers 05 00344 g007
To evaluate any effect the tannin esters have on PLA thermal properties, both DSC and dynamic mechanical analysis (DMTA) were conducted on injection molded samples. Analysis revealed 10% TanHex and TanHexAc contents in PLA reduce the PLA glass transition (Tg) but does not impact the PLA melt (Table 3 and Figure 8). DMTA revealed both tannin esters significantly lowered the Tg onset compared to unmodified PLA (ca. 50 °C). However, shorter chain length esters and lower quantities of tannin ester gave a reduced impact on PLA thermal properties [supplementary material]. The observed reduction in PLA Tg with tannin hexanoate while significant was less than that which can be achieved (≤ 38 °C) when blending PLA with poly(ethylene glycols) (PEGs) or citrates [26,27]. DSC analysis of the modified PLA samples was consistent with DMTA, showing a decrease in Tg of 6–7 °C upon addition of TanHex or TanHexAc and no change in the melt temperature (ca. 168 °C). The onset temperature of crystallization within samples decreased with greater tannin ester content (Figure 9, Supplementary Material).
Table 3. Results of DSC analysis of selected PLA samples modified by tannin, TanHex and TanHexAc (see supplementary material).
Table 3. Results of DSC analysis of selected PLA samples modified by tannin, TanHex and TanHexAc (see supplementary material).
AdditiveCycle 1CoolingHeating Cycle 2
Tg (°C)Crystallization (°C)Tg (°C)Melt (°C)
PLA 58.5155.764.3167.7
1% TanHex58.0155.963.8168.0
5% TanHex56.1145.063.6167.3
10% TanHex54.7139.357.3167.2
1% TanHexAc59.6155.963.7168.3
5% TanHexAc56.1144.959.6167.1
10% TanHexAc53.8139.157.8166.7
1% Tannin58.6-63.5168.2
5% Tannin58.3-64.4168.2
10% Tannin57.6-64.5167.9
Figure 8. DMTA of PLA modified with 10% loadings of tannin hexanoate and tannin hexanoate acetate. PLA (red), TanHex (green) and TanHexAc (blue).
Figure 8. DMTA of PLA modified with 10% loadings of tannin hexanoate and tannin hexanoate acetate. PLA (red), TanHex (green) and TanHexAc (blue).
Polymers 05 00344 g008
A comparison of PLA flexural and tensile properties show the presence of the tannin esters can impact PLA mechanical properties contributing up to 15% decreases in PLA stiffness (Table 4 and supplementary material). On addition of tannin acetate, similar modulus of elasticity (MOE) values as PLA (3894 MPa) were observed with up to 5% TanAc content. With longer ester chain length the MOE values decreased with greater tannin ester contents. For TanPr and TanBu, only 5% loadings achieved a significant decrease in PLA stiffness (<3800 MPa). However, both TanHex and TanHexAc exhibit decreases in MOE values across their entire loading range (0.5% to 10%). At 10% loading, decreases in MOE of up to 15% were achieved with TanHex (3480 MPa) and TanHexAc (~3400 MPa), respectively. Typically more significant decreases in PLA stiffness are observed with plasticizing additives such as PEGs or citrates [27,28]. In the case of adding unmodified tannin, this had a contrasting effect, stiffening PLA with increased MOE values at higher tannin contents (3915 MPa). This result indicates the native tannin likely acts as a filler, as observed with unmodified lignins in PLA [6,7]. The flexural strength decreased upon addition of all tannin esters compared with PLA (133 MPa). This was related to tannin modifier content for C2–C4 chain length esters, but appeared independent of loading for TanHex samples. Tensile testing revealed the presence of tannin modifiers in ≥1% loading decrease PLA tensile modulus values. For 5% TanHex, the tensile modulus was lowered by some 15%. Similarly, PLA tensile strength values were also reduced, with values dependent on tannin modifier loading.
Figure 9. Representative DSC thermograms of PLA and PLA modified with 5% TanHex before and after artificial weathering exposure (exo up). PLA (red), PLA-exposure (green), TanHex (blue) and TanHex-exposure (purple).
Figure 9. Representative DSC thermograms of PLA and PLA modified with 5% TanHex before and after artificial weathering exposure (exo up). PLA (red), PLA-exposure (green), TanHex (blue) and TanHex-exposure (purple).
Polymers 05 00344 g009
Table 4. Flexural testing results of modified PLA samples before and after artificial weathering.
Table 4. Flexural testing results of modified PLA samples before and after artificial weathering.
Sample with tannin ester loadingPrior to artificial weatheringPost artificial weathering
ModulusStrengthModulusStrength
(MPa)StdDev(MPa)StdDev(MPa)StdDev(MPa)StdDev
PLA389433113139031291142
0.5% TanAc3902251111----
1% TanAc38263811113922221101
5% TanAc38686210423929611071
0.5% TanPr3904161051----
1% TanPr38724110713896331120
5% TanPr378721104138351271052
0.5% TanBu3879391082----
1% TanBu38854410823903771112
5% TanBu377034105238551611061
0.5% TanHex3846141051----
1% TanHex374927104037531711062
5% TanHex3605199513532121961
10% TanHex3480198503160263804
1% TanHexAc37712510413785881072
5% TanHexAc365416951361486971
10% TanHexAc----34292236916
1% Tannin380534104138071211091
5% Tannin39152399138951101014
10% Tannin----399674922

3.4. Artificial Weathering

Although PLA is unsuited to exterior application [29], the PLA samples were subjected to accelerated weathering as a means to artificially age the plastic and evaluate any retention of PLA properties due to the presence of tannin esters. This test included both water condensation and UV irradiation (Table 2) with samples expected to exhibit some degradation due to PLA hydrolysis and UV-promoted oxidation [7,29]. Results reveal that after 500 h of artificial weathering, the PLA flexural modulus increased, but this was not statistically significant due to high variability between test specimens (Table 4). This variability marred all test specimens after aging. Flexural modulus values for aged TanAc, TanPr and TanBu modified PLA samples were similar to original values, but this did not differ to PLA at the 95% confidence level. For the TanHex and TanHexAc samples, a 5% loading led to retention of flexural properties after exposure. This result suggests both TanHex and TanHexAc may confer a protection role which may be as a UV absorber within PLA. Evaluation by DSC analysis revealed aged samples lose crystallinity, but retain similar Tg and melt temperatures (Figure 9). Results also show any changes in sample weights after accelerated weathering were negligible.
The results from the colorimetric analysis of tannin ester-modified PLA after accelerated weathering are shown in Table 5. This revealed some variability in color stability with samples typically lightening in color. Unmodified PLA showed the smallest change in ∆E, a likely consequence of this polymer being transparent with little scope for significant color change. Of the modified PLA samples, those modified with TanAc had the highest variability and may be linked to the dispersal of TanAc (Figure 7). TanHex offered the best color stability of the samples which was probably due to the even dispersion of TanHex throughout the PLA matrix (Figure 7).
Table 5. Results of colorimetric analysis after artificial weathering exposure.
Table 5. Results of colorimetric analysis after artificial weathering exposure.
Sample∆L∆a∆b∆E
PLA 0.260.341.431.49
TanAc 1%4.607.512.149.06
TanAc 5%12.431.361.4812.59
TanPr 1%6.750.576.089.10
TanPr 5%9.580.190.319.59
TanBu 1%4.893.754.147.42
TanBu 5%9.320.610.659.36
TanHex 1%5.080.583.566.23
TanHex 5%5.420.893.696.62

4. Conclusions

Esterification of tannin by acid anhydrides is a preferred synthetic route to enhancing tannin hydrophobicity. In this study, tannin esterification by anhydride treatment was dependent on the level of catalyst and anhydride chain length employed. An absence of catalyst gives a reduced degree of substitution, with this more apparent with increasing ester chain length. While preparation of tannin acetate with 1% catalyst achieved maximal substitution, synthesis of higher chain length tannin esters becomes increasingly difficult. This was likely due to increased steric hindrance about the tannin flavanyl unit within oligomer chains. In contrast, esterifying tannins via acyl chlorides is not subject to steric hindrance with longer ester chains. The current study also shows the degree of ester substitution can be controlled by modifying the tannin:anhydride ratio as demonstrated with acetic anhydride. In the case of tannin hexanoate (TanHex), only 2 equivalents of hexanoic anhydride was sufficient to modify tannin properties and increase its miscibility with plastic.
Modifying tannin with increased ester substitution and ester chain led to some changes in fundamental tannin properties, none more so than solubility. Esterification reduced UV absorbance in the UVB region with the extent of this shift dependent on the tannin DS. Tannin esterification also alters the relative molecular mobility within the tannin flavanyl unit as well as polymer properties. NMR spin-lattice relaxation (T1ρH) measurements show increased molecular motion about the flavanyl unit on esterification with relatively short chain propionate groups. More significantly, esterification of tannins can lead to melt behavior. A range of melt behaviors can result with this primarily dependent on ester chain length, but also DS. Typically, a lower temperature melt feature was observed with longer ester chain length. An implication for this work is those tannin esters bearing chain lengths greater than three carbons melt below common plastic processing temperatures. This potential for processing into plastic, coupled with retention of UVB absorption and antioxidant properties and mobility introduced by alkyl ester chains, make tannin esters attractive as plastic additives.
Compounding tannin esters into PLA led to modification of some plastic properties including color. Thermal analysis revealed minor changes to PLA Tg values with the Tg onset lowered some 5–6 °C when modified with C6 ester chains (TanHex and TanHexAc). While there were no appreciable differences in PLA melting, the onset of PLA crystallization was dependent upon the presence and quantity of tannin ester. Evaluation of the PLA mechanical properties show the flexural properties of PLA were significantly altered on the addition of tannin esters. A decrease in flexural modulus with increasing chain length (Ac to Hex) and loading was evident. A 10% TanHexAc loading achieved a 15% reduction in PLA stiffness. In contrast, addition of unmodified tannin acts as a plastic filler, stiffening PLA. Flexural strength values reveal addition of all tannin esters led to reduced flexural strength.
PLA samples were subjected to accelerated weathering to determine any potential protection role offered by the presence of tannin esters. After 500 h of artificial weathering, the PLA flexural modulus increased, but was marred by high variability between test specimens. While flexural modulus values for aged TanAc, TanPr and TanBu modified PLA samples were similar to original values, there was no statistical difference to PLA. With both TanHex and TanHexAc modified samples, the flexural properties were retained upon weathering. This suggests as plastic additives, tannin esters may act to reduce PLA stiffness as well as confer a protection role to PLA. Overall, this study reveals significant scope for the use of longer chain tannin esters as plastic additives, with on-going evaluations in other plastics still to be reported.

Acknowledgements

The authors are grateful for the confocal microscopy assessments contributed by Carmen Schrade, a visiting intern from the Department of Applied Chemistry, Reutlingen University. This work was supported by Biopolymer Network Ltd., through funding by the New Zealand Ministry of Business, Innovation and Employment. JB, CL and JAE are each grateful to studentships provided by Scion through BSc(Tech) placements (University of Waikato).

References

  1. Auras, R.; Harte, B.; Selke, S. An overview of polylactides as packaging materials. Macromol. Biosci. 2004, 4, 835–864. [Google Scholar] [CrossRef]
  2. Vieira, M.G.A.; Silva, M.A.; Santos1, L.O.; Beppu, M.M. Natural-based plasticizers and biopolymer films: A review. Eur. Polym. J. 2011, 47, 254–263. [Google Scholar] [CrossRef]
  3. Zweifel, H. Plastics Additives Handbook; Hanser Gardner Publications: Cincinnati, OH, USA, 2001. [Google Scholar]
  4. Verlinden, R.A.J.; Hill, D.J.; Kenward, M.A.; Williams, C.D.; Radecka, I. Bacterial synthesis of biodegradable polyhydroxyalkanoates. J. Appl. Microbiol. 2007, 102, 1437–1449. [Google Scholar] [CrossRef]
  5. Fenollar, O.; Sanchez-Nacher, L.; Garcia-Sanoguera, D.; López, J.; Balart, R. The effect of the curing time and temperature on final properties of flexible PVC with an epoxidized fatty acid ester as natural-based plasticizer. J. Mater. Sci. 2009, 44, 3702–3711. [Google Scholar] [CrossRef]
  6. Banu, D.; El-Aghoury, A.; Feldman, D. Contributions to characterization of poly(vinyl chloride)–lignin blends. J. Appl. Polym. Sci. 2006, 101, 2732–2748. [Google Scholar] [CrossRef]
  7. Košíková, B.; Sláviková, E. Use of lignin products derived from wood pulping as environmentally desirable additives of polypropylene films. Wood Res. 2010, 55, 87–92. [Google Scholar]
  8. Gaugler, M.; Grigsby, W.; Harper, D.; Rials, T. Chemical imaging of the spatial distribution and interactions of tannin dispersal in bioplastic systems. Adv. Mater. Proc. IV 2007, 29–30, 173–176. [Google Scholar]
  9. Ge, J.; Shi, X.; Cai, M.; Wu, R.; Wang, M. A novel biodegradable antimicrobial PU foam from wattle tannin. J. Appl. Polym. Sci. 2003, 90, 2756–2763. [Google Scholar]
  10. Siddiqui, I.A.; Adhami, V.M.; Ahmad, N.; Mukhtar, H. Nanochemoprevention: Sustained release of bioactive food components for cancer prevention. Nutr. Cancer 2010, 62, 883–890. [Google Scholar] [CrossRef]
  11. Harborne, J.B. The Flavonoids: Advances in Research Since 1986, 1st ed; Chapman & Hall: Great Britain, UK, 1994. [Google Scholar]
  12. Hemingway, R.W.; Karchesy, J.J.; Branham, S.J. The Chemistry and Significance of Condensed Tannins; Plenum Press: New York, NY, USA, 1989. [Google Scholar]
  13. Ajila, C.M.; Brar, S.K.; Verma, M.; Tyagi, R.D.; Godbout, S.; Valéro, J.R. Extraction and analysis of polyphenols: Recent trends. Crit.Rev. Biotechnol. 2011, 31, 227–249. [Google Scholar] [CrossRef]
  14. Cottman, K.S. Polymer compositions containing esters of polyphenolic compounds as built-in antioxidants. U.S. Patent 3,984,372, 25 July 1975. [Google Scholar]
  15. Luo, C.; Grigsby, W.J.; Edmonds, N.R.; Al-Hakkak, J. Vegetable oil thermosets reinforced by tannin-lipid formulations. Acta Biomater. 2013, 9, 5226–5233. [Google Scholar] [CrossRef]
  16. Perrier, E.M.; Boumendjel, A.; Bresson-Rival, D. Flavonoid esters and their use notably in cosmetics. U.S. Patent 6,235,294, 10 July 1998. [Google Scholar]
  17. Barbosa, A.P.; Mano, E.B.; Andrade, C.T. Tannin-based resins modified to reduce wood adhesive brittleness. For. Prod. J. 2000, 50, 89–92. [Google Scholar]
  18. Gaugler, M.; Grigsby, W.J. Thermal degradation of condensed tannins from radiata pine bark. J. Wood Chem. Technol. 2009, 29, 305–321. [Google Scholar] [CrossRef]
  19. Luo, C.; Grigsby, W.; Edmonds, N.; Easteal, A.; Al-Hakkak, J. Synthesis, characterization, and thermal behaviors of tannin stearates prepared from quebracho and pine bark extracts. J. Appl. Polym. Sci. 2010, 117, 352–360. [Google Scholar]
  20. Bridson, J.H.; Grigsby, W.J.; Main, L. Synthesis and characterization of flavonoid laurate esters by transesterification. J. Appl. Polym. Sci. 2013. [Google Scholar] [CrossRef]
  21. Grigsby, W.J.; Hill, S.J.; McIntosh, C.D. NMR estimation of extractables from bark: Analysis method for quantifying tannin extraction from bark. J. Wood Chem. Technol. 2003, 23, 179–195. [Google Scholar] [CrossRef]
  22. George, B.; Suttie, Ed.; Merlin, A.; Deglise, X. Photodegradation and photostabilisation of wood-The state of the art. Polym. Degrad. Stab. 2005, 88, 268–274. [Google Scholar] [CrossRef]
  23. Agrawal, P.K. Carbon-13 NMR of Flavonoids; Elsevier Science Publishers: Amsterdam, The Netherlands, 1989. [Google Scholar]
  24. Pizzi, A.; Stephanou, A. A comparative C13 NMR study of polyflavonoid tannin extracts for phenolic polycondensates. J. Appl. Polym. Sci. 1993, 50, 2105–2113. [Google Scholar] [CrossRef]
  25. Bocalandro, C.; Sanhueza, V.; Gómez-Caravaca, A.M.; González-Álvarez, J.; Fernández, K.; Roeckel, M.; Rodríguez-Estrada, M.T. Comparison of the composition of Pinus radiata bark extracts obtained at bench- and pilot-scales. Ind. Crops Prod. 2012, 38, 21–26. [Google Scholar] [CrossRef]
  26. Lemmouchi, Y.; Murariu, M.; Dos Santos, A.M.; Amass, A.J.; Schacht, E.; Dubois, P. Plasticization of poly(lactide) with blends of tributyl citrate and low molecular weight poly(d,l-lactide)-b-poly(ethylene glycol) copolymers. Eur. Polym. J. 2009, 45, 2839–2848. [Google Scholar] [CrossRef]
  27. Hu, Y.; Rogunova, M.; Topolkaraev, V.; Hiltner, A.; Baer, E. Aging of poly(lactide)/poly(ethylene glycol) blends. Part 1. Poly(lactide) with low stereoregularity. Polymer 2003, 44, 5701–5710. [Google Scholar] [CrossRef]
  28. Baiardo, M.; Frisoni, G.; Scandola, M.; Rimelen, M.; Lips, D.; Ruffieux, K.; Wintermantel, E. Thermal and mechanical properties of plasticized poly(L-lactic acid). J. Appl. Polym. Sci. 2003, 90, 1731–1738. [Google Scholar] [CrossRef]
  29. Zaidi, L.; Kaci, M.; Bruzaud, S.; Bourmaud, A.; Grohens, Y. Effect of natural weather on the structure and properties of polylactide/Cloisite 30B nanocomposites. Polym. Degrad. Stab. 2010, 95, 1751–1758. [Google Scholar] [CrossRef]

Share and Cite

MDPI and ACS Style

Grigsby, W.J.; Bridson, J.H.; Lomas, C.; Elliot, J.-A. Esterification of Condensed Tannins and Their Impact on the Properties of Poly(Lactic Acid). Polymers 2013, 5, 344-360. https://doi.org/10.3390/polym5020344

AMA Style

Grigsby WJ, Bridson JH, Lomas C, Elliot J-A. Esterification of Condensed Tannins and Their Impact on the Properties of Poly(Lactic Acid). Polymers. 2013; 5(2):344-360. https://doi.org/10.3390/polym5020344

Chicago/Turabian Style

Grigsby, Warren J., James H. Bridson, Cole Lomas, and Jaime-Anne Elliot. 2013. "Esterification of Condensed Tannins and Their Impact on the Properties of Poly(Lactic Acid)" Polymers 5, no. 2: 344-360. https://doi.org/10.3390/polym5020344

APA Style

Grigsby, W. J., Bridson, J. H., Lomas, C., & Elliot, J.-A. (2013). Esterification of Condensed Tannins and Their Impact on the Properties of Poly(Lactic Acid). Polymers, 5(2), 344-360. https://doi.org/10.3390/polym5020344

Article Metrics

Back to TopTop