Abstract
A series of homopolymeric and copolymeric hydrogels containing the N-isopropylacrylamide and vinyl monomers with α-amino acid (L-valine and L-phenylalanine) residues have been synthesized and their swelling properties were evaluated under different external stimulations. The hydrogels, obtained with different cross-linking agents (EBA and PEG-DA), have shown unique properties such as biocompatibility in addition to the stimuli-responsive characters. These ‘smart’ hydrogels exhibit single or multiple stimuli-responsiveness which could be used in biomedical applications, including controlled drug delivery. This article focuses on recent developments dealing with the delivery of metal-based drug (cisplatin, lithium) from the stimuli-responsive hydrogels proposed as platforms for cancer and bipolar disorder therapies.
1. Introduction
An important group of water-soluble, non-ionic polymers, which form thermo-reversible gels with expanding-contracting properties over a wide range, is based on N-alkyl acrylamide homopolymers and copolymers with or without acidic/basic ionizable comonomers [1,2,3]. Among these, poly(N-isopropylacrylamide) (pNIPAAm) has received considerable attention since its lower critical solution temperature (LCST) of 32 °C approaches the normal body temperature [3,4,5,6,7,8,9]. The LCST can be increased or decreased by the incorporation of hydrophilic/charged or hydrophobic comonomers, respectively [2,10]. Macromolecular extension and contraction can be magnified by constructing a three-dimensional polymer network in hydrogels and the feasibility of using such systems as switches for drug delivery devices has been the subject of considerable research [11,12,13,14]. Hydrogels can be virtually made from any water-soluble polymer, encompassing a wide range of chemical compositions and bulk physical properties; they can be formulated in a variety of physical forms, including slabs, microparticles, nanoparticles, coatings, and film. As a result, hydrogels are commonly used in clinical practice and experimental medicine for a wide range of applications, including tissue engineering and regenerative medicine [15], diagnostics [16], separation of biomolecules or cells [17], and barrier materials to regulate biological adhesion [18]. Their porous structure can easily be tuned by controlling the cross-link density in the gel matrix and the affinity of the hydrogels for the aqueous environment in which they are swollen. Their porosity improves loading of drugs into the matrix of the gel and the subsequent drug release at a rate dependent on the diffusion coefficient of the small molecule or macromolecule through the network [14].
In the recent years, we reported our research activity concerning the potential applications of some polyelectrolyte hydrogels proposed mainly for metal-based drug therapy [19]. Ruthenium coordination compounds are currently the most promising metal-based chemotherapeutics after platinum compounds, and some of them are being intensively studied in clinical trials to fight metastases and colon cancer [20]. Moreover, some new drugs based on platinum- and copper-oxicam complexes were recently reported for their anti-cancer activity [21,22]. Among the antitumor agents, cisplatin is commonly used in clinical practice for the treatment of a variety of solid tumors even though many severe side toxic effects arise [23]. Recent strategies aimed at overcoming some drawbacks of cisplatin consist in developing platforms for chemotherapy that deliver the drug to the local environment of the tumor for extended periods of time. These platforms are based on polyelectrolyte hydrogels carrying functional groups able to form liable complexes with Pt(II)-species [19,24,25,26]. The cisplatin entrapped or complexed in polymeric devices has a reduced systemic toxicity and an increased activity. Recently, some vinyl hydrogels containing α-amino acid residues were studied as novel polymeric compounds to get tunable delivery rate of the drug [26,27,28,29,30]. The hydrogels were obtained by the corresponding vinyl monomers (Scheme 1) in the form of homopolymeric and/or copolymeric compounds, purposely cross-linked.
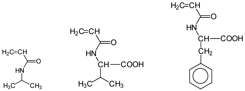
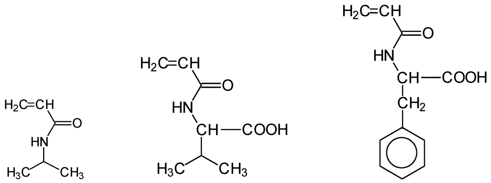
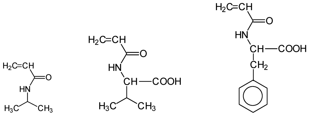
Scheme 14.
Structure of the monomers N-isopropylacrylamide, N-acryloyl-L-valine, N-acryloyl-L-phenylalanine.
Scheme 14.
Structure of the monomers N-isopropylacrylamide, N-acryloyl-L-valine, N-acryloyl-L-phenylalanine.

The cisplatin-coordination properties of a series of vinyl hydrogels based on L-valine residues showed the best performance [26]; the valine moiety contains, besides the carboxyl group, the amido and the isopropyl groups in a structure closer to that of the NIPAAm. This will render the material pH- and temperature-responsive in aqueous solution. The interaction between the Pt(II)-species and the hydrogel allows a chemical-controlled, along with the diffusion-controlled, mechanism. The cisplatin was loaded from the aqueous solution and the release rate, as well as the cytotoxic properties, were studied to find a correlation with the degree of crosslinking. The pharmacological efficacy of the Pt(II)-species released from the hydrogels was compared with the native cisplatin. Moreover, from an interesting point of view in clinical practice, the interaction of cisplatin with temsirolimus was also reported [26]. The temsirolimus is a rapamycin ester, a machrolid antibiotic used as an immunosuppressor drug in the prevention of transplants rejection [31,32]. This immunosuppressor drug is not cytotoxic by itself, but is able to synergistically increase the cytotoxicity of cisplatin.
Furthermore, the release of lithium ion from the hydrogels was experimented in view of its application in the bipolar disorder therapy [33,34].
2. Experimental Section
2.1. Equipments and Materials
Infrared spectra were recorded on a ThermoNicolet 6700 FT-IR spectrometer. Spectrophotometric measurements were carried our with a Specord 210 (Analytikjena) equipped with 10 mm quartz cuvettes. The pH measurements were performed with a TitraLab 90 titration system (Radiometer Analytical) equipped with a temperature probe and a glass electrode; the TimTalk 9 software was used to control the measurements. Conductivity measurements were performed with a CDM83 conductivity meter (Radiometer) equipped with a conductivity cell (CDC304 immersion).
The vinyl monomers N-acryloyl-L-valine (AVa) and N-acryloyl-L-phenylalanine (PHE) were synthesized as reported previously [35,36,37]. The N-isopropylacrylamide was supplied from Polysciences. The cross-linking agents N,N’-ethylene-bisacrylamide (EBA, 98%) and poly(ethylene-glycol)-diacrylate (PEG-DA) of Mn 258 and 575 were supplied by Sigma-Aldrich. The cis-diamminedichloroplatinum(II) was purchased from Alfa Aesar GmbH. All the other reagents and solvents, from Fluka and Sigma-Aldrich, were used without further purification.
2.2. Synthesis
All the investigated hydrogels were synthesized by the free radical polymerization of vinyl monomers following a previously reported procedure [27,28,29,30]. The monomers were dissolved in water or in a cisplatin solution (5.5 mM), then a measured quantity of EBA (or PEG-DA, Mn 258 and 575) and TEA were added. In some preparation a desired amount of nanoparticles (commercial water dispersion of cobalt ferrite NPs was provided by Colorobbia, Italy) were also added [38]. The mixture was treated under vacuum for 30 min and flushed with nitrogen; then, a measured quantity of APS solution (6.0 mg/mL, freshly prepared in degassed water) was added under nitrogen. In all cases, even the gelification occurred within one hour, the reaction mixture was kept at room temperature for 24 h. Afterwards, the gels were removed and repeatedly washed with twice distilled water for several days. The obtained products, reduced in a sliced form, were dried at r.t. up to a constant weight in a desiccating cabinet, over silica. The feed composition of the polymeric networks is reported in Table 1.
Table 1.
Feed composition of the hydrogels.
| Hydrogel | Monomer a (mmol) | Crosslinker b (mmol) | TEA c | TMED d | APSe | VTf | Ref. | ||||
|---|---|---|---|---|---|---|---|---|---|---|---|
| AVa | PHE | NIPAAm | EBA | PEG258 | PEG575 | (μL) | (μL) | (mg) | (mL) | ||
| AVa-1 | 3.20 | 0.03 | 45 | 4.4 | [26,39] | ||||||
| AVa-2 | 6.32 | 0.12 | 90 | 5.9 | |||||||
| AVa-5 | 6.49 | 0.32 | 96 | 9.2 | |||||||
| PHE-9 | 0.91 | 98 | 15.0 | [27] | |||||||
| NIP-PHE-9 | 25.80 | 0.56 | 270 | 27.0 | |||||||
| NIP-AVa-PEG258 | 1.47 | 11.83 | 10.0 | This work | |||||||
| NIP-AVa-PEG575 | 1.49 | 11.48 | 1.56 | 13.2 | |||||||
| NIP-PHE-PEG258 | 11.91 | 11.0 | |||||||||
| a Amount of monomer; b amount of cross-linking agent; c amount of TEA; d amount of TMED; e amount of APS added as aqueous solution; f total volume of the mixture. | ![]() | ![]() | TEA: Triethylamine; TMED: N,N,N’,N’- tetramethylethylenediamine; APS: Ammonium peroxodisulfate. | ||||||||
We named the studied samples as follow.
Hydrogels cross-linked with EBA: AVa-1, AVa-2, AVa-5 (homopolymeric hydrogels with 1, 2, and 5 mol% of EBA). PHE-9, NIP-PHE-2 (homopolymeric and copolymeric hydrogels with 9 and 2 mol% of EBA).
Hydrogel cross-linked with PEG-DA: NIP-AVa-PEG258, NIP-AVa-PEG575, NIP-PHE-PEG258 (copolymeric hydrogels with 12 mol% of PEG-DA).
The composition of the copolymeric hydrogel samples is always 90:10 (NIPAAm/monomer, molar ratio).
2.3. Swelling
The swelling of the hydrogels was monitored at different pHs, temperatures, and ionic strengths, as outlined in a previously reported procedure [27,29,39]. A weighed sample of dry gel (10–30 mg) in a Strained cell was suspended in the buffer solution (PBS or acetate) of desired pH contained in a thermostatted glass cell (100 mL), connected to a temperature probe and a glass electrode. The equilibrium degree of swelling (EDS) was evaluated by the relation (Wwet-Wdry)/Wdry at intervals (24 h), where Wdry and Wwet is the weight of the dry and swollen hydrogel, respectively.
2.4. Loading and ‘in vitro’ Release of Drugs (Cisplatin, Lithium Ion)
The loading of cisplatin into the hydrogels was obtained in water and in water/dmso (98.4:1.6, v/v) mixture by using cisplatin stock solutions in the range of concentration 5–10 mM. Samples of dry gels were first swollen in PBS solution (pH 7.40) and then soaked in the cisplatin solution for at least 1 week, i.e., when the gel formed tightly compact yellow particles. The release experiments were done in 40 mL of PBS solution (pH 7.40) and/or in acetate buffer (pH 4.20) contained in the thermostatted glass cell. The Strainer cell, containing a weighed amount of cisplatin-loaded hydrogel, was suspended on the solution under stirring and, at intervals, aliquots (400 μL) of the dissolution medium were sampled and immediately replaced with fresh buffer solution. The amount of released Pt(II) was analyzed by the colorimetric o-PDA method [40]. The loading of lithium ion into the hydrogels was obtained in water by soaking the dry gel samples (40–80 mg) in a concentrated (2 wt%) LiCl solution. After 1 week the swollen samples were filtered, repeatedly washed with de-ionized water, and finally dried to a constant weight. The release of lithium ions was monitored in 50 mL of de-ionized water, in a thermostatted glass cell, by the CDM83 conductivity meter. The cumulative amount of Li(I) released from the hydrogel was determined using a calibration curve.
2.5. Cell Culture and Cytotoxicity
The human melanoma cell line Me665/2/21 derived from a cutaneous metastasis was used. The cells were cultured in standard conditions: RPMI 1640 medium, supplemented with 10% heat-inactivated fetal calf serum, 2 mM L-glutamine, and 50 mg/L gentamycin, at 37 °C in a humidified atmosphere containing 5% CO2. The cells were routinely harvested by phosphate-buffered saline (PBS)–EDTA (0.2 g/L) and reseeded before reaching the confluence. For experiments, cells were seeded in 78 cm2 plastic dishes at density of 1.5 × 106 cells and left overnight, whereupon the medium was changed and cells were treated for 48 h with native cisplatin (1 μg/mL), or cisplatin-loaded hydrogel. In a different set of experiments we used the combination cisplatin plus 100 nM CCI-779 (Temsirolimus) in different experimental settings: (a) both native drugs; (b) both drugs loaded in the hydrogel; (c) cisplatin-loaded hydrogel plus 100 nM CCI-779. At the end of the experiments, the apoptotic floating cells were harvested separately from still adhering cells, which thereafter were gently detached by PBS–EDTA. Small aliquots of both adhering and floating cell suspensions were counted in a Bürker chamber. The apoptotic response was evaluated as percentage of floating cells on total cells of each sample. Three to five replicates were averaged.
2.6. Statistical Analysis
Statistical differences between each group were performed by the ANOVA test with the program GraphPad Prism 5. Differences with p < 0.05 were considered significant.
3. Results and Discussion
The swelling properties of the vinyl hydrogels, as well as their cytotoxicity, were strongly dependent on the nature of the amino acid residues and on the degree of cross-linking. Moreover, the ionic strength, the kind of simple salts, the pH, the temperature, and the electric field, were the main stimulations that improved a shrinking of the swollen hydrogel. These properties may be useful for drug delivery. In the following we will consider mainly the properties of some carboxyl acid hydrogels carrying α-amino acid (L-valine, L-phenylalanine) residues, copolymerized or not with the N-isopropylacrylamide and cross-linked with different cross-linking (EBA: N,N’-ethylenebisacrylamide, and PEG-DA: polyethylenglycoldiacrylate segments) agents.
3.1. Homopolymeric Hydrogels with α-Amino Acid Residues and Cross-Linked with EBA
The swelling properties of the hydrogels carrying the L-valine residues (AVa) show a sharp decrease of the equilibrium degree of swelling (EDS) in correspondence of a pH value close to the critical degree of protonation of the carboxylate anion [26,35,36,39]. This degree of protonation, corresponding to 0.66, was related to the collapse of the macromolecular coil that forces the isopropyl groups in a close contact, outweighing the repulsive electrostatic interactions of the partially ionized polymer in a more extended and hydrated conformation. Figure 1 shows the abrupt collapse of the three differently cross-linked hydrogels (AVa-1, AVa-2, and AVa-5) from the swollen to a shrunk state around pH 4 in acetate buffer.
Figure 1.
Equilibrium degree of swelling (EDS) in relation to pH for the hydrogels AVa-1, AVa-2, and AVa-5 at 25 °C and 0.15 M NaCl.
Figure 1.
Equilibrium degree of swelling (EDS) in relation to pH for the hydrogels AVa-1, AVa-2, and AVa-5 at 25 °C and 0.15 M NaCl.

At pH > 4, the EDS value regularly increases with the increasing charge density of the network. As evaluated by the pKa of the free polymer analogue [35,36], the charge density of the COO− group reaches about 100% in physiological conditions (pH 7.4), while only a value of 34% may be considered at pH 4. It is evident that at pH > 4 the EDS increase is greater for the hydrogel AVa-1, due to a lower amount of cross-links in the network.
The pH of the phase transition becomes slightly higher at low ionic strength. This is in line with the fact that low ionic strength increases the basicity constant of the carboxylate group [41]. In Figure 2 is reported for comparison the EDS/pH plot of the hydrogel AVa-2 and AVa-5 in two different buffer conditions: acetate 0.05 M in water and acetate 0.01 M in 0.15 M NaCl.
Figure 2.
Equilibrium degree of swelling (EDS) in relation to pH for the hydrogel AVa-2 (red lines) and AVa-5 (dark lines) at 25 °C and different ionic strengths: 0.05 M acetate buffer (squares) and 0.01 M acetate buffer in 0.15 M NaCl (triangles).
Figure 2.
Equilibrium degree of swelling (EDS) in relation to pH for the hydrogel AVa-2 (red lines) and AVa-5 (dark lines) at 25 °C and different ionic strengths: 0.05 M acetate buffer (squares) and 0.01 M acetate buffer in 0.15 M NaCl (triangles).

The ionic strength plays a sensitive role in the swelling process. In all cases, the hydrogels AVa in the ionized state revealed a sharp EDS decrease till a concentration of 0.15 M NaCl (Figure 3); after this value, the swelling remained almost flat till a concentration of about 3 M NaCl. The decrease of pH led to a further decrease of the EDS at higher concentration of the simple salt. The latter lead to a further collapse for lower hydration states, as occurred instead for uncharged hydrogels based on NIPAAm [42] and charged hydrogels containing different α-amino acid (L-phenylalanine and L-histidine) residues [27,29].
Figure 3.
Equilibrium degree of swelling (EDS) in relation to the ionic strength (conc. of sodium chloride) for the hydrogel AVa-5 at different pH values.
Figure 3.
Equilibrium degree of swelling (EDS) in relation to the ionic strength (conc. of sodium chloride) for the hydrogel AVa-5 at different pH values.

For the homopolymeric hydrogels considered, the increase of temperature showed negligible influence of their hydration state, mainly at pH > pKa. It is obvious that, in the range of the temperature considered, the ionic/ionizable groups superimposed their electrostatic repulsion along with the hydrophilic quality due to the great degree of solvation. The hydration state of the homopolymeric AVa hydrogels show to behave quite unusual for the effect of temperature and at different pHs [26,39]. In all cases, the increase of temperature led to a decrease of EDS. As the pH decreased, approaching the critical pH 4, the lower hydration state of the hydrogel led the network to a macromolecular shrinkage, triggered by the temperature. In Figure 4 is reported a characteristic plot of EDS in relation to the temperature (°C) for the AVa-2 at different pHs, in acetate buffer solutions, and at two different ionic strengths (0.01 M in 0.15 M NaCl and 0.05 M in water).
Figure 4.
Equilibrium degree of swelling (EDS) in relation to the temperature (°C) for the hydrogel AVa-2 in acetate buffers of different pHs (squares, 0.05 M in water; red triangles, 0.01 M in 0.15 M NaCl).
Figure 4.
Equilibrium degree of swelling (EDS) in relation to the temperature (°C) for the hydrogel AVa-2 in acetate buffers of different pHs (squares, 0.05 M in water; red triangles, 0.01 M in 0.15 M NaCl).

At greater pHs, in acetate as well as in PBS buffers, a linear decrease of EDS over a wide range of temperature is observed either at low or high ionic strengths. As the pH approaches the critical range, when the hydrophilic-hydrophobic forces become competitive, the EDS/T plot interplays significant phase-transitions. These are sensitively dependent on the charge density of the polymer, and thus the pH. As the latter decreases, the hydrophobic forces outweigh the electrostatic one, and the gel show collapse at lower temperature. This is the normal behavior of temperature-sensitive polymers that show lower LCST for the incorporation of hydrophobic moieties [10]; the contrary is true for the incorporation of hydrophilic substituents, thus leading to a greater phase-transition temperature that vanishes at high charge density. From a practical point of view, the hydrogel AVa-2 may be a good candidate in drug delivery technologies because different external signals may trigger the release of the drug. The presence of a shrunk region may suggest to tailor-made and perform tunable dual-stimuli responsive materials of great potential applications. In the present investigation we limited our approach to suitable platforms that are useful in the controlled release of cisplatin and/or lithium ion for cancer and/or bipolar disorder therapies [24,26,33,34].
3.2. Copolymeric Hydrogels of NIPAAm with Monomers Having α-Amino Acid Residues and Cross-Linked with PEG-DA
Three hydrogel samples were obtained, with a radical polymerization, in the form of copolymers by using the N-isopropylacrylamide (NIPAAm) together with the synthetic N-acryloyl-L-valine (AVa) or the N-acryloyl-L-phenylalanine (PHE) monomers, and cross-linked with polyethyleneglycol-diacrylate (PEG-DA) of different molecular weight (Mn 258 and 575). In all cases the molar ratio between the NIPAAm and the synthetic monomer was 90/10, at a fixed concentration of cross-linker (PEG, 12 mol%). Any attempt to prepare hydrogels with lower concentration of PEG, or to prepare homopolymeric compounds with only synthetic monomers, failed because of the complete solubility in water of the resulting product. Thus, we considered the three hydrogels for the evaluation of their swelling properties. The samples (named NIP-AVa-PEG575, NIP-AVa-PEG258, and NIP-PHE-PEG258) were studied at different pHs and temperatures. In Figure 5 the equilibrium degree of swelling (EDS) in different buffers (PBS and acetate) at the same ionic strength (0.15 M NaCl) is summarized.
Figure 5.
Equilibrium degree of swelling (EDS) in relation to pH for the hydrogels NIP-AVa-PEG575 (1); NIP-AVa-PEG258 (2); and NIP-PHE-PEG258 (3) at 25 °C in 0.15M NaCl.
Figure 5.
Equilibrium degree of swelling (EDS) in relation to pH for the hydrogels NIP-AVa-PEG575 (1); NIP-AVa-PEG258 (2); and NIP-PHE-PEG258 (3) at 25 °C in 0.15M NaCl.

It is worth that, among the hydrogels, the shrunk region is sensibly different because different is the pKa of the carboxyl group belonging to the α-amino acid residues. As previously reported for the free polymer analogues [27,35,36], the pKa of the PHE residues is always greater with respect to the pKa of the AVa moiety, despite the polyelectrolyte nature of both polymers. Moreover, for the corresponding free copolymers with NIPAAm, the polyelectrolyte behavior increased for the PHE compounds [27], whereas it decreased for the AVa one [35,37], as the amount of incorporated NIPAAm in the macromolecule increased. This reflects a decrease or an increase of the pKa, respectively for AVa and PHE, as the degree of protonation increases. Thus, we would expect a collapse at a greater pH for the hydrogel NIP-PHE-PEG258 in comparison to the NIP-AVa-PEG258. This is what happens; in fact, the collapsed form of the swollen network occurs at pH 4.2 and 3.5, respectively for PHE and AVa hydrogels. Moreover, the longer cross-linker segments of PEG575 improves either a larger EDS and a sensibly lower pH for its whole collapsing process. This is likely ascribed to a further low pKa of the ionized carboxyl groups that, being each other more distant, created an environment with a lower electrostatic field. The hydrophilic quality of the PEG segments may further improve the swelling of the network.
The temperature effect on the swelling properties of the copolymeric hydrogels at different pH values is close to that shown for the homopolymeric compounds, even if the presence of a larger amount of NIPAAm should improve the thermosensitivity. In Figure 6 the behaviour of two closer hydrogels differing only in the PEG segment’s dimension, NIP-AVa-PEG258 and NIP-AVa-PEG575, is reported for comparison.
Figure 6.
Equilibrium degree of swelling (EDS) in relation to the temperature for the hydrogels NIP-AVa-PEG575 (dark squares) and NIP-AVa-PEG258 (red triangles) in acetate and PBS buffers in 0,15 M NaCl.
Figure 6.
Equilibrium degree of swelling (EDS) in relation to the temperature for the hydrogels NIP-AVa-PEG575 (dark squares) and NIP-AVa-PEG258 (red triangles) in acetate and PBS buffers in 0,15 M NaCl.

In the reported range of temperatures the EDS of both hydrogels linearly decreases at pH improving a greater charge density, even if the swelling always remains greater for the NIP-AVa-PEG575 hydrogel. The increase of temperature led to a sharp discontinuity of the EDS/T plot at proper pHs, where the hydrophilic quality improved by the charged groups is outweighed by the hydrophobic influence of the isopropyl groups, driving the network to a collapsing process in a narrow range of the critical temperature. The latter regularly decreases with pH, being in a linear relationship in the case of NIP-AVa-PEG575 hydrogel. From Figure 6 it is possible to estimate the decrease of the critical temperature quoting 13 °C for each pH unit, in the range of the considered temperature. For the two hydrogels under consideration, the same critical temperature may led the hydrogel to shrink at different pHs or, conversely, at the same pH the collapse may occurs at different temperatures. This is the case, for example, that at pH 3.5 and 4.0 (Figure 6), both hydrogels NIP-AVa-PEG575 and NIP-AVa-PEG258 show a collapse around 31 °C, that is the LCST of polyNIPAAm. On the other hand, at the same pH values, the collapsing temperature is greater for the NIP-AVa-PEG575 hydrogel. This is in line with the consideration made on the EDS/pH behavior reported above (Figure 5).
3.3. Loading and in vivo Release of Cisplatin from the Hydrogels
The hydrogels were swollen in the ionized form to improve the best coordinating properties in view of the drug delivery system capable of delivering the active species over an extended period of time at a known rate to a local area. The addition of a cisplatin solution to a swollen hydrogel in the ionized state always improved a timely deswelling phenomenon that was ascribed to the reaction of the platinum(II)-species undergoing a slowly complexation with the functional groups of the polymer [19]. The stoichiometric ratio 2:1 of the ligand:Pt(II)-metal center was shown either with the free and with the cross-linked polymers by viscometric and swelling measurements, respectively [24,26]. The swollen hydrogel in deionized water regularly decreased its EDS value upon the stepwise addition of a stock cisplatin solution.
As shown in Figure 7 for the three hydrogels incorporating the L-valine moiety, the minimum EDS value was obtained at a cisPt/AVa molar ratio close to 0.5, i.e., the stoichiometric value. The stoichiometry was confirmed by the weight increase of the hydrogel sample after washing and drying. The interaction of the Pt(II)-species with the carboxyl groups led to a charge neutralization of the polymer that improved a collapse of the network. When in the dry form, the Pt(II)-polymer material showed yellowish particles of tightly compact form. The interaction between the COO− groups of the closer monomer units and the aminated Pt(II)-species was supported by FT-IR spectra [24,26]. In all cases, the spectra of the hydrogels in the neutral, ionized, and Pt(II)-complexed forms were compared.
Figure 7.
Equilibrium degree of swelling (EDS) of the hydrogels (AVa-1, AVa-2 and AVa-5) in relation to the cisPt/AVa molar ratios in deionized water at 25 °C.
Figure 7.
Equilibrium degree of swelling (EDS) of the hydrogels (AVa-1, AVa-2 and AVa-5) in relation to the cisPt/AVa molar ratios in deionized water at 25 °C.

From the spectra and the main wavenumbers, two interesting features are observed. In the case of the hydrogel AVa-2 (Figure 8), the disappearance of the broadband at 1580 cm−1, assigned to the COO− asym stretching of the AVa-2 in the ionized form, splitted in two more broadband at 1610 cm−1 and 1515 cm−1, assigned to the Pt-coordinated COO− asym stretching and to N-H amide II frequencies, respectively [26]. A similar pattern was observed for the two other hydrogels of the series and also for the PHE-9 [24]. The second feature is the spectral evidence for the presence of the NH3 molecule linked to the Pt(II)-coordinated. The 1534 cm−1 band, assigned to the NH bending present in the cisplatin, was already present in the Pt-coordinated hydrogel. This further indicates that the chloride, acting as the leaving group, is responsible for the improvement of the Pt(II)-coordination [26].
Figure 8.
FT-IR spectra of the native hydrogel AVa-2 (COOH form, green line; COO- form, blue line) and coordinated to cisplatin (red line).
Figure 8.
FT-IR spectra of the native hydrogel AVa-2 (COOH form, green line; COO- form, blue line) and coordinated to cisplatin (red line).

In the case of copolymeric hydrogels with NIPAAm, the Pt(II)-species seems to be not able to form complex species with the functional groups of the monomers incorporating the α-amino acid residues, because of the great distance and failure in anchoring two COO− groups of different monomer units. The latter are well separated and shielded by the uncharged and randomly distributed NIPAAm monomer units. Any shield of these groups leads to a weakening or a lack in the coordination ability, as shown also in the case of the free and cross-linked NIP-PHE-2 polymers [24].
The FT-IR spectra of both hydrogels NIP-AVa-PEG258 and NIP-PHE-PEG258 remained almost unchanged when by alone or synthesized in the presence of cisplatin or cisplatin and magnetic nanoparticles (NPs). The latter were purposely introduced into the network to render the hydrogel responsive to magnetic fields [38,43,44]. Figure 9 shows representative spectra of the hydrogel NIP-AVa-PEG258. A negligble amount of Pt(II)-species was detected with the o-phenylenediamine (o-PDA) method during the release of this species from all the hydrogels incorporating cisplatin as a dispersive drug into the network matrix. Since the cisplatin solution used was very low (about 5 mM), it was unable to load the drug at some extent in spite of its lacking ability to coordinate the functional groups of the hydrogel.
Figure 9.
FT-IR spectra of the hydrogel NIP-AVa-PEG258 (blue line), NIP-AVa-PEG258 with cisPt (yellow line), and NIP-AVa-PEG258 with cisPt and NPs (green line).
Figure 9.
FT-IR spectra of the hydrogel NIP-AVa-PEG258 (blue line), NIP-AVa-PEG258 with cisPt (yellow line), and NIP-AVa-PEG258 with cisPt and NPs (green line).

Due to the lower solubility of cisplatin in water (0,25 g/100 g water), the drug was loaded into some homopolymeric hydrogels also in the water/DMSO (98.4:1.6, v/v) mixture [25]. In the latter case the DMSO molecule strongly coordinated the cisPt(II)-species allowing reduced or lacking cytotoxic effect upon its release from the hydrogel [24]. The amount of Pt(II)-complex species released from the hydrogels in PBS buffer strongly depends on the initial cisplatin stock solution used for the loading process. The cisplatin solution containing DMSO showed an amount of releasing drug that is more than three times greater with respect to the cisplatin dissolved in water. In both cases, the cumulative release in vitro showed to have a biphasic pattern (Figure 10) [24].
The first initial release was ascribed to the burst effect that vanishes within a few hours; the remaining longer pattern showed a linear near zero-order release. On the other hand, the releasing pattern of the Pt(II)-species from the hydrogel containing the L-valine residues showed an improved linear constant rate for more than one week [26]. This resembles a zero-order release rate which is the highly desirable from drug delivery devices [45]. In Figure 10, the amount of Pt(II) detected in the downstream PBS buffer solution for the loaded hydrogels containing L-valine residues is also reported. The AVa hydrogels seem to have several improved challenges. The first challenge is to use a finite drug source to achieve an extended zero-order release. When a dry hydrogel is immersed in a favorable solvent, the hydrogel transitions in a moving front goes from an unperturbed (glassy) state to a solvated (rubbery) state, with an increase in macromolecular mobility due to chain extension and additional free volume for transport through the gel. The zero-order release arises when a constant rate of solvent front penetration is much smaller than the drug diffusion rate in the swollen gel and this is reported for swelling-controlled hydrogels [46]. In our case, besides the swelling-controlled hydrogel, a further mechanism should be considered [24,26]. The chemically controlled mechanism, related to the breakage of coordinated Pt(II)-hydrogel bonds, has to be considered together with the diffusion-controlled step. The Pt(II)-species released are subjected to a concentration-dependent diffusion that is related also to the strenght of the complex species with the coordinating groups inside the network. The stepwise binding cleavage and diffusion of the Pt(II)-species from the inner to the external interface of the hydrogel reach a broad range of delivery timescales. Thus, the release rate of the Pt(II)-species is determined by the dissociation strength of the Pt(II)-gel coordinate bonds. The results of this study suggest a faster release of the Pt(II)-species from the lower cross-linked hydrogel AVa-1. The greater slope (15.0 mg/g per day) of the straightline for AVa-1, with respect to that shown by the AVa-2 (11.7 mg/g per day), is in line with an improved diffusion process [26,46]. This is in agreement with the above reported data for the comparable crosslinked hydrogels (PHE-9), that showed even lower slope (2.7 mg/g per day) of the near zero-order release phase [24]. A second challenge is for the characteristic feature of the hydrogels to trigger release of the drug in response to the temperature. An increase of temperature to 36 °C showed a significantly increased amount of released drug from the hydrogel AVa-2 in PBS solution. In Figure 11, the effect of temperature on the releasing profile of Pt(II)-species is reported [26].
Figure 10.
(a, left): Release pattern of Pt(II)-species (Pt/gel, mg/g) from the carboxyl acid hydrogel PHE-9 [loaded with cisplatin in water and in water/DMSO solutions], into PBS buffer (pH 7.40, 25 °C); (b, right): release pattern of Pt(II)-species from the hydrogel AVa-1 (1: red triangles) and AVa-2 (2: blue squares) in PBS buffer pH 7.40 at 25 °C.
Figure 10.
(a, left): Release pattern of Pt(II)-species (Pt/gel, mg/g) from the carboxyl acid hydrogel PHE-9 [loaded with cisplatin in water and in water/DMSO solutions], into PBS buffer (pH 7.40, 25 °C); (b, right): release pattern of Pt(II)-species from the hydrogel AVa-1 (1: red triangles) and AVa-2 (2: blue squares) in PBS buffer pH 7.40 at 25 °C.

Figure 11.
(a, left). Comparison of the release pattern of Pt(II) from the hydrogel AVa-2 loaded with cisPt: releasing profile at 25 °C (squares), and effect of increasing temperature to 36 °C (red triangles), in PBS buffer pH 7.40; (b, right). Comparison of the release pattern of Pt(II) from the hydrogel AVa-2 loaded with cisPt: releasing profile at pH 7.4 (blue triangles, PBS buffer), and pH 4.2 (red squares, acetate buffer) at 25 °C. Pulse of temperature to 36 °C after 96 hrs.
Figure 11.
(a, left). Comparison of the release pattern of Pt(II) from the hydrogel AVa-2 loaded with cisPt: releasing profile at 25 °C (squares), and effect of increasing temperature to 36 °C (red triangles), in PBS buffer pH 7.40; (b, right). Comparison of the release pattern of Pt(II) from the hydrogel AVa-2 loaded with cisPt: releasing profile at pH 7.4 (blue triangles, PBS buffer), and pH 4.2 (red squares, acetate buffer) at 25 °C. Pulse of temperature to 36 °C after 96 hrs.

For the first four days the release of the Pt(II)-species followed a linearity, as in previous experiments carried out at 25 °C. The increase of temperature to 36 °C suddenly released Pt(II)-species in the first few hours and then reached a flatter release pattern. This behavior was correlated to the shrinking phenomenon occurring in temperature-sensitive hydrogels [47]. In the hydrogel AVa-2 the presence of both the functional groups (amido and isopropyl), also present in the classical temperature-sensitive pNIPAAm, together with the Pt(II)-carboxyl coordinated groups, renders this system responsive to temperature also at pH greater than the pKa value of the native gel. The strong solvated hydrogel at low temperature, quickly loses the water molecules upon the increasing temperature. This causes the gel to shrink and the diffused Pt(II)-species to split out from the polymeric network. It is noteworthy that the hydrogel AVa-2 shows a larger swelling during the drug release. Moreover, the increasing temperature on the cisplatin-loaded hydrogel is not so effective at lower pH. Unlike the subtle pH- and temperature-responsivity shown by the native AVa-2 at pH close to 4, the presence of Pt(II)-species anchored to the hydrogel decreases the swelling ability of the network resulting in a lower shrinking phenomenon at pH 4.2 (Figure 11).
3.4. Cytotoxicity Evaluation of Cisplatin Release from the Hydrogels
The cytotoxic effect of the native cisplatin was compared to the cytotoxic effect of the Pt(II)-species released from the loaded hydrogels by using the melanoma cells Me665/2/21. The in vitro experiments were carried out at concentrations close to the plasma one (1 μg/mL, corresponding to 0.67 μg/mL or 3.3 μM of Pt) found in patients treated with cisplatin for solid tumors. In the same experiments, cells were also treated with 30 μg/mL of the hydrogel PHE-9 (containing 8.7 μg/mL or 45 μM of Pt loaded from water); with the hydrogel containing cisplatin loaded from water, which is slower in terms of cisplatin release, melanoma cells received a dose of Pt(II) comparable to that of native cisplatin (0.51 μg/mL or 2.6 μM, released within the first 3 h, see Figure 10). As shown in Table 2, the cisplatin released from the cisplatin-loaded (from water) hydrogel, similar to the native cisplatin, induced a remarkable apoptotic cell death, as evaluated by cell loss, cell detachment from the monolayer, and increased activity of caspase-3/-7, the latter being a well-known hallmark of apoptosis [24].
Table 2.
Me665/2/21 melanoma cells (1.5 × 106) were treated for 72 h with cisplatin (1 μg/mL) or with cisplatin-loaded PHE-9 hydrogels (30 μg/mL, both). The percentages of detached cells on total cells in control (untreated) and in Hydrogel-Cisplatin (in water:DMSO) samples were minor, ranging from 2 to 5%. Results are given as mean ± SE from three to five experiments.
| Sample | Total cell number (×10−6) | % detached/total cells |
|---|---|---|
| Control | 12.04 ± 0.68 | ND |
| Cisplatin | 3.02 ± 0.44 | 80.8 ± 1.2 |
| Hydrogel-Cisplatin (in water) | 3.00 ± 0.38 | 77.0 ± 4.9 |
| Hydrogel-Cisplatin (in water:DMSO) | 11.22 ± 0.44 | ND |
On the contrary, no effect on cell growth and viability was obtained by the same hydrogel PHE-9 loaded with cisplatin from a water/DMSO mixture, although it releases a higher amount of Pt(II)-species (Figure 10). In the latter case, the loss of activity of the Pt(II)-species released from the hydrogel may be likely attributed to its exclusion into cells because of the charged Pt(II)-complex species anchoring sterically hindered DMSO molecules. Alternatively, the presence of the DMSO molecule in the Pt(II)-complex species could suppress the intercalation between the two DNA strands [48]. Solvolysis reactions of cisplatin in DMSO might be expected to form primarily monofunctional DNA adduct [49]. It is worth that different Pt(II)-species are released from the same hydrogel PHE-9; unlike the Pt(II)-species released from loaded PHE-9 in water, the adduct containing a DMSO molecule has reduced ability to bind double-stranded DNA and therefore, has potentially reduced toxicity [48]. The electrospray MS spectra, as well as the FT-IR spectra, confirmed the composition and the structure of the Pt(II)-DMSO adduct [24]; a prevailing peak at m/z = 343 was consistent with the Pt(NH3)2Cl(DMSO) species, and two strong S=O stretching bands at 1028 cm−1 and 1124 cm−1 clarified the presence of the DMSO molecule. Unlike the cisplatin solution (in water), both mother (in water/DMSO) and sample Pt(II)-species released from the hydrogel showed the presence of a DMSO molecule linked to Pt(II), because of the replacement of a chloride leaving group. This leads to the hypothesis that, once linked, the DMSO molecule remains stably complexed. Thus, the affinity of Pt(II) for sulfur donor ligands makes DMSO unsuitable for use in biological studies of the mechanism of action of platinum antitumor drugs and the results of biologically related experiments employing mixture of solvents containing this molecule must be strongly discouraged.
On the other hand, the use of a different solvent, like DMF, does not causes biological problems. This is the case of experimented synergic effect of cisplatin with temsirolimus, the latter loaded on the hydrogel that was swollen in DMF, due to its insolubility in water. Temsirolimus, a rapamycin analog acting through mTOR inhibition [31], is an approved immunosuppressive agent and it is under investigation as a potential anticancer drug, when combined with other cytotoxic drugs [50]. Used in a wide range of concentrations (1–1,000 nM) on Me665/2/21 melanoma cells, temsirolimus alone exerts a moderate inhibition of proliferation with no sign of cell death. In contrast, in the combined treatment using both the native cisplatin and the temsirolimus, the latter increases cisplatin cytotoxicity, acting through a moderate synergy (Figure 12).
Figure 12.
(Panel A, up): Me665/2/21 melanoma cells were treated for 48 h with cisplatin (1 μg/mL) or with cisplatin-loaded AVa hydrogel (30 μg/mL). (Panel B, down): Me665/2/21 melanoma cells were treated for 48 h with cisplatin with or without Temsirolimus, in diverse experimental conditions where drugs are in the native forms or loaded in AVa-2 hydrogel. Cell death is expressed as percentage of floating cells on total cells. All the results were statistically significant (p < 0.05).
Figure 12.
(Panel A, up): Me665/2/21 melanoma cells were treated for 48 h with cisplatin (1 μg/mL) or with cisplatin-loaded AVa hydrogel (30 μg/mL). (Panel B, down): Me665/2/21 melanoma cells were treated for 48 h with cisplatin with or without Temsirolimus, in diverse experimental conditions where drugs are in the native forms or loaded in AVa-2 hydrogel. Cell death is expressed as percentage of floating cells on total cells. All the results were statistically significant (p < 0.05).

When melanoma cells are treated with cisplatin/temsirolimus-loaded AVa-2 hydrogel, the synergic effect is much higher, the contribution of temsirolimus almost doubling the cytotoxic response with respect to the hydrogel loaded with cisplatin alone [26]. It should be noted that, in these experiments, both cisplatin and temsirolimus have been loaded in DMF; in such conditions the release of cisplatin is slower and, consequently, the cytotoxic response is lower. The synergistic cytotoxic response is also remarkable when the native temsirolimus is combined with cisplatin-loaded AVa-2 hydrogel. All the results were statistically significant, as evaluated by the ANOVA test (p < 0.05). The extent of apoptotic cell death has been confirmed by Western blot analysis of the caspase-dependent proteolysis of the nuclear enzyme poly(ADP-ribose) polymerase (PARP). PARP cleavage is a hallmark of apoptosis and the ratio between the cleaved moiety and the total protein (full length + fragment) strictly mirrors the extent of both cell death and activation of caspase-3/-7 [26].
3.5. Loading and Release of Lithium Ion for Bipolar Disorder
As regards brain diseases, the lithium ion is one of the standard pharmacological treatments for bipolar disorder [33,34]. Bipolar disorder is a psychiatric diagnosis that describes a category of mood disorders, defined by the presence of one or more episodes of abnormally elevated energy levels, cognition, and mood with or without one or more depressive episodes. Episodes of abnormality are associated with distress and disruption and an elevated risk of suicide, especially during depressive episodes. In some cases, it can be a devastating long-lasting disorder. Bipolar disorder is often treated with mood stabilizing medications and, sometimes, other psychiatric drugs. Clinically, lithium is a strong anti-suicidal drug and it is used together with other mood stabilizers (i.e., valproic acid and/or carbamazepine) to enhance or prolong both treatment response and remission [33]. Although lithium has a narrow therapeutic margin and well-known adverse effects (such as dry mouth, gastro-intestinal disturbances, weight gain, tremor, thyroid disfunction), it is safe to use in the therapeutic dose range (4.2 to 8.3 mg/L). For these purposes, a controlled release by the use of polyelectrolyte hydrogels may be formulated as matrix tablets [51]. Some preliminary data show that the amount of lithium released from the hydrogels may be related to the kind of both the α-amino acid residues and of the cross-linking agent (Figure 13).
Figure 13.
Release pattern of lithium(I) ion from the hydrogels NIP-PHE-PEG258 (1); NIP-AVa-PEG575 (2); AVa-5 (3); and NIP-AVa-PEG258 (4) in water at 25 °C.
Figure 13.
Release pattern of lithium(I) ion from the hydrogels NIP-PHE-PEG258 (1); NIP-AVa-PEG575 (2); AVa-5 (3); and NIP-AVa-PEG258 (4) in water at 25 °C.

Unlike the release profile of the copolymeric hydrogels, that resembles the one shown by the available sustained-release tablets of commercially Eskalith CR®, the presence of more negative charges on the hydrogel AVa-5 exhibited suitable release kinetics for longer. In clinical practice, lithium is often associated with valproic acid, in order to improve mood-stabilizing efficacy. To maintain constant blood levels of mood-stabilizing drugs, in order to ensure adequate therapeutic efficacy, more than one dose is required daily, with a risk of reduced adherence to therapy by the patient. A controlled release system for lithium, valproic acid and/or the two drugs associated, it would be desirable to improve treatment possibilities for such a highly debilitating disorder as bipolar disorder.
4. Conclusions
With increasing efforts devoted on developing biomaterials, the application of purposely designed charged hydrogels, having multiple-stimuli-responsiveness, can provide suitable vehicles for the controlled release of actives under determined conditions [14]. Our research interest is to develop hydrogel platforms based on α-amino acid residues to release drugs to the target site. The proposed hydrogels containing carboxyl acid moieties represent a challenge for their ability to form complex species of different bonding strenght for metal-based drugs [22,24,26] to be implanted or injected, as addressed by the controlled release community [52,53]. The present study is to focus on the release of the liable Pt(II)-complexed species for the chemotherapy of solid tumors. Unlike the hydrogels obtained with the co-monomer NIPAAm, all the homo-polymeric materials carrying closer COOH groups show the ability to form complex species with a well-defined stoichiometric 2:1 molar ratio between the ligand and the metal center [24,25,26]. This allows to design proper polymeric networks that can tune and trigger the release rate of the Pt(II)-species. Further, the zero-order release rate, that is the most desirable from drug delivery devices, and the greater release triggered by the temperature was also improved.
A different releasing profile was noticed with the simple lithium ion. Since the latter is one of the standard pharmacological treatments for bipolar disorder, most of the hydrogels may be also utilized to control the therapeutic dose range when formulated as matrix tablets [34,51].
On the whole, the hydrogels carrying α-amino acid residues show a good biocompatibility that allows them to be promising candidates as soft materials. The apoptotic cell death due to the released Pt(II)-species from the hydrogel is remarkable and close to that afforded by native cisplatin. Furthermore, the synergistic effect of temsirolimus on cisplatin cell death is remarkably higher, compared to the native drugs action [26].
Acknowledgments
The corresponding author (M.C.) wish to thank R. Barbucci for the kind invitation to the 3rd International Congress on Biohydrogels (Biohydrogels 2011); this paper is dedicated to him for its retirement from Siena University.
References
- Bae, Y.H.; Okano, T.; Kim, S.W. Temperature dependence of swelling of cross-linked poly(N,N-alkyl substituted acrylamides) in water. J. Polym. Sci. Polym. Phys. 1990, 28, 923–936. [Google Scholar]
- Feil, H.; Bae, Y.H.; Feijen, J.; Kim, S.W. Effect of comonomer hydrophilicity and ionization on the lower critical solution temperature. Macromolecules 1993, 26, 2496–2500. [Google Scholar]
- Schmaljohann, D. Thermo- and pH-responsive polymers in drug delivery. Adv. Drug Deliv. Rev. 2006, 58, 1655–1670. [Google Scholar]
- Heskins, M.; Guillet, J.E. Solution properties of poly(N-isopropylacrylamide). J. Macromol. Sci. Chem. 1968, 2, 1441–1455. [Google Scholar] [CrossRef]
- Hoffman, A.S.; Afrassiabi, A.; Dong, L.C. Thermally reversible hydrogels: II. Delivery and selective removal of substances from aqueous solutions. J. Control. Release 1986, 4, 213–222. [Google Scholar] [CrossRef]
- Hoffman, A.S. Applications of thermally reversible polymers and hydrogels in therapeutics and diagnostics. J. Control. Release 1987, 6, 297–305. [Google Scholar]
- Bae, Y.H.; Okano, T.; Kim, S.W. Insulin permeation through thermosensitive hydrogels. J. Control. Release 1989, 9, 271–279. [Google Scholar]
- Tacheuchi, S.; Omodaka, I.; Hasegawa, K.; Maeda, Y.; Kitano, H. Temperature-responsive graft copolymers for immobilization of enzymes. Makromol. Chem. Phys. 1993, 194, 1991–1999. [Google Scholar]
- Schild, H.G.; Tirrel, D.A. Microcalorimetric detection of lower critical solution temperatures in aqueous solutions. J. Phys. Chem. 1990, 94, 4352–4356. [Google Scholar]
- Iwata, H.; Oodate, H.; Uyama, Y.; Amemiya, H.; Ikada, Y. Preparation of temperature-sensitive membranes by graft polymerization onto a porous membrane. J. Membr. Sci. 1991, 55, 119–130. [Google Scholar]
- Ito, Y.; Casolaro, M.; Kono, K.; Imanishi, Y. An insulin releasing system that is responsive to glucose. J. Control. Release 1989, 10, 195–203. [Google Scholar]
- Osada, Y. Conversion of chemical energy into mechanical energy by synthetic polymers (chemomechanical systems). Adv. Polym. Sci. 1987, 82, 1–46. [Google Scholar]
- Lin, C.-C.; Metters, A.T. Hydrogels in controlled release formulations: Network design and mathematical modeling. Adv. Drug Deliv. Rev. 2006, 58, 1379–1408. [Google Scholar]
- Hoare, T.R.; Kohane, D.S. Hydrogels in drug delivery: Progress and challenges. Polymer 2008, 49, 1993–2007. [Google Scholar]
- Lee, K.Y.; Mooney, D.J. Hydrogels for tissue engineering. Chem. Rev. 2001, 101, 1869–1879. [Google Scholar]
- van der Linden, H.J.; Herber, S.; Olthuis, W.; Bergveld, P. Stimulus-sensitive hydrogels and their applications in chemical (micro) analysis. Analyst 2003, 128, 325–331. [Google Scholar]
- Wang, K.L.; Burban, J.H.; Cussler, E.L. Hydrogels as separation agents. Adv. Polym. Sci. 1993, 110, 67–79. [Google Scholar]
- Bennett, S.L.; Melanson, D.A.; Torchiana, D.F.; Wiseman, D.M.; Sawhney, A.S. Next-generation hydrogel films as tissue sealants and adhesion barriers. J. Card. Surg. 2003, 18, 494–499. [Google Scholar]
- Cisplatin; Lippert, B. (Ed.) Wiley-VCH: Weinheim, Germany, 1999.
- Cini, R.; Defazio, S.; Tamasi, G.; Casolaro, M.; Messori, L.; Casini, A.; Morpurgo, M.; Hursthouse, M.B. Fac-{Ru(CO)3}2+-core complexes and design of metal-based drugs. Synthesis, structure, and reactivity of Ru-thiazole derivative with serum proteins and absorption-release studies with acryloyl and silica hydrogels as carriers in physiological media. Inorg. Chem. 2007, 46, 79–92. [Google Scholar]
- Tamasi, G.; Serinelli, F.; Consumi, M.; Magnani, A.; Casolaro, M.; Cini, R. Release studies from smart hydrogels as carriers for piroxicam and copper(II)-oxicam complexes as anti-inflammatory and anti-cancer drugs. X-ray structures of new copper(II)-piroxicam and -isoxicam complex molecules. J. Inorg. Biochem. 2008, 102, 1862–1873. [Google Scholar] [CrossRef]
- Tamasi, G.; Casolaro, M.; Magnani, A.; Sega, A.; Chiasserini, L.; Messori, L.; Gabbiani, C.; Valiahdi, S.M.; Jakupec, M.A.; Keppler, B.K.; Hursthouse, M.B.; Cini, R. New platinum-oxicam complexes as anti-cancer drugs. Synthesis, characterization release studies from smart hydrogels, evaluation of reactivity with selected proteins and cytotoxic activity in vitro. J. Inorg. Biochem. 2010, 104, 799–814. [Google Scholar] [CrossRef]
- DeConti, R.C.; Toftness, B.R.; Lange, R.C.; Creasey, W.A. Clinical and pharmacological studies with cis-diamminedichloroplatin(II). Cancer Res. 1973, 33, 1310–1315. [Google Scholar]
- Casolaro, M.; Cini, R.; Del Bello, B.; Ferrali, M.; Maellaro, E. Cisplatin/hydrogel complex in cancer therapy. Biomacromolecules 2009, 10, 944–949. [Google Scholar]
- Yan, X.; Gemeinhart, R.A. Cisplatin delivery from poly(acrylic acid-co-methyl methacrylate) microparticles. J. Control. Release 2005, 106, 198–208. [Google Scholar] [CrossRef]
- Casolaro, M.; Del Bello, B.; Maellaro, E. Hydrogel containing L-valine residues as a platform for cisplatin chemotherapy. Colloids Surf. B 2011, 88, 389–395. [Google Scholar]
- Casolaro, M.; Paccagnini, E.; Mendichi, R.; Ito, Y. Stimuli-responsive polymers based on L-phenylalanine residues: Protonation thermodynamics of free polymers and cross-linked hydrogels. Macromolecules 2005, 38, 2460–2468. [Google Scholar]
- Casolaro, M.; Bottari, S.; Cappelli, A.; Mendichi, R.; Ito, Y. Vinyl polymers based on L-histidine residues. Part 1. The thermodynamics of poly(ampholyte)s in the free and in the cross-linked gel form. Biomacromolecules 2004, 5, 1325–1332. [Google Scholar] [CrossRef]
- Casolaro, M.; Bottari, S.; Ito, Y. Vinyl polymers based on L-histidine residues. Part 2. Swelling and electric behavior of smart poly(ampholyte) hydrogels for biomedical applications. Biomacromolecules 2006, 7, 1439–1448. [Google Scholar] [CrossRef]
- Casolaro, M.; Ito, Y.; Ishii, T.; Bottari, S.; Samperi, F.; Mendichi, R. Stimuli-responsive poly(ampholyte)s containing L-histidine residues: synthesis and protonation thermodynamics of methacrylic polymers in the free and in the cross-linked gel forms. eXPRESS Polym. Lett. 2008, 2, 165–183. [Google Scholar]
- Ballou, L.M.; Lin, R.Z. Rapamycin and mTOR kinase inhibitors. J. Chem. Biol. 2008, 1, 27–36. [Google Scholar]
- Jhunjhunwala, S.; Raimondi, G.; Thomson, A.W.; Little, S.R. Delivery of rapamycin to dendritic cells using degradable microparticles. J. Control. Release 2009, 133, 191–197. [Google Scholar]
- Friedman, S.D.; Dager, S.R.; Parow, A.; Hirashima, F.; Demopulos, C.; Stoll, A.L.; Lyoo, I.K.; Dunner, D.L.; Renshaw, P.F. Lithium and valproic acid treatment effects on brain chemistry in bipolar disorder. Biol. Psychiatry 2004, 56, 340–348. [Google Scholar]
- Chiu, C.-T.; Chuang, D.-M. Molecular actions and therapeutic potential of lithium in preclinical and clinical studies of CNS disorders. Pharmacol. Ther. 2010, 128, 281–304. [Google Scholar]
- Casolaro, M. Vinyl polymers containing L-valine and L-leucine residues: Thermodynamic behavior of homopolymers and copolymers with N-isopropylacrylamide. Macromolecules 1995, 28, 2351–2358. [Google Scholar] [CrossRef]
- Casolaro, M. Thermodynamics of multiple stimuli-responsive polyelectrolytes with complexing ability towards the copper(II) ion. React. Polym. 1994, 23, 71–83. [Google Scholar]
- Iwakura, Y.; Toda, F.; Suzuki, H. Synthesis of N-[1-(1-substituted 2-oxopropyl)]acrylamides and -methacrylamides. Isolation and some reactions of intermediates of the Dakin-West reaction. J. Org. Chem. 1967, 32, 440–443. [Google Scholar] [CrossRef]
- Barbucci, R.; Pasqui, D.; Giani, G.; De Cagna, M.; Fini, M.; Giardino, R.; Atrei, A. A novel strategy for engineering hydrogels with ferromagnetic nanoparticles as crosslinkers of the polymer chains. Potential applications as a targeted drug delivery system. Soft Matter 2011, 7, 5558–5565. [Google Scholar]
- Casolaro, M.; Casolaro, I.; Lamponi, S. Stimuli-responsive hydrogels for controlled pilocarpine ocular delivery. Eur. J. Pharm. Biopharm. 2012, 80, 553–561. [Google Scholar]
- Golla, E.D.; Ayres, G.H. Spectrophotometric determination of platinum with o-phenylenediamine. Talanta 1973, 20, 199–210. [Google Scholar] [CrossRef]
- Casolaro, M. Solution behaviour of poly(N-acryloyl-L-leucine) and its copolymers with N-isopropylacrylamide. Polymer 1997, 38, 4215–4222. [Google Scholar] [CrossRef]
- Park, T.G.; Hoffman, A.S. Sodium chloride-induced phase transition in nonionic poly(N-isopropylacrylamide) gel. Macromolecules 1993, 26, 5045–5048. [Google Scholar] [CrossRef]
- Satarkar, N.S.; Hilt, J.Z. Magnetic hydrogel nanocomposites for remote controlled pulsatile drug release. J. Control. Release 2008, 130, 246–251. [Google Scholar]
- Satarkar, N.S.; Hilt, J.Z. Hydrogel nanocomposites as remote-controlled biomaterials. Acta Biomater. 2008, 4, 11–16. [Google Scholar]
- Ali, M.; Horikawa, S.; Venkatesh, S.; Saha, J.; Hong, J.W.; Byrne, M.E. Zero-order therapeutic release from imprinted hydrogel contact lenses within in-vitro physiological ocular tear flow. J. Control. Release 2007, 124, 154–162. [Google Scholar]
- Brazel, C.S.; Peppas, N.A. Modeling of drug release from swellable polymers. Eur. J. Pharm. Biopharm. 2000, 49, 47–58. [Google Scholar]
- Kim, J.H.; Lee, S.B.; Kim, S.J.; Lee, Y.M. Rapid temperature/pH response of porous alginate-g-poly(N-isopropylacrylamide) hydrogels. Polymer 2002, 43, 7549–7558. [Google Scholar]
- Fisher, S.J.; Benson, L.M.; Fauq, A.; Naylor, S.; Windebank, A.J. Cisplatin and dimethyl sulfoxide react to form an adducted compound with reduced cytotoxicity and neurotoxicity. Neurotoxicology 2008, 29, 444–452. [Google Scholar]
- Sundquist, W.I.; Ahmed, K.J.; Hollis, L.S.; Lippard, S.J. Solvolysis reactions of cis- and trans-diamminedichloroplatinum(II) in dimethyl sulfoxide. Structural characterization and DNA binding of trans-bis(amine)chloro(DMSO)platinum(1+). Inorg. Chem. 1987, 26, 1524–1528. [Google Scholar]
- Thallinger, C.; Poeppl, W.; Pratscher, B.; Mayerhofer, M.; Valent, P.; Tappeiner, G.; Joukhadar, C. CCI-779 plus cisplatin is highly effective against human melanoma in a SCID mouse xenotranplantation model. Pharmacology 2007, 79, 207–213. [Google Scholar]
- Emami, J.; Tavakoli, N.; Movahedian, A. Formulation of sustained-release lithium carbonate matrixtablets: Influence of hydrophilic materials on the release rate and in vitro-in vivo evaluation. J. Pharm.Pharmaceut. Sci. 2004, 7, 338. [Google Scholar]
- Verestiuc, L.; Ivanov, C.; Barbu, E.; Tsibouklis, J. Dual-stimuli-responsive hydrogels based on poly(N-isopropylacrylamide)/chitosan semi-interpenetrating networks. Int. J. Pharm. 2004, 269, 185–194. [Google Scholar] [CrossRef]
- Serres, A.; Baudys, M.; Kim, S.W. Temperature and pH-sensitive polymers for human calcitonin delivery. Pharm. Res. 1996, 13, 196–201. [Google Scholar]
© 2012 by the authors; licensee MDPI, Basel, Switzerland. This article is an open-access article distributed under the terms and conditions of the Creative Commons Attribution license (http://creativecommons.org/licenses/by/3.0/).

