A Nanoparticle Approach towards Morphology Controlled Organic Photovoltaics (OPV)
Abstract
:1. Introduction

2. Experimental Section
2.1. Preparation of Nano-Particles


2.2. UV-Vis Spectroscopy
2.3. Device Fabrication and Characterization
2.4. Atomic Force Microscopy
3. Results and Discussion
3.1. Fabrication of Nano-Particles
3.1.1. Morphology and Size Characterization

3.2. Optical Properties


3.3. Device Performance

| Device | Matertial | Thickness (nm) | Abs. a | Reflec. b (%) | JSC (mA/cm2) | VOC (V) | FF (%) | PCE (%) |
|---|---|---|---|---|---|---|---|---|
| 1 | 1 | 232 | NA | 40 | 2.26 | 0.90 | 35.0 | 0.71 |
| 2 | 1 | 146 | 0.451 | NA | 1.77 | 0.54 | 30.5 | 0.29 |
| 3 | 1 | 63 | 0.181 | NA | 2.15 | 0.05 | 25.5 | 0.03 |
| 4 | NP-1 | 124 | NA | 10 | 0.89 | 0.93 | 32.5 | 0.27 |
| 5 | NP-1 | 141 | 0.243 | NA | 0.44 | 0.76 | 28.0 | 0.09 |
| 6 | NP-1 | 101 | 0.130 | NA | 0.70 | 0.41 | 29.8 | 0.09 |



3.3.1. Morphology of Active Layers

4. Conclusions
Acknowledgments
References
- Helgesen, M.; Søndergaard, R.; Krebs, F.C. Advanced materials and processes for polymer solar cell devices. J. Mater. Chem. 2010, 20, 36–60. [Google Scholar]
- Cai, W.; Gong, X.; Cao, Y. Polymer solar cells: Recent development and possible routes for improvement in the performance. Sol. Energy Mater. Sol. Cells 2010, 94, 114–127. [Google Scholar] [CrossRef]
- Dennler, G.; Scharber, M.C.; Brabec, C.J. Polymer-fullerene bulk-heterojunction solar cells. Adv. Mater. 2009, 21, 1323–1338. [Google Scholar] [CrossRef]
- Peet, J.; Senatore, M.L.; Heeger, A.J.; Bazan, G.C. The role of processing in the fabrication and optimization of plastic solar cells. Adv. Mater. 2009, 21, 1521–1527. [Google Scholar] [CrossRef]
- Yang, X.; Loos, J. Toward high-performance polymer solar cells: The importance of morphology control. Macromolecules 2007, 40, 1353–1362. [Google Scholar] [CrossRef]
- Bertho, S.; Janssen, G.; Cleij, T.J.; Conings, B.; Moons, W.; Gadisa, A.; D’Haen, J.; Goovaerts, E.; Lutsen, L.; Mancaa, J.; Vanderzande, D. Effect of temperature on the morphological and photovoltaic stability of bulk heterojunction polymer:fullerene solar cells. Sol. Energy Mater. Sol. Cells 2008, 92, 753–760. [Google Scholar] [CrossRef]
- Paci, B.; Generosi, A.; Albertini, V.R.; Generosi, R.; Perfetti, P.; de Bettignies, R.; Sentein, C. Time-resolved morphological study of bulk heterojunction films for efficient organic solar devices. J. Phys. Chem. C 2008, 112, 9931–9936. [Google Scholar]
- Griffini, G.; Douglas, J.D.; Piliego, C.; Holcombe, T.W.; Turri, S.; Fréchet, J.M.J.; Mynar, J.L. Long-term thermal stability of high-efficiency polymer solar cells based on photocrosslinkable donor-acceptor conjugated polymers. Adv. Mater. 2011, 23, 1660–1664. [Google Scholar]
- Drees, M.; Hoppe, H.; Winder, C.; Neugebauer, H.; Sariciftci, N.S.; Schwinger, W.; Schäffler, F.; Topf, C.; Scharber, M.C.; Zhu, Z.; Gaudiana, R. Stabilization of the nanomorphology of polymer–fullerene “bulk heterojunction” blends using a novel polymerizable fullerene derivative. J. Mater. Chem. 2005, 15, 5158–5163. [Google Scholar]
- Senkovskyy, V.; Tkachov, R.; Beryozkina, T.; Komber, H.; Oertel, U.; Horecha, M.; Bocharova, V.; Stamm, M.; Gevorgyan, S.A.; Krebs, F.C.; Kiriy, A. “Hairy” poly(3-hexylthiophene) particles prepared via surface-initiated kumada catalyst-transfer polycondensation. J. Am. Chem. Soc. 2009, 131, 16445–16453. [Google Scholar]
- Krebs, F.C.; Senkovskyy, V.; Kiriy, A. Preorganization of nanostructured inks for roll-to-roll coated polymer solar cells. IEEE J. Sel. Topics Quant. Electron. 2010, 16, 1821–1826. [Google Scholar]
- Tkachov, R.; Senkovskyy, V.; Horecha, M.; Oertel, U.; Stamm, M.; Kiriy, A. Surface-initiated Kumada catalyst-transfer polycondensation of poly(9,9-dioctylfluorene) from organosilica particles: Chain-confinement promoted b-phase formation. Chem. Commun. 2010, 46, 1425–1427. [Google Scholar]
- Gupta, D.; Mukhopadhyay, S.; Narayan, K.S. Fill factor in organic solar cells. Sol. Energy Mater. Sol. Cells 2010, 94, 1309–1313. [Google Scholar] [CrossRef]
- Meier, C.; Gondorf, A.; Lüttjohann, S.; Lorke, A.; Wiggers, H. Silicon nanoparticles: Absorption, emission, and the nature of the electronic bandgap. J. Appl. Phys. 2007, 101, 103–112. [Google Scholar]
- Søndergaard, R.; Strobel, S.; Bundgaard, E.; Norrman, K.; Hansen, A.G.; Albert, E.; Csaba, G.; Lugli, P.; Tornow, M.; Krebs, F.C. Conjugated 12 nm long oligomers as molecular wires in nanoelectronics. J. Mater. Chem. 2009, 19, 3899–3908. [Google Scholar]
- Horcas, I.; Fernandez, R.; Gomez-Rodriguez, J.M.; Colchero, J.; Gomez-Herrero, J.; Baro, A.M. WSXM: A software for scanning probe microscopy and a tool for nanotechnology. Rev. Sci. Instrum. 2007, 78, 013705:1–013705:8. [Google Scholar]
- Baldwin, R.K.; Pettigrew, K.A.; Garno, J.C.; Power, P.P.; Liu, G.-y.; Kauzlarich, S.M. Room temperature solution synthesis of alkyl-capped tetrahedral shaped silicon nanocrystals. J. Am. Chem. Soc. 2002, 124, 1150–1151. [Google Scholar]
- Baldwin, R.K.; Pettigrew, K.A.; Ratai, E.; Augustine, M.P.; Kauzlarich, S.M. Solution reduction synthesis of surface stabilized silicon nanoparticles. Chem. Commun. 2002, 1822–1823. [Google Scholar]
- Lee, J.-L.; Kung, M.C.; Trahey, L.; Missaghi, M.N.; Kung, H.H. Nanocomposites derived from phenol-functionalized Si nanoparticles for high performance lithium ion battery anodes. Chem. Mater. 2009, 21, 6–8. [Google Scholar]
- Chen, L.; Pan, X.; Zheng, D.; Gao, Y.; Jiang, X.; Xu, M.; Chen, H. Hybrid solar cells based on P3HT and Si@MWCNT nanocomposite. Nanotechnology 2010, 21, 345201–345211. [Google Scholar]
- Ruckenstein, E.; Li, Z.F. Surface modification and functionalization through the self-assembled monolayer and graft polymerization. Adv. Colloid Interface Sci. 2005, 113, 43–63. [Google Scholar] [CrossRef]
- Andersen, T.R.; Larsen-Olsen, T.T.; Andreasen, B.; Böttiger, A.P.L.; Carlé, J.E.; Helgesen, M.; Bundgaard, E.; Norrman, K.; Andreasen, J.W.; Jørgensen, M.; Krebs, F.C. Aqueous processing of low-band-gap polymer solar cells using roll-to-roll methods. ACS Nano 2011, 5, 4188–4196. [Google Scholar]
- Nelles, J.; Sendor, D.; Ebbers, A.; Petrat, F.M.; Wiggers, H.; Schultz, C.; Simon, U. Functionalization of silicon nanoparticles via hydrosilylation with 1-alkenes. Colloid Polym. Sci. 2007, 285, 729–736. [Google Scholar] [CrossRef]
- Hirschman, K.D.; Tsybeskov, L.; Duttagupta, S.P.; Fauchet, P.M. Lilicon-based visible light-emitting devices integrated into microelectronic circuits. Lett. Nat. 1996, 384, 388–341. [Google Scholar]
Supporting Information
Synthesis
- The solvent was removed under reduced pressure; the residue was dissolved in heptane and washed with water. The organic phases were collected and the solvent was removed under reduced pressure, the residue was heated to 90 °C to remove residual naphthalene and meta-cresol resulting in a yellowish solid.
- The solvent was removed under reduced pressure. When all the solvent was removed the temperature was increased to 90 °C to remove residual naphthalene and meta-cresol resulting in a yellowish solid.
NMR Spectra

UV-Vis

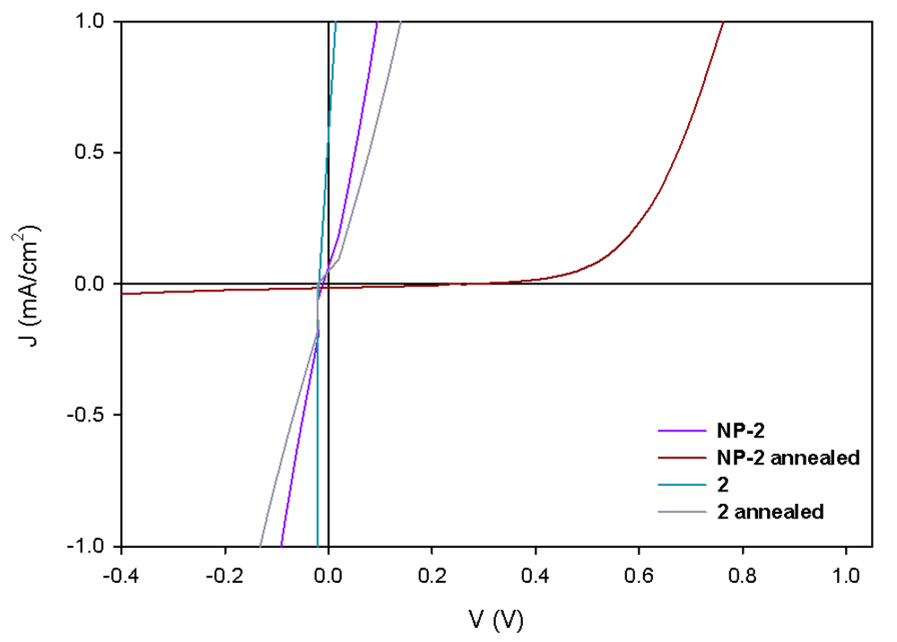
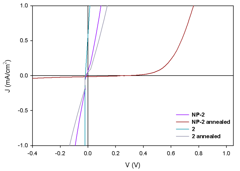
IV-Curves

© 2012 by the authors; licensee MDPI, Basel, Switzerland. This article is an open-access article distributed under the terms and conditions of the Creative Commons Attribution license (http://creativecommons.org/licenses/by/3.0/).
Share and Cite
Andersen, T.R.; Yan, Q.; Larsen-Olsen, T.T.; Søndergaard, R.; Li, Q.; Andreasen, B.; Norrman, K.; Jørgensen, M.; Yue, W.; Yu, D.; et al. A Nanoparticle Approach towards Morphology Controlled Organic Photovoltaics (OPV). Polymers 2012, 4, 1242-1258. https://doi.org/10.3390/polym4021242
Andersen TR, Yan Q, Larsen-Olsen TT, Søndergaard R, Li Q, Andreasen B, Norrman K, Jørgensen M, Yue W, Yu D, et al. A Nanoparticle Approach towards Morphology Controlled Organic Photovoltaics (OPV). Polymers. 2012; 4(2):1242-1258. https://doi.org/10.3390/polym4021242
Chicago/Turabian StyleAndersen, Thomas R., Quanxiang Yan, Thue T. Larsen-Olsen, Roar Søndergaard, Qi Li, Birgitta Andreasen, Kion Norrman, Mikkel Jørgensen, Wei Yue, Donghong Yu, and et al. 2012. "A Nanoparticle Approach towards Morphology Controlled Organic Photovoltaics (OPV)" Polymers 4, no. 2: 1242-1258. https://doi.org/10.3390/polym4021242
APA StyleAndersen, T. R., Yan, Q., Larsen-Olsen, T. T., Søndergaard, R., Li, Q., Andreasen, B., Norrman, K., Jørgensen, M., Yue, W., Yu, D., Krebs, F. C., Chen, H., & Bundgaard, E. (2012). A Nanoparticle Approach towards Morphology Controlled Organic Photovoltaics (OPV). Polymers, 4(2), 1242-1258. https://doi.org/10.3390/polym4021242
