Effective Deconstruction of Lignocellulose Through Oxidative Catalytic Fractionation Under Additive-Free Non-Alkaline System via Co-LDO Catalyst
Abstract
1. Introduction
2. Materials and Methods
2.1. Materials
2.2. Synthesis of Co-LDO
2.3. Catalyst Characterization
2.4. Oxidative Catalytic Fractionation of Poplar
2.5. Lignin Fraction Analysis
2.6. Characterization of Hemicellulose Component
3. Results and Discussion
3.1. Characterization of Co-LDO Catalyst
3.2. Structure–Activity Relationship Between Catalyst Properties and OCF Performance
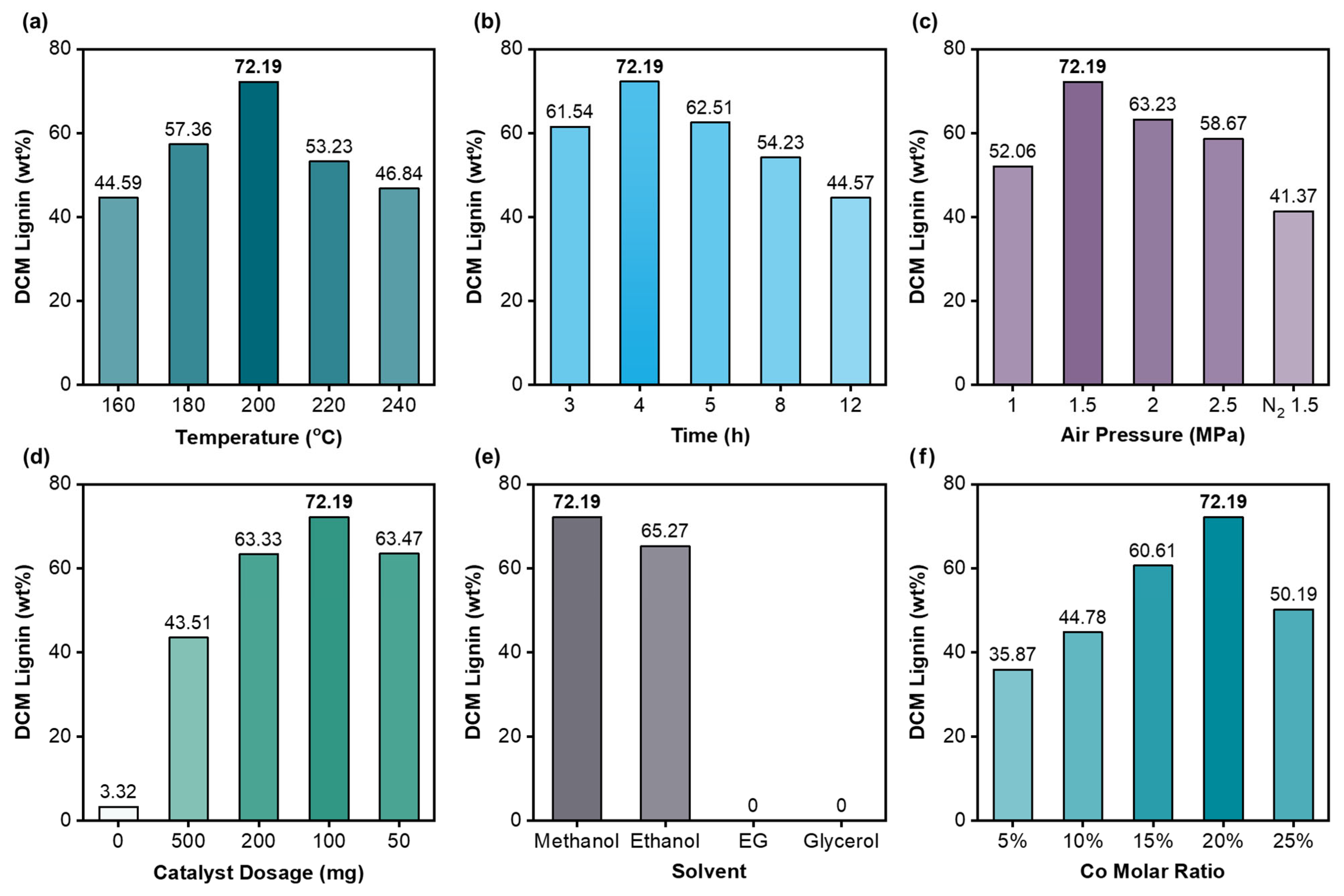
3.2.1. Exploration and Optimization of Lignin Degradation Conditions
3.2.2. Comparing the Poplar Conversion Efficiency of Different Metal-Doped LDOs
3.3. Structural Characterization of Carbohydrates Obtained After OCF
3.4. Structural Characterization and Degradation Mechanism of Lignin After OCF
3.4.1. Molecular Weight and Monomer Composition of Lignin DCM Oil
3.4.2. Structural Variation in Lignin Characterized by 2D-HSQC NMR
3.5. Mass Balance
4. Conclusions
Supplementary Materials
Author Contributions
Funding
Institutional Review Board Statement
Data Availability Statement
Conflicts of Interest
References
- Ragauskas, A.J.; Williams, C.K.; Davison, B.H.; Britovsek, G.; Cairney, J.; Eckert, C.A.; Frederick, W.J., Jr.; Hallett, J.P.; Leak, D.J.; Liotta, C.L.; et al. The path forward for biofuels and biomaterials. Science 2006, 311, 484–489. [Google Scholar] [CrossRef] [PubMed]
- Sun, Z.; Fridrich, B.; de Santi, A.; Elangovan, S.; Barta, K. Bright side of lignin depolymerization: Toward new platform chemicals. Chem. Rev. 2018, 118, 614–678. [Google Scholar] [CrossRef] [PubMed]
- Wang, W.; Zhou, Y.; Zhu, J.; Jin, Y.; Chen, J.; Liu, C.; Ma, J.; Nie, X.; Wang, P.; Wen, Y.; et al. Synergistic effect between Fe and Ni cations of LaFe1-xNixO3 perovskites enables efficient catalytic wet aerobic oxidation of corncob alkali lignin in base-free system to produce valuable aromatic aldehydes and acids. Chem. Eng. J. 2025, 518, 164485. [Google Scholar] [CrossRef]
- Alonso, D.M.; Hakim, S.H.; Zhou, S.; Won, W.; Hosseinaei, O.; Tao, J.; Garcia-Negron, V.; Motagamwala, A.H.; Mellmer, M.A.; Huang, K.; et al. Increasing the revenue from lignocellulosic biomass: Maximizing feedstock utilization. Sci. Adv. 2017, 3, e1603301. [Google Scholar] [CrossRef]
- Calcio Gaudino, E.; Cravotto, G.; Manzoli, M.; Tabasso, S. Sono- and mechanochemical technologies in the catalytic conversion of biomass. Chem. Soc. Rev. 2021, 50, 1785–1812. [Google Scholar] [CrossRef]
- Shuai, L.; Amiri, M.T.; Questell-Santiago, Y.M.; Heroguel, F.; Li, Y.; Kim, H.; Meilan, R.; Chapple, C.; Ralph, J.; Luterbacher, J.S. Formaldehyde stabilization facilitates lignin monomer production during biomass depolymerization. Science 2016, 354, 329–333. [Google Scholar] [CrossRef]
- Abu-Omar, M.M.; Barta, K.; Beckham, G.T.; Luterbacher, J.S.; Ralph, J.; Rinaldi, R.; Román-Leshkov, Y.; Samec, J.S.M.; Sels, B.F.; Wang, F. Guidelines for performing lignin-first biorefining. Energy Environ. Sci. 2021, 14, 262–292. [Google Scholar] [CrossRef]
- Bartling, A.W.; Stone, M.L.; Hanes, R.J.; Bhatt, A.; Zhang, Y.; Biddy, M.J.; Davis, R.; Kruger, J.S.; Thornburg, N.E.; Luterbacher, J.S.; et al. Techno-economic analysis and life cycle assessment of a biorefinery utilizing reductive catalytic fractionation. Energy Environ. Sci. 2021, 14, 4147–4168. [Google Scholar] [CrossRef]
- Zhang, H.; Sun, Q.; Liu, Y.-B.; Ma, C.-Y.; Wen, J.-L.; Li, Z.; Yuan, T.-Q. Green and efficient alkaline DES pretreatment for full-component fractionation of reed biomass: Hemicelluloses, uncondensed lignin and easily digestible cellulose. Chem. Eng. J. 2026, 527, 171659. [Google Scholar] [CrossRef]
- Meng, G.; Lan, W.; Zhang, L.; Wang, S.; Zhang, T.; Zhang, S.; Xu, M.; Wang, Y.; Zhang, J.; Yue, F.; et al. Synergy of single atoms and lewis acid sites for efficient and selective lignin disassembly into monolignol derivatives. J. Am. Chem. Soc. 2023, 145, 12884–12893. [Google Scholar] [CrossRef]
- Xiao, L.-P.; Wang, S.; Li, H.; Li, Z.; Shi, Z.-J.; Xiao, L.; Sun, R.-C.; Fang, Y.; Song, G. Catalytic hydrogenolysis of lignins into phenolic compounds over carbon nanotube supported molybdenum oxide. ACS Catal. 2017, 7, 7535–7542. [Google Scholar] [CrossRef]
- Zhang, Z.-H.; Wu, X.; Ren, X.; Rong, Z.; Sun, Z.; Barta, K.; Yuan, T.-Q. High yield production of 1,4-cyclohexanediol from lignin derived 2,6-dimethoxybenzoquinone via Raney NiMn catalyst in hydrogen free conditions. J. Energy Chem. 2023, 83, 275–286. [Google Scholar] [CrossRef]
- Van den Bosch, S.; Schutyser, W.; Vanholme, R.; Driessen, T.; Koelewijn, S.F.; Renders, T.; De Meester, B.; Huijgen, W.J.J.; Dehaen, W.; Courtin, C.M.; et al. Reductive lignocellulose fractionation into soluble lignin-derived phenolic monomers and dimers and processable carbohydrate pulps. Energy Environ. Sci. 2015, 8, 1748–1763. [Google Scholar] [CrossRef]
- Zhang, J.; Webber, M.S.; Pu, Y.; Li, Z.; Meng, X.; Stone, M.L.; Wei, B.; Wang, X.; Yuan, S.; Klein, B.; et al. Sustainable aviation fuels from biomass and biowaste via bio- and chemo-catalytic conversion: Catalysis, process challenges, and opportunities. Green Energy Environ. 2025, 10, 1210–1234. [Google Scholar] [CrossRef]
- González, D.; Santos, V.; Parajó, J.C. Manufacture of fibrous reinforcements for biocomposites and hemicellulosic oligomers from bamboo. Chem. Eng. J. 2011, 167, 278–287. [Google Scholar] [CrossRef]
- Schutyser, W.; Renders, T.; Van den Bosch, S.; Koelewijn, S.F.; Beckham, G.T.; Sels, B.F. Chemicals from lignin: An interplay of lignocellulose fractionation, depolymerisation, and upgrading. Chem. Soc. Rev. 2018, 47, 852–908. [Google Scholar] [CrossRef]
- Huang, X.; Morales Gonzalez, O.M.; Zhu, J.; Korányi, T.I.; Boot, M.D.; Hensen, E.J.M. Reductive fractionation of woody biomass into lignin monomers and cellulose by tandem metal triflate and Pd/C catalysis. Green Chem. 2017, 19, 175–187. [Google Scholar] [CrossRef]
- Zhu, Y.; Liao, Y.; Lu, L.; Lv, W.; Liu, J.; Song, X.; Wu, J.; Li, L.; Wang, C.; Ma, L.; et al. Oxidative catalytic fractionation of lignocellulose to high-yield aromatic aldehyde monomers and pure cellulose. ACS Catal. 2023, 13, 7929–7941. [Google Scholar] [CrossRef]
- Schutyser, W.; Kruger, J.S.; Robinson, A.M.; Katahira, R.; Brandner, D.G.; Cleveland, N.S.; Mittal, A.; Peterson, D.J.; Meilan, R.; Román-Leshkov, Y.; et al. Revisiting alkaline aerobic lignin oxidation. Green Chem. 2018, 20, 3828–3844. [Google Scholar] [CrossRef]
- Zirbes, M.; Quadri, L.L.; Breiner, M.; Stenglein, A.; Bomm, A.; Schade, W.; Waldvogel, S.R. high-temperature electrolysis of kraft lignin for selective vanillin formation. ACS Sustain. Chem. Eng. 2020, 8, 7300–7307. [Google Scholar] [CrossRef]
- Zhu, Y.; Liao, Y.; Lv, W.; Liu, J.; Song, X.; Chen, L.; Wang, C.; Sels, B.F.; Ma, L. Complementing vanillin and cellulose production by oxidation of lignocellulose with stirring control. ACS Sustain. Chem. Eng. 2020, 8, 2361–2374. [Google Scholar] [CrossRef]
- Liu, M.; Dyson, P.J. Direct conversion of lignin to functionalized diaryl ethers via oxidative cross-coupling. Nat. Commun. 2023, 14, 2830. [Google Scholar] [CrossRef] [PubMed]
- Langis-Barsetti, S.; Beaudoin, D.; Palus, E.; Gagné, A. High-yield production of aromatic aldehydes from lignin via oxidative depolymerization. ACS Sustain. Chem. Eng. 2025, 13, 20846–20853. [Google Scholar] [CrossRef]
- Sun, Z.; Bottari, G.; Afanasenko, A.; Stuart, M.C.A.; Deuss, P.J.; Fridrich, B.; Barta, K. Complete lignocellulose conversion with integrated catalyst recycling yielding valuable aromatics and fuels. Nat. Catal. 2018, 1, 82–92. [Google Scholar] [CrossRef]
- Peng, F.; Ren, J.-L.; Xu, F.; Bian, J.; Peng, P.; Sun, R.-C. Comparative study of hemicelluloses obtained by graded ethanol precipitation from sugarcane bagasse. J. Agric. Food Chem. 2009, 57, 6305–6317. [Google Scholar] [CrossRef]
- Li, C.; Zhao, X.; Wang, A.; Huber, G.W.; Zhang, T. Catalytic transformation of lignin for the production of chemicals and fuels. Chem. Rev. 2015, 115, 11559–11624. [Google Scholar] [CrossRef]
- Luo, Z.; Liu, C.; Radu, A.; de Waard, D.F.; Wang, Y.; Behaghel de Bueren, J.T.; Kouris, P.D.; Boot, M.D.; Xiao, J.; Zhang, H.; et al. Carbon–carbon bond cleavage for a lignin refinery. Nat. Chem. Eng. 2024, 1, 61–72. [Google Scholar] [CrossRef]
- Luo, H.; Weeda, E.P.; Alherech, M.; Anson, C.W.; Karlen, S.D.; Cui, Y.; Foster, C.E.; Stahl, S.S. oxidative catalytic fractionation of lignocellulosic biomass under non-alkaline conditions. J. Am. Chem. Soc. 2021, 143, 15462–15470. [Google Scholar] [CrossRef]
- Renders, T.; Schutyser, W.; Van den Bosch, S.; Koelewijn, S.-F.; Vangeel, T.; Courtin, C.M.; Sels, B.F. influence of acidic (H3PO4) and alkaline (NaOH) additives on the catalytic reductive fractionation of lignocellulose. ACS Catal. 2016, 6, 2055–2066. [Google Scholar] [CrossRef]
- Zhou, Y.; Xiong, W.; Jin, Y.; Wang, P.; Wei, W.; Ma, J.; Zhang, X. Catalytic aerobic oxidation of lignin-based vanillyl alcohol under base-free conditions over an efficient and reusable LaFeO3 perovskite for vanillin production. Green Chem. 2023, 25, 1179–1190. [Google Scholar] [CrossRef]
- Du, X.; Tricker, A.W.; Yang, W.; Katahira, R.; Liu, W.; Kwok, T.T.; Gogoi, P.; Deng, Y. Oxidative catalytic fractionation and depolymerization of lignin in a one-pot single-catalyst system. ACS Sustain. Chem. Eng. 2021, 9, 7719–7727. [Google Scholar] [CrossRef]
- Cui, Y.; Weeda, E.P.; Omolabake, S.; Karlen, S.D.; Holland, C.M.; Stahl, S.S. Oxidative catalytic fractionation of lignocellulosic biomass using a Co-N-P-C catalyst and one-step isolation of aromatic monomers via centrifugal partition chromatography. ACS Sustain. Chem. Eng. 2024, 12, 9795–9804. [Google Scholar] [CrossRef]
- Klein, I.; Marcum, C.; Kenttämaa, H.; Abu-Omar, M.M. Mechanistic investigation of the Zn/Pd/C catalyzed cleavage and hydrodeoxygenation of lignin. Green Chem. 2016, 18, 2399–2405. [Google Scholar] [CrossRef]
- Rinesch, T.; Bolm, C. Cobalt-Catalyzed Oxidation of the β-O-4 bond in lignin and lignin model compounds. ACS Omega 2018, 3, 8386–8392. [Google Scholar] [CrossRef] [PubMed]
- Gu, N.X.; Palumbo, C.T.; Bleem, A.C.; Sullivan, K.P.; Haugen, S.J.; Woodworth, S.P.; Ramirez, K.J.; Kenny, J.K.; Stanley, L.D.; Katahira, R.; et al. Autoxidation catalysis for carbon-carbon bond cleavage in lignin. ACS Cent. Sci. 2023, 9, 2277–2285. [Google Scholar] [CrossRef]
- Gao, D.; Ouyang, D.; Zhao, X. Controllable oxidative depolymerization of lignin to produce aromatic aldehydes and generate electricity under mild conditions with direct biomass fuel cells as flexible reactors. Chem. Eng. J. 2024, 479, 147874. [Google Scholar] [CrossRef]
- Huo, L.; Wang, T.; Pu, Y.; Li, C.; Li, L.; Zhai, M.; Qiao, C.; Bai, Y. Effect of Cobalt doping on the stability of CaO-based catalysts for dimethyl carbonate synthesis via the transesterification of propylene carbonate with methanol. ChemistrySelect 2021, 6, 10226–10237. [Google Scholar] [CrossRef]
- Lv, W.-L.; He, L.; Li, W.-C.; Zhou, B.-C.; Lv, S.-P.; Lu, A.-H. Atomically dispersed Co2+ on MgAlOx boosting C4-10 alcohols selectivity of ethanol valorization. Green Chem. 2023, 25, 2653–2662. [Google Scholar] [CrossRef]
- Ma, C.Y.; Xu, L.H.; Zhang, C.; Guo, K.N.; Yuan, T.Q.; Wen, J.L. A synergistic hydrothermal-deep eutectic solvent (DES) pretreatment for rapid fractionation and targeted valorization of hemicelluloses and cellulose from poplar wood. Bioresour. Technol. 2021, 341, 125828. [Google Scholar] [CrossRef]
- Sun, Q.; Wang, B.; Huang, H.; Ma, C.-Y.; Ma, Y.; Shen, X.; Cao, X.; Sun, Z.; Zhang, L.; Yuan, T.-Q. Pressure-assisted hydrothermal pretreatment for biorefinery to enhance pulp production. Chem. Eng. J. 2024, 487, 150758. [Google Scholar] [CrossRef]
- Yuan, Z.; Klinger, G.E.; Nikafshar, S.; Cui, Y.; Fang, Z.; Alherech, M.; Goes, S.; Anson, C.; Singh, S.K.; Bals, B.; et al. Effective biomass fractionation through oxygen-enhanced alkaline-oxidative pretreatment. ACS Sustain. Chem. Eng. 2021, 9, 1118–1127. [Google Scholar] [CrossRef]
- Ma, C.Y.; Xu, L.H.; Sun, Q.; Sun, S.N.; Cao, X.F.; Wen, J.L.; Yuan, T.Q. Ultrafast alkaline deep eutectic solvent pretreatment for enhancing enzymatic saccharification and lignin fractionation from industrial xylose residue. Bioresour. Technol. 2022, 352, 127065. [Google Scholar] [CrossRef]
- Andriani, F.; Lawoko, M. Oxidative Carboxylation of Lignin: Exploring Reactivity of Different Lignin Types. Biomacromolecules 2024, 25, 4246–4254. [Google Scholar] [CrossRef] [PubMed]
- Yu, X.; Wei, Z.; Lu, Z.; Pei, H.; Wang, H. Activation of lignin by selective oxidation: An emerging strategy for boosting lignin depolymerization to aromatics. Bioresour. Technol. 2019, 291, 121885. [Google Scholar] [CrossRef]
- Palumbo, C.T.; Gu, N.X.; Bleem, A.C.; Sullivan, K.P.; Katahira, R.; Stanley, L.M.; Kenny, J.K.; Ingraham, M.A.; Ramirez, K.J.; Haugen, S.J.; et al. Catalytic carbon-carbon bond cleavage in lignin via manganese-zirconium-mediated autoxidation. Nat. Commun. 2024, 15, 862. [Google Scholar] [CrossRef]
- Xu, E.; Xie, F.; Liu, T.; He, J.; Zhang, Y. Photocatalytic, Oxidative cleavage of C-C bond in lignin models and native lignin. Chem.-Eur. J. 2024, 30, e202304209. [Google Scholar] [CrossRef]
- Wen, J.-L.; Sun, S.-L.; Yuan, T.-Q.; Sun, R.-C. Structural elucidation of whole lignin from eucalyptus based on preswelling and enzymatic hydrolysis. Green Chem. 2015, 17, 1589–1596. [Google Scholar] [CrossRef]








Disclaimer/Publisher’s Note: The statements, opinions and data contained in all publications are solely those of the individual author(s) and contributor(s) and not of MDPI and/or the editor(s). MDPI and/or the editor(s) disclaim responsibility for any injury to people or property resulting from any ideas, methods, instructions or products referred to in the content. |
© 2026 by the authors. Licensee MDPI, Basel, Switzerland. This article is an open access article distributed under the terms and conditions of the Creative Commons Attribution (CC BY) license.
Share and Cite
Zhang, H.; Yan, W.; Wang, Y.; Ma, C.-Y.; Zhuang, C. Effective Deconstruction of Lignocellulose Through Oxidative Catalytic Fractionation Under Additive-Free Non-Alkaline System via Co-LDO Catalyst. Polymers 2026, 18, 922. https://doi.org/10.3390/polym18080922
Zhang H, Yan W, Wang Y, Ma C-Y, Zhuang C. Effective Deconstruction of Lignocellulose Through Oxidative Catalytic Fractionation Under Additive-Free Non-Alkaline System via Co-LDO Catalyst. Polymers. 2026; 18(8):922. https://doi.org/10.3390/polym18080922
Chicago/Turabian StyleZhang, Haozhi, Wei Yan, Ying Wang, Cheng-Ye Ma, and Changfu Zhuang. 2026. "Effective Deconstruction of Lignocellulose Through Oxidative Catalytic Fractionation Under Additive-Free Non-Alkaline System via Co-LDO Catalyst" Polymers 18, no. 8: 922. https://doi.org/10.3390/polym18080922
APA StyleZhang, H., Yan, W., Wang, Y., Ma, C.-Y., & Zhuang, C. (2026). Effective Deconstruction of Lignocellulose Through Oxidative Catalytic Fractionation Under Additive-Free Non-Alkaline System via Co-LDO Catalyst. Polymers, 18(8), 922. https://doi.org/10.3390/polym18080922

