Effects of Molecular Length and Polarity of Chain Extenders on Microphase Separation and on Thermal and Mechanical Properties of Rigid Polyurethane Foam
Abstract
1. Introduction
2. Materials and Methods
2.1. Materials
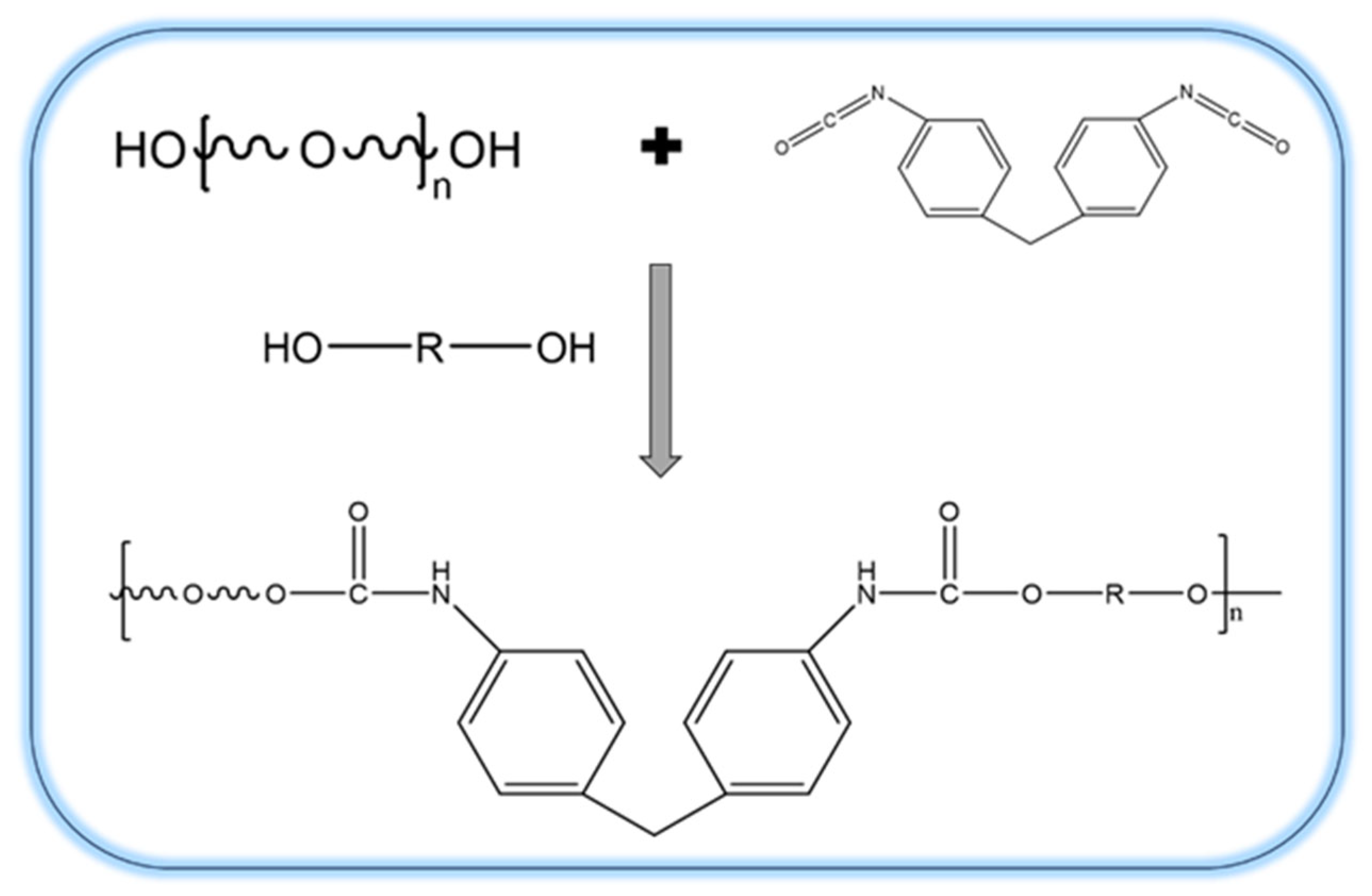
2.2. Preparation of Foams
2.3. Characterization
3. Results and Discussion
3.1. FTIR Analysis
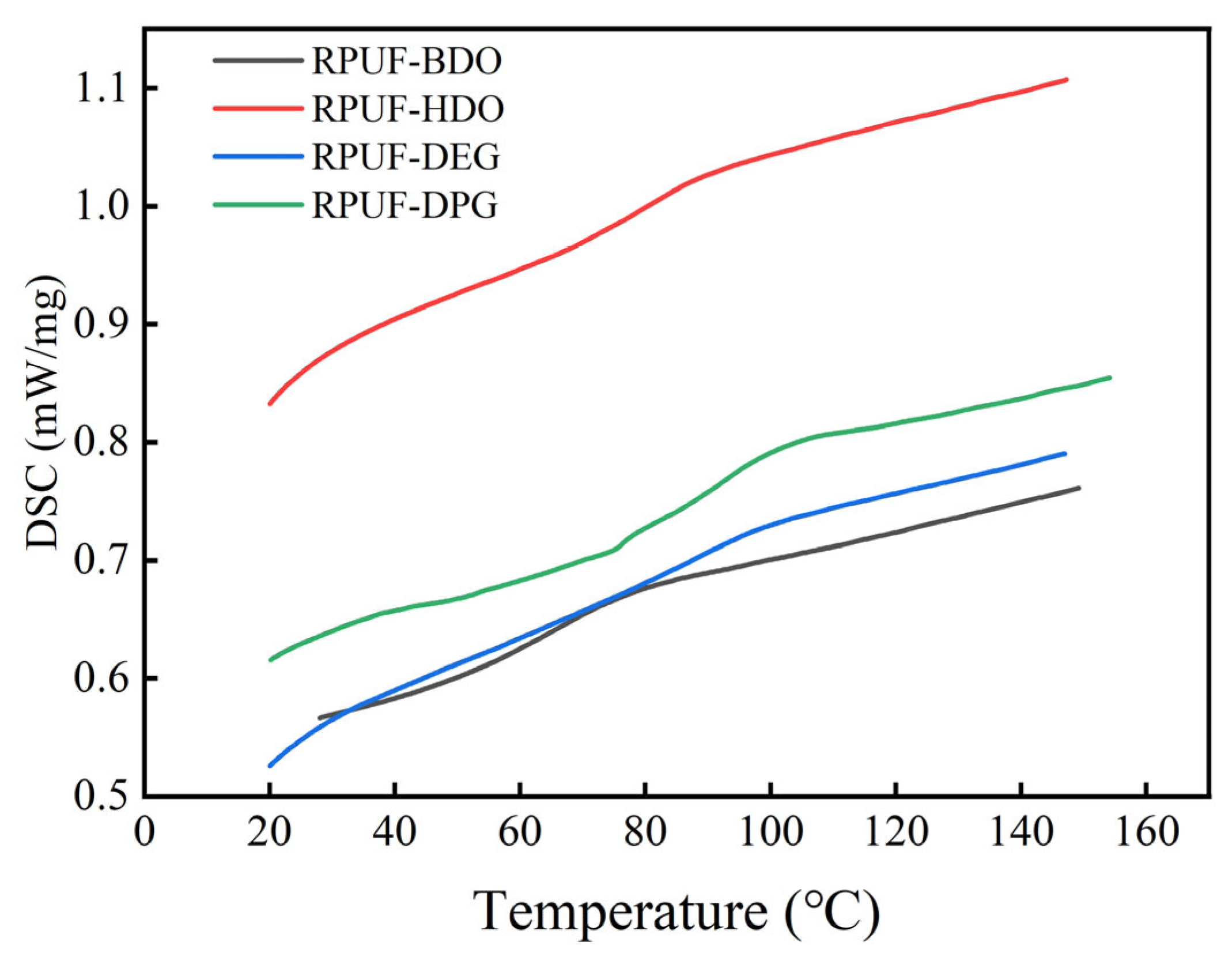
3.2. Thermal Properties
3.3. Cell Morphology
3.4. Apparent Density
3.5. Mechanical Properties
4. Conclusions
- 1.
- The longer the molecular chain, the lower the degree of microphase separation, the stronger the binding ability of the hard segment on the soft segment, the more difficult the movement of the soft segment, and the higher the Tg.
- 2.
- For RPUF-BDO and RPUF-DEG samples, the effect of increasing hydrogen bond content on the degree of microphase separation in the soft and hard segments is smaller than that of molecular chain length.
- 3.
- When BDO is added to polyurethane as the chain extender, the dense packing of molecular chains and the hydrogen bond formed between them improve the microphase separation degree of soft and hard segments, thereby imparting the optimal overall performance to the material.
Author Contributions
Funding
Institutional Review Board Statement
Data Availability Statement
Conflicts of Interest
References
- Luo, N.; Wang, D.N.; Ying, S.K. Hydrogen bonding between urethane and urea: Band assignment for the carbonyl region of FT i.r. spectrum. Polymer 1996, 37, 3045–3047. [Google Scholar] [CrossRef]
- Das, A.; Mahanwar, P. A brief discussion on advances in polyurethane applications. Adv. Ind. Eng. Polym. Res. 2020, 3, 93–101. [Google Scholar] [CrossRef]
- Xu, J.; Su, X.; Xue, D.; Sun, Y.; Li, X.; Wang, R.; Xu, K.; Ma, T.; Bai, Z.; Zhang, L. Multifunctional Polyphenol Derivatives Ena-ble Tough, Durable Polyurethane Foam for Vibration and Noise Reduction. ACS Appl. Polym. Mater. 2025, 7, 12657–12670. [Google Scholar] [CrossRef]
- Santos, M.; Sampaio, B.; Alarico, S.; Mariz, M.; Ferreira, P. Synthesis of Glucose-Based Polyurethane Foams and the Influence of Additives. ACS Sustain. Chem. Eng. 2025, 13, 17072–17082. [Google Scholar] [CrossRef]
- Hu, S.; Chen, S. Analysis of the Influence of Polyurethane Microphase Separation Structure on Mechanical Properties. Plastics 2023, 52, 109–114. [Google Scholar]
- Liu, K.; Liang, W.; Ren, F.; Ren, J.; Wang, F.; Ding, H. The Study on Compressive Mechanical Properties of Rigid Polyurethane Grout Materials with Different Densities. Constr. Build. Mater. 2019, 206, 270–278. [Google Scholar] [CrossRef]
- You, G.; Wang, J.; Wang, C.; Zhou, X.; Zhou, X.; Liu, L. Effect of Side Methyl from Mixed Diamine Chain Extenders on Microphase Separation and Morphology of Polyurethane Fiber. Mater. Res. Express 2019, 6, 095301. [Google Scholar] [CrossRef]
- Vlad, S. Influence of the Chain Extender Length and Diisocyanate Amount on the Thermal Stability and Mechanical Properties of Some Polyurethanes. Mater. Plast. 2008, 45, 394–397. [Google Scholar]
- Rahman, M.M.; Kim, H.-D.; Lee, W.-K. Properties of Waterborne Polyurethane Adhesives: Effect of Chain Extender and Polyol Content. J. Adhes. Sci. Technol. 2009, 23, 177–193. [Google Scholar] [CrossRef]
- Pourmohammadi-Mahunaki, M.; Haddadi-Asl, V.; Roghani-Mamaqani, H.; Koosha, M.; Yazdi, M. Effect of Chain Extender Length and Molecular Architecture on Phase Separation and Rheological Properties of Ether-Based Polyurethanes. Polym. Bull. 2022, 79, 8653–8668. [Google Scholar] [CrossRef]
- Wang, Y.; Sun, L. Preparation and characterization of polyurethane based on mixed chain extended by trianiline /BDO. China Elastomerics 2019, 29, 27–31. [Google Scholar] [CrossRef]
- Peyrton, J.; Avérous, L. Structure-Properties Relationships of Cellular Materials from Biobased Polyurethane Foams. Mater. Sci. Eng. R Rep. 2021, 145, 100608. [Google Scholar] [CrossRef]
- Thirumal, M.; Khastgir, D.; Singha, N.K.; Manjunath, B.S.; Naik, Y.P. Effect of Foam Density on the Properties of Water Blown Rigid Polyurethane Foam. J. Appl. Polym. Sci. 2008, 108, 1810–1817. [Google Scholar] [CrossRef]
- Qian, X.; Liu, Q.; Zhang, L.; Li, H.; Liu, J.; Yan, S. Synthesis of reac-tive DOPO-based flame retardant and its application in rigidpolyisocyanurate-polyurethane foam. Polym. Degrad. Stab. 2022, 197, 109852. [Google Scholar] [CrossRef]
- Hu, S.; Shou, T.; Fu, G.; Zhao, X.; Wang, Z.; Zhang, L. New Stratagem for Designing High-Performance Thermoplastic Polyurethane by Using a New Chain Extender. Macromol. Chem. Phys. 2021, 222, 2000439. [Google Scholar] [CrossRef]
- Lee, C.-F.; Chen, C.-W.; Rwei, S.-P.; Chuang, F.-S. Thermal Behavior and Morphology of Thermoplastic Polyurethane Derived from Different Chain Extenders of 1,3- and 1,4-Butanediol. Appl. Sci. 2021, 11, 698. [Google Scholar] [CrossRef]
- Wang, H.; Cao, L. Effects of Different Diol Chain Extenders on Hydrogen Bonding and Properties of TPU. Polyurethane Ind. 2020, 35, 16–18. [Google Scholar]
- Zhou, X.; Yi, Y. Effect of Chain Extender on Structure and Properties of MDI Polyurethane. Polym. Mater. Sci. Eng. 2022, 38, 15–20. [Google Scholar]
- Jiang, K.; Chen, W.; Liu, X.; Wang, Y.; Han, D.; Zhang, Q. Effect of Bio-Based Polyols and Chain Extender on the Microphase Separation Structure, Mechanical Properties and Morphology of Rigid Polyurethane Foams. Eur. Polym. J. 2022, 179, 111572. [Google Scholar] [CrossRef]
- GB/T 8813-2020; Determination of the Compressive Properties of Rigid Foam Plastics. Chinese National Standards: Beijing, China, 2020.
- GB/T9341-2008; Plastics-Determination of Flexural Properties. Chinese National Standards: Beijing, China, 2008.
- Luo, Q.; Chen, J.; Gnanasekar, P.; Ma, X.; Qin, D.; Na, H.; Zhu, J.; Yan, N. Highly Cross-Linked and Stable Shape-Memory Polyurethanes Containing a Planar Ring Chain Extender. ACS Appl. Polym. Mater. 2020, 2, 5259–5268. [Google Scholar] [CrossRef]
- Çalışkan, E.; Çanak, T.Ç.; Karahasanoğlu, M.; Serhatlı, I.E. Synthesis and characterization of phosphorus-based flame retardant containing rigid polyurethane foam. J. Therm. Anal. Calorim. 2022, 147, 4119–4129. [Google Scholar] [CrossRef]
- Kim, B.K.; Lee, J.C. FTIR and thermal study of hydrogen bonding in polyurethane. Polymer 1996, 37, 469–475. [Google Scholar] [CrossRef]
- Yilgör, I.; Yilgör, E.; Wilkes, G.L. Critical parameters in designing segmented polyurethanes and their effect on morphology and properties: A Comprehensive Review. Polymer 2015, 58, A1–A36. [Google Scholar] [CrossRef]










| Chain Extender | Abbreviation | Chemical Construction |
|---|---|---|
| butane-1,4-diol | BDO | ![]() |
| hexane-1,6-diol | HDO | ![]() |
| 2,2′-oxybis(ethan-1-ol) | DEG | ![]() |
| 3,3′-oxybis(propan-1-ol) | DPG | ![]() |
| Chain Extender | RPUF-BDO | RPUF-HDO | RPUF-DEG | RPUF-DPG |
|---|---|---|---|---|
| 4110S | 50 | 50 | 50 | 50 |
| BDO | 8 | 0 | 0 | 0 |
| HDO | 0 | 20.98 | 0 | 0 |
| DEG | 0 | 0 | 18.84 | 0 |
| DPG | 0 | 0 | 0 | 23.82 |
| H2O | 1 | 1 | 1 | 1 |
| A33 | 0.5 | 0.5 | 0.5 | 0.5 |
| A158 | 0.5 | 0.5 | 0.5 | 0.5 |
| MDI | 187.02 | 187.02 | 187.02 | 187.02 |
| Sample | RPUF-BDO | RPUF-HDO | RPUF-DEG | RPUF-DPG |
|---|---|---|---|---|
| Tg (°C) | 57.2 | 78.7 | 67.6 | 87.5 |
Disclaimer/Publisher’s Note: The statements, opinions and data contained in all publications are solely those of the individual author(s) and contributor(s) and not of MDPI and/or the editor(s). MDPI and/or the editor(s) disclaim responsibility for any injury to people or property resulting from any ideas, methods, instructions or products referred to in the content. |
© 2026 by the authors. Licensee MDPI, Basel, Switzerland. This article is an open access article distributed under the terms and conditions of the Creative Commons Attribution (CC BY) license.
Share and Cite
Liu, Y.; Tian, R.; Hao, X.; Tang, D.; Fang, Y.; Liu, X.; Sun, M.; Zhuang, T. Effects of Molecular Length and Polarity of Chain Extenders on Microphase Separation and on Thermal and Mechanical Properties of Rigid Polyurethane Foam. Polymers 2026, 18, 355. https://doi.org/10.3390/polym18030355
Liu Y, Tian R, Hao X, Tang D, Fang Y, Liu X, Sun M, Zhuang T. Effects of Molecular Length and Polarity of Chain Extenders on Microphase Separation and on Thermal and Mechanical Properties of Rigid Polyurethane Foam. Polymers. 2026; 18(3):355. https://doi.org/10.3390/polym18030355
Chicago/Turabian StyleLiu, Yaonan, Renchun Tian, Xinling Hao, Danning Tang, Yanchen Fang, Xihuan Liu, Mingliang Sun, and Tao Zhuang. 2026. "Effects of Molecular Length and Polarity of Chain Extenders on Microphase Separation and on Thermal and Mechanical Properties of Rigid Polyurethane Foam" Polymers 18, no. 3: 355. https://doi.org/10.3390/polym18030355
APA StyleLiu, Y., Tian, R., Hao, X., Tang, D., Fang, Y., Liu, X., Sun, M., & Zhuang, T. (2026). Effects of Molecular Length and Polarity of Chain Extenders on Microphase Separation and on Thermal and Mechanical Properties of Rigid Polyurethane Foam. Polymers, 18(3), 355. https://doi.org/10.3390/polym18030355




