Effect of Artificial Neural Network Design Parameters for Prediction of PS/TiO2 Nanofiber Diameter
Abstract
1. Introduction
2. Materials and Methods
2.1. Preparation of PS and PS/TiO2 Nanofibers
2.2. Imaging PS and PS/TiO2 Nanofibers and Nanofiber Diameter Size Analysis
2.3. Characterization and Antibacterial Activity of PS and PS/TiO2 Nanofibers
2.4. Artificial Neural Network (ANN) Modeling
2.4.1. Datasets and Data Collection
2.4.2. Multilayer Perceptron (MLP) Network Model, Design Factors, Training Parameters
2.4.3. Radial Basis Function (RBF) Network Model, Design Factors, Training Parameters
2.4.4. Model Evaluation
3. Results
3.1. Morphology and Diameter of PS and PS/TiO2 Nanofibers
3.2. Structural Characterization and Antibacterial Activity of PS and PS/TiO2 Nanofibers
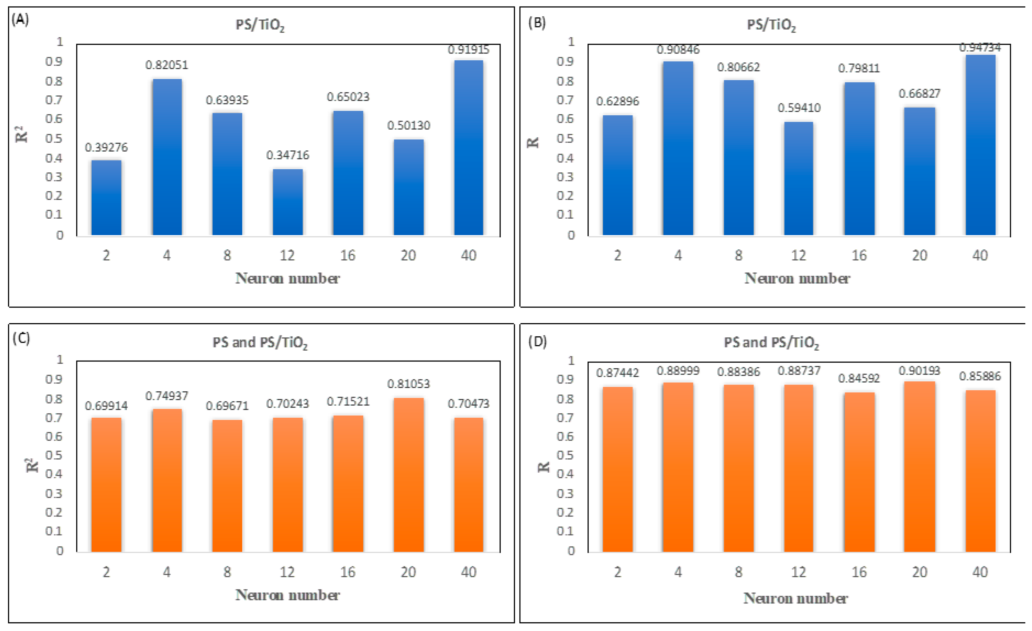
3.3. MLP Network Modeling
3.3.1. Prediction Performance of Class 1 and Class 2 Nanofibers
3.3.2. Validation Performance of MLP Model Outputs
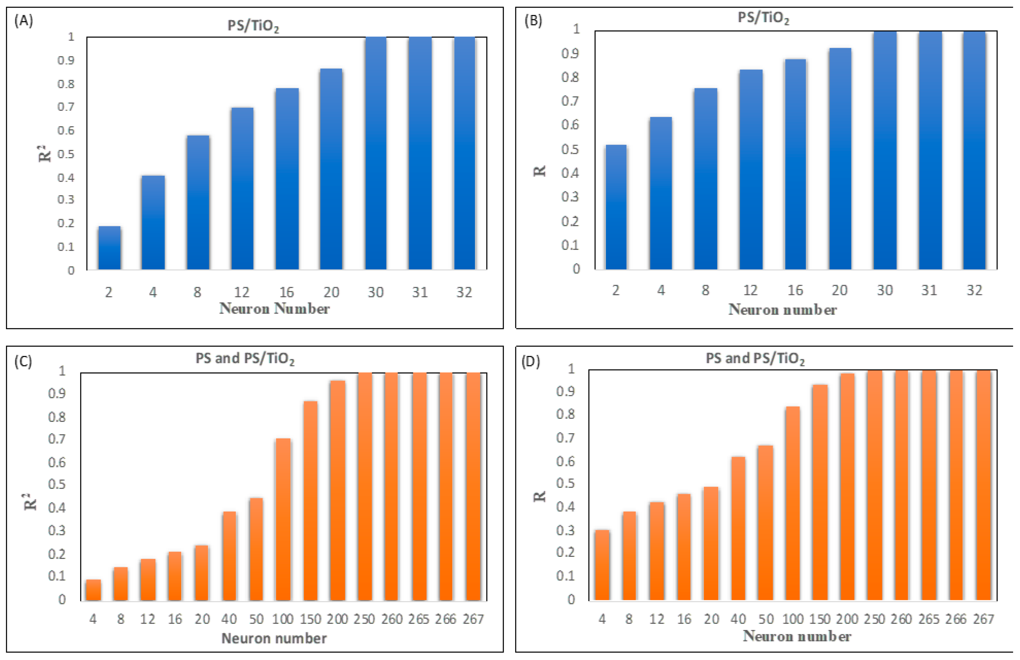
3.4. RBF Network Modeling
Performances of Class 1 and Class 2 Nanofibers and Validation of RBF Model Outputs
3.5. ANN Models’ Comparison
4. Discussion
5. Conclusions
Author Contributions
Funding
Data Availability Statement
Conflicts of Interest
References
- Aydın, R.S.T.; Eroğlu, A.N.; Karakeçili, A.; Çalımlı, A. Designing double-layered nanofibrous membranes as a wound dressing material. Fibers Polym. 2016, 17, 1765–1775. [Google Scholar] [CrossRef]
- Gümüşderelioğlu, M.; Dalkıranoğlu, S.; Aydın, R.S.T.; Çakmak, S. A novel dermal substitute based on biofunctionalized electrospun PCL nanofibrous matrix. J. Biomed. Mater. Res. Part A 2011, 98A, 461–472. [Google Scholar] [CrossRef] [PubMed]
- Tamura, T.; Kawakami, H. Aligned Electrospun Nanofiber Composite Membranes for Fuel Cell Electrolytes. Nano Lett. 2010, 10, 1324–1328. [Google Scholar] [CrossRef]
- Kulkarni, S.A.; Mhaisalkar, S.G.; Mathews, N.; Boix, P.P. Perovskite Nanoparticles: Synthesis, Properties, and Novel Applications in Photovoltaics and LEDs. Small Methods 2019, 3, 1800231. [Google Scholar] [CrossRef]
- Fang, J.; Wang, X.; Lin, T. Functional applications of electrospun nanofibers. Nanofibers-Prod. Prop. Funct. Appl. 2011, 14, 287–302. [Google Scholar]
- Chen, M.; Patra, P.K.; Warner, S.B.; Bhowmick, S. Role of fiber diameter in adhesion and proliferation of NIH 3T3 fibroblast on electrospun polycaprolactone scaffolds. Tissue Eng. 2007, 13, 579–587. [Google Scholar] [CrossRef]
- Nasouri, K.; Bahrambeygi, H.; Rabbi, A.; Shoushtari, A.M.; Kaflou, A. Modeling and optimization of electrospun PAN nanofiber diameter using response surface methodology and artificial neural networks. J. Appl. Polym. Sci. 2012, 126, 127–135. [Google Scholar] [CrossRef]
- Brooks, H.; Tucker, N. Electrospinning predictions using artificial neural networks. Polymer 2015, 58, 22–29. [Google Scholar] [CrossRef][Green Version]
- Ahmadipourroudposht, M.; Fallahiarezoudar, E.; Yusof, N.M.; Idris, A. Application of response surface methodology in optimization of electrospinning process to fabricate (ferrofluid/polyvinyl alcohol) magnetic nanofibers. Mater. Sci. Eng. C 2015, 50, 234–241. [Google Scholar] [CrossRef]
- Kalantary, S.; Jahani, A.; Pourbabaki, R.; Beigzadeh, Z. Application of ANN modeling techniques in the prediction of the diameter of PCL/gelatin nanofibers in environmental and medical studies. RSC Adv. 2019, 9, 24858–24874. [Google Scholar] [CrossRef]
- Zhou, H.; Shi, Z.; Wan, X.; Fang, H.; Yu, D.-G.; Chen, X.; Liu, P. The relationships between process parameters and polymeric nanofibers fabricated using a modified coaxial electrospinning. Nanomaterials 2019, 9, 843. [Google Scholar] [CrossRef]
- Tao, H.C.; Wu, T.Y.; Aldeghi, M.; Wu, T.C.; Aspuru-Guzik, A.; Kumacheva, E. Nanoparticle synthesis assisted by machine learning. Nat. Rev. Mater. 2021, 6, 701–716. [Google Scholar] [CrossRef]
- Youshia, J.; Ali, M.E.; Lamprecht, A. Artificial neural network based particle size prediction of polymeric nanoparticles. Eur. J. Pharm. Biopharm. 2017, 119, 333–342. [Google Scholar] [CrossRef]
- Khan, K.-U.-H.; Siddiqui, I.A. A predictive model for electrospun based Polyvinyl alcohol (PVA) nanofibers diameter using an artificial neural network. Sci. Rep. 2025, 15, 21591. [Google Scholar] [CrossRef]
- Ma, M.; Zhou, H.; Gao, S.; Li, N.; Guo, W.; Dai, Z. Analysis and Prediction of Electrospun Nanofiber Diameter Based on Artificial Neural Network. Polymers 2023, 15, 2813. [Google Scholar] [CrossRef]
- Sarkar, K.; Ghalia, M.B.; Wu, Z.; Bose, S.C. A neural network model for the numerical prediction of the diameter of electro-spun polyethylene oxide nanofibers. J. Mater. Process. Technol. 2009, 209, 3156–3165. [Google Scholar] [CrossRef]
- Khanlou, H.M.; Sadollah, A.; Ang, B.C.; Kim, J.H.; Talebian, S.; Ghadimi, A. Prediction and optimization of electrospinning parameters for polymethyl methacrylate nanofiber fabrication using response surface methodology and artificial neural networks. Neural Comput. Appl. 2014, 25, 767–777. [Google Scholar] [CrossRef]
- Nasouri, K.; Shoushtari, A.M.; Khamforoush, M. Comparison between artificial neural network and response surface methodology in the prediction of the production rate of polyacrylonitrile electrospun nanofibers. Fibers Polym. 2013, 14, 1849–1856. [Google Scholar] [CrossRef]
- Faridi-Majidi, R.; Ziyadi, H.; Naderi, N.; Amani, A. Use of artificial neural networks to determine parameters controlling the nanofibers diameter in electrospinning of nylon-6, 6. J. Appl. Polym. Sci. 2012, 124, 1589–1597. [Google Scholar] [CrossRef]
- Karimi, M.A.; Pourhakkak, P.; Adabi, M.; Firoozi, S.; Adabi, M.; Naghibzadeh, M. Using an artificial neural network for the evaluation of the parameters controlling PVA/chitosan electrospun nanofibers diameter. e-Polymers 2015, 15, 127–138. [Google Scholar] [CrossRef]
- Rabbi, A.; Nasouri, K.; Bahrambeygi, H.; Shoushtari, A.M.; Babaei, M.R. RSM and ANN approaches for modeling and optimizing of electrospun polyurethane nanofibers morphology. Fibers Polym. 2012, 13, 1007–1014. [Google Scholar] [CrossRef]
- Ketabchi, N.; Naghibzadeh, M.; Adabi, M.; Esnaashari, S.S.; Faridi-Majidi, R. Preparation and optimization of chitosan/polyethylene oxide nanofiber diameter using artificial neural networks. Neural Comput. Appl. 2017, 28, 3131–3143. [Google Scholar] [CrossRef]
- Khatti, T.; Naderi-Manesh, H.; Kalantar, S.M. Application of ANN and RSM techniques for modeling electrospinning process of polycaprolactone. Neural Comput. Appl. 2019, 31, 239–248. [Google Scholar] [CrossRef]
- Nasouri, K. Novel estimation of morphological behavior of electrospun nanofibers with artificial intelligence system (AIS). Polym. Test. 2018, 69, 499–507. [Google Scholar] [CrossRef]
- Kalantary, S.; Jahani, A.; Jahani, R. MLR and ANN approaches for prediction of synthetic/natural nanofibers diameter in the environmental and medical applications. Sci. Rep. 2020, 10, 8117. [Google Scholar] [CrossRef] [PubMed]
- Ma, Z.; Zheng, Z.; Zeng, J.; Feng, G.; Huang, Y.; Luo, W.; He, M.; Cui, J.; Liang, Y.J. Artificial neural networks for the accurate prediction of the thickness of fiber membranes prepared by airflow-assisted electrostatic spinning. J. Appl. Polym. Sci. 2024, 141, e55580. [Google Scholar] [CrossRef]
- Rezaei, B.; Shoushtari, A.M.; Rabiee, M.; Uzun, L.; Turner, A.P.; Mak, W.C. Multifactorial modeling and optimization of solution and electrospinning parameters to generate superfine polystyrene nanofibers. Adv. Polym. Technol. 2018, 37, 2743–2755. [Google Scholar] [CrossRef]
- Uddin, M.N.; Desai, F.J.; Asmatulu, E. Biomimetic electrospun nanocomposite fibers from recycled polystyrene foams exhibiting superhydrophobicity. Energy. Ecol. Environ. 2020, 5, 1–11. [Google Scholar] [CrossRef]
- Wang, L.; Fu, Q.; Yu, J.; Liu, L.; Ding, B. Nanoparticle-doped polystyrene/polyacrylonitrile nanofiber membrane with hierarchical structure as promising protein hydrophobic interaction chromatography media. Compos. Commun. 2019, 16, 33–40. [Google Scholar] [CrossRef]
- Zulfi, A.; Munir, M.M.; Hapidin, D.A.; Rajak, A.; Edikresnha, D.; Iskandar, F.; Khairurrijal, K. Air filtration media from electrospun waste high-impact polystyrene fiber membrane. Mater. Res. Express 2018, 5, 035049. [Google Scholar] [CrossRef]
- Gaabour, L.H. Effect of addition of TiO2 nanoparticles on structural and dielectric properties of polystyrene/polyvinyl chloride polymer blend. AIP Adv. 2021, 11, 105120. [Google Scholar] [CrossRef]
- Zhang, X.D.; Xiao, G.; Wang, Y.Q.; Zhao, Y.; Su, H.J.; Tan, T.W. Preparation of chitosan-TiO composite film with efficient antimicrobial activities under visible light for food packaging applications. Carbohydr. Polym. 2017, 169, 101–107. [Google Scholar] [CrossRef] [PubMed]
- Raut, A.V.; Yadav, H.M.; Gnanamani, A.; Pushpavanam, S.; Pawar, S.H. Synthesis and characterization of chitosan-TiO:Cu nanocomposite and their enhanced antimicrobial activity with visible light. Colloids Surf. B 2016, 148, 566–575. [Google Scholar] [CrossRef]
- Wanjale, S.; Birajdar, M.; Jog, J.; Neppalli, R.; Causin, V.; Karger-Kocsis, J.; Lee, J.; Panzade, P. Surface tailored PS/TiO2 composite nanofiber membrane for copper removal from water. J. Colloid. Interface Sci. 2016, 469, 31–37. [Google Scholar] [CrossRef] [PubMed]
- Neppalli, R.; Causin, V.; Benetti, E.M.; Ray, S.S.; Esposito, A.; Wanjale, S.; Birajdar, M.; Saiter, J.-M.; Marigo, A. Polystyrene/TiO2 composite electrospun fibers as fillers for poly(butylene succinate-co-adipate): Structure, morphology and properties. Eur. Polym. J. 2014, 50, 78–86. [Google Scholar] [CrossRef]
- Madani, M.; Sharifi-Sanjani, N.; Hasan-Kaviar, A.; Choghazardi, M.; Faridi-Majidi, R.; Hamouda, A.S. PS/TiO2 (polystyrene/titanium dioxide) composite nanofibers with higher surface-to-volume ratio prepared by electrospinning: Morphology and thermal properties. Polym. Eng. Sci. 2013, 53, 2407–2412. [Google Scholar] [CrossRef]
- Threepopnatkul, P.; Kulsetthanchalee, C. Effect of ZnO and TiO2 on properties of polystyrene/nitrile rubber electrospun fiber mats. Mater. Today Proc. 2018, 5, 10917–10924. [Google Scholar] [CrossRef]
- Aydın, R.S.T.; Demir, A. Artificial neural network prediction of TiO2-doped chitosan micro/nanoparticle size based on particle imaging measurements. Colloid Polym. Sci. 2025, 303, 621–635. [Google Scholar] [CrossRef]
- Siddique, M.A.B.; Khan, M.M.R.; Arif, R.B.; Ashrafi, Z. Study and observation of the variations of accuracies for handwritten digits recognition with various hidden layers and epochs using neural network algorithm. In Proceedings of the 2018 4th International Conference on Electrical Engineering and Information & Communication Technology (iCEEiCT), Dhaka, Bangladesh, 13–15 September 2018; IEEE: New York, NY, USA, 2018; pp. 118–123. [Google Scholar]
- Uzair, M.; Jamil, N. Effects of hidden layers on the efficiency of neural networks. In Proceedings of the 2020 IEEE 23rd International Multitopic Conference (INMIC), Bahawalpur, Pakistan, 5–7 November 2020; IEEE: New York, NY, USA, 2020; pp. 1–6. [Google Scholar]
- Lau, E.T.; Sun, L.; Yang, Q. Modelling, prediction and classification of student academic performance using artificial neural networks. SN Appl. Sci. 2019, 1, 982. [Google Scholar] [CrossRef]
- Adil, M.; Ullah, R.; Noor, S.; Gohar, N. Effect of number of neurons and layers in an artificial neural network for generalized concrete mix design. Neural Comput. Appl. 2022, 34, 8355–8363. [Google Scholar] [CrossRef]
- Fan, L.; An, J.; Gao, J.; Cui, Y.; Dong, Z. Determination of atypical antipsychotics in human plasma by UPLC-UV with polystyrene nanofibers as a solid-phase extraction sorbent. RSC Adv. 2022, 12, 16194–16202. [Google Scholar] [CrossRef]
- Uyar, T.; Besenbacher, F. Electrospinning of uniform polystyrene fibers: The effect of solvent conductivity. Polymer 2008, 49, 5336–5343. [Google Scholar] [CrossRef]
- Pham, B.T.; Nguyen, M.D.; Bui, K.-T.T.; Prakash, I.; Chapi, K.; Bui, D.T. A novel artificial intelligence approach based on Multi-layer Perceptron Neural Network and Biogeography-based Optimization for predicting coefficient of consolidation of soil. CATENA 2019, 173, 302–311. [Google Scholar] [CrossRef]
- Jahani, A.; Fazel, A. Aesthetic Quality Modeling of Landscape in Urban Greenspace by Using Artificial Neural Network. J. Nat. Environ. 2016, 69, 951–963. [Google Scholar]
- Yilmaz, I.; Kaynar, O. Multiple regression, ANN (RBF, MLP) and ANFIS models for prediction of swell potential of clayey soils. Expert. Syst. Appl. 2011, 38, 5958–5966. [Google Scholar] [CrossRef]
- Foody, G.M. Supervised image classification by MLP and RBF neural networks with and without an exhaustively defined set of classes. Int. J. Remote Sens. 2004, 25, 3091–3104. [Google Scholar] [CrossRef]
- Sun, B.; Long, Y.Z.; Zhang, H.D.; Li, M.M.; Duvail, J.L.; Jiang, X.Y.; Yin, H.L. Advances in three-dimensional nanofibrous macrostructures via electrospinning. Prog. Polym. Sci. 2014, 39, 862–890. [Google Scholar] [CrossRef]
- Essalhi, M.; Khayet, M.; Cojocaru, C.; García-Payo, M.C.; Fernández, P.A. Response Surface Modeling and Optimization of Electrospun Nanofiber Membranes. Open Nanosci. J. 2013, 7, 8–17. [Google Scholar] [CrossRef]
- Eroğlu, A.N.; Aydin, R.S.T.; Karakeçili, A.; Çalimli, A. Fabrication and Process Optimization of Poly(2-hydroxyethyl methacrylate) Nanofibers by Response Surface Methodology. J. Nanosci. Nanotechnol. 2017, 17, 616–625. [Google Scholar] [CrossRef] [PubMed]
- Budlayan, M.L.; Patricio, J.; Oracion, J.P.; Capangpangan, R.; Arco, S.; Alguno, A.; Basilio, A.; Latayada, F. Improvised centrifugal spinning for the production of polystyrene microfibers from waste expanded polystyrene foam and its potential application for oil adsorption. J. Eng. Appl. Sci. 2021, 68, 25. [Google Scholar] [CrossRef]
- Shahshojaei, M.; Behniafar, H.; Shaabanzadeh, M. Preparation and Characterization of Polystyrene/TiO2 Core-Shell Nanospheres via Suspension Technique. Adv. Mater. Res. 2013, 829, 120–125. [Google Scholar]
- Li, W.; Liang, R.; Hu, A.; Huang, Z.-H.; Zhou, Y. Generation of oxygen vacancies in visible light activated one-dimensional iodine TiO2 photocatalysts. RSC Adv. 2014, 4. [Google Scholar] [CrossRef]
- Venugopal, R.; Kiran, S.; Sreenivas, B. The Role of TiO2 Nanoparticles in Enhancing the Structural Properties and Thermal Stability of PVA Nanocomposites. Int. J. Sci. Res. Eng. Trends 2025, 11, 163–171. [Google Scholar] [CrossRef]
- Kadhum, A. Antimicrobial Activity of TiO2 NPs against Escherichia coli ATCC 25922 and Staphylococcus aureus ATCC 25923. Int. J. Comput. Appl. Sci. 2017, 2, 6–10. [Google Scholar] [CrossRef]
- McGarry, K.; Wermter, S.; Macintyre, J. Knowledge Extraction from Local Function Networks. In Proceedings of the International Joint Conference on Artificial Intelligence, Seattle, WA, USA, 4–10 August 2001. [Google Scholar]
- Ding, J.; Zhang, J.; Li, J.; Li, D.; Xiao, C.; Xiao, H.; Yang, H.; Zhuang, X.; Chen, X. Electrospun polymer biomaterials. Prog. Polym. Sci. 2019, 90, 1–34. [Google Scholar] [CrossRef]
- Zatirostami, A. Fabrication of dye-sensitized solar cells based on the composite TiO2 nanoparticles/ZnO nanorods: Investigating the role of photoanode porosity. Mater. Today Commun. 2021, 26, 102033. [Google Scholar]
- Pham, Q.; Sharma, U.; Mikos, A. Electrospinning of Polymeric Nanofibers for Tissue Engineering Applications: A Review. Tissue Eng. 2006, 12, 1197–1211. [Google Scholar] [CrossRef]
- Sukpancharoen, S.; Wijakmatee, T.; Katongtung, T.; Ponhan, K.; Rattanachoung, N.; Khojitmate, S. Data-driven prediction of electrospun nanofiber diameter using machine learning: A comprehensive study and web-based tool development. Results Eng. 2024, 24, 102826. [Google Scholar] [CrossRef]
- Agatonovic-Kustrin, S.; Beresford, R. Basic concepts of artificial neural network (ANN) modeling and its application in pharmaceutical research. J. Pharm. Biomed. Anal. 2000, 22, 717–727. [Google Scholar] [CrossRef]
- Abiodun, O.I.; Jantan, A.; Omolara, A.E.; Dada, K.V.; Mohamed, N.A.; Arshad, H. State-of-the-art in artificial neural network applications: A survey. Heliyon 2018, 4, e00938. [Google Scholar] [CrossRef] [PubMed]
- Naghibzadeh, M.; Adabi, M. Evaluation of Effective Electrospinning Parameters Controlling Gelatin Nanofibers Diameter via Modelling Artificial Neural Networks. Fibers Polym. 2014, 15, 767–777. [Google Scholar] [CrossRef]
- Pervez, M.N.; Yeo, W.S.; Mishu, M.M.R.; Talukder, M.E.; Roy, H.; Islam, M.S.; Zhao, Y.; Cai, Y.; Stylios, G.K.; Naddeo, V. Electrospun nanofiber membrane diameter prediction using a combined response surface methodology and machine learning approach. Sci. Rep. 2023, 13, 9679. [Google Scholar] [CrossRef] [PubMed]
- Narayana, P.L.; Wang, X.-S.; Yeom, J.-T.; Maurya, A.K.; Bang, W.-S.; Srikanth, O.; Reddy, M.H.; Hong, J.-K.; Reddy, N.G.S. Correlating the 3D melt electrospun polycaprolactone fiber diameter and process parameters using neural networks. J. Appl. Polym. Sci. 2021, 138, 50956. [Google Scholar] [CrossRef]
- Premasudha, M.; Reddy, S.R.B.; Yeon-Ju, L.; Panigrahi, B.; Cho, K.K.; Reddy, N.S. Using artificial neural networks to model and interpret electrospun polysaccharide (Hylon VII starch) nanofiber diameter. J. Appl. Polym. Sci. 2020, 138, 50014. [Google Scholar] [CrossRef]
- Haykin, S.S. Neural Networks: A Comprehensive Foundation; Prentice Hall: Englewood Cliffs, NJ, USA, 1999. [Google Scholar]
- Park, J.; Sandberg, I.W. Universal Approximation Using Radial-Basis-Function Networks. Neural Comput. 1991, 3, 246–257. [Google Scholar] [CrossRef]
- Cuahuizo-Huitzil, G.; Olivares-Xometl, O.; Castro, M.E.; Arellanes-Lozada, P.; Meléndez-Bustamante, F.J.; Torres, I.H.P.; Santacruz-Vázquez, C.; Santacruz-Vázquez, V. Artificial Neural Networks for Predicting the Diameter of Electrospun Nanofibers Synthesized from Solutions/Emulsions of Biopolymers and Oils. Materials 2023, 16, 5720. [Google Scholar] [CrossRef]
- Maurya, A.K.; Narayana, P.L.; Bhavani, A.G.; Jae-Keun, H.; Yeom, J.-T.; Reddy, N.S. Modeling the relationship between electrospinning process parameters and ferrofluid/polyvinyl alcohol magnetic nanofiber diameter by artificial neural networks. J. Electrost. 2020, 104, 103425. [Google Scholar] [CrossRef]
- Silva, I.; Spatti, D.; Flauzino, R.A.; Liboni, L.B.; Alves, S.R. Artificial Neural Networks; Springer: Berlin/Heidelberg, Germany, 2017. [Google Scholar]









| Program | MATLAB R2016a | |
|---|---|---|
| Class 1 | Class 2 | |
| Number of neurons in input layer | 3 | 4 |
| Number of neurons in hidden layer | 40 | 20 |
| Number of neurons in output layer | 1 | 1 |
| Number of training datasets | 26 | 214 |
| Number of test datasets | 6 | 53 |
| Used ANN model | MLP | MLP |
| Epoch number in training process | 1000 | 1000 |
| Neuron number in training process | 2–40 | 2–40 |
| Type of learning algorithm | Levenberg–Marquardt algorithm | |
| Training activation function | Hidden Layer (TANSIG) | |
| Output Layer (TANSIG) | ||
| Used ANN model | RBF | RBF |
| Spread number in training process | 0.1 | 0.1 |
| Neuron number in training process | 2–32 | 2–267 |
| Initial learning rate | 1 × 10−7 | |
| Normalization | Min–Max Normalization | |
| Spread Number | MAE | MSE | RMSE | R2 |
|---|---|---|---|---|
| 0.1 | 2.53 × 10−16 | 1.25 × 10−31 | 3.54 × 10−16 | 1 |
| 0.2 | 1.08 × 10−15 | 2.03 × 10−30 | 1.42 × 10−15 | 1 |
| 0.3 | 2.26 × 10−13 | 8.30 × 10−26 | 2.88 × 10−13 | 1 |
| 0.4 | 3.78 × 10−11 | 2.86 × 10−21 | 5.35 × 10−11 | 1 |
| 0.5 | 2.66 × 10−9 | 1.46 × 10−17 | 3.82 × 10−9 | 1 |
| 0.9 | 1.04 × 10−14 | 1.98 × 10−8 | 1.41 × 10−4 | 0.9999997 |
| MLP Model | MSE | MAE | RMSE | R | R2 |
|---|---|---|---|---|---|
| PS/TiO2 | 4.03 × 10−3 | 5.80 × 10−2 | 6.35 × 10−2 | 0.94734 | 0.91915 |
| PS and PS/TiO2 | 7.01 × 10−3 | 5.89 × 10−2 | 8.37 × 10−2 | 0.90193 | 0.81053 |
| RBF Model | MSE | MAE | RMSE | R | R2 |
| PS/TiO2 | 1.42 × 10−32 | 7.42 × 10−17 | 1.19 × 10−16 | 1 | 1 |
| PS and PS/TiO2 | 2.75 × 10−32 | 1.02 × 10−16 | 1.66 × 10−16 | 1 | 1 |
Disclaimer/Publisher’s Note: The statements, opinions and data contained in all publications are solely those of the individual author(s) and contributor(s) and not of MDPI and/or the editor(s). MDPI and/or the editor(s) disclaim responsibility for any injury to people or property resulting from any ideas, methods, instructions or products referred to in the content. |
© 2026 by the authors. Licensee MDPI, Basel, Switzerland. This article is an open access article distributed under the terms and conditions of the Creative Commons Attribution (CC BY) license.
Share and Cite
Tığlı Aydın, R.S.; Eğilmez, F.; Kaya, C. Effect of Artificial Neural Network Design Parameters for Prediction of PS/TiO2 Nanofiber Diameter. Polymers 2026, 18, 328. https://doi.org/10.3390/polym18030328
Tığlı Aydın RS, Eğilmez F, Kaya C. Effect of Artificial Neural Network Design Parameters for Prediction of PS/TiO2 Nanofiber Diameter. Polymers. 2026; 18(3):328. https://doi.org/10.3390/polym18030328
Chicago/Turabian StyleTığlı Aydın, R. Seda, Fevziye Eğilmez, and Ceren Kaya. 2026. "Effect of Artificial Neural Network Design Parameters for Prediction of PS/TiO2 Nanofiber Diameter" Polymers 18, no. 3: 328. https://doi.org/10.3390/polym18030328
APA StyleTığlı Aydın, R. S., Eğilmez, F., & Kaya, C. (2026). Effect of Artificial Neural Network Design Parameters for Prediction of PS/TiO2 Nanofiber Diameter. Polymers, 18(3), 328. https://doi.org/10.3390/polym18030328

