Tailoring Properties Through Functionalized Alicyclic Diamine Towards Solution-Processable High-Performance Polyimide Films
Abstract
1. Introduction
2. Materials and Methods
3. Results
3.1. Synthesis of the Diamine Monomer
3.1.1. Synthesis of Bicyclo[2.2.1]hept-5-ene-2,3-diyldimethanol (NDO)
3.1.2. Synthesis of 5,6-Bis((4-nitro-2-(trifluoromethyl)phenoxy)methyl)bicyclo[2.2.1] hept-2-ene (NFDN)
3.1.3. Synthesis of 4,4′-((Bicyclo[2.2.1]hept-5-ene-2,3-diylbis(methylene))bis(oxy)) bis(3-(trifluoromethyl)aniline) (NFDA)
3.2. The Preparation of PI Films
3.3. The Characterization of NFDA
3.4. The Structural Characterization of PI
3.5. Solubility in Organic Solvent
3.6. Hydrophobicity of PI
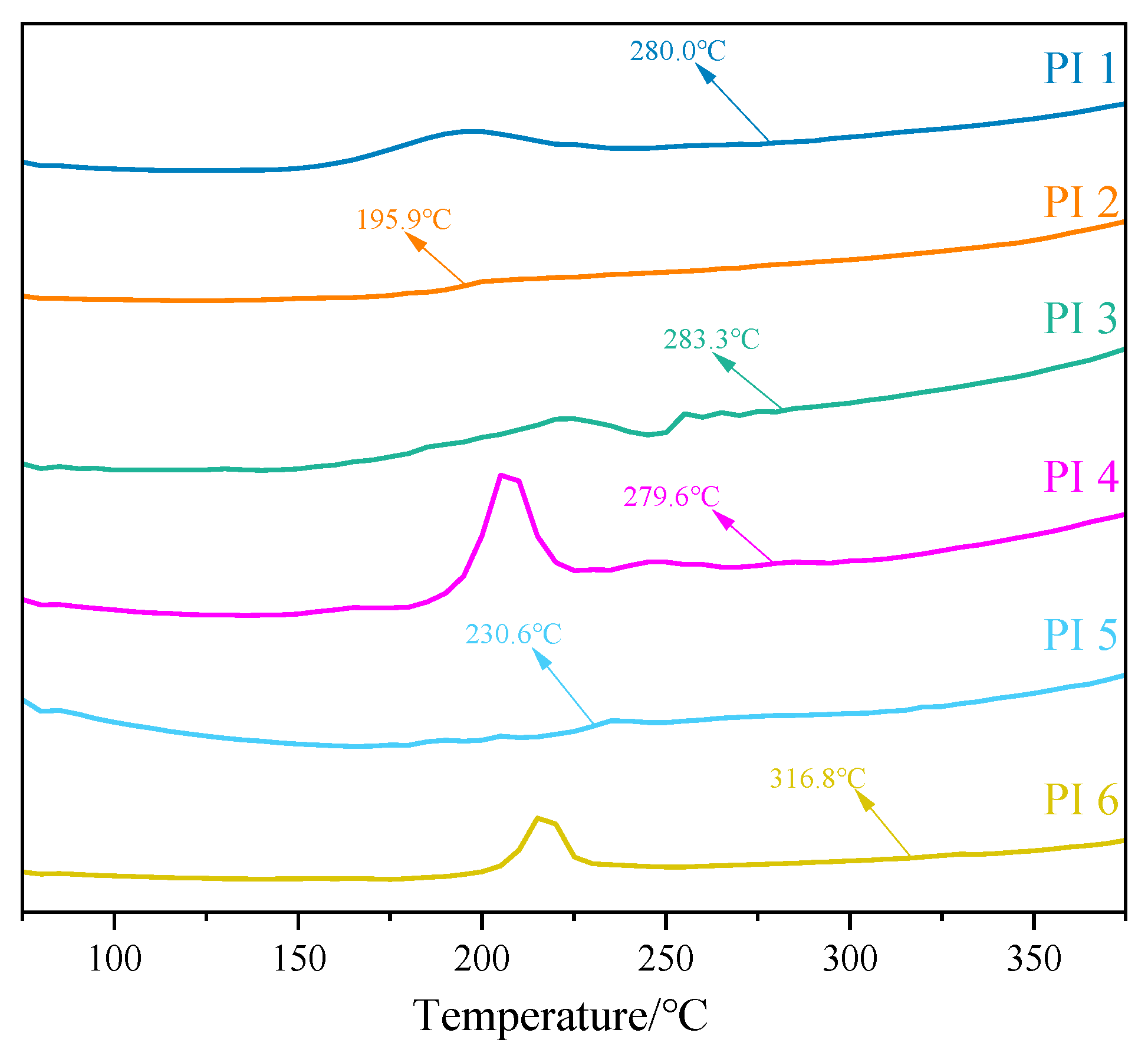
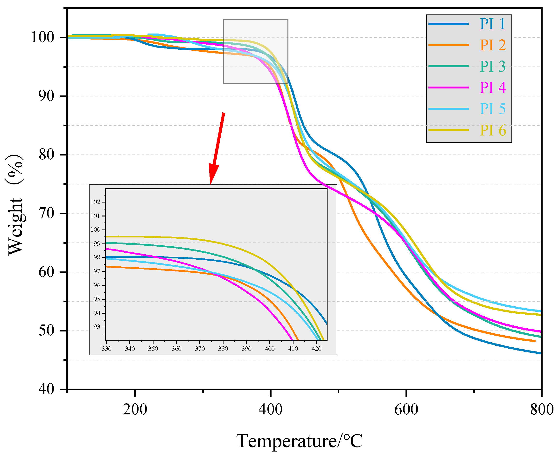
3.7. Thermal Properties of PI
3.8. Optical Performance of PI
3.9. Mechanical Strength of PI
4. Discussion
5. Conclusions
Author Contributions
Funding
Data Availability Statement
Conflicts of Interest
References
- Han, S.H.; Li, Y.N.; Hao, F.Y.; Zhao, H.; Qi, S.L.; Tian, G.F.; Wu, D.Z. Ultra-low dielectric constant polyimides: Combined efforts of fluorination and micro-branched crosslink structure. Eur. Polym. J. 2021, 143, 110206. [Google Scholar] [CrossRef]
- Srinivaas, M.; Lee, Y.Y.; Busireddy, M.R.; Hsu, C.S.; Devi, S.B.; Boddula, R.; Kamble, G.S.; Chang-Chien, G.P. Polyimides in next-generation energy devices: Applications in Li-ion batteries to solar cells. J. Power Sources 2025, 641, 236780. [Google Scholar] [CrossRef]
- Li, Y.F.; Li, J.H.; Zhang, W.H.; Lin, Q.Y.; Chen, L.C.; Weng, Z.H.; Xiao, Y. Rigid and crosslinkable polyimide curing epoxy resin with enhanced comprehensive performances. Polymer 2024, 297, 126836. [Google Scholar] [CrossRef]
- Gouzman, I.; Grossman, E.; Verker, R.; Atar, N.; Bolker, A.; Eliaz, N. Advances in polyimide-based materials for space spplications. Adv. Mater. 2019, 31, 1807738. [Google Scholar] [CrossRef]
- Tot, E.; Santonicola, M.G.; Laurenzi, S.; Circi, C.; Pellegrini, R.C.; Cavallini, E.; Serra, E.; Scaglione, S.; Zola, D. UV-Vis-NIR optical properties of micrometric-thick polyimide membranes for lightweight devices in space. Opt. Mater. 2023, 146, 114604. [Google Scholar] [CrossRef]
- He, X.J.; Zhang, S.Y.; Zhou, Y.; Zheng, F.; Lu, Q.H. The “fluorine impact” on dielectric constant of polyimides: A molecular simulation study. Polymer 2022, 254, 125073. [Google Scholar] [CrossRef]
- Tapaswi, P.K.; Ha, C.S. Recent trends on transparent colorless polyimides with balanced thermal and optical properties: Design and synthesis. Macromol. Chem. Phys. 2019, 220, 1800313. [Google Scholar] [CrossRef]
- Ni, H.J.; Liu, J.G.; Wang, Z.H.; Yang, S.Y. A review on colorless and optically transparent polyimide films: Chemistry, process and engineering applications. J. Ind. Eng. Chem. 2015, 28, 16–27. [Google Scholar] [CrossRef]
- Qin, S.Y.; Song, J.H.; Qin, H.M.; Fu, Y.H.; Liu, M.; Yu, S.Y.; Zhou, L.; Xiong, C.X.; Wang, S. Fluorinated aromatic polyimide with large bandgap exhibiting superior capacitive performance at elevated temperatures. J. Energy Storage 2024, 87, 111458. [Google Scholar] [CrossRef]
- Zhou, S.R.; Zhang, L.; Wang, G.; Ayubi, B.I.; Wang, Y.W. Mechanisms of enhanced durability in fluorinated polyimide based on POSS during electro-thermal aging. Polym. Degrad. Stab. 2025, 239, 111402. [Google Scholar] [CrossRef]
- Zhang, Z.L.; Wu, Z.S.; Zou, F.; Tian, F.Q. Research on the heat resistance and electrical properties of fluorinated polyimide/nano-Al2O3/nano-Si3N4 composite materials. Polymer 2024, 294, 126720. [Google Scholar] [CrossRef]
- Wu, W.L.; Niu, H.C.; Lai, S.Q.; Liu, C.J.; Zhou, L.; Huang, X.H. Synthesis, characterization, and gas separation properties of novel fluorinated co-polyimides with bulky side groups. Polymer 2022, 257, 125273. [Google Scholar] [CrossRef]
- Yu, S.Q.; Zhou, J.L.; Xu, A.; Lao, J.J.; Luo, H.; Chen, S. The scalable and high performance polyimide dielectrics containing alicyclic structures for high-temperature capacitive energy storage. Chem. Eng. J. 2023, 469, 143803. [Google Scholar] [CrossRef]
- Tan, H.; Zhong, H.; Deng, L.W.; Yan, Z.N.; Luo, H.; Chen, S. Cross-linked interfacial network obviously enhancing energy storage property of semi-alicyclic polyimide-based dielectric nanocomposites. J. Power Sources 2025, 652, 237642. [Google Scholar] [CrossRef]
- Guo, S.H.; Fang, C.J.; Li, J.Q.; Zhuang, Y.B.; Zhu, L.P. Intrinsically microporous polyimide membranes with synergistic aromatic and alicyclic linking groups for efficient molecular separation. Sep. Purif. Technol. 2024, 347, 127530. [Google Scholar] [CrossRef]
- Shenoy, A.M.; Thür, R.; Duffel, B.V.; Vankelecom, I.F.J. Use of green polar aprotic solvents TamiSolve® NxG, DMSO and methyl-THF for the synthesis of asymmetric polyimide-based biogas purification membranes. J. Membr. Sci. 2025, 717, 123573. [Google Scholar] [CrossRef]
- Xu, L.; Feng, W.L.; Fang, C.J.; Han, M.Y.; Zhu, L.P. Solvent resistant asymmetrical polyimide nanofiltration membranes prepared via combining surface chemical grafting with thermal-induced pore narrowing. J. Membr. Sci. 2025, 716, 123526. [Google Scholar] [CrossRef]
- Sidra, L.R.; Chen, G.F.; Li, C.Y.; Mushtaq, N.; Ma, K.; Fang, X.Z. Processable, high Tg polyimides from unsymmetrical diamines containing 4-phenoxy aniline and benzimidazole moietiesg. Polymer 2018, 148, 228–238. [Google Scholar] [CrossRef]
- Shao, Y.; Li, Y.F.; Zhao, X.; Ma, T.; Gong, C.L.; Yang, F.C. Synthesis and characterization of soluble polyimides derived from a novel unsymmetrical diamine monomer:1,4-(20, 400-diaminodiphenoxy)benzene. Eur. Polym. J. 2007, 43, 4389–4397. [Google Scholar] [CrossRef]
- Tiptipakorn, S.; Damrongsakkul, S.; Ando, S.; Hemvichian, K.; Rimdusit, S. Thermal degradation behaviors of polybenzoxazine and silicon-containing polyimide blends. Polym. Degrad. Stab. 2007, 92, 1265–1278. [Google Scholar] [CrossRef]
- Qu, C.H.; Shan, L.; Zhang, G.P.; Sun, R. Preparation and dielectric properties research of a novel kind of intrinsic silane-containing polyimide. Polymer 2023, 285, 126361. [Google Scholar] [CrossRef]
- Zhang, T.Y.; Chai, Y.M.; Wang, S.S.; Yu, J.N.; Fang, Z.H.; Jiang, S.; Li, B. Decreasing the dielectric constant and water uptake of co-polyimide films by introducing bulky spirobifluorene and cross-linked tetrafluorostyrol groups. Eur. Polym. J. 2024, 213, 113099. [Google Scholar] [CrossRef]
- Deng, G.X.; Luo, J.Z.; Liu, S.; Wang, Y.L.; Zong, X.P.; Xue, S. Molecular design and characterization of new polyimides based on binaphthyl-ether diamines for gas separation. Sep. Purif. Technol. 2020, 235, 116218. [Google Scholar] [CrossRef]
- Zhang, C.G.; He, X.J.; Lu, Q.H. Polyimide films with ultralow dielectric loss for 5G applications: Influence and mechanism of ester groups in molecular chains. Eur. Polym. J. 2023, 200, 112544. [Google Scholar] [CrossRef]
- Luo, F.; Zhao, J.C.; Jiao, L.; Du, Z.J.; Dong, Z.X.; Zhang, Y.N.; Sun, Z.U.; Qiu, X.P. Preparation and properties of high temperature colorless transparent polyimide containing semi-alicyclic and bisbenzoxazole structure. Polymer 2024, 315, 127787. [Google Scholar] [CrossRef]
- Wang, Z.Q.; Zhang, M.Y.; Han, E.L.; Niu, H.Q.; Wu, D.Z. Structure-property relationship of low dielectric constant polyimide fibers containing fluorine groups. Polymer 2020, 206, 122884. [Google Scholar] [CrossRef]
- Zhou, J.L.; Xu, A.; Tan, H.; Zhong, H.; Deng, L.W.; Luo, H.; Chen, S.J. Significantly improve capacitive properties of alicyclic polyimide dielectrics at high temperatures via hard/soft segment engineering. J. Energy Storage 2025, 105, 114789. [Google Scholar] [CrossRef]
- Zhang, Z.G.; Ren, X.L.; Huo, G.L.; Kang, S.Y.; Wang, Z.G.; Li, N.W. Tuning interchain cavity of fluorinated polyimide by DABA for improved gas separation performance. J. Membr. Sci. 2023, 675, 121485. [Google Scholar] [CrossRef]
- Wang, Z.H.; Fang, G.Q.; He, J.J.; Yang, H.X.; Yang, S.Y. Semi-aromatic thermosetting polyimide resins containing alicyclic units for achieving low melt viscosity and low dielectric constant. React. Funct. Polym. 2020, 146, 104411. [Google Scholar] [CrossRef]
- Hu, R.B.; Chen, Y.M.; Zhang, C.M.; Jiang, S.H.; Hou, H.Q.; Duan, G.G. Porous monoliths from polyimide: Synthesis, modifications and applications. Prog. Mater. Sci. 2024, 144, 101284. [Google Scholar] [CrossRef]
- Liu, Y.Y.; Wang, Y.K.; Wu, D.Y. Synthetic strategies for highly transparent and colorless polyimide film. J. Appl. Polym. Sci. 2022, 139, 52604. [Google Scholar] [CrossRef]
- Liu, Y.W.; Tang, A.; Tan, J.H.; Chen, C.L.; Wu, D.; Zhang, H.L. Structure and gas barrier properties of polyimide containing a rigid planar fluorene moiety and an amide group: Insights from molecular simulations. ACS Omega 2021, 6, 4273–4281. [Google Scholar] [CrossRef] [PubMed]
- Yao, K.; Chen, L.; Hu, T.; Chen, Y.W. Photocrosslinkable liquid–crystalline polymers for stable photovoltaics by adjusting side-chains spacing and fullerene size to control intercalation. Org. Electron. 2012, 13, 1443–1455. [Google Scholar] [CrossRef]
- Song, N.N.; Yao, H.Y.; Ma, T.N.; Wang, T.J.; Shi, K.X.; Tian, Y.; Zhang, B.; Zhu, S.Y.; Zhang, Y.H.; Guan, S.W. Decreasing the dielectric constant and water uptake by introducing hydrophobic cross-linked networks into co-polyimide films. Appl. Surf. Sci. 2019, 480, 990–997. [Google Scholar] [CrossRef]
- Hasegawa, M.; Hishiki, T. Poly(ester imide)s Possessing Low Coefficients of thermal expansion and low water absorption (V). effects of ester-linked diamines with different lengths and substituents. Polymer 2020, 12, 859. [Google Scholar] [CrossRef]
- Su, B.Y.; Yang, J.; Xiong, C.X.; Song, J.; Hu, J.W.; Wei, Z.J.; Huang, G.; Rao, P.; Guo, H.L. Enhancing moisture-resistance in polyimide aerogels: A novel hydrophobic modification approach with ortho-positioned long-chain barriers. J. Colloid Interface Sci. 2025, 678, 977–986. [Google Scholar] [CrossRef]
- John, G.V.; John, C.C. Structural effects on the transport of water in polyimides. Macromolecules 1994, 27, 3746–3752. [Google Scholar] [CrossRef]
- Tena, A.; Marcos-Fernández, A.; Palacio, L.; Prádanos, P.; Lozano, A.E.; de Abajo, J.; Hernández, A. On the influence of the proportion of PEO in thermally controlled phase segregation of copoly(ether-imide)s for gas separation. J. Membr. Sci. 2013, 434, 26–34. [Google Scholar] [CrossRef]
- Xu, Y.Z.; Zhang, M.R.; Pang, Y.Y.; Zheng, T.Y.; Tian, C.; Wang, Z.; Yan, J.L. Colorless polyimide copolymers derived from isomeric biphenyltetracarboxylic dianhydrides and 2,2′-bis(trifluoromethyl)benzidine. Eur. Polym. J. 2023, 193, 112099. [Google Scholar] [CrossRef]
- Li, J.W.; Xie, Y.F.; Yu, P.; Yu, F.Q.; Chai, B.S. Synthesis and properties of transparent polyimide films containing amide bonds and trifluoromethyl groups. Mater. Today Commun. 2025, 49, 114013. [Google Scholar] [CrossRef]












| PI | Mn/Da | Mw/Da | Mw/Mn | T5/°C 1 | T10/°C 2 | Tg/°C 3 | Y800/% 4 | σt/MPa 5 | εt/% 6 | Et/MPa 7 |
|---|---|---|---|---|---|---|---|---|---|---|
| PI 1 | 49.2 × 104 | 57.5 × 104 | 1.17 | 415.9 | 434.4 | 206.4 | 46.1 | 87.6 | 6.21 | 1.00 × 103 |
| PI 2 | 32.6 × 104 | 39.7 × 104 | 1.21 | 430.9 | 443.8 | 193.3 | 52.1 | 68.5 | 10.46 | 0.80 × 103 |
| PI 3 | 39.9 × 104 | 46.4 × 104 | 1.16 | 409.3 | 427.7 | 191.3 | 49.0 | 74.6 | 9.43 | 1.20 × 103 |
| PI 4 | 55.8 × 104 | 59.9 × 104 | 1.07 | 394.5 | 416.7 | 208.3 | 49.8 | 88.4 | 5.88 | 1.30 × 103 |
| PI 5 | 43.7 × 104 | 51.5 × 104 | 1.18 | 404.8 | 427.6 | 230.9 | 53.3 | 80.3 | 6.56 | 1.60 × 103 |
| PI 6 | 42.2 × 104 | 48.6 × 104 | 1.15 | 413.7 | 428.4 | 220.0 | 52.7 | 82.7 | 7.78 | 1.01 × 103 |
| CHCI3 | THF | EA | ET | TL | DMF | DMSO | DMAC | |
|---|---|---|---|---|---|---|---|---|
| NFDN | + | + | + | +h | +h | + | +h | + |
| NFDA | + | + | + | + | + | + | + | + |
| PI 1 | + | + | + | − | − | + | + | + |
| PI 2 | + | + | + | − | +h | + | + | + |
| PI 3 | + | + | + | − | − | + | + | + |
| PI 4 | − | + | − | − | − | + | + | + |
| PI 5 | − | − | ± | + | − | + | + | + |
| PI 6 | − | +h | − | − | + | − | +h | + |
| PI | Thickness/μm | T/% 1 | λc/nm 2 | EHOMO/eV | ELUMO/eV | ΔE/eV | CPS/Å 3 | CA/o 4 |
|---|---|---|---|---|---|---|---|---|
| PI 1 | 83 | 83.4 | 401 | −5.42 | −2.99 | 2.43 | 6.81 | 103.1 |
| PI 2 | 72 | 86.7 | 376 | −5.34 | −2.42 | 2.92 | 6.37 | 98.1 |
| PI 3 | 79 | 80.3 | 411 | −5.32 | −2.72 | 2.60 | 6.70 | 90.7 |
| PI 4 | 85 | 56.2 | 471 | −5.22 | −3.64 | 1.58 | 4.78 | 109.4 |
| PI 5 | 81 | 61.8 | 460 | −5.15 | −3.33 | 1.82 | 5.48 | 102.4 |
| PI 6 | 78 | 85.7 | 377 | −5.39 | −3.34 | 2.05 | 5.89 | 91.3 |
Disclaimer/Publisher’s Note: The statements, opinions and data contained in all publications are solely those of the individual author(s) and contributor(s) and not of MDPI and/or the editor(s). MDPI and/or the editor(s) disclaim responsibility for any injury to people or property resulting from any ideas, methods, instructions or products referred to in the content. |
© 2026 by the authors. Licensee MDPI, Basel, Switzerland. This article is an open access article distributed under the terms and conditions of the Creative Commons Attribution (CC BY) license.
Share and Cite
Xiong, L.; Ding, F.; Li, L.; Wei, X.; Xu, J.; Xiao, G.; Yang, Z.; Liu, F. Tailoring Properties Through Functionalized Alicyclic Diamine Towards Solution-Processable High-Performance Polyimide Films. Polymers 2026, 18, 207. https://doi.org/10.3390/polym18020207
Xiong L, Ding F, Li L, Wei X, Xu J, Xiao G, Yang Z, Liu F. Tailoring Properties Through Functionalized Alicyclic Diamine Towards Solution-Processable High-Performance Polyimide Films. Polymers. 2026; 18(2):207. https://doi.org/10.3390/polym18020207
Chicago/Turabian StyleXiong, Lei, Feiyan Ding, Liangrong Li, Xinhai Wei, Jiayao Xu, Guanfa Xiao, Zhenyu Yang, and Feng Liu. 2026. "Tailoring Properties Through Functionalized Alicyclic Diamine Towards Solution-Processable High-Performance Polyimide Films" Polymers 18, no. 2: 207. https://doi.org/10.3390/polym18020207
APA StyleXiong, L., Ding, F., Li, L., Wei, X., Xu, J., Xiao, G., Yang, Z., & Liu, F. (2026). Tailoring Properties Through Functionalized Alicyclic Diamine Towards Solution-Processable High-Performance Polyimide Films. Polymers, 18(2), 207. https://doi.org/10.3390/polym18020207

