Atomistic Simulations of Individual Amphiphilic Carbosilane Dendrimers with –(OCH2CH2)n–OCH3 Terminal Groups in Hydrophilic and Hydrophobic Environments and at Interfaces
Abstract
1. Introduction
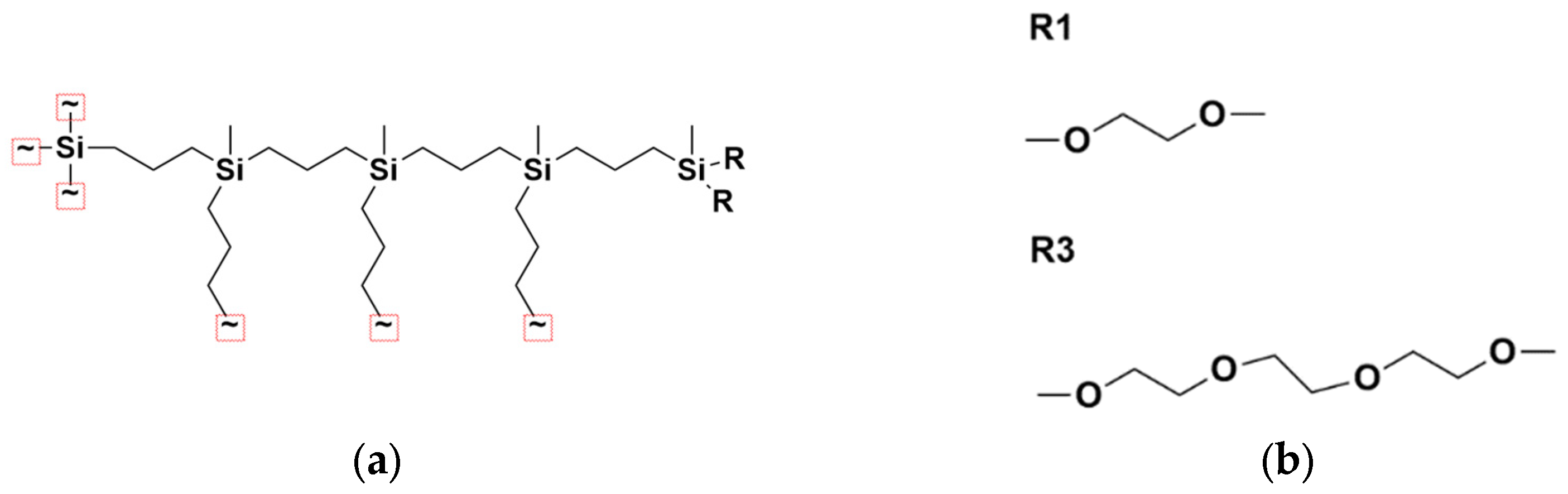
2. Materials and Methods
3. Results and Discussions
3.1. Dendrimer Size and Shape
3.2. Solvent Penetration and Internal Dendrimer Structure
- In toluene, the dendrimer swells, causing all Si-layer peaks to shift to larger radial distances compared to water.
- In aqueous solution, the terminal groups move outward toward the periphery. This shift is driven by their hydrophilic nature, which favors contact with water.
3.3. Hydrogen Bonds
4. Conclusions
Author Contributions
Funding
Institutional Review Board Statement
Data Availability Statement
Conflicts of Interest
References
- Fréchet, J.M.J.; Tomalia, D.A. (Eds.) Dendrimers and Other Dendritic Polymers; Wiley: London, UK, 2001. [Google Scholar] [CrossRef]
- Fréchet, J.M.J. Functional polymers and dendrimers: Reactivity, molecular architecture, and interfacial energy. Science 1994, 263, 1710–1715. [Google Scholar] [CrossRef]
- Tomalia, D.A.; Naylor, A.M.; Goddard, W.A., III. Starburst dendrimers: Molecular-level control of size, shape, surface chemistry, topology and flexibility from atoms to macroscopic matter. Angew. Chem. Int. Ed. Engl. 1990, 29, 138–175. [Google Scholar] [CrossRef]
- Muzafarov, A.M.; Rebrov, E.A. Polysiloxane and siloxane-based dendrimers. In Silicon-Containing Dendritic Polymers; Matisons, J., Ed.; Advances in Silicon Science; Springer: Dordrecht, The Netherlands; Heidelberg, Germany, 2009; Volume 2, pp. 21–30. [Google Scholar] [CrossRef]
- Getmanova, E.V.; Rebrov, E.A.; Myakushev, V.D.; Chenskaya, T.B.; Muzafarov, A.M.; Krupers, M.J. Carbosilane dendrimers with shielded hydroxyl groups at silicon atoms. Polym. Sci. Ser. A 2000, 42, 610–619. [Google Scholar]
- Tatarinova, E.A.; Voronina, N.V.; Bystrova, A.V.; Buzin, M.I.; Muzafarov, A.M. Synthesis and properties of homologous series of polyallylcarbosilane dendrimers with dense macromolecular structure. Macromol. Symp. 2009, 278, 14–23. [Google Scholar] [CrossRef]
- Muzafarov, A.M.; Vasilenko, N.G.; Tatarinova, E.A.; Ignat’eva, G.M.; Myakushev, V.D.; Obrezkova, M.A.; Meshkov, I.B.; Voronina, N.V.; Novozhilov, O.V. Macromolecular nano-objects as a promising direction of polymer chemistry. Polym. Sci. Ser. C 2011, 53, 48–60. [Google Scholar] [CrossRef]
- Tsukruk, V.V. Dendritic macromolecules at interfaces. Adv. Mater. 1999, 10, 253–257. [Google Scholar] [CrossRef]
- Park, J.Y.; Advincula, R.C. Nanostructuring polymers, colloids, and nanomaterials at the air–water interface through Langmuir and Langmuir–Blodgett techniques. Soft Matter 2011, 7, 9829–9843. [Google Scholar] [CrossRef]
- Novozhilova, N.A.; Malakhova, Y.N.; Buzin, M.I.; Buzin, A.I.; Tatarinova, E.A.; Vasilenko, N.G.; Muzafarov, A.M. Synthesis and properties of carbosilane dendrimers of the third and sixth generations with the ethylene oxide surface layer in bulk and in monolayers at the air–water interface. Russ. Chem. Bull. 2013, 62, 2514–2526. [Google Scholar] [CrossRef]
- Kim, Y.H.; Webster, O.W. Water-soluble hyperbranched polyphenylene: A unimolecular micelle? J. Am. Chem. Soc. 1990, 112, 4592–4593. [Google Scholar] [CrossRef]
- Percec, V.; Wilson, D.A.; Leowanawat, P.; Wilson, C.J.; Hughes, A.D.; Kaucher, M.S.; Hammer, D.A.; Levine, D.H.; Kim, A.J.; Bates, F.S.; et al. Self-assembly of Janus dendrimers into uniform dendrimersomes and other complex architectures. Science 2010, 328, 1009–1014. [Google Scholar] [CrossRef]
- Percec, V.; Leowanawat, P.; Sun, H.J.; Kulikov, O.; Nusbaum, C.D.; Tran, T.M.; Bertin, A.; Wilson, D.A.; Peterca, M.; Zhang, S.; et al. Modular synthesis of amphiphilic Janus glycodendrimers and their self-assembly into glycodendrimersomes and other complex architectures with bioactivity to biomedically relevant lectins. J. Am. Chem. Soc. 2013, 135, 9055–9077. [Google Scholar] [CrossRef] [PubMed]
- Zhang, S.; Sun, H.J.; Hughes, A.D.; Draghici, B.; Lejnieks, J.; Leowanawat, P.; Bertin, A.; Otero De Leon, L.; Kulikov, O.V.; Chen, Y.; et al. “Single-single” amphiphilic Janus dendrimers self-assemble into uniform dendrimersomes with predictable size. ACS Nano 2014, 8, 1554–1565. [Google Scholar] [CrossRef] [PubMed]
- Ravina, M.; Paolicelli, P.; Seijo, B.; Sanchez, A. Knocking Down Gene Expression with Dendritic Vectors. Mini-Rev. Med. Chem. 2010, 10, 73–86. [Google Scholar] [CrossRef]
- Chen, J.; Zhu, D.; Liu, X.; Peng, L. Amphiphilic dendrimer vectors for RNA delivery: State-of-the-art and future perspective. Acc. Mater. Res. 2022, 3, 484–497. [Google Scholar] [CrossRef]
- Căta, A.; Ienașcu, I.M.C.; Ştefănuț, M.N.; Roșu, D.; Pop, O.R. Properties and bioapplications of amphiphilic Janus dendrimers: A review. Pharmaceutics 2023, 15, 589. [Google Scholar] [CrossRef] [PubMed]
- Sánchez, A.; Villalonga, A.; Martínez-García, G.; Parrado, C.; Villalonga, R. Dendrimers as soft nanomaterials for electrochemical immunosensors. Nanomaterials 2019, 9, 1745. [Google Scholar] [CrossRef]
- Fernandes, T.; Daniel-da-Silva, A.L.; Trindade, T. Metal-dendrimer hybrid nanomaterials for sensing applications. Coord. Chem. Rev. 2022, 460, 214483. [Google Scholar] [CrossRef]
- Thakare, S.; Shaikh, A.; Bodas, D.; Gajbhiye, V. Application of dendrimer-based nanosensors in immunodiagnosis. Colloids Surf. B Biointerfaces 2022, 209, 112174. [Google Scholar] [CrossRef]
- Devadas, B.; Periasamy, A.P.; Bouzek, K. A review on poly(amidoamine) dendrimer encapsulated nanoparticles: Synthesis and usage in energy conversion and storage applications. Coord. Chem. Rev. 2021, 444, 214062. [Google Scholar] [CrossRef]
- Caminade, A.-M.; Laurent, R. Homogeneous catalysis with phosphorus dendrimer complexes. Coord. Chem. Rev. 2019, 389, 59–72. [Google Scholar] [CrossRef]
- Schlenk, C.; Frey, H. Carbosilane dendrimers—synthesis, functionalization, application. Chem. Mon. 1999, 130, 3–14. [Google Scholar] [CrossRef]
- Vasil’ev, V.G.; Kramarenko, E.Y.; Tatarinova, E.A.; Milenin, S.A.; Kalinina, A.A.; Papkov, V.S.; Muzafarov, A.M. An unprecedented jump in the viscosity of high-generation carbosilane dendrimer melts. Polymer 2018, 146, 1–5. [Google Scholar] [CrossRef]
- Mironova, M.V.; Semakov, A.V.; Tereshchenko, A.S.; Tatarinova, E.A.; Getmanova, E.V.; Muzafarov, A.M.; Kulichikhin, V.G. Rheology of carbosilane dendrimers with various types of end groups. Polym. Sci. Ser. A 2010, 52, 1156–1162. [Google Scholar] [CrossRef]
- Sheremetyeva, N.A.; Vasiliev, V.G.; Papkov, V.S.; Pak, G.G.; Myakushev, V.D.; Kramarenko, E.Y.; Muzafarov, A.M. Rheological properties of nonfunctional derivatives of hyperbranched polycarbosilanes. Russ. Chem. Bull. 2015, 64, 2145–2151. [Google Scholar] [CrossRef]
- Bakirov, A.V.; Tatarinova, E.A.; Milenin, S.A.; Shcherbina, M.A.; Muzafarov, A.M.; Chvalun, S.N. Close-Packed polybutylcarbosilane dendrimers of higher generations. Soft Matter 2018, 14, 9755–9759. [Google Scholar] [CrossRef] [PubMed]
- Bakirov, A.V.; Shcherbina, M.A.; Milenin, S.A.; Tatarinova, E.A.; Buzin, A.I.; Muzafarov, A.M.; Chvalun, S.N. Crystallization of high-generation carbosilane dendrimers: From space filling to dense packing. Macromolecules 2024, 57, 1625–1631. [Google Scholar] [CrossRef]
- Balabaev, N.K.; Mazo, M.A.; Kramarenko, E.Y. Insight into the structure of polybutylcarbosilane dendrimer melts via extensive molecular dynamics simulations. Macromolecules 2017, 50, 432–445. [Google Scholar] [CrossRef]
- Markelov, D.A.; Shishkin, A.N.; Matveev, V.V.; Penkova, A.V.; Lähderanta, E.; Chizhik, V.I. Orientational mobility in dendrimer melts: Molecular dynamics simulations. Macromolecules 2016, 49, 9247–9257. [Google Scholar] [CrossRef]
- Dolgushev, M.; Markelov, D.A.; Lähderanta, E. Linear viscoelasticity of carbosilane dendrimer melts. Macromolecules 2019, 52, 2542–2547. [Google Scholar] [CrossRef]
- Kurbatov, A.O.; Balabaev, N.K.; Mazo, M.A.; Kramarenko, E.Y. Adsorption of silicon-containing dendrimers: Effects of chemical composition, structure and generation number. Polymers 2021, 13, 552. [Google Scholar] [CrossRef]
- Kurbatov, A.O.; Balabaev, N.K.; Litvin, K.A.; Kramarenko, E.Y. Structure and mechanical response of polybutylcarbosilane dendrimers confined in a flat slit: Effect of molecular architecture and generation number. Polymers 2023, 15, 4040. [Google Scholar] [CrossRef]
- Lorenz, K.; Muelhaupt, R.; Frey, H.; Rapp, U.; Mayer-Posner, F.J. Carbosilane-based dendritic polyols. Macromolecules 1995, 28, 6657–6661. [Google Scholar] [CrossRef]
- Sheiko, S.S.; Muzafarov, A.M.; Winkler, R.G.; Getmanova, E.V.; Eckert, G.; Reineker, P. Contact angle microscopy on a carbosilane dendrimer with hydroxyl end groups: A method for mesoscopic characterization of the surface structure. Langmuir 1997, 13, 4172–4181. [Google Scholar] [CrossRef]
- Zhang, X.; Klein, J.; Sheiko, S.S.; Muzafarov, A.M. Modification of surface interactions and friction by adsorbed dendrimers: 2. High-surface-energy –OH-terminated carbosilane dendrimers. Langmuir 2000, 16, 3893–3901. [Google Scholar] [CrossRef]
- Xiao, Z.; Cai, C.; Mayeux, A.; Milenkovic, A. The First Organosiloxane Thin Films Derived from SiCl3-Terminated Dendrons. Thickness-Dependent Nano- and Mesoscopic Structures of the Films Deposited on Mica by Spin-Coating. Langmuir 2002, 18, 7728–7739. [Google Scholar] [CrossRef]
- Litvin, K.A.; Kurbatov, A.O.; Balabaev, N.K.; Kramarenko, E.Y. Comparative study of conformational behavior and hydrogen bonding of hydroxyl-terminated carbosilane dendrimers in toluene and aqueous solution. Polym. Sci. Ser. A 2024, 66, 447–456. [Google Scholar] [CrossRef]
- Litvin, K.A.; Kurbatov, A.O.; Balabaev, N.K.; Kramarenko, E.Y. Vliyanie doli i raspredeleniya gidroksil’nyh grupp v koncevyh segmentah karbosilanovyh dendrimerov na ih konformacionnoe povedenie v vode, toluole i na mezhfaznyh granicah voda-toluol i voda-vakuum. Vysokomolek. Soedin. Seriya A 2025, 67, 5–16. [Google Scholar]
- Li, C.F.; Li, D.X.; Qiu, C.L.; Hou, W.G. Dendritic amphiphiles of carbosilane dendrimers with peripheral PEG for drug encapsulation. J. Polym. Res. 2013, 20, 204. [Google Scholar] [CrossRef]
- Li, C.; Zhang, Z.; Wu, J.; Li, D.; Hou, W.G. Synthesis and aggregation behavior of amphiphilic nanostructures composed of carbosilane dendrimer with peripheral poly (ethylene glycol) moieties. Polym. Int. 2014, 63, 1875–1880. [Google Scholar] [CrossRef]
- Abraham, M.J.; Murtola, T.; Schulz, R.; Páll, S.; Smith, J.C.; Hess, B.; Lindahl, E. GROMACS: High-performance molecular simulations through multi-level parallelism from laptops to supercomputers. SoftwareX 2015, 1–2, 19–25. [Google Scholar] [CrossRef]
- Páll, S.; Abraham, M.J.; Kutzner, C.; Hess, B.; Lindahl, E. Tackling exascale software challenges in molecular dynamics simulations with GROMACS. In Solving Software Challenges for Exascale; Markidis, S., Laure, E., Eds.; Lecture Notes in Computer Science; Springer: Cham, Switzerland, 2015; Volume 8759, pp. 3–27. [Google Scholar] [CrossRef]
- Berendsen, H.J.C.; van der Spoel, D.; van Drunen, R. GROMACS: A message-passing parallel molecular dynamics implementation. Comput. Phys. Commun. 1995, 91, 43–56. [Google Scholar] [CrossRef]
- Bekker, H.; Berendsen, H.; Dijkstra, E.; Achterop, S.; Van Drunen, R.; van der Spoel, D.; Sijbers, A.; Keegstra, H.; Reitsma, B.; Renardus, M. GROMACS: A parallel computer for molecular dynamics simulations. Phys. Comput. 1993, 92, 252–256. [Google Scholar]
- Bussi, G.; Donadio, D.; Parrinello, M. Canonical sampling through velocity rescaling. J. Chem. Phys. 2007, 126, 014101. [Google Scholar] [CrossRef] [PubMed]
- Berendsen, H.J.C.; Postma, J.P.M.; van Gunsteren, W.F.; Di Nola, A.; Haak, J.R. Molecular dynamics with coupling to an external bath. J. Chem. Phys. 1984, 81, 3684–3690. [Google Scholar] [CrossRef]
- Weiner, S.J.; Kollman, P.A.; Case, D.A.; Singh, U.C.; Ghio, C.; Alagona, G.; Profeta, S.; Weiner, P. A new force field for molecular mechanical simulation of nucleic acids and proteins. J. Am. Chem. Soc. 1984, 106, 765–784. [Google Scholar] [CrossRef]
- Wang, J.; Wolf, R.M.; Caldwell, J.W.; Kollman, P.A.; Case, D.A. Development and testing of a general Amber force field. J. Comput. Chem. 2004, 25, 1157–1174. [Google Scholar] [CrossRef]
- Hill, J.R.; Sauer, J.J. Molecular Mechanics Potential for Silica and Zeolite Catalysts Based on ab Initio Calculations. 2. Alumi-nosilicates. J. Phys. Chem. 1995, 99, 9536–9550. [Google Scholar] [CrossRef]
- Darden, T.; York, D.; Pedersen, L. Particle mesh Ewald: An N·log(N) method for Ewald sums in large systems. J. Chem. Phys. 1993, 98, 10089–10092. [Google Scholar] [CrossRef]
- Wu, Y.; Tepper, H.L.; Voth, G.A. Flexible simple point-charge water model with improved liquid-state properties. J. Chem. Phys. 2006, 124, 024503. [Google Scholar] [CrossRef]










| Dendrimer Type | Number of Dendrimer Atoms | Number of Oxygen Atoms |
|---|---|---|
| G2-R1 | 361 | 32 |
| G2-R3 | 585 | 64 |
| G3-R1 | 777 | 64 |
| G3-R3 | 1225 | 128 |
| G4-R1 | 1609 | 128 |
| G4-R3 | 2505 | 256 |
| Dendrimer Type | Water | Toluene | Water–Air Interface | |
|---|---|---|---|---|
| Rg, nm | Rg, nm | Hxy, nm | Hz, nm | |
| G2-R1 | 0.78 ± 0.02 | 0.93 ± 0.03 | 0.56 ± 0.03 | 0.30 ± 0.02 |
| G2-R3 | 0.90 ± 0.02 | 1.18 ± 0.05 | 0.69 ± 0.03 | 0.32 ± 0.02 |
| G3-R1 | 0.97 ± 0.01 | 1.21± 0.03 | 0.70 ± 0.03 | 0.38 ± 0.02 |
| G3-R3 | 1.13 ± 0.02 | 1.48 ± 0.04 | 0.75 ± 0.03 | 0.41 ± 0.02 |
| G4-R1 | 1.21 ± 0.01 | 1.48 ± 0.04 | 0.85 ± 0.03 | 0.51 ± 0.02 |
| G4-R3 | 1.39 ± 0.01 | 1.70 ± 0.04 | 0.97 ± 0.03 | 0.59 ± 0.02 |
| Dendrimer Type | Water | Toluene | Water–Air Interface | ||
|---|---|---|---|---|---|
| G2-R1 | 0.92 ± 0.06 | 0.83 ± 0.05 | 0.90 ± 0.05 | 0.78 ± 0.04 | 1.90 ± 0.17 |
| G2-R3 | 0.92 ± 0.07 | 0.80 ± 0.07 | 0.94 ± 0.05 | 0.82 ± 0.04 | 2.16 ± 0.18 |
| G3-R1 | 0.91 ± 0.04 | 0.83 ± 0.04 | 0.94 ± 0.03 | 0.86 ± 0.03 | 1.82 ± 0.13 |
| G3-R3 | 0.94 ± 0.05 | 0.87 ± 0.04 | 0.93 ± 0.04 | 0.85 ± 0.03 | 1.82 ± 0.12 |
| G4-R1 | 0.92 ± 0.04 | 0.87 ± 0.04 | 0.96 ± 0.02 | 0.92 ± 0.02 | 1.66 ± 0.09 |
| G4-R3 | 0.94 ± 0.03 | 0.89 ± 0.03 | 0.96 ± 0.02 | 0.93 ± 0.02 | 1.62 ± 0.07 |
| Dendrimer Type | Water | Water–Air Interface |
|---|---|---|
| G2-R1 | 10 ± 3/0.31 ± 0.09 | 6 ± 2/0.19 ± 0.06 |
| G2-R3 | 19 ± 3/0.30 ± 0.05 | 11 ± 2/0.17 ± 0.03 |
| G3-R1 | 17 ± 3/0.27 ± 0.05 | 9 ± 2/0.14 ± 0.03 |
| G3-R3 | 32 ± 5/0.25 ± 0.04 | 17 ± 3/0.13 ± 0.02 |
| G4-R1 | 29 ± 4/0.23 ± 0.03 | 15 ± 2/0.12 ± 0.02 |
| G4-R3 | 50 ± 6/0.20 ± 0.02 | 27 ± 3/0.10 ± 0.01 |
Disclaimer/Publisher’s Note: The statements, opinions and data contained in all publications are solely those of the individual author(s) and contributor(s) and not of MDPI and/or the editor(s). MDPI and/or the editor(s) disclaim responsibility for any injury to people or property resulting from any ideas, methods, instructions or products referred to in the content. |
© 2025 by the authors. Licensee MDPI, Basel, Switzerland. This article is an open access article distributed under the terms and conditions of the Creative Commons Attribution (CC BY) license.
Share and Cite
Kurbatov, A.O.; Litvin, K.A.; Grishin, I.I.; Balabaev, N.K.; Kramarenko, E.Y. Atomistic Simulations of Individual Amphiphilic Carbosilane Dendrimers with –(OCH2CH2)n–OCH3 Terminal Groups in Hydrophilic and Hydrophobic Environments and at Interfaces. Polymers 2026, 18, 92. https://doi.org/10.3390/polym18010092
Kurbatov AO, Litvin KA, Grishin II, Balabaev NK, Kramarenko EY. Atomistic Simulations of Individual Amphiphilic Carbosilane Dendrimers with –(OCH2CH2)n–OCH3 Terminal Groups in Hydrophilic and Hydrophobic Environments and at Interfaces. Polymers. 2026; 18(1):92. https://doi.org/10.3390/polym18010092
Chicago/Turabian StyleKurbatov, Andrey O., Kirill A. Litvin, Iurii Iu. Grishin, Nikolay K. Balabaev, and Elena Yu. Kramarenko. 2026. "Atomistic Simulations of Individual Amphiphilic Carbosilane Dendrimers with –(OCH2CH2)n–OCH3 Terminal Groups in Hydrophilic and Hydrophobic Environments and at Interfaces" Polymers 18, no. 1: 92. https://doi.org/10.3390/polym18010092
APA StyleKurbatov, A. O., Litvin, K. A., Grishin, I. I., Balabaev, N. K., & Kramarenko, E. Y. (2026). Atomistic Simulations of Individual Amphiphilic Carbosilane Dendrimers with –(OCH2CH2)n–OCH3 Terminal Groups in Hydrophilic and Hydrophobic Environments and at Interfaces. Polymers, 18(1), 92. https://doi.org/10.3390/polym18010092

