A Comprehensive Review on the Mechanics of Cyclodextrin-Based Slide-Ring Polymers
Abstract
1. Introduction
2. Cyclodextrin-Based Slide-Ring Polymers
2.1. Sliding Cross-Linking Point Configurations Based on Cyclodextrin and Their Preparation
2.1.1. “Figure-of-Eight” Cross-Linking Point
2.1.2. “Figure-of-Nine” Cross-Linking Point
2.1.3. Zipper-Shaped Cross-Linking Points
2.1.4. Fidget Spinner-Shaped Cross-Linking Points
2.1.5. Crystal Domain-Type Cross-Linking Points
2.1.6. Dumbbell-Shaped Cross-Linking Points
2.1.7. Tanghulu-Shaped Cross-Linking Points
2.2. Hybrid Cross-Linking
2.3. Functionalization of CD-Based SRPs
| Function | Implementation Method | Research Progress |
|---|---|---|
| Thermal function | polymer main chain poly(N-isopropylacrylamide) PNIPA [59], methylated CD [48] | reversible swelling and contraction [59], thermoresponsive behavior regulated by Ph [59] (Figure 10a), thermal stability [82], thermoresponsive characteristics [48]. |
| Electrical function | choline chloride (ChCl) [19], functionalized CD [83] | PR content affects conductivity [83] (Figure 10b), excellent ionic conductivity (0.93 S/m) [19], sensitive resistance response to strain (Figure 10c), stable signal output [19] (Figure 10d). |
| Optical function | azobenzene groups into β-CD | rapid photoresponsive behavior [17] (Figure 10e), sensitive optical signal response [58] (Figure 10f), |
| Acoustic function | internal friction effect, internal porous structure. | excellent damping performance [84] (Figure 10g). |

3. Physical and Mechanical Behaviors and Properties of CD-Based SRPs
3.1. Deformation
3.1.1. Stretching Deformation
| Experimental Conditions | |
|---|---|
| Rectangular strip | 15 × 2 × 1 mm3 [18], 10 × 2 × 0.5 mm3 [51], 60 × (6–8) × (1.2–5) mm3 [52], 16 × 4 × 0.5 mm3 [70], 15 × 10 × 1 mm3 [56], 30 × 5 × 0.5 mm3 [59], 10 × 5 × 1 mm3 [66], 10 × 4 × 1 mm3 [93], 30 × 3 ×1 mm3 [49,97]. |
| Dumbbell shape | 12 × 2 × (0.68–0.94) mm3 [65], 10 × 2 × 1 mm3 [96], 20 × 5 × 1 mm3 [95]. |
| Rate | 0.0083 mm/s [93,94], 0.1 mm/s [51,56,59,96], 0.16 mm/s [65], 0.53 mm/s [70], 1 mm/s [10,17,95], 1.67 mm/s [19,49,52,66,97], 1.875 mm/s [18]. |
| Uniaxial Tension | |
|---|---|
| Elongation at break | 200% (SRPs mixed with HDI and MDI in an 80:20 ratio) [94], 450% (RCPs with TBM-2 cross-linking agent) [66], 800% (PNIPA gel) [93], 830% (SR gel with AM concentration of 40 w/v%) [19], 991% (SR gel with coverage rate of 4.4%) [97], 1200% (SR gel with molecular weight of 35 kDa of PEG) [70], 1480% (SRPs with ion cross-linking agent concentration of 0.8 wt%) [59], 1530% (SR gels with PEG volume fraction of 18%) [18], 1560% (RCPs with degree of polymerization (DPn) value of 70 for PTHF parts) [65], 1650% (SRPs with cross-linking agent concentration of 5 w%) [56], 2030% (SR gel with water content of 40.63%) [49], 2800% (αCD-Azo hydrogel) [17]. |
| Tensile strength | 40.9 kPa (SRPs with cross-linking agent concentration of 2 wt%) [59], 78.1 kPa (SR gel with AM concentration of 40 w/v%) [19], 130 kPa (SR gel with molecular weight of 100 kDa of PEG) [70], 270 kPa (αCD-Azo hydrogel) [17], 444 kPa (SR gel with coverage rate of 4.4%) [97], 490 kPa (RCPs with DPn value of 70 for PTHF parts) [65], 674 kPa (SRPs with cross-linking agent of 1 w%) [56], 974 kPa (SR gel with water content of 18.36%) [49], 5.5 MPa (SR gel with PEG volume fraction of 38%) [18], 8.7 MPa (SRPs mixed with HDI and MDI in an 80:20 ratio) [94], 27 MPa (RCPs with TBM-2 cross-linking agent) [66]. |
| Elastic modulus | 44.4 Pa (RCPs with DPn value of 70 for PTHF parts) [65], 0.32 kPa (SRPs with coverage rate of 24%) [96], 8.2 kPa (SR gel with volume swelling rate of 12.1) [52], 17 kPa (SR gel with cross-linking concentration of 1%) [51], 26.7 kPa (SR gel with molecular weight of 35 kDa of PEG) [70], 30 kPa (PNIPA gel) [93], 109 kPa (SR gel with coverage rate of 4.4%) [97], 130 kPa (SR gels with PEG volume fraction of 18%) [18], 668 kPa (SR gel with water content of 17.5%) [49]. |
| Low hysteresis | After 20 cycles of tensile testing, PR elastomer demonstrated excellent elastic recovery ability with low hysteresis [94]. After 20 loading cycles, gelatin hydrogel exhibited relatively low hysteresis, ranging from 10% to 15% [96]. After 100 cycles at 100% strain, SRPs with KB mass fraction of 10% still maintained good response stability [95]. After 100 cycles at 800% strain, SR gels with PEG volume fraction of 38% demonstrated nearly complete rapid reversible deformation [18]. After 500 cycles at 300% strain, SR gel with AM concentration of 40 w/v% almost no significant hysteresis [19]. |

3.1.2. Viscoelasticity
3.1.3. Multi-Axis Deformation

3.2. Fracture
3.3. Others
- Swelling
- Self-recovery
4. Deformation Mechanism and Theoretical Models of CD-Based SRPs
4.1. Hyperelastic Models
| Constitutive Model | Function Expression |
| neo-Hookean model [100,114,115] | |
| Gent model [113] | |
| Xing–Shu model [116] | |
| Ball–Doi model [118] | |
| Edwards–Vilgis model [119] |

4.2. Fracture Models
4.3. Viscoelastic Models
5. Simulation and Prediction of CD-Based SRPs
5.1. Simulation at Atomic or Molecular Scale
5.2. Simulation at Continuum Scale
6. Conclusions
Author Contributions
Funding
Institutional Review Board Statement
Data Availability Statement
Conflicts of Interest
Abbreviations
| CD | Cyclodextrin |
| β-CD | β-Cyclodextrin |
| γ-CD | Gamma-cyclodextrin |
| CCPs | Covalently cross-linked polymers |
| PCPs | Physically cross-linked polymers |
| RCPs | Rotaxane cross-linked polymers |
| SRPs | Slide-ring polymers |
| PEG | Polyethylene glycol |
| PPO | Polypropylene oxide |
| PTHF | Polytetrahydrofuran |
| PR | Polyrotaxane |
| TBMs | Terminal bulky macromonomers |
| VSC | Vinylic supramolecular cross-linkers |
| VC11 | Viologen with C11 alkyl chain |
| DMF | Dimethylformamid |
| CDI | N,N′-carbonyldiimidazole |
| BDDE | 1,4-butanediol diglycidyl ether |
| DVS | Divinyl sulfone |
| HMDI | Hexamethylene diisocyanate |
| MDI | Diphenylmethane diisocyanate |
| αCD-Azo | α-Cyclodextrin-Azo |
| AM | Acrylamide |
| MA | Methacrylate |
| KP | Knitted polymer |
| PVA | Polyvinyl alcohol |
| PNIPA | Poly(N-isopropylacrylamide) |
| SR | Slide-ring |
| FC | Fixed cross-linking |
| PC | Physical cross linking |
| Tetra | Tetra-arm |
| PR-Gels | Polymerizable rotaxane gels |
| RVE | Representative volume element |
| DMA | Dynamic mechanical analysis |
| SAOS | Small-amplitude oscillatory shear |
| NOSB-PD | Non-ordinary state-based peridynamics |
| BD | Brownian Dynamics |
| ML | Machine learning |
| CGMD | Coarse-Grained Molecular Dynamic |
| CANNK | Kuhl’s constitutive artificial neural network |
| PICANN | Physics-informed constitutive artificial neural network |
| PICANN × MPNN | PICANN and MPNN |
| CANNN | Novel constitutive artificial neural network model |
| KWW | Kohlrausch–Williams–Watts |
References
- Wang, L.; Gao, G.; Zhou, Y.; Xu, T.; Chen, J.; Wang, R.; Zhang, R.; Fu, J. Tough, adhesive, self-healable, and transparent ionically conductive zwitterionic nanocomposite hydrogels as skin strain sensors. ACS Appl. Mater. Interfaces 2018, 11, 3506–3515. [Google Scholar] [CrossRef]
- Wu, Z.; Yang, X.; Wu, J. Conductive hydrogel-and organohydrogel-based stretchable sensors. ACS Appl. Mater. Interfaces 2021, 13, 2128–2144. [Google Scholar] [CrossRef]
- Meng, Z.; Thakur, T.; Chitrakar, C.; Jaiswal, M.K.; Gaharwar, A.K.; Yakovlev, V.V. Assessment of local heterogeneity in mechanical properties of nanostructured hydrogel networks. Acs Nano 2017, 11, 7690–7696. [Google Scholar] [CrossRef] [PubMed]
- Ravishankar, K.; Venkatesan, M.; Desingh, R.P.; Mahalingam, A.; Sadhasivam, B.; Subramaniyam, R.; Dhamodharan, R. Biocompatible hydrogels of chitosan-alkali lignin for potential wound healing applications. Mater. Sci. Eng. C 2019, 102, 447–457. [Google Scholar] [CrossRef]
- He, M.; Wang, Z.; Cao, Y.; Zhao, Y.; Duan, B.; Chen, Y.; Xu, M.; Zhang, L. Construction of chitin/PVA composite hydrogels with jellyfish gel-like structure and their biocompatibility. Biomacromolecules 2014, 15, 3358–3365. [Google Scholar] [CrossRef]
- Lee, Y.; Song, W.J.; Sun, J.Y. Hydrogel soft robotics. Mater. Today Phys. 2020, 15, 100258. [Google Scholar] [CrossRef]
- López-Díaz, A.; Martín-Pacheco, A.; Rodríguez, A.M.; Herrero, M.A.; Vázquez, A.S.; Vázquez, E. Concentration Gradient-Based Soft Robotics: Hydrogels Out of Water. Adv. Funct. Mater. 2020, 30, 2004417. [Google Scholar] [CrossRef]
- Cordier, P.; Tournilhac, F.; Soulié-Ziakovic, C.; Leibler, L. Self-healing and thermoreversible rubber from supramolecular assembly. Nature 2008, 451, 977–980. [Google Scholar] [CrossRef] [PubMed]
- Hao, J.; Weiss, R.A. Mechanical behavior of hybrid hydrogels composed of a physical and a chemical network. Polymer 2013, 54, 2174–2182. [Google Scholar] [CrossRef]
- Sun, J.Y.; Zhao, X.; Illeperuma, W.R.K.; Chaudhuri, O.; Oh, K.H.; Mooney, D.J.; Vlassak, J.J.; Suo, Z. Highly stretchable and tough hydrogels. Nature 2012, 489, 133–136. [Google Scholar] [CrossRef]
- Filippidi, E.; Cristiani, T.R.; Eisenbach, C.D.; Waite, J.H.; Israelachvili, J.N.; Ahn, B.K.; Valentine, M.T. Toughening elastomers using mussel-inspired iron-catechol complexes. Science 2017, 358, 502–505. [Google Scholar] [CrossRef]
- Tang, Y.; Yu, Z.; Tam, L.H.; Zhou, A.; Li, D.M. Behaviors of water molecules in polyvinyl alcohol gel amid stretch and temperature changes: A molecular dynamics study. Mater. Today Commun. 2022, 33, 104834. [Google Scholar] [CrossRef]
- Shibayama, M. Structure-mechanical property relationship of tough hydrogels. Soft Matter 2012, 8, 8030–8038. [Google Scholar] [CrossRef]
- Shibayama, M. Spatial inhomogeneity and dynamic fluctuations of polymer gels. Macromol. Chem. Phys. 1998, 199, 1–30. [Google Scholar] [CrossRef]
- Li, D.M.; Tian, L.R. Large deformation analysis of a gel using the complex variable element-free Galerkin method. Appl. Math. Model. 2018, 61, 484–497. [Google Scholar] [CrossRef]
- Li, D.M.; Kong, L.H.; Liu, J.H. A generalized decoupling numerical framework for polymeric gels and its element-free implementation. Int. J. Numer. Methods Eng. 2020, 121, 2701–2726. [Google Scholar] [CrossRef]
- Takashima, Y.; Hayashi, Y.; Osaki, M.; Kaneko, F.; Yamaguchi, H.; Harada, A. A photoresponsive polymeric actuator topologically cross-linked by movable units based on a [2] rotaxane. Macromolecules 2018, 51, 4688–4693. [Google Scholar] [CrossRef]
- Liu, C.; Morimoto, N.; Jiang, L.; Kawahara, S.; Noritomi, T.; Yokoyama, H.; Mayumi, K.; Ito, K. Tough hydrogels with rapid self-reinforcement. Science 2021, 372, 1078–1081. [Google Scholar] [CrossRef]
- Xiong, X.; Chen, Y.; Wang, Z.; Liu, H.; Le, M.; Lin, C.; Wu, G.; Wang, L.; Shi, X.; Jia, Y.; et al. Polymerizable rotaxane hydrogels for three-dimensional printing fabrication of wearable sensors. Nat. Commun. 2023, 14, 1331. [Google Scholar] [CrossRef]
- de Gennes, P.G. Sliding gels. Phys. A Stat. Mech. Appl. 1999, 271, 231–237. [Google Scholar] [CrossRef]
- Harada, A.; Li, J.; Kamachi, M. Preparation and properties of inclusion complexes of polyethylene glycol with. alpha-cyclodextrin. Macromolecules 1993, 26, 5698–5703. [Google Scholar] [CrossRef]
- Harada, A. Cyclodextrin-based molecular machines. Acc. Chem. Res. 2001, 34, 456–464. [Google Scholar] [CrossRef]
- Huang, F.; Gibson, H.W. Polypseudorotaxanes and polyrotaxanes. Prog. Polym. Sci. 2005, 30, 982–1018. [Google Scholar] [CrossRef]
- Sandilya, A.A.; Natarajan, U.; Priya, M.H. Molecular View into the Cyclodextrin Cavity: Structure and Hydration. ACS Omega 2020, 5, 25655–25667. [Google Scholar] [CrossRef]
- Harada, A.; Kamachi, M. Complex formation between poly (ethylene glycol) and α-cyclodextrin. Macromolecules 1990, 23, 2821–2823. [Google Scholar] [CrossRef]
- Crini, G. A history of cyclodextrins. Chem. Rev. 2014, 114, 10940–10975. [Google Scholar] [CrossRef] [PubMed]
- Tungala, K.; Adhikary, P.; Azmeera, V.; Kumar, K.; Krishnamoorthi, S. Dendritic star polymer of polyacrylamide based on a β-cyclodextrin trimer: A flocculant and drug vehicle. New J. Chem. 2017, 41, 611–618. [Google Scholar] [CrossRef]
- Shukla, A.; Singh, A.P.; Ray, B.; Aswal, V.; Kar, A.; Maiti, P. Efficacy of polyurethane graft on cyclodextrin to control drug release for tumor treatment. J. Colloid Interface Sci. 2019, 534, 215–227. [Google Scholar] [CrossRef] [PubMed]
- Zhou, X.; Xu, L.; Xu, J.; Wu, J.; Kirk, T.B.; Ma, D.; Xue, W. Construction of a high-efficiency drug and gene co-delivery system for cancer therapy from a pH-sensitive supramolecular inclusion between oligoethylenimine-graft-β-cyclodextrin and hyperbranched polyglycerol derivative. ACS Appl. Mater. Interfaces 2018, 10, 35812–35829. [Google Scholar] [CrossRef]
- Riebe, J.; Niemeyer, J. Mechanically interlocked molecules for biomedical applications. Eur. J. Org. Chem. 2021, 2021, 5106–5116. [Google Scholar] [CrossRef]
- Pairault, N.; Niemeyer, J. Chiral mechanically interlocked molecules-applications of rotaxanes, catenanes and molecular knots in stereoselective chemosensing and catalysis. Synlett 2018, 29, 689–698. [Google Scholar]
- Zhang, Z.; Niu, J.; Wang, J.; Zheng, Q.; Miao, W.; Lin, Q.; Li, X.; Jin, Z.; Qiu, C.; Sang, S.; et al. Advances in the preparation and application of cyclodextrin derivatives in food and the related fields. Food Res. Int. 2024, 195, 114952. [Google Scholar] [CrossRef]
- Araki, J.; Ito, K. Recent advances in the preparation of cyclodextrin-based polyrotaxanes and their applications to soft materials. Soft Matter 2007, 3, 1456–1473. [Google Scholar] [CrossRef] [PubMed]
- Sapsford, E.; Michieletto, D. Topologically-crosslinked hydrogels based on γ-cyclodextrins. Commun. Chem. 2025, 8, 99. [Google Scholar] [CrossRef] [PubMed]
- Ito, K. Novel entropic elasticity of polymeric materials: Why is slide-ring gel so soft? Polym. J. 2012, 44, 38–41. [Google Scholar] [CrossRef]
- Liu, Z.; Ye, L.; Xi, J.; Feng, Z.G. Cyclodextrin Polymers: Structure, Synthesis, and Use as Drug Carriers. Prog. Polym. Sci. 2021, 118, 101408. [Google Scholar] [CrossRef]
- Liu, S.; Zheng, J.; Wang, J.; Liu, S.; Zhang, X.; Bao, D.; Zhang, P. Preparation and application of polyrotaxane cross-linking agent based on cyclodextrin in gel materials field. Gels 2023, 9, 854. [Google Scholar] [CrossRef]
- Mayumi, K.; Liu, C.; Yasuda, Y.; Ito, K. Softness, elasticity, and toughness of polymer networks with slide-ring cross-links. Gels 2021, 7, 91. [Google Scholar] [CrossRef]
- Ando, S.; Ito, K. Recent Progress and Future Perspective in Slide-Ring Based Polymeric Materials. Macromolecules 2025, 58, 2157–2177. [Google Scholar] [CrossRef]
- Ito, K. Slide-ring materials using cyclodextrin. Chem. Pharm. Bull. 2017, 65, 326–329. [Google Scholar] [CrossRef] [PubMed]
- Zheng, J.; Yang, Z.; Sang, Y.; Zhang, F.; Zhang, Y.; Zhang, P. A simple preparation method of rotaxane cross-linker based on γ-cyclodextrin and its application in hydrogel materials. Mater. Today Commun. 2022, 33, 104760. [Google Scholar] [CrossRef]
- Okumura, Y.; Ito, K. The polyrotaxane gel: A topological gel by figure-of-eight cross-links. Adv. Mater. 2001, 13, 485–487. [Google Scholar] [CrossRef]
- Kato, K.; Hori, A.; Ito, K. An efficient synthesis of low-covered polyrotaxanes grafted with poly(ε-caprolactone) and the mechanical properties of its cross-linked elastomers. Polymer 2018, 147, 67–73. [Google Scholar] [CrossRef]
- Choi, S.; Kwon, T.; Coskun, A.; Choi, J.W. Highly elastic binders integrating polyrotaxanes for silicon microparticle anodes in lithium ion batteries. Science 2017, 357, 279–283. [Google Scholar] [CrossRef]
- Yoo, D.J.; Elabd, A.; Choi, S.; Cho, Y.; Kim, J.; Lee, S.J.; Choi, S.H.; Kwon, T.; Char, K.; Kim, K.J.; et al. Highly elastic polyrotaxane binders for mechanically stable lithium hosts in lithium-metal batteries. Adv. Mater. 2019, 31, 1901645. [Google Scholar] [CrossRef]
- Jiang, L.; Liu, C.; Mayumi, K.; Kato, K.; Yokoyama, H.; Ito, K. Highly stretchable and instantly recoverable slide-ring gels consisting of enzymatically synthesized polyrotaxane with low host coverage. Chem. Mater. 2018, 30, 5013–5019. [Google Scholar] [CrossRef]
- Liu, J.H.; Yu, Z.; Li, D.M. Role of terminal beads in fracture of topological gels: A coarse-grained molecular dynamics study. Mater. Today Commun. 2024, 41, 110341. [Google Scholar] [CrossRef]
- Ito, K. Slide-ring materials using topological supramolecular architecture. Curr. Opin. Solid State Mater. Sci. 2010, 14, 28–34. [Google Scholar] [CrossRef]
- Fu, T.Y. Regulation of Mechanical Properties in Slide-Ring Gels by Three Dehydration Strategies and ANN Constitutive Model Construction. Master’s Thesis, Wuhan University of Technology, Wuhan, China, 2025. [Google Scholar]
- Karino, T.; Shibayama, M.; Ito, K. Slide-ring gel: Topological gel with freely movable cross-links. Phys. B Condens. Matter 2006, 385, 692–696. [Google Scholar] [CrossRef]
- Mayumi, K.; Tezuka, M.; Bando, A.; Ito, K. Mechanics of slide-ring gels: Novel entropic elasticity of a topological network formed by ring and string. Soft Matter 2012, 8, 8179–8183. [Google Scholar] [CrossRef]
- Murata, N.; Konda, A.; Urayama, K.; Takigawa, T.; Kidowaki, M.; Ito, K. Anomaly in stretching-induced swelling of slide-ring gels with movable cross-links. Macromolecules 2009, 42, 8485–8491. [Google Scholar] [CrossRef]
- Kato, K.; Ito, K. Dynamic transition between rubber and sliding states attributed to slidable cross-links. Soft Matter 2011, 7, 8737–8740. [Google Scholar] [CrossRef]
- Kato, K.; Karube, K.; Nakamura, N.; Ito, K. The effect of ring size on the mechanical relaxation dynamics of polyrotaxane gels. Polym. Chem. 2015, 6, 2241–2248. [Google Scholar] [CrossRef]
- Minato, K.; Mayumi, K.; Maeda, R.; Kato, K.; Yokoyama, H.; Ito, K. Mechanical properties of supramolecular elastomers prepared from polymer-grafted polyrotaxane. Polymer 2017, 128, 386–391. [Google Scholar] [CrossRef]
- Yi, M.B.; Lee, T.H.; Han, G.Y.; Kim, H.; Kim, H.J.; Kim, Y.; Ryou, H.S.; Jin, D.U. Movable cross-linking in adhesives: Superior stretching and adhesion properties via a supramolecular sliding effect. ACS Appl. Polym. Mater. 2021, 3, 2678–2686. [Google Scholar] [CrossRef]
- Kosaba, S.; Ikura, R.; Yamaoka, K.; Arai, T.; Takashima, Y. Recyclable tough adhesive sheets with movable cross-links for sustainable use. ACS Appl. Mater. Interfaces 2024, 16, 25393–25403. [Google Scholar] [CrossRef]
- Kobayashi, Y.; Kojima, Y.; Miki, R.; Seki, T.; Fujihara, T.; Ishimaru, Y.; Egawa, Y. Single-step preparation of topological gels using vinyl-modified β-cyclodextrin as a figure-of-six cross-linker. J. Incl. Phenom. Macrocycl. Chem. 2018, 92, 311–317. [Google Scholar] [CrossRef]
- Bin Imran, A.; Esaki, K.; Gotoh, H.; Seki, T.; Ito, K.; Sakai, Y.; Takeoka, Y. Extremely stretchable thermosensitive hydrogels by introducing slide-ring polyrotaxane cross-linkers and ionic groups into the polymer network. Nat. Commun. 2014, 5, 5124. [Google Scholar] [CrossRef]
- Tamura, A.; Lee, D.H.; Arisaka, Y.; Kang, T.W.; Yui, N. Post-cross-linking of collagen hydrogels by carboxymethylated polyrotaxanes for simultaneously improving mechanical strength and cell proliferation. ACS Biomater. Sci. Eng. 2022, 8, 588–597. [Google Scholar] [CrossRef]
- Harada, A.; Li, J.; Kamachi, M. Double-stranded inclusion complexes of cyclodextrin threaded on poly (ethylene glycol). Nature 1994, 370, 126–128. [Google Scholar] [CrossRef]
- Yamashita, N.; Yamaoka, K.; Ikura, R.; Yoshida, D.; Park, J.; Kato, N.; Kamei, M.; Ogura, K.; Lgarashi, M.; Nakagawa, H.; et al. Enhancement of the mechanical properties of organic-inorganic hybrid elastomers by introducing movable and reversible crosslinks. Soft Matter 2023, 19, 9074–9081. [Google Scholar] [CrossRef]
- Ikura, R.; Ikemoto, Y.; Osaki, M.; Yamaguchi, H.; Harada, A.; Takashima, Y. Preparation of hydrophilic polymeric materials with movable cross-linkers and their mechanical property. Polymer 2020, 196, 122465. [Google Scholar] [CrossRef]
- Ikura, R.; Park, J.; Osaki, M.; Yamaguchi, H.; Harada, A.; Takashima, Y. Supramolecular elastomers with movable cross-linkers showing high fracture energy based on stress dispersion. Macromolecules 2019, 52, 6953–6962. [Google Scholar] [CrossRef]
- Iijima, K.; Aoki, D.; Otsuka, H.; Takata, T. Synthesis of rotaxane cross-linked polymers with supramolecular cross-linkers based on γ-CD and PTHF macromonomers: The effect of the macromonomer structure on the polymer properties. Polymer 2017, 128, 392–396. [Google Scholar] [CrossRef]
- Jang, K.; Iijima, K.; Koyama, Y.; Uchida, S.; Asai, S.; Takata, T. Synthesis and properties of rotaxane-cross-linked polymers using a double-stranded γ-CD-based inclusion complex as a supramolecular cross-linker. Polymer 2017, 128, 379–385. [Google Scholar] [CrossRef]
- Aramoto, H.; Osaki, M.; Konishi, S.; Ueda, C.; Kobayashi, Y.; Takashima, Y.; Harada, A.; Yamaguchi, H. Redox-responsive supramolecular polymeric networks having double-threaded inclusion complexes. Chem. Sci. 2020, 11, 4322–4331. [Google Scholar] [CrossRef]
- Fan, M.M.; Yu, Z.J.; Luo, H.Y.; Zhang, S.; Li, B.J. Supramolecular Network Based on the Self-Assembly of γ-Cyclodextrin with Poly (ethylene glycol) and its Shape Memory Effect. Macromol. Rapid Commun. 2009, 30, 897–903. [Google Scholar] [CrossRef] [PubMed]
- Iijima, K.; Aoki, D.; Sogawa, H.; Asai, S.; Takata, T. Synthesis and characterization of supramolecular cross-linkers containing cyclodextrin dimer and trimer. Polym. Chem. 2016, 7, 3492–3495. [Google Scholar] [CrossRef]
- Murakami, T.; Schmidt, B.V.K.J.; Brown, H.R.; Hawker, C.J. One-pot “click” fabrication of slide-ring gels. Macromolecules 2015, 48, 7774–7781. [Google Scholar] [CrossRef]
- Tan, S.; Blencowe, A.; Ladewig, K.; Qiao, G.G. A novel one-pot approach towards dynamically cross-linked hydrogels. Soft Matter 2013, 9, 5239–5250. [Google Scholar] [CrossRef]
- Bleta, R.; Menuel, S.; Léger, B.; Da Costa, A.; Monflier, E.; Ponchel, A. Evidence for the existence of crosslinked crystalline domains within cyclodextrin-based supramolecular hydrogels through sol–gel replication. RSC Adv. 2014, 4, 8200–8208. [Google Scholar] [CrossRef]
- Gyanwali, G.; Hodge, M.; White, J.L. Orthogonal polymer networks that contain dynamic nodes. Polymer 2013, 54, 2257–2263. [Google Scholar] [CrossRef]
- Kim, J.; Zhang, G.; Shi, M.; Suo, Z. Fracture, fatigue, and friction of polymers in which entanglements greatly outnumber cross-links. Science 2021, 374, 212–216. [Google Scholar] [CrossRef]
- Wang, S.; Chen, Y.; Sun, Y.; Qin, Y.; Zhang, H.; Yu, X.; Liu, Y. Stretchable slide-ring supramolecular hydrogel for flexible electronic devices. Commun. Mater. 2022, 3, 2. [Google Scholar] [CrossRef]
- Zhang, H.; Zhang, Y.; Chen, Y.; Wang, S.P.; Zhang, C.; Liu, Y. Polyrotaxane in-situ copolymerization stretchable supramolecular hydrogels for photo-controlled cascade energy transfer. Eur. Polym. J. 2023, 192, 112070. [Google Scholar] [CrossRef]
- Dikshit, K.V.; Visal, A.M.; Janssen, F.; Larsen, A.; Bruns, C.J. Pressure-sensitive supramolecular adhesives based on lipoic acid and biofriendly dynamic cyclodextrin and polyrotaxane cross-linkers. ACS Appl. Mater. Interfaces 2023, 15, 17256–17267. [Google Scholar] [CrossRef]
- Kimura, T.; Aoyama, T.; Nakahata, M.; Takashima, Y.; Tanaka, M.; Harada, A.; Urayama, K. Time–strain inseparability in multiaxial stress relaxation of supramolecular gels formed via host–guest interactions. Soft Matter 2022, 18, 4953–4962. [Google Scholar] [CrossRef] [PubMed]
- Tang, Y.; Yu, Z.; Li, D.M.; Chen, J.; Liu, J. Reinforcement of topological gels through physical cross-linking: A coarse-grained molecular dynamics study. Comput. Mater. Sci. 2025, 253, 113894. [Google Scholar] [CrossRef]
- Tang, Y. Study on Tensile and Fatigue Properties of Gel Materials Based on Multiscale Modeling. Master’s Thesis, Wuhan University of Technology, Wuhan, China, 2023. [Google Scholar]
- Enoki, T.; Hashimoto, K.; Oda, T.; Ito, K.; Mayumi, K. Tough and Durable Slide-Ring Ion Gels for Stretchable Electronics Leveraging Strain-Induced Crystallization of Poly (ethylene glycol). Macromolecules 2024, 57, 11498–11506. [Google Scholar] [CrossRef]
- Kim, M.; Way, J.D.; Baldwin, R.M. Effects of cross-linking and spacer groups on beta-cyclodextrin bonded liquid chromatographic separation. Korean J. Chem. Eng. 2004, 21, 465–468. [Google Scholar] [CrossRef]
- Jiang, Y.; Zhang, Z.; Wang, Y.X.; Li, D.; Coen, C.T.; Hwaun, E.; Chen, G.; Wu, H.; Zhong, D.; Bao, Z.; et al. Topological supramolecular network enabled high-conductivity, stretchable organic bioelectronics. Science 2022, 375, 1411–1417. [Google Scholar] [CrossRef] [PubMed]
- Song, R.; Liu, Z.; Geng, X.; Ye, L.; Zhang, A.Y.; Feng, Z.G. Preparation and characterization of cross-linked polyurethanes using β-CD [3] PR as slide-ring cross-linker. Polymer 2022, 249, 124862. [Google Scholar] [CrossRef]
- Kato, K.; Ohara, A.; Michishio, K.; Ito, K. Effects of ring size on the dynamics of polyrotaxane glass. Macromolecules 2020, 53, 8910–8917. [Google Scholar] [CrossRef]
- Cai, X.; Liu, H.; Zhang, G. Control of the threading ratio of rings in a polypseudorotaxane: A computer simulation study. Polymer 2023, 268, 125705. [Google Scholar] [CrossRef]
- Malucelli, G.; Dore, J.; Sanna, D.; Nuvoli, D.; Rassu, M.; Mariani, A.; Alzari, V. Sliding crosslinked thermoresponsive materials: Polypseudorotaxanes made of poly (N-isopropylacrylamide) and acrylamide-γ-cyclodextrin. Front. Chem. 2018, 6, 585. [Google Scholar] [CrossRef]
- Li, D.M.; Zhang, Z.; Liew, K.M. A numerical framework for two-dimensional large deformation of inhomogeneous swelling of gels using the improved complex variable element-free Galerkin method. Comput. Methods Appl. Mech. Eng. 2014, 274, 84–102. [Google Scholar] [CrossRef]
- Li, D.M.; Zhang, L.W.; Liew, K.M. A three-dimensional element-free framework for coupled mechanical-diffusion induced nonlinear deformation of polymeric gels using the IMLS-Ritz method. Comput. Methods Appl. Mech. Eng. 2015, 296, 232–247. [Google Scholar] [CrossRef]
- Okumura, Y. Topological gel: A third kind of gel consisting of linear polymer chains and figure-of-eight cross-links. Kobunshi Ronbunshu 2005, 62, 380–389. [Google Scholar] [CrossRef]
- Li, M.; Lu, H. A renormalized slip-tube anisotropy model for sliding cross-links in soft gel towards ultrahigh toughness. J. Phys. D Appl. Phys. 2025, 58, 135302. [Google Scholar] [CrossRef]
- Ikura, R.; Murayama, S.; Park, J.; Ikemoto, Y.; Osaki, M.; Yamaguchi, H.; Harada, A.; Matsuba, G.; Takashima, Y. Fabrication and mechanical properties of knitted dissimilar polymeric materials with movable cross-links. Mol. Syst. Des. Eng. 2022, 7, 733–745. [Google Scholar] [CrossRef]
- Bin, I.A. Molecular weight dependency of polyrotaxane-cross-linked polymer gel extensibility. Chem. Commun. 2016, 52, 13757–13759. [Google Scholar]
- Seo, J.; Hur, J.; Kim, M.S.; Lee, T.G.; Seo, S.J.; Han, S.H.; Seo, J.H. All-organic piezoelectric elastomer formed through the optimal cross-linking of semi-crystalline polyrotaxanes. Chem. Eng. J. 2021, 426, 130792. [Google Scholar] [CrossRef]
- Ikura, R.; Kajimoto, K.; Park, J.; Murayama, S.; Fujiwara, Y.; Osaki, M.; Suzuki, T.; Shirakawa, H.; Kitamura, Y.; Takahashi, H.; et al. Highly stretchable stress–strain sensor from elastomer nanocomposites with movable cross-links and ketjenblack. ACS Polym. Au 2023, 3, 394–405. [Google Scholar] [CrossRef]
- Lee, D.H.; Tamura, A.; Arisaka, Y.; Seo, J.H.; Yui, N. Mechanically reinforced gelatin hydrogels by introducing slidable supramolecular cross-linkers. Polymers 2019, 11, 1787. [Google Scholar] [CrossRef]
- Zhang, L. Study on the Sliding Deformation Mechanism of Topological Gels with Different Coverage Rates. Master’s Thesis, Wuhan University of Technology, Wuhan, China, 2025. [Google Scholar]
- Bastide, J.; Leibler, L.; Prost, J. Scattering by deformed swollen gels: Butterfly isointensity patterns. Macromolecules 1990, 23, 1821–1825. [Google Scholar] [CrossRef]
- Liao, Y.C.; Syu, M.J. Novel immobilized metal ion affinity adsorbent based on cross-linked β-cyclodextrin matrix for repeated adsorption of α-amylase. Biochem. Eng. J. 2005, 23, 17–24. [Google Scholar] [CrossRef]
- Bitoh, Y.; Akuzawa, N.; Urayama, K.; Takigawa, T.; Kidowaki, M.; Ito, K. Peculiar nonlinear elasticity of polyrotaxane gels with movable cross-links revealed by multiaxial stretching. Macromolecules 2011, 44, 8661–8667. [Google Scholar] [CrossRef]
- Liu, C.; Mayumi, K.; Hayashi, K.; Jiang, L.; Yokoyama, H.; Ito, K. Direct observation of large deformation and fracture behavior at the crack tip of slide-ring gel. J. Electrochem. Soc. 2019, 166, B3143–B3147. [Google Scholar] [CrossRef]
- Urayama, K. New aspects of nonlinear elasticity of polymer gels and elastomers revealed by stretching experiments in various geometries. Polym. Int. 2017, 66, 195–206. [Google Scholar] [CrossRef]
- Liu, C.; Kadono, H.; Mayumi, K.; Kato, K.; Yokoyama, H.; Ito, K. Unusual fracture behavior of slide-ring gels with movable cross-links. ACS Macro Lett. 2017, 6, 1409–1413. [Google Scholar] [CrossRef]
- Liu, C.; Kadono, H.; Yokoyama, H.; Mayumi, K.; Ito, K. Crack propagation resistance of slide-ring gels. Polymer 2019, 181, 121782. [Google Scholar] [CrossRef]
- Noda, Y.; Hayashi, Y.; Ito, K. From topological gels to slide-ring materials. J. Appl. Polym. Sci. 2014, 131, 40509. [Google Scholar] [CrossRef]
- Liao, C.Y.; Zhang, L.; Hu, S.Y.; Xia, S.J.; Li, D.M. Recent advances of self-healing materials for civil engineering: Models and simulations. Buildings 2024, 14, 961. [Google Scholar] [CrossRef]
- Ito, K. Novel cross-linking concept of polymer network: Synthesis, structure, and properties of slide-ring gels with freely movable junctions. Polym. J. 2007, 39, 489–499. [Google Scholar] [CrossRef]
- Yasuda, Y.; Masumoto, T.; Mayumi, K.; Toda, M.; Yokoyama, H.; Morita, H.; Ito, K. Molecular dynamics simulation and theoretical model of elasticity in slide-ring gels. ACS Macro Lett. 2020, 9, 1280–1285. [Google Scholar] [CrossRef]
- Vernerey, F.J.; Lamont, S. Transient mechanics of slide-ring networks: A continuum model. J. Mech. Phys. Solids 2021, 146, 104212. [Google Scholar] [CrossRef]
- Lu, D.; Chen, B. A constitutive theory for large stretch behaviors of slide-ring gels by considering molecular frictions. Soft Matter 2023, 19, 1531–1539. [Google Scholar] [CrossRef]
- Chen, D.; Panyukov, S.; Sapir, L.; Rubinstein, M. Elasticity of slide-ring gels. ACS Macro Lett. 2023, 12, 362–368. [Google Scholar] [CrossRef] [PubMed]
- Xing, Z. A spontaneous equilibrium free energy model for rubber elasticity of slide-ring materials to understand pulley effect and dangling effect. Polymer 2025, 328, 128451. [Google Scholar] [CrossRef]
- Kondo, Y.; Urayama, K.; Kidowaki, M.; Mayumi, K.; Takigawa, T.; Ito, K. Applicability of a particularly simple model to nonlinear elasticity of slide-ring gels with movable cross-links as revealed by unequal biaxial deformation. J. Chem. Phys. 2014, 141, 134906. [Google Scholar] [CrossRef] [PubMed]
- Kato, K.; Okabe, Y.; Okazumi, Y.; Ito, K. A significant impact of host–guest stoichiometry on the extensibility of polyrotaxane gels. Chem. Commun. 2015, 51, 16180–16183. [Google Scholar] [CrossRef]
- Yun, J.; Kim, N. Intrinsic Properties and Potential Wide Uses of Polyrotaxane Derivatives in Relation to Slide Ring Cross-Links Architectures. Elastomers Compos. 2023, 58, 201–207. [Google Scholar]
- Xing, Z.; Shu, D.W.; Lu, H.; Fu, Y.Q. Untangling the mechanics of entanglements in slide-ring gels towards both super-deformability and toughness. Soft Matter 2022, 18, 1302–1309. [Google Scholar] [CrossRef]
- Wei, L.Y. Modelling Large Deformation Fracture of Slip Ring Gels Based on Finite Element Method and Nonordinary State-Based Peridynamics. Master’s Thesis, Wuhan University of Technology, Wuhan, China, 2025. [Google Scholar]
- Ball, R.C.; Doi, M.; Edwards, S.F.; Warner, M. Elasticity of entangled networks. Polymer 1981, 22, 1010–1018. [Google Scholar] [CrossRef]
- Edwards, S.F.; Vilgis, T. The effect of entanglements in rubber elasticity. Polymer 1986, 27, 483–492. [Google Scholar] [CrossRef]
- Liu, C.; Yokoyama, H.; Mayumi, K.; Ito, K. Crack velocity dependent toughness of polyrotaxane networks: The sliding dynamics of rings on polymer under stretching. Mech. Mater. 2021, 156, 103784. [Google Scholar] [CrossRef]
- Qian, Y.; Ikura, R.; Kawai, Y.; Park, J.; Yamaoka, K.; Takashima, Y. Improvement in Cohesive Properties of Adhesion Systems Using Movable Cross-Linked Materials with Stress Relaxation Properties. ACS Appl. Mater. Interfaces 2023, 16, 3935–3943. [Google Scholar] [CrossRef]
- Dikshit, K.; Bruns, C.J. Chemorheological Monitoring of Cross-Linking in Slide-ring Gels Derived From α-cyclodextrin Polyrotaxanes. Front. Chem. 2022, 10, 92377. [Google Scholar] [CrossRef]
- Koga, T.; Tanaka, F. Elastic properties of polymer networks with sliding junctions. Eur. Phys. J. E 2005, 17, 225–229. [Google Scholar] [CrossRef] [PubMed]
- Uehara, S.; Wang, Y.; Ootani, Y.; Ozawa, N.; Kubo, M. Molecular-level elucidation of a fracture process in slide-ring gels via coarse-grained molecular dynamics simulations. Macromolecules 2022, 55, 1946–1956. [Google Scholar] [CrossRef]
- Liu, J.H. Study on Deformation Mechanism of Topological Gel Based on Coarse-Grained Modeling. Master’s Thesis, Wuhan University of Technology, Wuhan, China, 2022. [Google Scholar]
- Li, D.M.; Liu, J.H.; Xie, J.X. Element-Free Modelling of Topological Gels with Peculiar Multiaxial Large Deformation Behavior. Acta Mech. Solida Sin. 2022, 35, 880–890. [Google Scholar] [CrossRef]















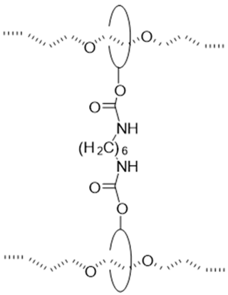
| Cross-Linking Agent | Cross-Linking Configuration | References |
|---|---|---|
| N,N′-carboxyldiimidazole (CDI) | ![]() | [50,51] |
| 1, 4-butanediol diglycidyl ether (BDDE) | ![]() | [52] |
| Divinylsulfone (DVS) | ![]() | [46] |
| Hexamethylene diisocyanate (HMDI) | ![]() | [53,54,55] |
| Experimental Conditions | |
|---|---|
| Rectangular strip | 25 × 10 × 1 mm3 [46] (2 mm single-edge notch) 40 × 10 × 1 mm3 [101,103] (2 mm single-edge notch) 15 × 4 × 1 mm3 [18] (1 mm single-edge notch) 30 × 3 × 1 mm3 [49,97] (without notch) |
| Dumbbell—shaped | 15 × 10 ×1 mm3 [56] (without notch) 12 × 2 × 0.68–0.94 mm3 [65] (without notch) |
| Rate | 0.0083 mm/s [94], 0.167 mm/s [65], 0.2 mm/s [103], 1 mm/s [46,56], 1.875 mm/s [18], 1.67 mm/s [49,97], 2.68 mm/s [101]. |
| Fracture Toughness | |
|---|---|
| Fracture energy | 28.8 J/m2 (SR gel with coverage rate of 2%) [101]. 40 J/m2 (SR gels with molecular weight of 35 kDa of PEG and coverage rate of 25%) [103]. 55 J/m2 (SR gel with coverage rate of 2%) [46]. 3600 J/m2 (SR gels with molecular weight of 38 kDa of PEG and coverage rate of 2%) [18]. |
| Fracture work | 1.87 MJ/m3 (SRPs with cross-linking agent concentration of 1 w%) [56]. 2.115 MJ/m3 (SR gel with coverage rate of 4.4%) [97]. 4.65 MJ/m3 (SR gel with water content 24.75%) [49]. 16 MJ/m3 (SRPs mixed with HDI and MDI in an 80:20 ratio) [94]. 360 MJ/m3 (RCPs with DPn value of 70 for PTHF parts) [65]. |
| Constitutive Model | Function Expression |
|---|---|
| de Gennes model [20] | |
| Extend 3-chain model [90] | |
| Free junction model [107] | |
| Mayumi–Ito model [51] | |
| 3-chain model [108] | |
| Vernerey–Lamont model [109] | |
| Non-affine model [110] | |
| Phantom slide-ring model [111] | |
| Spontaneous equilibrium free energy model [112] | |
| Sliding deformation 4-chain model [97] | |
| PICANN × MPNN model [49] | |
| CANNN model [49] |
| Model | Function Expression |
|---|---|
| Liu–Kadono model [103] | |
| Jiang–Liu model [46] | |
| Liu–Yokoyama [120] |
| Viscoelastic Models | Function Expression |
|---|---|
| KWW model [121] | |
| Burgers model [121] | |
| Modified Hill model [122] |
Disclaimer/Publisher’s Note: The statements, opinions and data contained in all publications are solely those of the individual author(s) and contributor(s) and not of MDPI and/or the editor(s). MDPI and/or the editor(s) disclaim responsibility for any injury to people or property resulting from any ideas, methods, instructions or products referred to in the content. |
© 2025 by the authors. Licensee MDPI, Basel, Switzerland. This article is an open access article distributed under the terms and conditions of the Creative Commons Attribution (CC BY) license.
Share and Cite
Li, D.M.; Wei, L.; Chen, L.; Zhao, B.; Wei, H. A Comprehensive Review on the Mechanics of Cyclodextrin-Based Slide-Ring Polymers. Polymers 2026, 18, 37. https://doi.org/10.3390/polym18010037
Li DM, Wei L, Chen L, Zhao B, Wei H. A Comprehensive Review on the Mechanics of Cyclodextrin-Based Slide-Ring Polymers. Polymers. 2026; 18(1):37. https://doi.org/10.3390/polym18010037
Chicago/Turabian StyleLi, D. M., Longyu Wei, Luxi Chen, Bingchang Zhao, and Heyang Wei. 2026. "A Comprehensive Review on the Mechanics of Cyclodextrin-Based Slide-Ring Polymers" Polymers 18, no. 1: 37. https://doi.org/10.3390/polym18010037
APA StyleLi, D. M., Wei, L., Chen, L., Zhao, B., & Wei, H. (2026). A Comprehensive Review on the Mechanics of Cyclodextrin-Based Slide-Ring Polymers. Polymers, 18(1), 37. https://doi.org/10.3390/polym18010037





