New 3D Ink Formulation Comprising a Nanocellulose Aerogel Based on Electrostatic Repulsion and Sol-Gel Transition
Abstract
1. Introduction
2. Materials and Methods
2.1. Materials
2.2. Methods
2.2.1. Gelation of TEMPO-CNF/TEMPO-CNC/CMC Composite Ink
2.2.2. 3D Printing of TEMPO-CNFs/TEMPO-CNC/CMC Composite Ink
2.2.3. Preparation of Nanocellulose Aerogel
2.3. Material Characterizations
3. Result
3.1. Zeta Potential Analysis
3.2. Rheological Properties
3.2.1. Viscosity of the Composite Ink
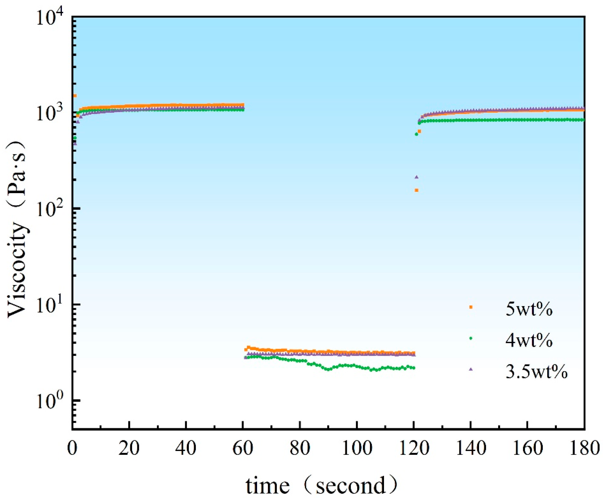
3.2.2. Thixotropy
3.2.3. Herschel–Bulkley Fluid Model
3.2.4. Oscillatory Strain Amplitude
3.2.5. Solid–Liquid Distribution
3.3. Porosity
3.4. Pore Morphology
3.5. Compression Properties
4. Discussion
5. Conclusions
- The cellulose composite inks with different ratios were prepared through a mixing and centrifugation method. The shear thinning behavior and Bingham-pseudoplasticity properties make the 5 wt% ink suitable for high-precision extrusion printing for three-dimension printing.
- With rational design, the composite inks TEMPO-CNFs, TEMPO-CNC, and CMC neutralizing hydrogen bonds with electrostatic repulsion to achieve optimal dispersion.
- TEMPO-CNC increased the mechanical stability of the cellulose composite ink during printing.
- CMC regulates the viscosity of the composite cellulose and maintains the shape of the material during the printing process.
- Using an in situ freezing strategy, the material is frozen in situ during the 3D printing process, resulting in 3D structures with a resolution of less than 200 μm (170 μm), with finer structures. Printing and shape fixation is improved because the printed shape is the same as that of our original design model, and the composite ink is able to accurately print a 1 cm3 shape. The printed 3D samples can exhibit a compressive stress of up to 0.82 MPa, with a porosity of more than 98%.
- These architectures printed using cellulose composite ink not only display regular, square, through-hole structures via a 3D-printed design, but also exhibit more irregular micropores generated after freeze-drying. The multi-level pore design, providing more surface areas, and the hydrophilic nature of the material offer potential for use in biomedical areas such as the printing of customized point-of-care hemostatic materials.
Author Contributions
Funding
Data Availability Statement
Conflicts of Interest
References
- Rocha, V.G.; Saiz, E.; Tirichenko, I.S.; García-Tuñón, E. Direct ink writing advances in multi-material structures for a sustainable future. J. Mater. Chem. A 2020, 8, 15646–15657. [Google Scholar] [CrossRef]
- Ligon, S.C.; Liska, R.; Stampfl, J.; Gurr, M.; Mülhaupt, R. Polymers for 3D Printing and Customized Additive Manufacturing. Chem. Rev. 2017, 117, 10212–10290. [Google Scholar] [CrossRef] [PubMed]
- Li, D.; Yang, Y.; Elias, A.L.; Yan, N.; Guo, F. Biopolymer Composites Material Extrusion and their Applications: A Review. Adv. Eng. Mater. 2023, 25, 2301048. [Google Scholar] [CrossRef]
- Tetik, H.; Wang, Y.; Sun, X.; Cao, D.; Shah, N.; Zhu, H.; Qian, F.; Lin, D. Additive Manufacturing of 3D Aerogels and Porous Scaffolds: A Review. Adv. Funct. Mater. 2021, 31, 2103410. [Google Scholar] [CrossRef]
- Wu, T.; Ganobjak, M.; Siqueira, G.; Zeng, Z.; Li, M.; Filimonova, E.; Saghamanesh, S.; Bonnin, A.; Sivaraman, D.; Yip, J.; et al. 3D Printed Polyimide Nanocomposite Aerogels for Electromagnetic Interference Shielding and Thermal Management. Adv. Mater. Technol. 2023, 8, 2202155. [Google Scholar] [CrossRef]
- Kayali, Y.; Ding, M.; Hamdallah, S.; Qi, S.; Bibb, R.; Gleadall, A. Effect of printing parameters on microscale geometry for 3D printed lattice structures. Mater. Today Proc. 2022, 70, 31–37. [Google Scholar] [CrossRef]
- Yuk, H.; Zhao, X. A New 3D Printing Strategy by Harnessing Deformation, Instability, and Fracture of Viscoelastic Inks. Adv. Mater. 2018, 30, 1704028. [Google Scholar] [CrossRef]
- Rau, D.A.; Williams, C.B.; Bortner, M.J. Rheology and printability: A survey of critical relationships for direct ink write materials design. Prog. Mater. Sci. 2023, 140, 101188. [Google Scholar] [CrossRef]
- del-Mazo-Barbara, L.; Ginebra, M.-P. Rheological characterisation of ceramic inks for 3D direct ink writing: A review. J. Eur. Ceram. Soc. 2021, 41, 18–33. [Google Scholar] [CrossRef]
- Li, M.; Wu, Q.; Moon, R.J.; Hubbe, M.A.; Bortner, M.J. Rheological Aspects of Cellulose Nanomaterials: Governing Factors and Emerging Applications. Adv. Mater. 2021, 33, 2006052. [Google Scholar] [CrossRef]
- Du, Z.; Lin, Y.; Xing, R.; Cao, X.; Yu, X.; Han, Y. Controlling the polymer ink’s rheological properties and viscoelasticity to suppress satellite droplets. Polymer 2018, 138, 75–82. [Google Scholar] [CrossRef]
- Zhang, K.; Xie, R.; Fang, K.; Chen, W.; Shi, Z.; Ren, Y. Effects of reactive dye structures on surface tensions and viscosities of dye solutions. J. Mol. Liq. 2019, 287, 110932. [Google Scholar] [CrossRef]
- Yang, G.; Sun, Y.; Li, M.; Ou, K.; Fang, J.; Fu, Q. Direct-ink-writing (DIW) 3D printing functional composite materials based on supra-molecular interaction. Compos. Sci. Technol. 2021, 215, 109013. [Google Scholar] [CrossRef]
- Wang, Q.; Sun, J.; Yao, Q.; Ji, C.; Liu, J.; Zhu, Q. 3D printing with cellulose materials. Cellulose 2018, 25, 4275–4301. [Google Scholar] [CrossRef]
- Moon, R.J.; Martini, A.; Nairn, J.; Simonsen, J.; Youngblood, J. Cellulose nanomaterials review: Structure, properties and nanocomposites. Chem. Soc. Rev. 2011, 40, 3941–3994. [Google Scholar] [CrossRef]
- Yang, X.; Biswas, S.K.; Han, J.; Tanpichai, S.; Li, M.; Chen, C.; Zhu, S.; Das, A.K.; Yano, H. Surface and Interface Engineering for Nanocellulosic Advanced Materials. Adv. Mater. 2021, 33, 2002264. [Google Scholar] [CrossRef]
- Larraza, I.; Vadillo, J.; Calvo-Correas, T.; Tejado, A.; Martin, L.; Arbelaiz, A.; Eceiza, A. Effect of cellulose nanofibers’ structure and incorporation route in waterborne polyurethane–urea based nanocomposite inks. Polymers 2022, 14, 4516. [Google Scholar] [CrossRef]
- Wang, X.; Wang, Q.; Xu, C. Nanocellulose-based inks for 3d bioprinting: Key aspects in research development and challenging perspectives in applications—A mini review. Bioengineering 2020, 7, 40. [Google Scholar] [CrossRef]
- Heise, K.; Kontturi, E.; Allahverdiyeva, Y.; Tammelin, T.; Linder, M.B.; Nonappa; Ikkala, O. Nanocellulose: Recent Fundamental Advances and Emerging Biological and Biomimicking Applications. Adv. Mater. 2021, 33, 2004349. [Google Scholar] [CrossRef]
- Barrulas, R.V.; Corvo, M.C. Rheology in Product Development: An Insight into 3D Printing of Hydrogels and Aerogels. Gels 2023, 9, 986. [Google Scholar] [CrossRef]
- Yang, Y.; Li, D.; Yan, N.; Guo, F. A new 3D printing strategy by enhancing shear-induced alignment of gelled nanomaterial inks resulting in stronger and ductile cellulose films. Carbohydr. Polym. 2024, 340, 122269. [Google Scholar] [CrossRef] [PubMed]
- Li, V.C.F.; Mulyadi, A.; Dunn, C.K.; Deng, Y.; Qi, H.J. Direct Ink Write 3D Printed Cellulose Nanofiber Aerogel Structures with Highly Deformable, Shape Recoverable, and Functionalizable Properties. ACS Sustain. Chem. Eng. 2018, 6, 2011–2022. [Google Scholar] [CrossRef]
- Shi, G.; Tian, M.; Chen, Y.; Zhong, L.; Zhang, W.; Chen, Z.; Sun, S.; Xia, R.; Iwuoha, E.I.; Peng, X. Nanocellulose-Based Ink for Vertically 3D Printing Micro-Architectures with High-Resolution. Adv. Funct. Mater. 2024, 34, 2311060. [Google Scholar] [CrossRef]
- Peterson, A.; Östergren, I.; Lotsari, A.; Venkatesh, A.; Thunberg, J.; Ström, A.; Rojas, R.; Andersson, M.; Berglund, L.A.; Boldizar, A.; et al. Dynamic Nanocellulose Networks for Thermoset-like yet Recyclable Plastics with a High Melt Stiffness and Creep Resistance. Biomacromolecules 2019, 20, 3924–3932. [Google Scholar] [CrossRef]
- Tong, Y.; Jiang, C.; Ji, C.; Liu, W.; Wang, Y. Innovative Applications of Nanocellulose in 3D Printing: A Review. Small 2025, 21, 2407956. [Google Scholar] [CrossRef]
- Mariani, L.M.; Johnson, W.R.; Considine, J.M.; Turner, K.T. Printing and mechanical characterization of cellulose nanofibril materials. Cellulose 2019, 26, 2639–2651. [Google Scholar] [CrossRef]
- Levanič, J.; Šenk, V.P.; Nadrah, P.; Poljanšek, I.; Oven, P.; Haapala, A. Analyzing TEMPO-Oxidized Cellulose Fiber Morphology: New Insights into Optimization of the Oxidation Process and Nanocellulose Dispersion Quality. ACS Sustain. Chem. Eng. 2020, 8, 17752–17762. [Google Scholar] [CrossRef]
- Alavi, M.; Nokhodchi, A. Antimicrobial and Wound Treatment Aspects of Micro- and Nanoformulations of Carboxymethyl, Dialdehyde, and TEMPO-Oxidized Derivatives of Cellulose: Recent Advances. Macromol. Biosci. 2020, 20, 1900362. [Google Scholar] [CrossRef]
- Shimizu, M.; Fukuzumi, H.; Saito, T.; Isogai, A. Preparation and characterization of TEMPO-oxidized cellulose nanofibrils with ammonium carboxylate groups. Int. J. Biol. Macromol. 2013, 59, 99–104. [Google Scholar] [CrossRef]
- Sultana, T.; Van Hai, H.; Abueva, C.; Kang, H.J.; Lee, S.-Y.; Lee, B.-T. TEMPO oxidized nano-cellulose containing thermo-responsive injectable hydrogel for post-surgical peritoneal tissue adhesion prevention. Mater. Sci. Eng. C 2019, 102, 12–21. [Google Scholar] [CrossRef]
- Sharma, A.; Mandal, T.; Goswami, S. Dispersibility and stability studies of cellulose nanofibers: Implications for nanocomposite preparation. J. Polym. Environ. 2021, 29, 1516–1525. [Google Scholar] [CrossRef]
- Zhang, Y.; Lv, J.; Qiu, Z.; Chen, L. Influence of carboxyl content on the rheological properties and printability of oxidized starch for 3D printing applications. Int. J. Biol. Macromol. 2024, 289, 138794. [Google Scholar] [CrossRef] [PubMed]
- Isogai, A.; Saito, T.; Fukuzumi, H. TEMPO-oxidized cellulose nanofibers. Nanoscale 2011, 3, 71–85. [Google Scholar] [CrossRef] [PubMed]
- Zhu, P.; Yu, Z.; Sun, H.; Zheng, D.; Zheng, Y.; Qian, Y.; Wei, Y.; Lee, J.; Srebnik, S.; Chen, W.; et al. 3D Printed Cellulose Nanofiber Aerogel Scaffold with Hierarchical Porous Structures for Fast Solar-Driven Atmospheric Water Harvesting. Adv. Mater. 2024, 36, 2306653. [Google Scholar] [CrossRef]
- Gavrilov, A.A.; Finnikov, K.A.; Podryabinkin, E.V. Modeling of steady Herschel–Bulkley fluid flow over a sphere. J. Eng. Thermophys. 2017, 26, 197–215. [Google Scholar] [CrossRef]
- Wang, X.; Gordaninejad, F. Flow Analysis of Field-Controllable, Electro- and Magneto-Rheological Fluids Using Herschel-Bulkley Model. J. Intell. Mater. Syst. Struct. 1999, 10, 601–608. [Google Scholar] [CrossRef]
- Panaseti, P.; Damianou, Y.; Georgiou, G.C.; Housiadas, K.D. Pressure-driven flow of a Herschel-Bulkley fluid with pressure-dependent rheological parameters. Phys. Fluids 2018, 30, 030701. [Google Scholar] [CrossRef]
- Saasen, A.; Ytrehus, J.D. Rheological Properties of Drilling Fluids—Use of Dimensionless Shear Rates in Herschel-Bulkley Models and Power-Law Models. Appl. Rheol. 2018, 28, 54515. [Google Scholar] [CrossRef]
- Polychronopoulos, N.D.; Brouzgou, A. Direct Ink Writing for Electrochemical Device Fabrication: A Review of 3D-Printed Electrodes and Ink Rheology. Catalysts 2024, 14, 110. [Google Scholar] [CrossRef]
- Paxton, N.; Smolan, W.; Böck, T.; Melchels, F.; Groll, J.; Jungst, T. Proposal to assess printability of bioinks for extrusion-based bioprinting and evaluation of rheological properties governing bioprintability. Biofabrication 2017, 9, 044107. [Google Scholar] [CrossRef]
- Deng, Y.; Ma, L.; Pei, X.; Huang, Q.; Huang, Z. Free radical-initiated direct ink writing of liquid polycarbosilane slurry and its conversion into SiC ceramic parts with low shrinkage. Ceram. Int. 2024, 50, 51252–51259. [Google Scholar] [CrossRef]
- Herrada-Manchón, H.; Fernández, M.A.; Aguilar, E. Essential Guide to Hydrogel Rheology in Extrusion 3D Printing: How to Measure It and Why It Matters? Gels 2023, 9, 517. [Google Scholar] [CrossRef] [PubMed]
- Thompson Towell, K.; Asenath-Smith, E. Low temperature effects on the rheological properties of aqueous cellulose nanofiber suspensions. Cellulose 2024, 31, 6091–6104. [Google Scholar] [CrossRef]
- Bercea, M. Rheology as a Tool for Fine-Tuning the Properties of Printable Bioinspired Gels. Molecules 2023, 28, 2766. [Google Scholar] [CrossRef]
- Maldonado-Rosas, R.; Tejada-Ortigoza, V.; Cuan-Urquizo, E.; Mendoza-Cachú, D.; Morales-de La Pena, M.; Alvarado-Orozco, J.M.; Campanella, O.H. Evaluation of rheology and printability of 3D printing nutritious food with complex formulations. Addit. Manuf. 2022, 58, 103030. [Google Scholar] [CrossRef]
- Romberg, S.K.; Islam, M.A.; Hershey, C.J.; DeVinney, M.; Duty, C.E.; Kunc, V.; Compton, B.G. Linking thermoset ink rheology to the stability of 3D-printed structures. Addit. Manuf. 2021, 37, 101621. [Google Scholar] [CrossRef]
- Siqueira, G.; Kokkinis, D.; Libanori, R.; Hausmann, M.K.; Gladman, A.S.; Neels, A.; Tingaut, P.; Zimmermann, T.; Lewis, J.A.; Studart, A.R. Cellulose Nanocrystal Inks for 3D Printing of Textured Cellular Architectures. Adv. Funct. Mater. 2017, 27, 1604619.1–1604619.10. [Google Scholar] [CrossRef]
- Mohan, D.; Teong, Z.K.; Bakir, A.N.; Sajab, M.S.; Kaco, H. Extending cellulose-based polymers application in additive manufacturing technology: A review of recent approaches. Polymers 2020, 12, 1876. [Google Scholar] [CrossRef]
- Wang, J.; Dong, Z.; Li, J.; Lu, J.; Tan, S.; Feng, Q.; Xu, Z. Highly compressible lamellar graphene/cellulose/sodium alginate aerogel via bidirectional freeze-drying for flexible pressure sensor. Int. J. Biol. Macromol. 2025, 297, 139867. [Google Scholar] [CrossRef]
- Moud, A.A. Advanced cellulose nanocrystals (CNC) and cellulose nanofibrils (CNF) aerogels: Bottom-up assembly perspective for production of adsorbents. Int. J. Biol. Macromol. 2022, 222 Pt A, 1–29. [Google Scholar] [CrossRef]
- Feng, Y.; Chang, Y.; Wang, L.; Liu, X.; Chen, L.; Yan, X.; Zhang, Q. Ultrahigh-strength cellulose nanofiber foams via the synergy of freeze-casting and solvent exchange. Carbohydr. Polym. 2025, 347, 122671. [Google Scholar] [CrossRef] [PubMed]
- Zhu, T.; Ren, Z.; Wang, D.; Zhao, S.; Liu, X.; Fan, W.; Miao, Y.-E.; Zhang, C.; Liu, T. Reactive 3D printed silanized cellulose nanofiber aerogels for solar-thermal regulatory cooling. Compos. Part A Appl. Sci. Manuf. 2025, 192, 108761. [Google Scholar] [CrossRef]
- Ahokas, P.; Mäkelä, M.; Jaiswal, A.; Khakalo, A.; Harlin, A. Controlling the rheology of cellulose dissolved in 4–methylmorpholine N–oxide and tensile properties of precipitated cellulose films via mixture design. Cellulose 2024, 31, 10403–10421. [Google Scholar] [CrossRef]
- Luo, J.; Song, T.; Han, T.; Qi, H.; Liu, Q.; Rosenau, T. Multifunctional roles of TEMPO-oxidized cellulose nanofibrils on the enhancement of mechanical and conductive properties of acrylic-based hydrogels for temperature response and human motion sensing. Chem. Eng. J. 2024, 493, 152649. [Google Scholar] [CrossRef]
- Dubruel, P.; Schacht, E.; Van Vlierberghe, S. Biopolymer-Based Hydrogels As Scaffolds for Tissue Engineering Applications: A Review. Biomacromolecules 2011, 12, 1387. [Google Scholar] [CrossRef]
- Florczak, S.; Ribezzi, D.; Falandt, M.; Bernal, P.; Groessbacher, G.; Vermonden, T.; Malda, J.; Levato, R. Multi-material integration in light based volumetric bioprinting: Pathways to enhanced precision and complexity in scaffoldfabrication. In Advanced Fabrication Technologies for Micro/Nano Optics and Photonics; SPIE: Bellingham, WA, USA, 2024; Volume 12898, pp. 100–109. [Google Scholar] [CrossRef]










| Material Code | Concentration | Polymerization Degree | Carboxyl Content | Average Length | Supplier |
|---|---|---|---|---|---|
| TEMPO-CNF | 3 wt% | 110 | 1.86 mmol/g | 0.8–1.2 μm | Wood Spirit Biotechnology Co., Ltd. (Tianjin, China) |
| TEMPO-CNC | 10 wt% | 100 | 2.03 mmol/g | 120 nm | Wood Spirit Biotechnology Co., Ltd. (Tianjin, China) |
| CMC | 99.56 wt% | / | 3.20 mmol/g | / | Aladdin Biochemical Technology Co., Ltd. (Shanghai, China) |
| Formulation Type | Solid Contents | TEMPO-CNF | TEMPO-CNC | CMC | DI Water |
|---|---|---|---|---|---|
| 1 | 5 wt% | 2.5 wt% | 1.5 wt% | 1 wt% | 0 |
| 2 | 4 wt% | 2.5 wt% | 1.5 wt% | 0 | 1 mL |
| 3 | 3.5 wt% | 2.5 wt% | 0 | 1 wt% | 9 mL |
| Type | Experimental Phase | Instruments | Temperature | Time |
|---|---|---|---|---|
| a | gelation | stirrer and centrifuge | 25 °C | 0.5 h |
| b | 3D printing | dispenser | −10 °C | 0.5 h |
| c | in situ freezing | semiconductor Peltier stage | −30 °C | 24 h |
| d | freeze drying | LGJ-10 Freeze Dryer | −60 °C | 48 h |
| Type | Measurement Properties | Equipment | Conditions | Sample Code |
|---|---|---|---|---|
| 1 | Zeta potential | Zetasizer Nano ZS90 | Dilution with DI water | 5 wt%/4 wt%/3.5 wt% |
| 2 | Rheological properties | MCR 302 | Different shear rates | 5 wt%/4 wt%/3.5 wt% |
| 3 | Pore size | FE-STEM SU9000 | 10.0 KV | 5 wt% |
| 4 | Compression test | E43.104 | 0.5 mm/min | Sample 1, 2, 3 |
Disclaimer/Publisher’s Note: The statements, opinions and data contained in all publications are solely those of the individual author(s) and contributor(s) and not of MDPI and/or the editor(s). MDPI and/or the editor(s) disclaim responsibility for any injury to people or property resulting from any ideas, methods, instructions or products referred to in the content. |
© 2025 by the authors. Licensee MDPI, Basel, Switzerland. This article is an open access article distributed under the terms and conditions of the Creative Commons Attribution (CC BY) license (https://creativecommons.org/licenses/by/4.0/).
Share and Cite
Yang, Q.; Yu, H.; Wang, X.; Li, Y.; Li, D.; Guo, F. New 3D Ink Formulation Comprising a Nanocellulose Aerogel Based on Electrostatic Repulsion and Sol-Gel Transition. Polymers 2025, 17, 1065. https://doi.org/10.3390/polym17081065
Yang Q, Yu H, Wang X, Li Y, Li D, Guo F. New 3D Ink Formulation Comprising a Nanocellulose Aerogel Based on Electrostatic Repulsion and Sol-Gel Transition. Polymers. 2025; 17(8):1065. https://doi.org/10.3390/polym17081065
Chicago/Turabian StyleYang, Qing, Haiyang Yu, Xiaolu Wang, Yunze Li, Dan Li, and Fu Guo. 2025. "New 3D Ink Formulation Comprising a Nanocellulose Aerogel Based on Electrostatic Repulsion and Sol-Gel Transition" Polymers 17, no. 8: 1065. https://doi.org/10.3390/polym17081065
APA StyleYang, Q., Yu, H., Wang, X., Li, Y., Li, D., & Guo, F. (2025). New 3D Ink Formulation Comprising a Nanocellulose Aerogel Based on Electrostatic Repulsion and Sol-Gel Transition. Polymers, 17(8), 1065. https://doi.org/10.3390/polym17081065

