Microcanonical Analysis of Semiflexible Homopolymers with Variable-Width Bending Potential
Abstract
1. Introduction
2. Materials and Methods
2.1. Model Description
2.2. Parallel Tempering
3. Results
3.1. Structure Types
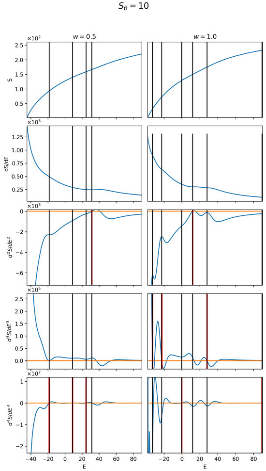
3.2. Microcanonical Analysis
3.3. Structural Classification and Diagram Comparison
3.3.1. Simulation
3.3.2. Simulation
3.3.3. Intermediate Values of w
4. Discussion
Author Contributions
Funding
Institutional Review Board Statement
Informed Consent Statement
Data Availability Statement
Conflicts of Interest
References
- Kmiecik, S.; Gront, D.; Kolinski, M.; Wieteska, L.; Dawid, A.E.; Kolinski, A. Coarse-grained protein models and their applications. Chem. Rev. 2016, 116, 7898. [Google Scholar] [CrossRef] [PubMed]
- Yuan, C.; Chen, H.; Lou, X.W.; Archer, L.A. DNA bending stiffness on small length scales. Phys. Rev. Lett. 2008, 100, 018102. [Google Scholar] [PubMed]
- Sluysmans, D.; Willet, N.; Thevenot, J.; Lecommandoux, S.; Duwez, A.-S. Single-molecule mechanical unfolding experiments reveal a critical length for the formation of α-helices in peptides. Nanoscale Horiz. 2020, 5, 671. [Google Scholar]
- Wu, J.; Cheng, C.; Liu, G.; Zhang, P.; Chen, T. The folding pathways and thermodynamics of semiflexible polymers. J. Chem. Phys. 2018, 148, 184901. [Google Scholar]
- Gao, P.; Nicolas, J.; Ha-Duong, T. Supramolecular organization of polymer prodrug nanoparticles revealed by coarse-grained simulations. J. Am. Chem. Soc. 2021, 143, 17412. [Google Scholar]
- Ferreira, L.G.; Santos, R.N.D.; Oliva, G.; Andricopulo, A.D. Molecular docking and structure-based drug design strategies. Molecules 2015, 20, 13384. [Google Scholar] [CrossRef]
- Katzgraber, H.G.; Trebst, S.; Huse, D.A.; Troyer, M. Feedback-optimized parallel tempering Monte Carlo. J. Stat. Mech. 2006, P03018. [Google Scholar]
- Singh, N.; Li, W. Recent advances in coarse-grained models for biomolecules and their applications. Int. J. Mol. Sci. 2019, 20, 3774. [Google Scholar] [CrossRef]
- Bustamante, C.; Marko, J.F.; Siggia, E.D.; Smith, S. Entropic elasticity of λ-phage DNA. Science 1994, 265, 1599. [Google Scholar]
- Kremer, K.; Grest, G.S. Dynamics of entangled linear polymer melts: A molecular-dynamics simulation. J. Chem. Phys. 1990, 92, 5057. [Google Scholar]
- Aierken, D.; Bachmann, M. Impact of bending stiffness on ground-state conformations for semiflexible polymers. J. Chem. Phys. 2023, 158, 214905. [Google Scholar] [CrossRef] [PubMed]
- Lifshitz, I.M.; Grosberg, A.Y.; Khokhlov, A.R. Some problems of the statistical physics of polymer chains with volume interaction. Rev. Mod. Phys. 1978, 50, 683. [Google Scholar] [CrossRef]
- Grosberg, A.Y.; Khokhlov, A.R.; Stanley, H.E.; Mallinckrodt, A.J.; McKay, S. Statistical physics of macromolecules. Comput. Phys. 1995, 9, 171. [Google Scholar] [CrossRef]
- Williams, M.J.; Bachmann, M. Significance of bending restraints for the stability of helical polymer conformations. Phys. Rev. E 2016, 93, 062501. [Google Scholar] [CrossRef]
- Williams, M.J. Microcanonical Analysis of Helical Homopolymers: Exploring the Density of States and Structural Characteristics. Polymers 2023, 15, 3870. [Google Scholar] [CrossRef]
- Zierenberg, J.; Marenz, M.; Janke, W. Dilute semiflexible polymers with attraction: Collapse, folding and aggregation. Polymers 2016, 8, 333. [Google Scholar] [CrossRef]
- Junghans, C.; Bachmann, M.; Janke, W. Statistical mechanics of aggregation and crystallization for semiflexible polymers. Europhys. Lett. 2009, 87, 40002. [Google Scholar] [CrossRef]
- Milchev, A.; Binder, K. Semiflexible polymers interacting with planar surfaces: Weak versus strong adsorption. Polymers 2020, 12, 255. [Google Scholar] [CrossRef]
- Sintes, T.; Sumithra, K.; Straube, E. Adsorption of semiflexible polymers on flat, homogeneous surfaces. Macromolecules 2001, 34, 1352. [Google Scholar] [CrossRef]
- Martínez-Fernández, D.; Herranz, M.; Foteinopoulou, K.; Karayiannis, N.C.; Laso, M. Local and global order in dense packings of semi-flexible polymers of hard spheres. Polymers 2023, 15, 551. [Google Scholar] [CrossRef]
- Milchev, A.; Egorov, S.A.; Binder, K.; Nikoubashman, A. Nematic order in solutions of semiflexible polymers: Hairpins, elastic constants, and the nematic-smectic transition. J. Chem. Phys. 2018, 149, 174909. [Google Scholar] [CrossRef] [PubMed]
- Shakirov, T.; Paul, W. Crystallization in melts of short, semiflexible hard polymer chains: An interplay of entropies and dimensions. Phys. Rev. E 2018, 97, 042501. [Google Scholar] [CrossRef]
- Milchev, A.; Egorov, S.A.; Vega, D.A.; Binder, K.; Nikoubashman, A. Densely packed semiflexible macromolecules in a rigid spherical capsule. Macromolecules 2018, 51, 2002. [Google Scholar] [CrossRef]
- Kimura, K.; Higuchi, S. Extension of the constant exchange probability method to multi-dimensional replica exchange Monte Carlo applied to the tri-critical spin-1 Blume–Capel model. J. Stat. Mech. 2016, 2016, 123207. [Google Scholar] [CrossRef][Green Version]
- Mitsutake, A.; Okamoto, Y. From multidimensional replica-exchange method to multidimensional multicanonical algorithm and simulated tempering. Phys. Rev. E 2009, 79, 047701. [Google Scholar] [CrossRef]
- Fukunishi, H.; Watanabe, O.; Takada, S. On the Hamiltonian replica exchange method for efficient sampling of biomolecular systems: Application to protein structure prediction. J. Chem. Phys. 2002, 116, 9058. [Google Scholar] [CrossRef]
- Schnabel, S.; Seaton, D.T.; Landau, D.P.; Bachmann, M. Microcanonical entropy inflection points: Key to systematic understanding of transitions in finite systems. Phys. Rev. E 2011, 84, 011127. [Google Scholar] [CrossRef]
- Qi, K.; Bachmann, M. Classification of phase transitions by microcanonical inflection-point analysis. Phys. Rev. Lett. 2018, 120, 180601. [Google Scholar] [CrossRef]
- Bird, R.B.; Armstrong, R.C.; Hassager, O.; Bird, R.B. Dynamics of Polymeric Liquids. 2: Kinetic Theory, 2nd ed.; Wiley: New York, NY, USA, 1987. [Google Scholar]
- Qi, K.; Liewehr, B.; Koci, T.; Pattanasiri, B.; Williams, M.J.; Bachmann, M. Influence of bonded interactions on structural phases of flexible polymers. J. Chem. Phys. 2019, 150, 054904. [Google Scholar] [CrossRef]
- Marenz, M.; Janke, W. Knots as a topological order parameter for semiflexible polymers. Phys. Rev. Lett. 2016, 116, 128301. [Google Scholar] [CrossRef]
- Aierken, D.; Bachmann, M. Secondary-structure phase formation for semiflexible polymers by bifurcation in hyperphase space. Phys. Chem. Chem. Phys. 2023, 25, 30246. [Google Scholar] [CrossRef] [PubMed]
- Conrad, P.B.; de Pablo, J.J. Comparison of histogram reweighting techniques for a flexible water model. Fluid Ph. Equilib. 1998, 150–151, 51. [Google Scholar] [CrossRef]
- Bachmann, M. Thermodynamics and Statistical Mechanics of Macromolecular Systems; Cambridge University Press: Cambridge, UK, 2014. [Google Scholar]
- Sitarachu, K.; Bachmann, M. Evidence for additional third-order transitions in the two-dimensional Ising model. Phys. Rev. E 2022, 106, 014134. [Google Scholar] [CrossRef] [PubMed]







Disclaimer/Publisher’s Note: The statements, opinions and data contained in all publications are solely those of the individual author(s) and contributor(s) and not of MDPI and/or the editor(s). MDPI and/or the editor(s) disclaim responsibility for any injury to people or property resulting from any ideas, methods, instructions or products referred to in the content. |
© 2025 by the authors. Licensee MDPI, Basel, Switzerland. This article is an open access article distributed under the terms and conditions of the Creative Commons Attribution (CC BY) license (https://creativecommons.org/licenses/by/4.0/).
Share and Cite
Williams, M.J.; Gray, M.C. Microcanonical Analysis of Semiflexible Homopolymers with Variable-Width Bending Potential. Polymers 2025, 17, 906. https://doi.org/10.3390/polym17070906
Williams MJ, Gray MC. Microcanonical Analysis of Semiflexible Homopolymers with Variable-Width Bending Potential. Polymers. 2025; 17(7):906. https://doi.org/10.3390/polym17070906
Chicago/Turabian StyleWilliams, Matthew J., and Michael C. Gray. 2025. "Microcanonical Analysis of Semiflexible Homopolymers with Variable-Width Bending Potential" Polymers 17, no. 7: 906. https://doi.org/10.3390/polym17070906
APA StyleWilliams, M. J., & Gray, M. C. (2025). Microcanonical Analysis of Semiflexible Homopolymers with Variable-Width Bending Potential. Polymers, 17(7), 906. https://doi.org/10.3390/polym17070906

