Abstract
Among the naturally occurring polysaccharides, chitosan is the second-most abundant polysaccharide. It is obtained from chitin through a process known as deacetylation. It is biodegradable, biocompatible, and non-toxic, which made it suitable for various environmental applications. In the present review, the structure, properties, and characteristics of chitosan were discussed. In addition, the modified forms of chitosan (including cross-linked, nanoparticles, functionalized, and grafted forms of chitosan) were enumerated. The applications of these modified forms of chitosan in the adsorption of organic pollutants (such as antibiotics, dyes, pesticides, microplastics, polyaromatic hydrocarbons, parabens, and polychlorobiphenyls) are comprehensively reviewed. Furthermore, the mechanism of adsorption, adsorption isotherm (Langmuir and Freundlich), and the kinetic models are highlighted. Finally, the economic viability assessment and environmental impact of processing tons of shrimp shells into chitosan annually were discussed.
1. Introduction
A clean water supply is an essential requirement for a suitable, healthy community. It is a source of potable water used for drinking, irrigation, and domestic purposes. It supports the growth of aquatics, thereby providing valuable food supplements. Although these natural sources of life are essential to almost all living beings, they are subjected to pollution [1]. The problems associated with acid mine drainage effluents produced from coal mines, abattoir effluents, and wastewater discharge into rivers and streams are well-known; yet, finding methods to treat various waste types is not always easy [2,3]. Typical pollutants in effluent wastewater include phenol, dyes, and persistent organic pollutants [4,5]. Due to the impacts of these pollutants, there is an increasing demand for efficient removal techniques. Examples of the techniques that have been used are adsorption, bioremediation, reverse osmosis, ion exchange, sedimentation, and filtration. Out of these methods of removal, adsorption stands out and is widely used because of minimal cost and ease of operation [2,6]. The limitation on the use of activated carbon is the relatively high cost and the problem of secondary pollution. As a result, chitosan has been considered as an adsorbent for the adsorption of these pollutants from wastewater. The presence of organic pollution of water is a serious problem for the environment and public health. Because of these pollutants’ toxicity, bioaccumulation, and persistence, ecosystems and human populations are seriously at risk [7,8,9,10].
Both naturally occurring processes and human activity, such as mining, industrial discharge, agricultural runoff, and inappropriate waste management, can introduce these pollutants into aquatic systems [11,12]. The use of pesticides and fertilizers, which frequently contain trace levels of metals like cadmium and arsenic that can leak into groundwater or wash off into surface waters, is another way that agricultural practices contribute [3,11]. Both people and wildlife are in serious health danger from these pollutants.
Organic pollutants pose a serious threat to water systems. These include herbicides, pesticides, medicines, and industrial chemicals, including polychlorinated biphenyls (PCBs) and polycyclic aromatic hydrocarbons (PAHs). These substances are distinguished by their capacity for long-distance transit, environmental persistence, and bioaccumulation in living beings [13,14]. Agricultural runoff serves as a major reservoir for organic pollutants, as weed and pest management measures often involve the application of herbicides and pesticides. These substances pose a concern to aquatic life as well as human health because they can seep into groundwater or be transferred into surface waters by runoff [15,16]. Chemicals like PAHs and PCBs, which are by-products of processes like combustion and chemical manufacture, are released because of industrial operations [17,18]. Personal care and pharmaceutical products (PPCPs) are a growing category of organic contaminants that are mostly introduced into water bodies via home wastewater. Because conventional wastewater treatment plants are frequently ill-equipped to eliminate these materials, the aquatic environment continues to contain them [19]. Organic pollutants can harm both the environment and human health in several ways. Herbicides and pesticides have been connected to reproductive problems in both people and wildlife, endocrine disruption, and cancer. For example, exposure to the common herbicide atrazine has been linked to endocrine disruption in amphibians, which has resulted in population decreases [20]. Human liver damage and developmental issues have been linked to the well-known carcinogens (PCBs and PAHs) [21]. Organic contaminants in aquatic environments can interfere with aquatic organisms’ ability to reproduce and develop, which can result in population and biodiversity reductions. In addition to disrupting food webs and ecosystem processes, these contaminants’ persistence and bioaccumulation [22].
A comprehensive strategy incorporating technological advancements, public awareness campaigns, and regulatory actions is needed to address the contamination of water caused by heavy metals and organic contaminants. To restrict the amount of organic pollutants and heavy metals that are released into the environment, governments and international organizations have set rules and laws. Examples of such laws designed to preserve water quality are the Clean Water Act of the United States and the Water Framework Directive of the European Union [23]. Technological developments in water treatment, including bioremediation, adsorption strategies, and sophisticated oxidation processes, present viable ways to eliminate organic and heavy metal contaminants from tainted water [24]. Adsorbents such as activated carbon and biochar, for instance, are efficient in eliminating a variety of pollutants, such as organic pollutants and heavy metals [25].
Similarly, chitosan is a linear polysaccharide that is commonly employed as an adsorbent. It is made up of randomly distributed units of N-acetyl-D-glucosamine and β-(1→4)-linked D-glucosamine [26,27] (Benettayeb, Ahamadi et al., 2024; Benettayeb et al., 2023). The solubility, biocompatibility, and bioactivity of chitosan are all influenced by its varying degree of deacetylation (DD). Higher DD chitosan generally offers better antibacterial and adsorption qualities, is more soluble in acidic conditions, and can be used for water treatment [28] (Suyambulingam et al., 2023). Because its amino groups have been protonated, it becomes cationic in acidic solutions, making it easier for it to interact with impurities that are negatively charged. The adsorption of heavy metals, dyes, and other contaminants from aqueous solutions is made easier by this characteristic [29] (Bhatnagar & Sillanpää, 2009). For instance, a prior study showed the considerable reduction of lead, copper, and mercury concentrations in water through the adsorption of chitosan films and beads [28] (Suyambulingam et al., 2023). Therefore, this review discusses, analyses, and summarizes important empirical findings on the use of chitosan as a natural adsorbent for removing organic pollutants and heavy metals from the environment. It is based on the literature that was retrieved from Google Scholar, Publisher Medline, and a number of recent studies.
2. Mechanisms of Adsorption Processes
The mechanism of adsorption requires that the ions or molecules of liquid or gaseous phase remain on the surface of the solid through mass transfer. While these liquid and gaseous molecules are the adsorbate, the solid materials used for their adsorption are called adsorbents [30] (Mahmood Aljamali & Obaid Alfatlawi, 2021). The process is a surface phenomenon, which implies that the adsorbate molecules will not penetrate the bulk of the adsorbent material. It depends on the equilibrium processes for separating contaminants from wastewater. Compared to other remediation methods, adsorption is easy to use; the design is simple and cheap. In addition, the formation of hazardous intermediate products is not possible, and it is not sensitive to toxic species in the wastewater [31,32].
In adsorption, the adsorbents are generally made in such a way that there will be porosity in their internal structure through which the adsorbate molecules or ions are retained [33]. The adsorption is favoured by the affinity of the adsorbate for the adsorbent, and the adsorbate is retained on the adsorbent by the attractive forces and surface energy between the adsorbate and adsorbent. Based on how the adsorbate binds to the adsorbents, the adsorption process can be classified into physisorption and chemisorption. The differences between these two processes are listed in Table 1. Generally, the rate of adsorption is a function of the surface area per unit mass of the adsorbent. Other factors that affect the efficiency of adsorption are shown in Figure 1. After the adsorption has taken place, the process of removing the adsorbate from the adsorbent is called desorption, which is the opposite of adsorption.
Table 1.
The difference between physisorption and chemisorption.
Figure 1.
Factors affecting the rate of adsorption.
2.1. Freundlich and Langmuir Adsorption Isotherms
The significance of adsorption isotherms is for monitoring of adsorption capacity as determined by the experimental parameters. They always enhance the comparative study of various adsorbents [34]. From the findings carried out so far, it can be extrapolated that most adsorption processes involving chitosan-based materials always conform with either Freundlich or Langmuir isotherms.
2.1.1. Langmuir Adsorption Isotherm
The Langmuir model gives the rudiment of what is happening between the adsorbate and adsorbents. It has been applied in different fields, including but not limited to material sciences, biological sciences, and chemical sciences [35]. It describes the equilibrium existing between the adsorbent and adsorbate based on monolayer assumptions at a point where the unit pressure is reached [36].The model also assumes that the desorption rate from a surface varies directly with the fraction covered by the adsorbate (θ). It also assumes that the rates of adsorption and desorption are the same at equilibrium for a specific binding site. Another assumption is that all the sites of adsorption are similar, and there is no interaction between the adsorbed molecules on the surface of the adsorbent. It has primarily been used for chemisorption, but its application has been extended to binary systems [37,38]. The linearized expression of Langmuir is as follows:
where KL is the Langmuir constant, qm is the quantity of adsorbed molecules in mg/g, qmax is the adsorption capacity in mg/g, and Ce is the equilibrium molecules concentration in milligrams per litre.
2.1.2. Freundlich Adsorption Isotherm Model
Unlike Langmuir, which is used for unit layer adsorption, Freundlich is considered when the heterogenous molecules are adsorbed on the surface of the adsorbent. It is simply for describing multilayer adsorption taking place on the heterogenous surface [37,38]. This isotherm can be represented as follows:
where qm is the quantity of adsorbed molecule in mg/g, Ce is the equilibrium molecules concentration in milligrams per litre, 1/n is the intensity of adsorption, and KF is the Freundlich constant.
It should be noted that the value of n is always more than one, which implies that the amount of gas adsorbed does not increase rapidly with increasing pressure. When the pressure is low, there is direct variation between the adsorption and the amount adsorbed, but this does not hold at a high pressure [39,40]. From the Freundlich expression, it shows that the site of energy distribution for the adsorption site does not display true exponential. However, at low solute concentration, there is semi-exponential energy distribution, and this conforms to the Freundlich isotherm expression [40,41].
2.2. Kinetic Models
The study of the kinetics of the adsorption of pollutants onto chitosan-based materials is very important as it helps in the optimization and modelling of the adsorption parameters, process cost, and technology [34]. This would further help in the investigation of adsorption capacity. However, adsorption isotherms help in understanding the kind of interaction formed between the adsorbent and adsorbate during the process, giving insight into the optimum utilization of an adsorbent [42]. Carolin et al. (2009) reported the kinetics for the adsorption of TC onto chitosan and found out that the kinetics followed the pseudo-nth-order process, which was determined by many factors such as the concentration of TC, time of adsorption, the ratio between active adsorption sites, and the number of adsorbate molecules. This agrees with the report by Morais et al. (2008), where it was discovered that the adsorption of methyl orange on chitosan obeyed pseudo-nth-order and fitted well with Freundlich–Langmuir isotherms [43].
Most adsorption processes using chitosan-based materials had been reported to follow pseudo-second-order kinetics and also complied with Langmuir and Freundlich isotherms. An adsorbent CS@TDI@EDTA@γ-AlO(OH) prepared from chitosan, toluene diisocyanate (TDI), ethylene diamine tetra acetic acid (EDTA), and Al(NO3)3⋅9H2O/NaOH was used for the removal of TC and diazinon. The equilibrium results at the optimal temperature, pH, adsorbent dosage, and adsorption time revealed that the adsorption of TC and diazinon fitted well with Langmuir and Freundlich isotherms, respectively. In the kinetics of the adsorption process, the correlation factor (R2) for the pseudo-second-order model was 0.9986 and 0.9988 for diazon and tetracycline, respectively [42].
Expressions for pseudo-first-order and pseudo-second-order are represented by Equations (3) and (4), respectively.
where
- qe (mg.g−1) = adsorption capacity at equilibrium.
- qt (mg.g−1) = adsorption capacity at time t.
- k1 (s−1) = rate constant for first-order adsorption.
- k2 (mol L−1 s−1) = rate constant for second-order adsorption.
- t (min) = time of adsorption.
The Weber–Morris kinetic model is equally relevant as the pseudo-first- and second-order models in investigating the adsorption capacity of the adsorbent. In single and multicomponent adsorption of three antibiotics (amoxicillin (AMX), ciprofloxacin (CIP), and sulphamethoxazole (SMX)) using chitosan-carbon nanotube hydrogel beads, at pH 7, the single kinetic experimental data obtained for AMX, CIP, and SMX fitted with the nonlinear pseudo-first-order model. However, the Weber–Morris kinetic model revealed that the rate of adsorption of the three antibiotics was reduced as a result of multiple processes [44]. The Weber–Morris kinetic model always shows the intraparticle diffusion process by deducing the value of the Weber–Morris rate constant when the qt is plotted against time t. The plot of the adsorption process obeying the Weber–Morris model always passes through the origin (0, 0) if the process is controlled by intraparticle diffusion. Moreover, non-Weber–Morris adsorption processes are governed by multiple adsorption processes. Hence, the rate-determining step of the adsorption process can easily be ascertained [45]. Mathematical expression is shown in Equation (5).
where
- qt (mg.g−1) = adsorption capacity at time t.
- k (min−1) = Weber–Morris rate constant.
- t (min) = adsorption time.
Table 2 presents the kinetic models and isotherm of a few examples of adsorption processes where chitosan-based materials were employed, in their various forms.
Table 2.
Summary of some recent adsorption processes using chitosan-based materials as adsorbents.
3. Structure and Characteristics of Chitosan and Its Derivatives
3.1. An Outline of the Chemical Structure of Chitosan
A biopolymer produced from chitin, chitosan has extraordinary properties that help its extensive variety of use in enterprises like food technology, medicine, environmental management, and agriculture. The chemical structure of chitosan is analysed in this review, along with its atomic makeup, sub-atomic weight, properties of hydrogen bonds, and crystallinity. Furthermore, the impacts of these primary qualities on the material’s applicability for use in various fields are analysed.
Chitin is a polysaccharide found in the shells of animals such as crab and shrimp. They have also been formed from the shells of fungi [54]. Chitosan is a linear polysaccharide composed of β-(1→4)-linked D-glucosamine (deacetylated unit) and N-acetyl-D-glucosamine (acetylated unit) groups [55] These two are connected by β-1,4 glycosidic bonds, which assume an exceptionally vital part in the properties of the polymer [56,57]. It is a partially deacetylated chitin product, with 50–95% of the N-acetyl groups removed from the molecule depending on the deacetylation method used [58]. The level of deacetylation, which suggests the proportion of D-units compared with A-units, can fundamentally influence the solubility and biological activities of chitosan [58,59]. Chitosan is a white, water-insoluble, tasteless, translucent, and non-toxic solid. When reacted with polyelectrolytes and acids, it can lead to the formation of salts. Its solubility depends on factors such as temperature, molecular weight, degree of deacetylation, and anionic characteristics [60] (Rangel-Mendez et al., 2009). The capacity of the polycationic form of chitosan is a function of the presence of the free amino group and its solubility [58].
The degree of deacetylation (DDA) is a structural feature that distinguishes chitin and chitosan, and potentiometric or spectral analysis via FTIR and NMR are standard methods for estimating DDA [61] (Chang, 2021). Chitosan’s amine groups (Figure 2) are far more reactive than chitin’s acetamide groups. Many studies have been conducted to tailor the structure–function properties of amine groups for various applications [62] (Maia et al., 2020).
Figure 2.
Chemical structure of chitosan and chitin after partial N-deacetylation of chitin to raw chitosan under alkaline conditions. Reproduced with permission from [61] Chang, 2021. Copyright (2021). Elsevier with Licence number: 5943050199935.
Chitosan and its derivatives have been used in environmental remediation [63], the pharmaceutical industry, medicine [64], and chemical synthesis [65]. Their wide usage can be linked to their high adsorption capacity, good biodegradability, low toxicity, and biocompatibility. The simultaneous adsorption of several heavy metal ions from wastewater has been successfully carried out by using chitosan and its derivatives [66]. Apart from heavy metals, they have been used to adsorb phenols [67], pigments [68], fluorides [69], and others.
Biomedical, pharmaceutical, biomaterials, water treatment, and hair and skincare products are among the areas of application and research. However, the applications of chitosan are limited due to its difficulty in modifying its structure and poor water solubility. The disadvantage of its application is that chitosan suffers from flaws such as low thermal stability, low specific surface area, low mechanical strength, low acid stability, etc. It possesses a lot of amino and hydroxy functional groups, which can form bonds with the heavy metal ions. These functional groups can also be modified via chemical methods to overcome limitations associated with the adsorption of pollutants [70]. Oligomers of chitosan behave in a different manner from chitosan itself. For instance, the oligomers dissolve in the basic and acidic pH range, unlike high-molecular-weight chitosan, which only dissolves in acidic medium even when the degree of acetylation is very high. Due to the solubility challenge in basic and neutral conditions, the application of this form of chitosan is limited under these conditions. This necessitates the need to synthesize derivatives of chitosan with improved solubility that could be used for various applications.
There are wide varieties in the molecular weight of chitosan; this impacts its physical and synthetic properties. Chitosan with lower molecular weight regularly has a less compact structure, bringing about more weak intramolecular hydrogen holding. This can influence its solubility and reactivity, making it more powerful for specific applications [58]. Then again, higher atomic weight chitosan will, in general, display more prominent mechanical strength and steadiness. Chitosan contains various hydroxyl and amino groups, and this contributes to its gel-shaping capacity and its communications with different particles; however, its broad hydrogen security arrangement improves its utility in biomedical applications like medication delivery systems and wound dressings [71].
The mechanical properties and biodegradability of chitosan are impacted by its changing level of crystallinity. The crystalline regions are normally more resistant to biodegradation, making chitosan a strong material, while the amorphous region is more prone to enzymatic activity [56,58]. The balance between the crystalline and amorphous areas is fundamental for tailoring chitosan for specific applications.
3.2. Sources and Formation of Chitosan
Feasible practices and upgraded use of chitosan require figuring out its sources and technique for creation. The main sources of chitosan are traced to marine organisms and, to some extent, in insects and fungi. Chitosan occurs naturally as a polysaccharide formed from chitin, usually found in the exoskeletons of exoskeletons like shrimp, crabs, and lobsters. Chitosan is an important material in different industries, including medication, farming, and food innovation, because of its biodegradability, biocompatibility, and non-poisonousness [54]. Certain insects, like beetles and subterranean insects, have exoskeletons rich in chitin, which can be processed to form chitosan [58]. Besides, a few fungi, such as Mucor and Aspergillus, likewise contain chitin in their cell walls, introducing an alternative source for chitosan extraction [54].
The extraction procedure includes gathering chitin-rich waste from fish handling ventures followed by treatment with soluble or corrosive answers to eliminate proteins. This is then trailed by demineralization by means of corrosive treatment to eliminate minerals like calcium carbonate before conclusive deacetylation into chitosan through basic or enzymatic treatment. The creation of chitosan includes the deacetylation of chitin through substances or naturally. The synthetic strategy includes treating the chitin with concentrated soluble arrangements, for example, NaOH, to eliminate the acetyl bunches coming about in chitosan [58]. In certain occasions, corrosive arrangements are utilized to upgrade the dissolvability of chitin before soluble treatment, making the deacetylation cycle more productive [54]. While organic deacetylation utilizes explicit compounds, for example, chitinases, to change over chitin into chitosan. This technique is viewed as more harmless to the ecosystem and can yield chitosan with explicit properties custom-fitted for specific applications [72]. It ought to be noticed that the decision of source and creation technique essentially impacts the quality and usefulness of chitosan. Factors like the level of deacetylation, molecular weight, and purity are fundamental to its application across different fields. Maintainable obtaining rehearses and eco-accommodating creation strategies are fundamental for limiting natural effect and upgrading the practicality of chitosan as a green material [54].
4. Physical and Chemical Properties of Chitosan and Its Derivatives
The degree of acetylation at C-2 determines the structure of chitin and chitosan biopolymers. Chitin is completely acetylated, whereas chitosan has amine or N-acetyl groups (-NHR; R = H and R = acetyl). When the level of chitin deacetylation reaches 50% or higher, the resulting biopolymer contains more glucosamine units and is referred to as chitosan. Aqueous acidic media is more soluble than chitin [73]. Chitosan is not toxic, soluble in acids, but insoluble in water. The amine groups (–NH2) on chitosan molecules are protonated in acidic solutions (below pH 5) and thus acquire a positive charge (–NH3+), influencing solubility, adsorption, and antimicrobial capacity [74]. According to research findings, chitosan is soluble in 10-camphorsulphonic acid, p-toluene sulphonic acid, and dimethylsulphoxide [74]. H2SO4 is rarely used to dissolve chitosan because it produces insoluble chitosan sulphate. Chitosan should not be dissolved in a medium containing fatty acid [75].
Chitosan stretching vibration bands appear around 3450–3400 cm−1 and are attributed to v(N-H) and (O-H). Stretching vibrations in 2940–2850 cm−1 could be attributed to the CH3- group in NHCOCH3, the CH2- group in CH2OH, and the CH2- group in the pyranose ring [76] (KASAAI, 2008). The vibrations at 1680–1620 cm−1 and 1550–1300 cm−1 were attributed to (C=O) in the NHCOCH3 group (Amide I band) and (C-N) in the Amide II band, respectively. Furthermore, the region between 1000 and 1180 cm−1 is typically saturated due to three distinct vibrational modes of C-C, C-O-H, and C-O-C ring vibrations [77] (Kolhe & Kannan, 2003). According to Costa et al., (2015) the viscosity and flow rate assessment of chitosan solutions made in ethanoic acid/sodium acetate and ethanoic acid/NaCl are significantly dependent on the extent of deacetylation of chitosan molecules [78].
Its functional properties determine chitosan’s chemical properties. The acetylated part could associate via hydrogen bonding and engage in hydrophobic relationships, which significantly improves the molecule’s stability, which impacts certain rigidity, strengthening its structural features. The amine and hydroxyl functional groups on chitosan are modifiable, which could enhance its available properties [75]. Chitosan’s chemical properties allow many chemical interactions with organic and inorganic species. Chitosan’s chemical properties are also linked to biological properties, including biocompatibility, biodegradability, and unique interactions with different living tissues [79,80]. Some chitosan properties, such as toughness and water absorption, were modifiable via polyvinyl acetate modification [81]. Attachment of transition metals to chitosan is primarily accomplished by coordinating metal with the -NH2 group of chitosan in a mole ratio of 1:1 [82].
5. Modification of Chitosan
Based on the capacity required, chitosan has been modified to increase the functional groups that will enhance adsorption [83]. One of the properties that was affected by the modification is solubility. Its solubility in organic acid solutions has impacts on the strength of the intramolecular hydrogen bonding, the strength of their ions, and the arrangements of the acetyl groups [84,85]. Derivatization of the functional groups and the resizing of the pore diameter under varied pH were found to be responsible for the enhanced performance of modified chitosan in acetic acid [86]. Cross-linking and grafting are two standard chemical modification processes that transform chitosan into composites.
5.1. Cross-Linked Chitosan
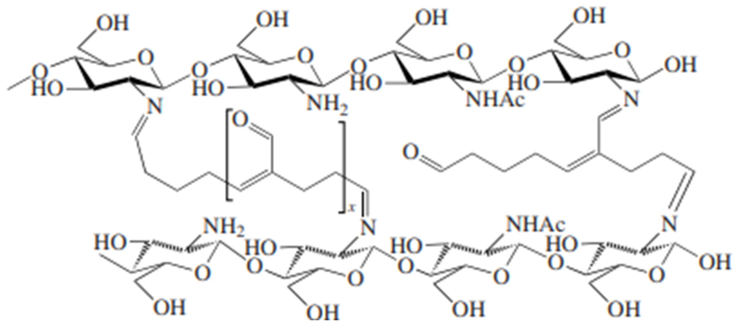
Three-dimensional network structure of polymers can be obtained from linear polymers by introducing extrainteractive bonds on the active sites of two or more polymer chains. Cross-linked chitosan is created by inducing cross-linking reactions between chitosan chains with cross-linking agents [87]. Cross-linking agents commonly used include glyoxal, formaldehyde, glutaraldehyde, epichlorohydrin, carbodiimide, boric acid, sodium trimetaphosphate, N-methylene bis acrylamide, polycarboxylic acid, and others [88] There are natural cross-linkers, which include transglutaminase, tyrosinase, peroxidase, laccase, sortase A, genipin, vanillin, tannic acid, and phytic acid. They work by binding to the heteroatoms on the chitosan. One glutaraldehyde molecule, for example, reacts with amino groups of the chitosan chains to form cross-linked chitosan molecules (Figure 3).
Figure 3.
Chitosan cross-linked glutaraldehyde [89] (Kildeeva et al., 2009).
The cross-linking agent is essential because it effectively stabilizes covalent cross-linking, the formation of ionic bonds, and physical cross-linking due to hydrogen bonds or van der Waals forces. The introduction of a cross-linking agent into the chitosan structure is determined by its molecular weight, chemical structure, and the presence of active groups in chitosan [60] (Rangel-Mendez et al., 2009). The compatibility of the chitosan and cross-linking agents to produce appropriate interactions is an important factor to consider. Chitosan’s molecular structure could be cross-linked if it has a low molecular weight (typically less than 1 × 104 g/mol). This form of chitosan can be cross-linked and achieve appropriate thermal, structural, and mechanical properties [60].
Tripolyphosphate (TPP) can act as a polyanionic agent that can interact via electrostatic means with NH+3 groups in chitosan to form a stable complex. Unlike most cross-linking agents, polymer chains interact via covalent bonds (see Figure 4). Cross-linked chitosan has improved mechanical properties as well as acidic stability. Moreover, cross-linking may reduce the efficiency of adsorption because the cross-linking agent binds to OH and NH2, making them less accessible [90].
Figure 4.
Schematic representation of ionic cross-links in chitosan modified with tripolyphosphate, TPP. Adapted with permission from [76] Gierszewska & Ostrowska-Czubenko, (2016). Copyright (2016) Elsevier. License number: 5943031419472.
In a study of the adsorption of dyes using cross-linked chitosan, microbeads with small particle sizes demonstrated the highest adsorption capacity (1936 mg/g) [90] (Chiou and Li, 2002), which shows that the particle size of the cross-linked chitosan affects the adsorption capacity of the material. According to Tillet et al. (2011) [91], chitosan cross-linking can be performed at room temperature or above room temperature (intermediate temperature), which is usually around 150 °C (2011). Cross-linking agents that can react with the amine group of chitosan in an aqueous solution are used at room temperature. Enzymatic reactions and physical cross-linking of chitosan are typically carried out at room temperature. This cross-linking agent primarily uses coatings, hydrogels, protein-polysaccharide blend films, latex, and emulsions with antimicrobial or antifungal properties, and biological applications.
5.2. Grafted Chitosan
Graft copolymerization of chitosan, unlike cross-linked chitosan, involves polymers other than chitosan [92]. Synthetic polymers with specific properties can be introduced into chitosan molecules via graft copolymerization, improving chitosan performance and broadening its application. In a study, the chitosan-g-poly(acrylamide-acryloyloxyethyl) trimethylammonium chloride (CS-g-PAD) displayed better adsorption capacity in the treatment of wastewater than ordinary chitosan [93]. One of the compounds that has been used to form graft polymerization is phenolics. Phenolics are commonly found in wine, coffee, tea, cocoa, dry legumes, olives, cereals, vegetables, and fruits. Grafting of phenolic to chitosan is beneficial because phenolic alone has been used for different biological applications, such as in regulation of metabolic activities, anticancer agents, anti-inflammatory medications, antidiabetics, antimicrobial agents, and antioxidants [94]. Examples of phenolic compounds that have been grafted into chitosan are chlorogenic acid, syringic acid, gallic acid, sinapic acid, ferulic acid, gentisic acid, α-resorcylic acid, caffeic acid, coumaric acid, protocatechuic acid, vanillic acid, salicylic acid, and p-hydroxybenzoic acid [94]. The grafting of the chitosan with these phenolics is achieved by chemical coupling, enzyme catalysis, free radical mediation, and electrochemical methods [94].
5.3. Nanoparticles and Functionalized Form of Chitosan
Most chitosan adsorbents in powder form are submicron-sized to the micron, with little porosity and a large adsorption surface area. Furthermore, particle diffusion limits mass transfer, resulting in an adsorption rate limitation. Nano-scale adsorbents with increased specific surface area and improved performance have been developed to address these faults. Several methods for producing chitosan nanoparticles have been reported. For example, Radwan et al. (2020) used gamma radiation to create chitosan nanoparticles [95]. Qi et al. (2004) and colleagues created chitosan nanoparticles by ionic gelating chitosan with tripolyphosphate (TPP) anions [96]. Chitosan nanoparticles have better adsorptive efficiency than flaky or powdery forms, but it is difficult to recycle.
To improve chitosan solubility, the molecule’s free amino and hydroxyl groups can undergo substitution reactions to enhance their hydrophilic character. Carboxymethylation is a common strategy that produces O-carboxymethyl, N-carboxymethyl, and N, O-carboxymethyl chitosan [97]. The smoothness and porosity of the chitosan that has not been modified are different from those of the modified form of the chitosan. For instance, N, O-carboxymethyl chitosan has a microporous structure, while that of ordinary chitosan is non-porous and smooth. This positively affects the contact area of the modified form of the chitosan. Chitosan that has been carboxymethylated has better adsorption capacity than ordinary chitosan [97].
Quaternization is another standard method for modifying the functional groups in chitosan. Through this method, the solubility and positive charge in the material are improved [98].The primary amino group on the chitosan backbone can be directly transformed into the quaternary ammonium group. The trimethylation of chitosan’s amino groups is one form of quaternization. An alternative method for introducing quaternary ammonium salts is to react -NH2 and -OH groups of chitosan with quaternary ammonium reagents. The most common method is to use a linker to connect quaternary ammonium groups to the primary -NH2 on the chitosan’s backbone, but -OH groups can also be substituted. Reports have been of quaternized chitosan being used to remove pollutants [99]. According to Cai et al. (2010) [100], quaternized carboxymethyl chitosan flocculant synthesized by quaternization of N, O-CMC has a chemical oxygen demand removal efficiency of over 80% at pH 5. Although there have been some successful attempts, quaternization modification is not used alone to prepare chitosan adsorbents because soluble chitosan adsorbents are difficult to recycle after application.
6. Methods of Modifying Chitosan
6.1. Physical Modifications of Chitosan
Chitosan can be physically modified into various forms such as beads [66], films, membranes, and fibres to enhance its adsorption capacity. Beads are commonly prepared through the ionic gelation process using cross-linking agents like sodium tripolyphosphate (TPP) [101]. This increases the surface area and mechanical strength of the beads, making them ideal for use in fixed-bed column adsorption systems. Films and membranes are prepared by casting chitosan solutions and can be used in filtration systems for wastewater treatment [73]. These physical modifications improve chitosan’s diffusion properties and facilitate solid–liquid separation after adsorption. Chitosan nanocomposites, such as chitosan-based hydrogels, have been exploited in the removal of a wide range of organic and inorganic pollutants in wastewater [102,103,104]. Other physical modification processes include mechanical grinding, use of radiation, use of sound, use of enzymes, and use of plasma [105].
6.2. Chemical Modifications of Chitosan
Chemical modifications, including cross-linking and grafting, significantly enhance the adsorption performance of chitosan. Cross-linking involves the introduction of cross-linkers like glutaraldehyde or epichlorohydrin, which improves chitosan’s mechanical strength and chemical stability, particularly in acidic conditions. This modification also enhances its thermal stability and reusability [101,106]. Grafting introduces new functional groups (e.g., acrylonitrile, polymethyl methacrylate) to the chitosan backbone, increasing the density of adsorption sites and improving the material’s efficiency in capturing pollutants such as dyes and heavy metals [101,107,108].
One of the chemical modification methods involves the use of Schiff bases made from carbonyl compounds. The reaction could be used for protecting the NH2 group of the chitosan while the -OH group that participates in the reaction is freed by lowering the pH of the system or by adding powerful reducing agents such as sodium borohydride to the system [105]. Apart from using Schiff base, carboxymethylated functional groups are introduced to chitosan to enhance its ability to form film and improve its solubility. The reagent to be used for this purpose depends on whether the carboxymethylation will be O-, N-, N, N-, or N, O-carboxymethylation. Isopropanol, water, sodium hydroxide, and monochloroacetic acids are needed for O-carboxymethylation, while sodium cyanohydride and glyoxylic acids are needed for N- or N, N-carboxymethylation. Other reactions that are used to modify chitosan chemically are alkylation (using halogenated hydrocarbons at a high pH), acylation (using the derivatives of organic acids such as acid halides and anhydrides), and quaternization (introducing the derivatives of quaternary ammonium salt to chitosan) [105].
6.3. Impact of Modification on Adsorption Efficiency
The various modifications of chitosan, both physical and chemical, have a profound impact on its adsorption efficiency. For instance, cross-linked chitosan beads demonstrate a significantly higher adsorption capacity for heavy metals compared to non-cross-linked forms due to the enhanced availability of functional groups and improved mechanical stability [73] Similarly, grafted chitosan with side chains like acrylonitrile or polymethyl methacrylate exhibits improved adsorption efficiency by increasing the density and accessibility of active sites. These modifications also widen the pH range for adsorption, making chitosan more versatile for different environmental applications [106]. By undergoing physical and chemical modifications, chitosan becomes a highly effective and versatile material for the adsorption of a wide range of pollutants, from heavy metals to organic dyes and even pharmaceuticals. These improvements have broadened the applicability of chitosan in environmental remediation, particularly in wastewater treatment [106].
7. Adsorption of Organic Pollutants by Chitosan-Based Materials
Organic pollutants are among the top groups of contaminants that constitute a great threat to the availability of clean water. The most prominent among them include antibiotics, dyes, pesticides, microplastics, parabens, PAHs, and PCBs. Adsorption has been proven to be highly effective in remediating these pollutants in the environment. However, there is a need for more efficient materials with good adsorptive properties that are yet renewable, readily available, and environmentally compliant. Among such materials are chitosan-based materials.
7.1. Adsorption of Antibiotics
Antibiotics are part of the prominent organic pollutants of water. They are easily accumulated in water via discharge from medical environments. Antibiotics are a key class among the emerging pollutants because of the harm they cause to the ecosystem. Examples of common antibiotics include amoxicillin, norfloxacin, sulphamethoxazole, ofloxacin, tetracycline, levofloxacin, ceftriaxone, erythromycin, doxycycline, cefotaxime, and ciprofloxacin. The major mechanism of adsorption of antibiotics had been reported using chitosan-based materials to be attributed to hydrogen bonding, and electrostatic attraction (π–π and π–n interactions) [109]. Among the prevalent antibiotics in the environment is tetracycline (TC). The concentrations of TC in wastewater can be up to ng L−1 [110] Adsorbent generated from chitosan-based magnetic had been successfully exploited for the removal of TC from water. Chitosan (CS) not only served as the support for the magnetite, Fe3O4, but also displayed its adsorptive, coagulative, and chelating properties [111] The reported adsorption efficiency of the catalyst was up to 76.33% (211.21 mg g−1) at pH 7.0. The mechanism of adsorption was aided by the hydrogen bonds and cation–π interaction. Hence, the process is pH- and temperature-dependent, and it obeys Sips isotherms. Figure 5 shows the hypothetical mechanism suggested for the adsorption of TC via the use of the CS.Fe3O4 catalyst.
Figure 5.
Hypothetical mechanism for the adsorption of TC onto CS.Fe3O4. Reproduced from [110]. MDPI Open access under Creative Common Agreement.
In a related study carried out by Nasiri et al. (2022), the adsorption efficiency of up to 93.07% was recorded in the use of CuCoFe2O4@Ch magnetic nanocomposite for the removal of TC from water under ideal conditions as follows: TC initial concentration of 5 mg/L, pH 3.5, adsorbent dose of 0.4 g/L at room temperature. However, the efficiency was reduced to 67% when the nanocomposite was used in real wastewater. The result was shown to follow the Freundlich isotherm, while the kinetics obeyed pseudo-second order [112] result agreed with the report of Guo et al. (2023), where the coprecipitation technique was used in the synthesis of chitosan-modified bentonite as an adsorbent for TC. Under optimal conditions of CS/bentonite ratios, dosage of adsorbent, pH, and adsorption time, the adsorption capacity obtained was 19.32 mg/g, and the adsorption fitted well with pseudo-second-order kinetics and the Freundlich isotherm [113].
Development in the use of chitosan-based materials has brought about the design of a fixed bed column for continuous adsorption of TC, as shown in Figure 6. The fixed bed was packed with leached carbon black waste (LGBW) and beads made from a chitosan-carbon composite. The LGBW-chitosan composite was prepared using the instantaneous gelation technique. The flow rate of the TC-containing water was kept between 1 and 2 mL/min, while the concentration of the adsorbate (TC) was maintained at 50 mg/L. The concentration of the TC effluent was determined by UV-Vis spectrophotometer at a wavelength of 357 nm. The data obtained under the experimental conditions revealed consistency with the pseudo-first-order model for the LGBW-chitosan composites, and the adsorption process was not only supported by intraparticle interaction but was also aided by the cations present in the solution [86,114].
Figure 6.
Fixed bed containing LGBW-chitosan composite for continuous adsorption of TC. Reproduced from (Yaqubi et al., 2021) [114]. Copyright (2021), Elsevier Licence Number: 5943061399299.
Moreover, the porosity of organobentonite modified with chitosan (BC) had been exploited in the removal of amoxicillin, ampicillin, and doripenem from wastewater. The temperature varied between 30 and 50 °C. According to PSO, the maximum rate of adsorption obtained and the mass of the adsorbate for the three antibiotics are presented in Table 3.
Table 3.
Maximum rate of adsorption obtained and the mass of the adsorbate for the three antibiotics [115].
Theoretical study, a density functional theory, had been used to validate chitosan and graphene oxide as potential adsorbents for remediating the emerging pollutant, antibiotics inclusive. This was the outcome of a theoretical study carried out on the prediction of the adsorption of amoxicillin and ibuprofen on chitosan and graphene oxide materials [116]. The prediction agreed with most experimental results previously reported, and the type of intermolecular force of attraction between the adsorbate and adsorbent was suggested to be either hydrogen bond, van der Waals force, or hydrophobic interactions. This was deduced from analysis of the second-order perturbation theory. However, the interaction energies for the amoxicillin complex were found to be larger than those of ibuprofen [116].
Less-expensive hybrid beads containing chitosan had also been employed in adsorbing antibiotics from wastewater. Dutta and co-authors recently examined the adsorption of gatifloxacin from aqueous solutions using composite beads made from chitosan, walnut, and almond shell powder. Three different types of beads were prepared by varying the ratio of each of the components. The effect of contact time, adsorbent dosage, adsorbate concentration, and pH was examined. For instance, at higher pH, there was a decrease in adsorption rate due to the electrostatic repulsion between negatively charged functional groups on both beads and antibiotics. This was probably caused by the deprotonation of carbonyl groups on gatiflixacin. Thus, the optimal pH was maintained at 7. The mechanism agreed with the report by Yadav et al. (2017) [117], where it was found that the fluoroquinolone adsorption on graphene oxide was affected by changes in binding sites and surface charges of both the antibiotics and adsorbent, caused by changes in pH [118].
7.2. Adsorption of Dyes
Dyes will continue to be prevalent in the environment as long as some industries, such as paint, paper, textiles, and leather, are in operation. The pathetic part is that dyes are being discharged into water bodies in large masses, yet they do not easily degrade and are carcinogenic and mutagenic in nature [119]. However, chitosan, either in its native, modified, or composite form, has been reported to be used for the decolourization of dyes because of its surpassing adsorption efficiency and speed yet is easily regenerated when compared with conventional adsorbents [119,120]. The efficiency and speed of dye adsorption using chitosan have been attributed to the presence of amino groups present in chitosan. This was in support of the result obtained when cross-linked chitosan beads were employed in the adsorption of reactive black 8 [121]. In the adsorption experiment, it was discovered that the data obtained fit effectively with Freundlich, while the best-fitted kinetic model was pseudo-second order. Marotta et al. (2021) reported the use of chitosan-aerogel composite for removing methylene blue and indigo carmine from water. There was a maximum adsorption capacity of 108 mg/g and 221 mg/g for methylene blue and indigo carmine, respectively, under similar conditions [122].
7.3. Adsorption of Pesticides
Pesticides are among the persisting pollutants, constituting a great threat to the ecosystem because of their stable chemical structure. Hence, there is a need for a renewable and eco-friendly source for their remediation. One such material is chitosan. Dehaghi and co-authors (2014) reported the use of chitosan-zinc oxide nanoparticles (CS-ZnONPs) for the removal of permethrin, one of the prominent bioaccumulated pesticides in water bodies. The CS-ZnONPs were synthesized via a polymer-based technique. It was discovered that with just 0.5 g of the adsorbent, 99% of permethrin, with a volume of 25 mL and concentration of 0.1 mg L−1, was removed. One advantage of CN-ZnONPs bionanocomposite was its ability to be regenerated after being used. This was achieved by treatment with a 0.1 M solution of NaOH. Interestingly, about 56% regeneration was achieved after three cycles [123]. Ethoprophos, another renowned pesticide, had been successfully adsorbed from an aqueous solution using chitosan obtained from biopolymer waste from the marine industry. The adsorption efficiency recorded was up to 89.234% with the adsorbent dose of 0.1 g/100 mL of the aqueous solution. The energy value obtained (5.56 KJ/mol) for the Dubinin–Radushkevich isotherm mathematical expression revealed that the adsorption took place via physical means. However, among all the adsorption isotherms examined, Freundlich produced the highest correlation coefficient of 0.97 [124].
In another related study, Rissouli et al. (2017) reported the adsorption of glyphosate herbicide using chitin and chitosan. Like other reports, the adsorption process was investigated under various conditions such as pH, contact time, absorbent, and adsorbate dosage. Both Freundlich and Langmuir isotherms were also used to examine the process. The correlation values (R2) obtained were 0.9298 and 0.9347 for the Freundlich and Langmuir isotherms, respectively. However, a desorption experiment carried out revealed that chitosan forms a stronger force of attraction with glyphosate. Thus, it was quite difficult to recover after use. Maximum recovery for chitin was 63.76%, which is significantly greater than 9.67% observed in chitosan [125]. This may be attributed to the availability of bonding groups on chitosan rather than chitin because of the deacetylation reaction.
7.4. Adsorption of Microplastics
The current need for bioremediation of microplastics from the environment cannot be overemphasized because of their toxicity to the ecosystem. Microplastics have been reported to enhance bioaccumulation of pollutants in aquatic life because they possess a hydrophobic surface and a larger surface area-to-volume ratio [126]. Chitosan had been reported to be effective in the bioremediation of both nano- and microplastics in the environment. This is achievable because it has the capability of inducing the aggregation and transport of nano-plastics and micro-plastics [127]. The attraction of chitosan to the microplastics, as determined by the Derjaguin, Landau, Verwey, and Overbeek (DLVO) theory in addition to zeta potential, revealed that the attraction of the chitosan with the polystyrene (PS) nano-plastics was because of differences in charges. Interestingly, there is a need to effectively control the pH of the medium. However, the aggregation of the PS is affected by various factors such as salinity and dissolved organic matter. However, the aggregation was independent of the chitosan dosage, as the maximum aggregation of PS was achieved at a low chitosan dosage as low as 0.2 w/w [127].
The use of chitosan-based materials has also been extended to the filtration of microplastics. Risch and Adlhart [128] reported the use of chitosan/polyethylene oxide (PEO) nanofibers for the efficient filtration of microplastics from aqueous medium. The design and successful application of the nanofiber sponges constitute a breakthrough in water treatment and environmental remediation because after the hydrostatic filtration, it was discovered that 99.46% of poly(ethylene terephthalate)-MP and 99.49% of Arizona test dust had been removed by the chitosan nanofiber sponge.
7.5. Adsorption of PAHs, Parabens, and PCBs
PAHs, parabens, and PCBs are groups of contaminants that pose a great threat to water bodies. Thus, there is a need for their remediation via the use of low-cost, renewable, and eco-friendly materials. Such materials can be made from either native or modified chitosan. Naphthalene, a key model of PAHs, was adsorbed using chitosan beads modified with thiourea, titanium dioxide (TiO2), and magnetite (Fe3O4) nanoparticles. The maximum adsorption capacity of the synthesized beads (Cs-T-M-Ti) was found to be 133.690 mg/g. This value is quite high because of the large surface and ability of their constituent atoms to generate donor (D)-π–acceptor interactions. The adsorption process was found to conform with the pseudo-second-order kinetic model and Freundlich isotherm [129]. In a related study, iron-oxide-chitosan-based nanocomposites were employed in the remediation of specific common PAHs such as anthracene and phenanthrene. Different forms of iron oxide were used for the oxidative degradation of the two PAHs. The concentration of each of anthracene and phenanthrene was kept at 2 mgL−1, while the dosage of the nanocomposite was 20 mg. The data obtained fit well with first-order kinetics and the Langmuir isotherm, with an R2 of 0.99 [130]. The percentage of degradation obtained is presented in Table 4.
Table 4.
Performance of different modified chitosan materials used for adsorption of anthracene and phenanthrene [130].
Moreover, the adsorptive and supportive properties of chitosan and pyrolysed chitosan were exploited in the purification of wastewater containing PAHs. Anthracene and naphthalene were adsorbed from wastewater using chitosan-derived magnet-sensitive materials prepared via a one-step co-precipitation technique. The adsorptive performance of chitosan was attributed to the functional groups (such as amine) present. However, pyrolysis carried out at temperatures of 550 °C and 800 °C increased the performance of chitosan. The same adsorbent, CS-Fe2O3 was also separately used for the adsorption of other mixtures of PAHs such as naphthalene, acenaphthylene, acenaphthene, fluorine, phenanthrene, anthracene, fluoranthene, and pyrene. It was reported that PAH molecules with higher hydrophobicity and a greater number of aromatic rings exhibited stronger sorption affinity for the adsorbent [131].
8. Environmental and Economic Viability of Chitosan
8.1. Environmental Viability of Chitosan
The fact that synthetic polymers have been discovered to damage the ecosystem calls for the consideration of other alternatives to reduce the negative consequences of plastics going forward on the planet [132,133]. Considering the biopolymers derived from natural resources is one of such options. In the short term, biopolymers cannot completely replace synthetic nondegradable polymers, but they can be employed to lessen the negative impacts of synthetic polymers. After cellulose, chitin is the second most common natural polymer. Its most significant by-product is chitosan. Chitosan is a naturally occurring polymer that is non-toxic, biodegradable, biocompatible, and antibacterial. This renewable polymer is making its way through numerous scientists’ investigations in a variety of field studies because of these qualities [134].
Furthermore, due to its numerous intriguing qualities, including biodegradability, non-toxicity, and antibacterial activity, it has a wide range of uses, from the cosmetics sector to water treatment [135]. It has been utilized in tissue engineering and medicine delivery because of its special qualities. Additionally, because of their antibacterial properties and minimal immunogenicity, chitosan nanofibers have numerous uses in the biomedical industry that will advance research and development (R & R & R&D). Its ability to be processed into a variety of shapes, including gels and sponges, makes it a perfect biopolymer [136]. Because of its antibacterial action, it is primarily researched for usage in the food industry as films that can offer a biodegradable substitute for nonbiodegradable polymers while still acting as a protective barrier. According to certain research, chitosan can be used to strengthen synthetic polymers [137,138,139].
The most popular types of shells for the synthesis of chitin and chitosan are those from shrimp and crabs. Alkaline hydrolysis is a process that can transform chitin into chitosan after it has been removed from the shell [140]. Put another way, the prawn and shrimp shell are stripped of their water, proteins, minerals, and colours to extract the chitin, which is subsequently transformed into chitosan through a deacetylation process [141]. A great substitute for synthetic polymeric materials, chitosan is seeing growth in the commercial industry. Being a less developed nation, South Africa requires new sectors and goods that may be produced from prawns and shrimp waste to favourably alter its rate of economic growth. Per hectare, production varied from 1.7 to more than 7 tons. But as industrialization increases, environmental problems and toxins are also generated, which can have a negative impact on the ecosystem [142]. Therefore, before a product is industrialized, the environmental perspective needs to be considered.
The environmental footprint of chitin production largely depends on the source material and the extraction methods employed [143,144]. The key environmental factors include:
- 1.
- Source material utilization
Waste valorization: Chitin production predominantly relies on waste products, such as shrimp and crab shells [145], contributing to waste reduction in seafood processing industries [146] (Iñiguez-Moreno et al., 2024). This circular approach significantly mitigates environmental burdens by repurposing biowaste into valuable materials [147].
Fungal chitin: Extraction from fungal biomass provides an alternative to marine sources, reducing dependency on seafood waste and minimizing the ecological impact of marine by-product disposal [144,148].
- 2.
- Processing methods
Traditional chemical extraction: Conventional chitin extraction involves demineralization (using acids) and deproteinization (using bases), which may produce hazardous effluents if not properly managed [149]. Efforts to improve effluent treatment and adopt less harmful reagents are ongoing.
Enzymatic and green technologies: Emerging methods employ enzymatic and microbial processes to extract chitin with reduced environmental impacts. These approaches consume less energy and generate minimal waste, enhancing the sustainability of chitin production [149,150].
- 3.
- Carbon footprint and energy use
The carbon footprint of chitin production is relatively low compared to synthetic polymers [143]. The energy demand for processing varies with the extraction technique, with enzymatic methods typically being more energy-efficient than chemical ones [151].
A comparative cost–benefit analysis underscores chitin’s advantages over conventional materials under various criteria [149,152]. The raw material, chitin, is relatively low cost due to its derivation from waste streams. In contrast, activated carbon production involves high-energy processes, increasing its overall cost. Also, the traditional chemical extraction of chitin may incur higher costs due to chemical usage and waste management, while chitin usage is narrowing this gap. Notably, chitin offers a dual benefit by repurposing biowaste and providing a biodegradable alternative to synthetic adsorbents, which can persist in the environment as pollutants. Moreover, activated carbon, although effective, often originates from non-renewable resources, adding to its environmental burden. Moreover, chitin’s biodegradability ensures minimal environmental impact at the end of its lifecycle. In contrast, some synthetic materials may require energy-intensive recycling or disposal processes (Table 5) [153].
Table 5.
Depicting the comparative analysis of chitin/chitosan with other adsorbent materials.
Therefore, understanding the environmental and economic implications of chitin production is critical to fostering its adoption as a sustainable material. The significance of the current study lies in emphasizing the need for greener extraction technologies, reducing reliance on harmful chemicals, and optimizing waste management strategies. Also, utilizing waste materials for chitin production aligns with global efforts to establish circular economies and reduce environmental footprints. This cost–benefit analysis provides valuable insights for industries and policymakers, facilitating informed decisions regarding the adoption of chitin-based adsorbents over conventional materials. Lastly, chitin’s superior adsorption properties and eco-friendly nature make it a promising candidate for addressing pressing environmental challenges such as water pollution and waste management.
8.2. Economic Viability of Chitosan
In the gazette released by the South African government, the revenue from the seafood business was projected to be US$ 2.43 billion [154,155]. A similar estimation has been reported for Ecuador where the revenue from seafood business was 4.7% of the country’s GDP, with a market valued at about $3 billion [156]. As of 2017, Corporación Financiera Nacional anticipated that the market of seafood in Ecuador would expand by 6.45% between 2024 and 2029, reaching a value of US$2.72 billion in 2029. Of these, the shrimp sector accounts for 8%, making Ecuador one of the top exporters of shrimp globally. An Ecuadorian nation that produced 600,000 tons of shrimp in 2017 [156], might and ought to think about developing a chitosan industry that uses only the shrimp shells.
Andrade reported on the feasibility of exporting shrimp wastes to China, while Berrezueta presented a business strategy for the production and marketing of chitin and chitosan in Ecuador [157,158]. Also, Chavez and Lopez offered a strategy for utilizing every component of the waste produced by the shrimp business [159]. There is not a technical report or study that has been published in the literature that covers the environmental and financial aspects of producing chitosan in Ecuador on an industrial scale. Using an anaerobic, chitinase-deficient, proteolytic enrichment culture from ground meat for deproteination and a mixed culture of LAB from bioyoghurt for decalcification, Bajaj et al. [160] investigated the scale-up of shrimp shell chitin purification in 0.25 L (F1), 10 L (F2), and 300 L (F3) fermenters. Spent fermentation liquor was repurposed for a further batch of 30 kg shrimp shells in F4 (300 L) after the deproteinization of the shrimp shells in F3. This batch removed 85.5% of the protein. The chitin that resulted had comparable diameters, F1, F2, F3, and F4. Compared to commercially available chitin and chitosan, the viscosities of chitosan generated through chitin deacetylation and chitin prepared chemically or biologically in the laboratory were significantly greater.
Numerous studies present various cost analyses and plant designs. In total, 130 tons of exoskeletons were produced from white prawns as the raw material for a chitosan production project conducted in Spain [161]. The fifth year of production and a $750 thousand investment are needed for this study to be completed. It achieves a 75% return rate and a $5 million net present value. An indication of the kind of market that might be entered is provided by the location and kind of raw materials, which generate profit for the investor. In Spain, the cost of producing 1 kg of chitosan is $14. In a different study, Gómez-Ríos et al. calculated that the manufacturing of one kilogram of chitosan would cost $10.5–12 in Colombia, accounting for a processing capacity of 230 kg/batch of dried shrimp shell [162]. It should be emphasized once more that the scaling factor is involved. Gómez et al. (2017) study uses a techno-economic method that takes into account a number of factors that virtually eliminate cost variability. Design, economic variables like the nation-risk rate, or the kind of economic investment approach, can alter our estimated cost analysis by 15% to 20%. According to research by Gómez-Ríos et al. [162], the chitosan production factory is planned to process 5000 tons, which is equivalent to 7% of all the shrimp trash produced in Ecuador. It implies that the capacity and design of the plant may vary based on the quantity of shrimp shells considered.
The anticipated cash flows from CapCost [156,163] are shown in Figure 7. The picture depicts the construction of the chitosan factory and the investment required in two years. Following this, the established period for chitosan manufacturing is represented as ten years. As the picture illustrates, the plant experiences a rapid return on investment, ultimately reaching a value of more than $10 million throughout its anticipated lifetime. The payback phase is reached between years 3 and 4, or around a year after chitosan production starts, as illustrated in Figure 7. Working capital, manufacturing costs, and fixed capital investment (about 1.5 million) account for the negative cumulative values from years 0–3. However, after plant building is finished, quick recovery might be observed.
Figure 7.
Chitosan plant cash flow ($, USD) [156,163].
9. Recovery and Reusability of Chitosan-Based Adsorbents
Regeneration study is very crucial before validating any adsorbent. Regeneration and recovery of an adsorbent determine its reusability. Many benefits attached to the regeneration and reusability of an adsorbent include, but are not limited to, the reduction of the cost of synthesizing fresh adsorbent, prevention of pollution that may be caused by the spent adsorbent when disposed of/released into the environment, and control of possible foul odour that may emanate from the used adsorbent when stored. This makes bioremediation feasible without creating another pollutant entirely [164].
However, regeneration of certain adsorbents depends on the nature of the desorption agent used, the toxicity of the contaminant, the technique of regeneration employed, the stability of the adsorbent, and the kind of affinity already established between the adsorbate and the adsorbent [165,166]. Chitosan-based adsorbents can be regenerated and reused after a certain number of adsorption cycles. Several techniques had been employed in the regeneration and recovery of spent chitosan-based adsorbents. Such techniques include decomposition, filtration, chemical desorption, magnetic separation, supercritical fluid desorption, thermal desorption, and advanced oxidation. However, the most suitable and commonly adopted technique for the chitosan-based adsorbent is chemical desorption, which requires the use of chemical eluents. Regeneration of chitosan-based adsorbents via chemical desorption can be carried out using various solvents (ethanol), alkaline eluents (NaOH), acidic eluents (HCl and H2SO4), chelating agents (EDTA), and salts (NaCl) [167].
Magnetic chitosan biochar (MCB) adsorbent was used for the removal of amaranth dye (a notable organic anionic dye) from the aqueous solution. The adsorbent reportedly showed a very high adsorption capacity (greater than 95%) after three cycles of adsorption and desorption [168]. The result is in agreement with that obtained in the desorption of methyl violet using magnetic chitosan/graphene oxide (Fe3O4@GO) using acetone. About 95% desorption efficiency was obtained after 4 adsorption–desorption cycles [169]. Wong et al. [170] also examined the reusability of micro-grooved chitosan (GCS) after three cycles of adsorption and desorption of methyl orange (MO). Moreover, 0.5 M NaOH was used for the desorption of MO dye from the adsorbent. It also served as the regenerative agent. The efficiency of the desorption was estimated using the following evaluation: based on the adsorbent weight and concentration of the solution, respectively. It was discovered that the adsorption of GCS reduced drastically (from 72.49 ± 0.50% to 27.86 ± 2.90% after the second cycle). In addition, 0% capacity was eventually recorded after the third cycle. The reduction in the adsorption efficiency was assumed to be attributed to the incomplete desorption of the molecules of the adsorbate. MO dyes from GCS adsorbent might have led to the blockage of some adsorption sites. The incomplete desorption may also further be attributed to the nature of electrostatic attraction between the MO molecules and GCS. This suggests that longer time would be required for the desorption process in order to obtain maximum regeneration of GCS adsorbent after two cycles of adsorption–desorption [170,171].
A regeneration study of the chitosan-reinforced graphene oxide-hydroxyapatite (CS@GO-Hap) matrix adsorbent had also been reported. It was observed that the adsorbent exhibited more than 65% regeneration ability when 0.1 M aqueous solution of NaOH was used as the regenerating agent. The dyes involved were Congo red (CR), acid red 1 (AR), and reactive red 2. The result obtained revealed that the chitosan-based adsorbent has favourable regeneration efficiency and can be reused up to six cycles without reduction in adsorption capacity [172]. Similarly, Schwarz et al. (2018) carried out an investigation of the reuse of chitosan after it has been used for the adsorption of copper sulphate, using a 10% sulphuric acid solution as the desorption medium. Insolubility of chitosan in sulphuric acid favours the desorption study. It was reported that the adsorption capacity of chitosan adsorbent, as investigated using AAS and SEM, reduced after the first cycle. However, it can be reactivated by using sodium hydroxide after the desorption process [173].
Interestingly, complete recovery of ciprofloxacin was accomplished at 30 °C with the desorption duration of 120 min when 0.1 M HCl was used as the desorbing agent with mechanical agitation of 120 rpm. Here, 100% regeneration efficiency was reported after 5 successive cycles of adsorption–desorption. The adsorbent used was chitosan/poly(acrylic acid) hydrogel, which was shown to form an electrostatic interaction with the antibiotics (Wang et al., 2019). Under the same conditions, about 85% regeneration efficiency was recorded for the desorption of enrofloxacin. Higher regeneration efficiency of chitosan-based adsorbent had been proven to be achievable because of the large number of active sites resulting in their very high stability [174].
Parlayici and Aras (2024) also examined the reusability of a chitosan-based composite used in the remediation of methylene blue from wastewater. The desorption experiment was carried out using 1% HCl as the desorption agent. Between 92% and 88% adsorption efficiency was obtained after 5 successive cycles of adsorption–desorption. The result obtained revealed that chitosan-based adsorbent possesses a promising, steady applicability without much change in its properties [175]. The same trend was observed in the desorption of humic acid from an aqueous solution using a chitosan-based adsorbent, where about 82.5% desorption efficiency was obtained. Moreover, 1 M HCl solution was also used as the desorption medium where the adsorbed epichlorohydrin was desorbed from the spent ZIF 8-doped chitosan spheres after the contact time of 120 min [176]. All these reports revealed that chitosan-based adsorbents had consistently exhibited high stability and reusability after being spent for an average of 4 cycles. However, the level of regeneration and reusability strongly depends on the factors stated earlier.
10. Conclusions and Future Research Directions
Chitosan, a versatile biopolymer derived from chitin, continues to attract significant attention due to its biodegradability, biocompatibility, and non-toxicity [27,177]. As research progresses, the development of chitosan-based materials has expanded into numerous innovative directions, particularly focusing on enhancing their functional properties for a large number of uses. For instance, one of the primary uses of chitosan is in water treatment, where it serves as an effective adsorbent for heavy metals and organic pollutants. Future research is directed towards enhancing its adsorption capacities through various modifications. Functionalization with nanoparticles, such as graphene oxide and carbon nanotubes, has shown promise in increasing the surface area and reactivity of chitosan composites, thereby improving their adsorption efficiency [178]. Additionally, developing chitosan-based materials with tailored pore structures can enhance their performance in capturing contaminants. More recently, studies have also discussed the varied modifications of chitosan with their enhanced absorption efficiency in comparison to natural chitosan used as a biosorbent [27,177].
Adsorption technology is pivotal for addressing a myriad of environmental and industrial challenges, particularly in water treatment, air purification, and chemical processing. A few new developments in the field indicate that adsorption techniques will become more effective, sustainable, and useful in the future. Adsorption technology, however, faces a few difficulties, such as the creation of sustainable and affordable adsorbents, material regeneration and reuse, and the transferability of laboratory results to industrial settings [13,179]. Therefore, the development of new adsorbent materials is at the forefront of adsorption technology innovation. Traditional adsorbents such as activated carbon and silica gel are being enhanced and supplemented with cutting-edge materials like graphene-based materials, metal-organic frameworks (MOFs), and nanocomposites. MOFs, for example, are highly porous materials with tunable pore sizes and surface functionalities, making them ideal for selective adsorption applications [179]. Graphene oxide and its derivatives offer high surface areas and functional groups that enhance adsorption capacities and kinetics for pollutants [180].
Functionalization of adsorbent materials to introduce specific chemical groups that can interact strongly with target contaminants is a promising trend. For instance, the incorporation of amine, thiol, or carboxyl groups can significantly enhance the adsorption capacity for heavy metals and organic pollutants [180]. Additionally, hybrid adsorbents that combine the properties of different materials—such as biochar infused with nanoparticles or polymer composites—are gaining traction. These hybrids offer synergistic benefits, including enhanced mechanical strength, increased adsorption efficiency, and improved regeneration capabilities [181,182]. For instance, the combination of biochar with inorganic materials such as clays or metals has resulted in hybrid adsorbents with enhanced removal efficiencies for heavy metals and organic pollutants [183]. These hybrids are adaptable for a range of environmental applications since they may be made to specifically target certain contaminants.
Nanotechnology has introduced nano-adsorbents with superior properties compared to their bulk counterparts. Nano-adsorbents exhibit high surface area-to-volume ratios, rapid adsorption kinetics, and enhanced reactivity. For instance, nano-zerovalent iron (nZVI) has been extensively studied for its ability to rid water of impurities like nitrates, heavy metals, and organic pollutants [184,185]. The scalability and environmental impact of these materials are areas of ongoing research, aiming to optimize their practical applications. According to a recent study, chitosan nanoparticles can be used as a possible nano-sorbent to remove harmful environmental pollutants [26]. Sustainability is becoming a critical focus in the development of adsorbent materials. Future research will emphasize creating adsorbents from renewable resources and waste materials. Bio-based adsorbents, such as those derived from agricultural waste, algae, and other biomass, present a sustainable alternative to traditional materials. These green adsorbents not only provide environmental benefits but also contribute to waste valorization and the circular economy [186].
It is a promising path to combine adsorption with other treatment technologies such as biological therapies, improved oxidation processes, and membrane filtration. Hybrid systems that combine adsorption with photocatalysis, for example, can simultaneously degrade and adsorb contaminants, providing a comprehensive solution for water purification [187]. Such integrated approaches will be crucial for meeting the increasing demands for clean water and sustainable treatment methods. Simultaneously, the use of advanced modelling and simulation techniques to understand adsorption mechanisms and predict adsorbent performance is becoming increasingly important. Computational methods, including molecular dynamics simulations and density functional theory, can provide insights into the interactions between adsorbents and contaminants at the molecular level. These tools will aid in the rational design of new adsorbent materials and optimization of adsorption processes [188].
The scope of adsorption technology is expanding to tackle emerging contaminants, such as pharmaceuticals, personal care products, and microplastics. Advanced adsorbents are being developed to effectively capture and remove these pollutants from water sources, thereby protecting public health and ecosystems. Research will continue to focus on designing adsorbents with specific functionalities tailored to these new challenges [189].
The environmental impact assessment and cost–benefit analysis reveal that chitin production, particularly through sustainable extraction methods, presents a viable alternative to traditional adsorption materials. Its low environmental footprint, cost-effectiveness, and high adsorption efficiency underscore its significance as a sustainable solution in environmental remediation and beyond. Future research and industrial efforts should focus on enhancing the scalability of green extraction technologies and expanding applications for chitin-based materials, contributing to a more sustainable future.
Author Contributions
Conceptualization, T.O.A. and E.A.; methodology, T.O.A.; validation, A.A.M., S.G. and B.H.; formal analysis, E.A.; investigation, T.O.A. and E.A.; resources, T.O.A. and E.A.; writing—original draft preparation, E.A., T.O.A., A.A.M., S.G. and B.H.; writing—review and editing, T.O.A.; visualization, T.O.A. and E.A.; supervision, T.O.A.; project administration, T.O.A. and E.A.; funding acquisition, T.O.A. and E.A. All authors have read and agreed to the published version of the manuscript.
Funding
This research received no external funding, but the APC was funded by the University of the Free State, South Africa.
Data Availability Statement
No new data were created.
Acknowledgments
Makosha Morakaladi is acknowledged for working on the references of the manuscript. T.O.A. acknowledges the University of the Free State for the Postdoctoral funding.
Conflicts of Interest
The authors declare no conflicts of interest.
References
- Atangana, E.; Chiweshe, T.T.; Roberts, H. Modification of novel chitosan-starch cross-linked derivatives polymers: Synthesis and characterization. J. Polym. Environ. 2019, 27, 979–995. [Google Scholar] [CrossRef]
- Atangana, E.; Chiweshe, T.T. Metal adsorbance in abattoir wastewater using cross-linked chitosan derivatives. J. Polym. Environ. 2019, 27, 2624–2636. [Google Scholar] [CrossRef]
- Dzhangi, T.R.; Atangana, E. Evaluation of the impact of coal mining on surface water in the Boesmanspruit, Mpumalanga, South Africa. Environ. Earth Sci. 2023, 83, 159. [Google Scholar] [CrossRef]
- Ramakrishnan, R.K.; Padil, V.V.T.; Wacławek, S.; Černík, M.; Varma, R.S. Eco-friendly and economic, adsorptive removal of cationic and anionic dyes by bio-based karaya gum—Chitosan sponge. Polymers 2021, 13, 251. [Google Scholar] [CrossRef]
- Zhu, Z.; Kou, H.; Zhou, Y.; Lan, X.; Yu, M.; Chen, H. Preparation of amphiphilic chitosan-loaded bentonite adsorbent and its performance in removing organic matter from coking wastewater. Polymers 2023, 15, 1588. [Google Scholar] [CrossRef]
- Poshina, D.N.; Raik, S.V.; Poshin, A.N.; Skorik, Y.A. Accessibility of chitin and chitosan in enzymatic hydrolysis: A review. Polym. Degrad. Stab. 2018, 156, 269–278. [Google Scholar] [CrossRef]
- Dehghani, M.H.; Ahmadi, S.; Ghosh, S.; Othmani, A.; Osagie, C.; Meskini, M.; AlKafaas, S.S.; Malloum, A.; Khanday, W.A.; Jacob, A.O.; et al. Recent advances on sustainable adsorbents for the remediation of noxious pollutants from water and wastewater: A critical review. Arab. J. Chem. 2023, 16, 105303. [Google Scholar] [CrossRef]
- Ghosh, S.; Falyouna, O.; Malloum, A.; Othmani, A.; Bornman, C.; Bedair, H.; Onyeaka, H.; Al-Sharify, Z.T.; Jacob, A.O.; Miri, T.; et al. A general review on the use of advance oxidation and adsorption processes for the removal of furfural from industrial effluents. Microporous Mesoporous Mater. 2022, 331, 111638. [Google Scholar] [CrossRef]
- Ghosh, S.; Malloum, A.; Bornman, C.; Othmani, A.; Osagie, C.; Esfahani, Z.K.; Khanday, W.A.; Ahmadi, S.; Dehghani, M.H. Novel green adsorbents for removal of aniline from industrial effluents: A review. J. Mol. Liq. 2022, 345, 118167. [Google Scholar] [CrossRef]
- Ghosh, S.; Malloum, A.; Igwegbe, C.A.; Ighalo, J.O.; Ahmadi, S.; Dehghani, M.H.; Othmani, A.; Gökkuş, Ö.; Mubarak, N.M. New generation adsorbents for the removal of fluoride from water and wastewater: A review. J. Mol. Liq. 2022, 346, 118257. [Google Scholar] [CrossRef]
- Magagula, M.; Atangana, E.; Oberholster, P. Assessment of the Impact of Coal Mining on Water Resources in Middelburg, Mpumalanga Province, South Africa: Using Different Water Quality Indices. Hydrology 2024, 11, 113. [Google Scholar] [CrossRef]
- Saeedi, R.; Sadeghi, S.; Massoudinejad, M.; Oroskhan, M.; Mohagheghian, A.; Mohebbi, M.; Abtahi, M. Assessing drinking water quality based on water quality indices, human health risk, and burden of disease attributable to heavy metals in rural communities of Yazd County, Iran, 2015–2021. Heliyon 2024, 10, e33984. [Google Scholar] [CrossRef] [PubMed]
- Dehghani, R.; Kassiri, H. A Review on Epidemiology of Dengue Viral Infection as an Emerging Disease. Res. J. Pharm. Technol. 2021, 14, 2296–2301. [Google Scholar] [CrossRef]
- Vane, C.H.; Kim, A.W.; Beriro, D.J.; Cave, M.R.; Knights, K.; Moss-Hayes, V.; Nathanail, P.C. Polycyclic aromatic hydrocarbons (PAH) and polychlorinated biphenyls (PCB) in urban soils of Greater London, UK. Appl. Geochem. 2014, 51, 303–314. [Google Scholar] [CrossRef]
- Nzengung, V.; Gugolz, S. Biochar-based constructed wetland for contaminants removal from manure wastewater. In Sustainable Biochar for Water and Wastewater Treatment; Elsevier: Amsterdam, The Netherlands, 2022; pp. 487–525. [Google Scholar] [CrossRef]
- Yadav, M.; Verma, N.; Dhanda, R.S. Impact of sexually transmitted infections on women health. Health 2013, 5, 1216–1226. [Google Scholar] [CrossRef]
- Eldos, H.I.; Zouari, N.; Saeed, S.; Al-Ghouti, M.A. Recent advances in the treatment of PAHs in the environment: Application of nanomaterial-based technologies. Arab. J. Chem. 2022, 15, 103918. [Google Scholar] [CrossRef]
- Tang, Q.; Li, N.; Lu, Q.; Wang, X.; Zhu, Y. Study on preparation and separation and adsorption performance of knitted tube composite β-cyclodextrin/chitosan porous membrane. Polymers 2019, 11, 1737. [Google Scholar] [CrossRef]
- Ahmad, B.; Imran, M. Emerging Organic Contaminants, Pharmaceuticals and Personal Care Products (PPCPs): A Threat to Water Quality; Springer: Berlin/Heidelberg, Germany, 2022; pp. 105–141. [Google Scholar] [CrossRef]
- Hayes, T.B.; Case, P.; Chui, S.; Chung, D.; Haeffele, C.; Haston, K.; Lee, M.; Mai, V.P.; Marjuoa, Y.; Parker, J.; et al. Pesticide mixtures, endocrine disruption, and amphibian declines: Are we underestimating the impact? Environ. Health Perspect. 2006, 114 (Suppl. S1), 40–50. [Google Scholar] [CrossRef]
- Pouch, A.; Zaborska, A. Climate Change Influence on Migration of Contaminants in the Arctic Marine Environment. In Impact of Climate Changes on Marine Environments; Springer: Berlin/Heidelberg, Germany, 2015; pp. 75–90. [Google Scholar] [CrossRef]
- Wu, X.; Yu, S.; Zeng, J.; Zheng, X.; Ren, Z.; Shu, Y.; Mai, B. Biomagnification of persistent organic pollutants (POPs) in detritivorous, phytophagous, and predatory invertebrates: How POPs enter terrestrial food web? Sci. Total Environ. 2024, 924, 171677. [Google Scholar] [CrossRef]
- Voulvoulis, N.; Arpon, K.D.; Giakoumis, T. The EU Water Framework Directive: From great expectations to problems with implementation. Sci. Total Environ. 2017, 575, 358–366. [Google Scholar] [CrossRef]
- Ali, I.; Basheer, A.A.; Mbianda, X.Y.; Burakov, A.; Galunin, E.; Burakova, I.; Mkrtchyan, E.; Tkachev, A.; Grachev, V. Graphene based adsorbents for remediation of noxious pollutants from wastewater. Environ. Int. 2019, 127, 160–180. [Google Scholar] [CrossRef] [PubMed]
- Ahmad, A.L.; Chong, M.F.; Bhatia, S.; Ismail, S. Drinking water reclamation from palm oil mill effluent (POME) using membrane technology. Desalination 2006, 191, 35–44. [Google Scholar] [CrossRef]
- Benettayeb, A.; Seihoub, F.Z.; Pal, P.; Ghosh, S.; Usman, M.; Chia, C.H.; Usman, M.; Sillanpää, M. Chitosan Nanoparticles as Potential Nano-Sorbent for Removal of Toxic Environmental Pollutants. Nanomaterials 2023, 13, 447. [Google Scholar] [CrossRef] [PubMed]
- Benettayeb, A.; Ahamadi, S.; Ghosh, S.; Malbenia John, M.; Mitchel, C.R.; Haddou, B. Natural adsorbents for the removal of emerging pollutants and its adsorption mechanisms. In Sustainable Technologies for Remediation of Emerging Pollutants from Aqueous Environment; Elsevier: Amsterdam, The Netherlands, 2024; pp. 63–78. [Google Scholar] [CrossRef]
- Suyambulingam, I.; Gangadhar, L.; Sana, S.S.; Divakaran, D.; Siengchin, S.; Kurup, L.A.; Iyyadurai, J.; Albert Bernad Noble, K.E. Chitosan Biopolymer and Its Nanocomposites: Emerging Material as Adsorbent in Wastewater Treatment. Adv. Mater. Sci. Eng. 2023, 2023, 9387016. [Google Scholar] [CrossRef]
- Bhatnagar, A.; Sillanpää, M. Applications of chitin- and chitosan-derivatives for the detoxification of water and wastewater—A short review. Adv. Colloid Interface Sci. 2009, 152, 26–38. [Google Scholar] [CrossRef]
- Mahmood Aljamali, N.; Obaid Alfatlawi, I. Physical and Chemical Adsorption and its Applications. Int. J. Thermodyn. Chem. Kinet. 2021, 7, 1–8. [Google Scholar] [CrossRef]
- Ajiboye, T.O.; Oyewo, O.A.; Onwudiwe, D.C. Adsorption and photocatalytic removal of Rhodamine B from wastewater using carbon-based materials. FlatChem 2021, 29, 100277. [Google Scholar] [CrossRef]
- Rathi, B.S.; Kumar, P.S. Application of adsorption process for effective removal of emerging contaminants from water and wastewater. Environ. Pollut. 2021, 280, 116995. [Google Scholar] [CrossRef]
- Kwiatkowski, M.; Broniek, E. An analysis of the porous structure of activated carbons obtained from hazelnut shells by various physical and chemical methods of activation. Colloids Surf. A Physicochem. Eng. Asp. 2017, 529, 443–453. [Google Scholar] [CrossRef]
- Caroni, A.L.P.F.; De Lima, C.R.M.; Pereira, M.R.; Fonseca, J.L.C. The kinetics of adsorption of tetracycline on chitosan particles. J. Colloid Interface Sci. 2009, 340, 182–191. [Google Scholar] [CrossRef]
- Swenson, H.; Stadie, N.P. Langmuir’s Theory of Adsorption: A Centennial Review. Langmuir 2019, 35, 5409–5426. [Google Scholar] [CrossRef] [PubMed]
- Karimi, S.; Tavakkoli Yaraki, M.; Karri, R.R. A comprehensive review of the adsorption mechanisms and factors influencing the adsorption process from the perspective of bioethanol dehydration. Renew. Sustain. Energy Rev. 2019, 107, 535–553. [Google Scholar] [CrossRef]
- Al-Ghouti, M.A.; Da’ana, D.A. Guidelines for the use and interpretation of adsorption isotherm models: A review. J. Hazard. Mater. 2020, 393, 122383. [Google Scholar] [CrossRef]
- Ayawei, N.; Ebelegi, A.N.; Wankasi, D. Modelling and Interpretation of Adsorption Isotherms. J. Chem. 2017, 2017, 3039817. [Google Scholar] [CrossRef]
- Cooney, D.O. On the basis for the Freundlich Adsorption Isotherm. Chem. Eng. Commun. 1990, 94, 27–34. [Google Scholar] [CrossRef]
- Lu, X.; Rothstein, D.; Madey, R.; Huang, J.-C. Pressure Swing Adsorption for a System with a Langmuir Isotherm. Sep. Sci. Technol. 1988, 23, 281–291. [Google Scholar] [CrossRef]
- Ajiboye, T.O.; Oyewo, O.A.; Onwudiwe, D.C. Simultaneous removal of organics and heavy metals from industrial wastewater: A review. Chemosphere 2021, 262, 128379. [Google Scholar] [CrossRef]
- Adibzaleh, A.; Khodabakhshi, M.R.; Maleki, A. Preparation of novel and recyclable chitosan-alumina nanocomposite as superabsorbent to remove diazinon and tetracycline contaminants from aqueous solution. Heliyon 2024, 10, e23139. [Google Scholar] [CrossRef]
- Morais, W.; de Almeida, A.; Pereira, M.; Fonseca, J. Equilibrium and kinetic analysis of methyl orange sorption on chitosan spheres. Carbohydr. Res. 2008, 343, 2489–2493. [Google Scholar] [CrossRef]
- Khumalo, S.M.; Bakare, B.F.; Rathilal, S. Single and multicomponent adsorption of amoxicillin, ciprofloxacin, and sulfamethoxazole on chitosan-carbon nanotubes hydrogel beads from aqueous solutions: Kinetics, isotherms, and thermodynamic parameters. J. Hazard. Mater. Adv. 2024, 13, 100404. [Google Scholar] [CrossRef]
- Wang, J.; Guo, X. Adsorption kinetic models: Physical meanings, applications, and solving methods. J. Hazard. Mater. 2020, 390, 122156. [Google Scholar] [CrossRef] [PubMed]
- Khumalo, S.M.; Bakare, B.F.; Tetteh, E.K.; Rathilal, S. Application of Response Surface Methodology on Brewery Wastewater Treatment Using Chitosan as a Coagulant. Water 2023, 15, 1176. [Google Scholar] [CrossRef]
- Altrun, S.; Kadak, A.E.; Kucukgulmez, A.; Gulnaz, O.; Celik, M. Explanation of difenoconazole removal by chitosan with Langmuir adsorption isotherm and kinetic modeling. Toxicol. Res. 2022, 39, 127–133. [Google Scholar] [CrossRef]
- Adriano, W.S.; Veredas, V.; Santana, C.C.; Goncalves, L.R.B. Adsorption of amoxicillin on chitosan beads:Kinetics, equilibrium and validation of finite bath models. Biochem. Eng. J. 2005, 27, 132–137. [Google Scholar] [CrossRef]
- Zadvarzi, S.B.; Amooey, A. Simultaneous adsorption of Amoxicillin and Cefixime by facile synthesized Chitosan@Polyacrylamide@ZIF-8; Isotherm and Kinetic study. Sci. Eur. 2023, 35, 60. [Google Scholar] [CrossRef]
- Awad, M.A.; Jasim, L.S. Characterization, isotherms kinetics and thermodynamics studies of amoxicillin in aqueous solution with a chitosan/poly acrylic amid-co-acrylic acid. In AIP Conference Proceedings; AIP Publishing: College Park, MD, USA, 2022; Volume 2398. [Google Scholar]
- Nezhadali, A.; Koushali, S.E.; Divsar, F. Synthesis of polypyrrole–chitosan magnetic nanocomposite for the removal of carbamazepine from wastewater: Adsorption isotherm and kinetic study. J. Environ. Chem. Eng. 2021, 9, 105648. [Google Scholar] [CrossRef]
- Jaiswal, M.; Chauhan, D. Copper chitosan nanocomposite: Synthesis, characterization, and application in removal of organophosphorus pesticide from agricultural runoff. Environ. Sci. Pollut. Res. 2012, 19, 2055–2062. [Google Scholar] [CrossRef]
- Shankar, A.; Kongot, M.; Saini, K.V.; Kumar, A. 2018. Removal of pentachlorophenol pesticide from aqueous solutions using modified chitosan. Arab. J. Chem. 2018, 13, 1821–1830. [Google Scholar] [CrossRef]
- Rinaudo, M. Chitin and chitosan: Properties and applications. Prog. Polym. Sci. 2006, 31, 603–632. [Google Scholar] [CrossRef]
- Lee, M.-K.; Chun, S.-K.; Choi, W.-J.; Kim, J.-K.; Choi, S.-H.; Kim, A.; Oungbho, K.; Park, J.-S.; Ahn, W.S.; Kim, C.-K. The use of chitosan as a condensing agent to enhance emulsion-mediated gene transfer. Biomaterials 2005, 26, 2147–2156. [Google Scholar] [CrossRef]
- Kumar, A.; Prakash, J.; Sinha, R. Chitosan: A versatile biopolymer. Int. J. Biol. Macromol. 2017, 104, 1232–1241. [Google Scholar] [CrossRef]
- Crini, G.; Badot, P.-M. Application of chitosan, a natural aminopolysaccharide, for dye removal from aqueous solutions by adsorption processes using batch studies: A review of recent literature. Prog. Polym. Sci. 2008, 33, 399–447. [Google Scholar] [CrossRef]
- Vidal, R.R.L.; Moraes, J.S. Removal of organic pollutants from wastewater using chitosan: A literature review. Int. J. Environ. Sci. Technol. 2019, 16, 1741–1754. [Google Scholar] [CrossRef]
- Mali, S.; Sinha, R.; Prakash, J. Chitosan and its derivatives: A review on their applications. J. Adv. Res. 2015, 6, 1–13. [Google Scholar] [CrossRef]
- Rangel-Mendez, J.; Monroy-Zepeda, R.; Leyva-Ramos, E.; Diaz-Flores, P.; Shirai, K. Chitosan selectivity for removing cadmium (II), copper (II), and lead (II) from aqueous phase: pH and organic matter effect. J. Hazard. Mater. 2009, 162, 503–511. [Google Scholar] [CrossRef]
- Chang, K.L.B.; Tai, M.-C.; Cheng, F.-H. Kinetics and Products of the Degradation of Chitosan by Hydrogen Peroxide. J. Agric. Food Chem. 2001, 49, 4845–4851. [Google Scholar] [CrossRef]
- Maia, M.T.; Sena, D.N.; Calais, G.B.; Luna, F.M.T.; Beppu, M.M.; Vieira, R.S. Effects of histidine modification of chitosan microparticles on metal ion adsorption. React. Funct. Polym. 2020, 154, 104694. [Google Scholar] [CrossRef]
- Xiao, G.; Su, H.; Tan, T. Synthesis of core–shell bioaffinity chitosan–TiO2 composite and its environmental applications. J. Hazard. Mater. 2015, 283, 888–896. [Google Scholar] [CrossRef]
- Prabaharan, M.; Sivashankari, P.R. Prospects of Bioactive Chitosan-Based Scaffolds in Tissue Engineering and Regenerative Medicine. In Chitin and Chitosan for Regenerative Medicine; Springer: Berlin/Heidelberg, Germany, 2016; pp. 41–59. [Google Scholar] [CrossRef]
- Rubentheren, V.; Ward, T.A.; Chee, C.Y.; Nair, P. Physical and chemical reinforcement of chitosan film using nanocrystalline cellulose and tannic acid. Cellulose 2015, 22, 2529–2541. [Google Scholar] [CrossRef]
- Fan, C.; Li, K.; Li, J.; Ying, D.; Wang, Y.; Jia, J. Comparative and competitive adsorption of Pb(II) and Cu(II) using tetraethylenepentamine modified chitosan/CoFe2O4 particles. J. Hazard. Mater. 2017, 326, 211–220. [Google Scholar] [CrossRef]
- Nthunya, L.N.; Masheane, M.L.; Malinga, S.P.; Nxumalo, E.N.; Mhlanga, S.D. Electrospun chitosan-based nanofibres for removal of phenols from drinking water. Water SA 2018, 44, 377–386. [Google Scholar] [CrossRef]
- Gao, R.; Jing, P.; Ruan, S.; Zhang, Y.; Zhao, S.; Cai, Z.; Qian, B. Removal of off-flavours from radish (Raphanus sativus L.) anthocyanin-rich pigments using chitosan and its mechanism(s). Food Chem. 2014, 146, 423–428. [Google Scholar] [CrossRef] [PubMed]
- Annouar, A.; Moufti, A.; Mountadar, S.; Mountadar, M.; Soufiane, M. The influences of the presence of ions counter on the removal capacity of fluoride ions by chitosan. Orient. J. Chem. 2016, 32, 399. [Google Scholar] [CrossRef]
- Zhang, Y.; Zhao, M.; Cheng, Q.; Wang, C.; Li, H.; Han, X.; Fan, Z.; Su, G.; Pan, D.; Li, Z. Research progress of adsorption and removal of heavy metals by chitosan and its derivatives: A review. Chemosphere 2021, 279, 130927. [Google Scholar] [CrossRef]
- Nwe, N.; Saha, S.; Ahsan, M. Chitosan-based drug delivery systems. Front. Biosci. 2008, 13, 1734–1742. [Google Scholar] [CrossRef]
- Norrio, C.M.; Kauffmann, J.B.; Alves, M.A. Chitin and chitosan: A review of their sources and production methods. Agronomy 2016, 6, 71. [Google Scholar] [CrossRef]
- Udoetok, I.A.; Karoyo, A.H.; Mohamed, M.H.; Wilson, L.D. Chitosan Biocomposites with Variable Cross-Linking and Copper-Doping for Enhanced Phosphate Removal. Molecules 2024, 29, 445. [Google Scholar] [CrossRef]
- Mourya, V.K.; Inamdar, N.N. Chitosan-modifications and applications: Opportunities galore. Reactive and Functional. Polymers 2008, 68, 1013–1051. [Google Scholar] [CrossRef]
- Lizardi-Mendoza, J.; Argüelles Monal, W.M.; Goycoolea Valencia, F.M. Chemical Characteristics and Functional Properties of Chitosan. In Chitosan in the Preservation of Agricultural Commodities; Elsevier: Amsterdam, The Netherlands, 2016; pp. 3–31. [Google Scholar] [CrossRef]
- Kasaai, M.R. A review of several reported procedures to determine the degree of N-acetylation for chitin and chitosan using infrared spectroscopy. Carbohydr. Polym. 2008, 71, 497–508. [Google Scholar] [CrossRef]
- Kolhe, P.; Kannan, R.M. Improvement in Ductility of Chitosan through Blending and Copolymerization with PEG: FTIR Investigation of Molecular Interactions. Biomacromolecules 2003, 4, 173–180. [Google Scholar] [CrossRef]
- Costa, C.N.; Teixeira, V.G.; Delpech, M.C.; Souza, J.V.S.; Costa, M.A.S. Viscometric study of chitosan solutions in acetic acid/sodium acetate and acetic acid/sodium chloride. Carbohydr. Polym. 2015, 133, 245–250. [Google Scholar] [CrossRef] [PubMed]
- Ibrahim, I.A.; Ebeid, H.M.; Kishk, Y.F.; Abdel Fattah, A.F.A.K.; Mahmoud, K.F.; Ibrahim, A.I.; Ebeid, H.M.; Kishk, Y.F.M.; Abdel Fattah, A.A.; Mahmoud , K.F. Effect of grinding and particle size on some physical and rheological properties of chitosan. Arab Univ. J. Agric. Sci. 2019, 27, 1513–1527. [Google Scholar] [CrossRef]
- Ren, L.; Xu, J.; Zhang, Y.; Zhou, J.; Chen, D.; Chang, Z. Preparation and characterization of porous chitosan microspheres and adsorption performance for hexavalent chromium. Int. J. Biol. Macromol. 2019, 135, 898–906. [Google Scholar] [CrossRef]
- Don, T.M.; King, C.F.; Chiu, W.Y. Synthesis and properties of chitosan-modified poly (vinyl acetate). J. Appl. Polym. Sci. 2002, 86, 3057–3063. [Google Scholar] [CrossRef]
- Wu, F.C.; Tseng, R.L.; Juang, R.S. A review and experimental verification of using chitosan and its derivatives as adsorbents for selected heavy metals. J. Environ. Manag. 2010, 91, 798–806. [Google Scholar] [CrossRef]
- George, K.Z.; Bikiaris, D.N. Recent modifications of chitosan for adsorption applications: A critical and systematic review. Mar. Drugs 2015, 13, 312–337. [Google Scholar] [CrossRef]
- Elwakeel, K.Z.; Aly, M.H.; El-Howety, M.A.; El-Fadaly, E.; Al-Said, A. Synthesis of Chitosan@activated Carbon Beads with Abundant Amino Groups for Capture of Cu(II) and Cd(II) from Aqueous Solutions. J. Polym. Environ. 2018, 26, 3590–3602. [Google Scholar] [CrossRef]
- Guaresti, O.; García–Astrain, C.; Aguirresarobe, R.H.; Eceiza, A.; Gabilondo, N. Synthesis of stimuli–responsive chitosan–based hydrogels by Diels–Alder cross–linking click reaction as potential carriers for drug administration. Carbohydr. Polym. 2018, 183, 278–286. [Google Scholar] [CrossRef]
- Essel, T.Y.A.; Koomson, A.; Seniagya, M.O.; Cobbold, G.P.; Kwofie, S.K.; Asimeng, B.O.; Arthur, P.K.; Awandare, G.; Tiburu, E.K. Chitosan composites synthesized using acetic acid and tetraethylorthosilicate respond differently to methylene blue adsorption. Polymers 2018, 10, 466. [Google Scholar] [CrossRef]
- Lu, L.; Zhao, M.; Wang, Y. Immobilization of Laccase by Alginate–Chitosan Microcapsules and its Use in Dye Decolorization. World J. Microbiol. Biotechnol. 2007, 23, 159–166. [Google Scholar] [CrossRef]
- Monier, M. Adsorption of Hg2+, Cu2+ and Zn2+ ions from aqueous solution using formaldehyde cross-linked modified chitosan–thioglyceraldehyde Schiff’s base. Int. J. Biol. Macromol. 2012, 50, 773–781. [Google Scholar] [CrossRef] [PubMed]
- Kildeeva, N.R.; Perminov, P.A.; Vladimirov, L.V.; Novikov, V.V.; Mikhailov, S.N. About mechanism of chitosan cross-linking with glutaraldehyde. Russ. J. Bioorganic Chem. 2009, 35, 360–369. [Google Scholar] [CrossRef]
- Chiou, M.-S.; Li, H.-Y. Equilibrium and kinetic modeling of adsorption of reactive dye on cross-linked chitosan beads. J. Hazard. Mater. 2002, 93, 233–248. [Google Scholar] [CrossRef]
- Tillet, G.; Boutevin, B.; Ameduri, B. Chemical reactions of polymer crosslinking and post-crosslinking at room and medium temperature. Prog. Polym. Sci. 2011, 36, 191–217. [Google Scholar] [CrossRef]
- Tzereme, A.; Christodoulou, E.; Kyzas, G.Z.; Kostoglou, M.; Bikiaris, D.N.; Lambropoulou, D.A. Chitosan grafted adsorbents for diclofenac pharmaceutical compound removal from single-component aqueous solutions and mixtures. Polymers 2019, 11, 497. [Google Scholar] [CrossRef]
- Zhai, X.; Sun, C.; Li, K.; Guan, F.; Liu, X.; Duan, J.; Hou, B. Synthesis and characterization of chitosan–zinc composite electrodeposits with enhanced antibacterial properties. RSC Adv. 2016, 6, 46081–46088. [Google Scholar] [CrossRef]
- Liu, J.; Pu, H.; Liu, S.; Kan, J.; Jin, C. Synthesis, characterization, bioactivity and potential application of phenolic acid grafted chitosan: A review. Carbohydr. Polym. 2017, 174, 999–1017. [Google Scholar] [CrossRef]
- Radwan, R.R.; Abdel Ghaffar, A.M.; Ali, H.E. Gamma radiation preparation of chitosan nanoparticles for controlled delivery of memantine. J. Biomater. Appl. 2020, 34, 1150–1162. [Google Scholar] [CrossRef]
- Qi, L.; Xu, Z.; Jiang, X.; Hu, C.; Zou, X. Preparation and antibacterial activity of chitosan nanoparticles. Carbohydr. Res. 2004, 339, 2693–2700. [Google Scholar] [CrossRef]
- Sun, S.; Wang, A. Adsorption kinetics of Cu(II) ions using N,O-carboxymethyl-chitosan. J. Hazard. Mater. 2006, 131, 103–111. [Google Scholar] [CrossRef]
- Mohammad, A.M.; Eldin, T.A.S.; Hassan, M.A.; El-Anadouli, B.E. Efficient treatment of lead-containing wastewater by hydroxyapatite/chitosan nanostructures. Arab. J. Chem. 2017, 10, 683–690. [Google Scholar] [CrossRef]
- Andreica, B.-I.; Cheng, X.; Marin, L. Quaternary ammonium salts of chitosan. A critical overview on the synthesis and properties generated by quaternization. Eur. Polym. J. 2020, 139, 110016. [Google Scholar] [CrossRef]
- Cai, M.-T.; Zhang, J.-X.; Chen, Y.-W.; Cao, J.; Leng, M.-T.; Hu, S.-D.; Luo, X.-L. Preparation and characterization of chitosan composite membranes crosslinked by carboxyl-capped poly(ethylene glycol). Chin. J. Polym. Sci. 2014, 32, 236–244. [Google Scholar] [CrossRef]
- Shankar, S.; Joshi, S.; Srivastava, R.K. A review on heavy metal biosorption utilizing modified chitosan. Environ. Monit. Assess. 2023, 195, 1350. [Google Scholar] [CrossRef]
- Mittal, M.; Tripathi, S.; Shin, D.K. Biopolymeric Nanocomposites for Wastewater Remediation: An Overview on Recent Progress and Challenges. Polymers 2024, 16, 294. [Google Scholar] [CrossRef]
- Nordin, A.; Ahmad, Z.; Husna, S.; Ilyas, R.; Azemi, A.; Ismail, N.; Nordin, M.; Ngadi, N.; Siti, N.; Nabgan, W.; et al. The State of the Art of Natural Polymer Functionalized Fe3O4 Magnetic Nanoparticle Composites for Drug Delivery Applications: A Review. Gels 2023, 9, 121. [Google Scholar] [CrossRef]
- Rukhsar, A.; Iqbal, Z.F.; Khan, M.S.; Zainab, S.A.; Nawaz, S.; Kim, T.H.; Mustafa, G.; Balčiūnaitė, A. Chitosan-Based Adsorbents and Catalysts for Removal of Toxic Pollutants from Water and Wastewater. Top. Catal. 2024. [Google Scholar] [CrossRef]
- Wang, W.; Xue, C.; Mao, X. Chitosan: Structural modification, biological activity and application. Int. J. Biol. Macromol. 2020, 164, 4532–4546. [Google Scholar] [CrossRef]
- Francis, A.O.; Zaini, M.A.A.; Muhammad, I.M.; Abdulsalam, S.; El-Nafaty, U.A. Physicochemical modification of chitosan adsorbent: A perspective. Biomass Convers. Biorefin. 2023, 13, 5557–5575. [Google Scholar] [CrossRef]
- Fan, L.; Luo, C.; Lv, Z.; Lu, F.; Qiu, H. Preparation of magnetic modified chitosan and adsorption of Zn2+ from aqueous solutions. Colloids Surf. B Biointerfaces 2011, 88, 574–581. [Google Scholar] [CrossRef]
- Chiu, C.-W.; Wu, M.-T.; Lee, J.C.-M.; Cheng, T.-Y. Isothermal adsorption properties for the adsorption and removal of reactive Blue 221 dye from aqueous solutions by cross-linked β-chitosan glycan as acid-resistant adsorbent. Polymers 2018, 10, 1328. [Google Scholar] [CrossRef] [PubMed]
- Abd El-Monaem, E.M.; Eltaweil, A.S.; Elshishini, H.M.; Hosny, M.; Abou Alsoaud, M.M.; Attia, N.F.; El-Subruiti, G.M.; Omer, A.M. Sustainable adsorptive removal of antibiotic residues by chitosan composites: An insight into current developments and future recommendations. Arab. J. Chem. 2022, 15, 103743. [Google Scholar] [CrossRef] [PubMed]
- da Silva Bruckmann, F.; Schnorr, C.E.; da Rosa Salles, T.; Nunes, F.B.; Baumann, L.; Müller, E.I.; Silva, L.F.O.; Dotto, G.L.; Rhoden, C.R.B. Highly efficient adsorption of tetracycline using chitosan-based magnetic adsorbent. Polymers 2022, 14, 4854. [Google Scholar] [CrossRef]
- Sharrel, R.; Sangeeta, S.; Jisha, M.S.; Reshmy, R.; Arivalagan, P.; Aravind, M.; Parameswaran, B.; Mukesk, K.A.; Ashod, P.; Raveendran, S. Chitosan a versatile adsorbent in environmental remediation in the era of circular economy—A mini review. Sustain. Chem. Pharm. 2023, 32, 101004. [Google Scholar] [CrossRef]
- Nasiri, A.; Rajabi, S.; Amiri, A.; Fattahizade, M.; Hasani, O.; Lalehzari, A.; Hashemi, M. Adsorption of tetracycline using CuCoFe2O4@ Chitosan as a new and green magnetic nanohybrid adsorbent from aqueous solutions: Isotherm, kinetic and thermodynamic study. Arab. J. Chem. 2022, 15, 104014. [Google Scholar] [CrossRef]
- Guo, X.; Wu, Z.; Wang, Z.; Lin, F.; Li, P.; Liu, J. Preparation of Chitosan-Modified Bentonite and Its Adsorption Performance on Tetracycline. ACS Omega 2023, 8, 19455–19463. [Google Scholar] [CrossRef]
- Yaqubi, O.; Tai, M.H.; Mitra, D.; Gerente, C.; Neoh, K.G.; Wang, C.; Andres, Y. Adsorptive removal of tetracycline and amoxicillin from aqueous solution by leached carbon black waste and chitosan-carbon composite beads. J. Environ. Chem. Eng. 2021, 9, 104988. [Google Scholar] [CrossRef]
- Yeo, J.Y.J.; Aqsha, A.; Ismadji, S.; Sunarso, J. Adsorption Kinetics of Amoxicillin, Ampicillin, and Doripenem on Organobentonite. AIP Conf. Proceeding 2024, 3073, 070013. [Google Scholar]
- Anchique, L.; Alcázar, J.J.; Ramos-Hernandez, A.; Méndez-López, M.; Mora, J.R.; Rangel, N.; Paz, J.L.; Márquez, E. Predicting the Adsorption of Amoxicillin and Ibuprofen on Chitosan and Graphene Oxide Materials: A Density Functional Theory Study. Polymers 2021, 13, 1620. [Google Scholar] [CrossRef]
- Yadav, B.; Kumar, R.; Kumar, R.; Chaudhuri, S.; Pramanik, P. Electrical behaviour of chitosan-silver nanocomposite in presence of water vapour. J. Water Environ. Nanotechnol. 2017, 2, 71–79. [Google Scholar]
- Dutta, J. A facile approach for the determination of degree of deacetylation of chitosan using acid-base titration. Heliyon 2022, 8, e09924. [Google Scholar] [CrossRef] [PubMed]
- Liu, X.; Zhao, X.; Liu, Y.; Zhang, T. Review on preparation and adsorption properties of chitosan and chitosan composites. Polym. Bull. 2022, 79, 2633–2665. [Google Scholar] [CrossRef]
- Zhou, L.; Jin, J.; Liu, Z.; Liang, X.; Shang, C. Adsorption of acid dyes from aqueous solutions by the ethylenediamine-modified magnetic chitosan nanoparticles. J. Hazard. Mater. 2011, 185, 1045–1052. [Google Scholar] [CrossRef]
- Dandil, S.; Sahbaz, D.A.; Acikgoz, C. Adsorption of Cu (II) ions onto crosslinked chitosan/Waste Active Sludge Char (WASC) beads: Kinetic, equilibrium, and thermodynamic study. Int. J. Biol. Macromol. 2019, 136, 668–675. [Google Scholar] [CrossRef]
- Marotta, A.; Luzzi, E.; De Luna, M.S.; Aprea, P.; Ambrogi, V.; Filippone, G. Chitosan/zeolite composite aerogels for a fast and effective removal of both anionic and cationic dyes from water. Polymers 2021, 13, 1691. [Google Scholar] [CrossRef]
- Dehaghi, S.M.; Rahmanifar, B.; Moradi, A.M.; Azar, P.A. Removal of permethrin pesticide from water by chitosan–zinc oxide nanoparticles composite as an adsorbent. J. Saudi Chem. Soc. 2014, 18, 348–355. [Google Scholar] [CrossRef]
- Abdeen, Z.; Mohammad, S.G. Study of the Adsorption Efficiency of an Eco-Friendly Carbohydrate Polymer for Contaminated Aqueous Solution by Organophosphorus Pesticide. Open J. Org. Polym. Mater. 2014, 4, 16–28. [Google Scholar] [CrossRef]
- Rissouli, L.; Benicha, M.; Chafik, T.; Chabbi, M. Decontamination of water polluted with pesticide using biopolymers: Adsorption of glyphosate by chitin and chitosan. J. Mater. Environ. Sci. 2017, 8, 4544–4549. [Google Scholar] [CrossRef]
- Osman, A.I.; Hosny, M.; Eltaweil, A.S.; Omar, S.; Elgarahy, A.M.; Farghali, M.; Yap, P.-S.; Wu, Y.-S.; Nagandran, S.; Batumalaie, K.; et al. Microplastic sources, formation, toxicity and remediation: A review. Environ. Chem. Lett. 2023, 21, 2129–2169. [Google Scholar] [CrossRef]
- Xu, J.; Zhang, Y.; Wen, K.; Wang, X.; Huang, L.; Yang, Z.; Zheng, G.; Huang, Y.; Zhang, J. Enhanced flotation removal of polystyrene nanoplastics by chitosan modification: Performance and mechanism. Sci. Total. Environ. 2024, 946, 174254. [Google Scholar] [CrossRef]
- Risch, P.; Adlhart, C. A Chitosan Nanofiber Sponge for Oyster-Inspired Filtration of Microplastics. ACS Appl. Polym. Mater. 2021, 3, 4685–4694. [Google Scholar] [CrossRef]
- Solano, M.A.; Galan, J.; Vallejo, W.; Arana, V.A.; Grande-Tovar, C.D. Chitosan Beads Incorporated with Graphene Oxide/Titanium Dioxide Nanoparticles for Removing an Anionic Dye. Appl. Sci. 2021, 11, 9439. [Google Scholar] [CrossRef]
- Rani, M.; Rachna; Shanker, U. Metal oxide-chitosan based nanocomposites for efficient degradation of carcinogenic PAHs. J. Environ. Chem. Eng. 2020, 8, 103810. [Google Scholar] [CrossRef]
- Nisticò, R.; Flavia Franzoso, F.; Cesano, F.; Scarano, D.; Magnacca, G.; Parolo, M.E.; Carlos, L. Chitosan-derived iron oxide systems for magnetically guided and efficient water purification processes from polycyclic aromatic hydrocarbons. ACS Sustain. Chem. Eng. 2017, 5, 793–801. [Google Scholar] [CrossRef]
- Cole, M.; Lindeque, P.; Halsband, C.; Galloway, T.S. Microplastics as Contaminants in the Marine Environment: A Review. Mar. Pollut. Bull. 2011, 62, 2588–2597. [Google Scholar] [CrossRef]
- Wright, S.L.; Thompson, R.C.; Galloway, T.S. The Physical Impacts of Microplastics on Marine Organisms: A Review. Environ. Pollut. 2013, 178, 483–492. [Google Scholar] [CrossRef]
- Ravi Kumar, M.N.V. A Review of Chitin and Chitosan Applications. React. Funct. Polym. 2000, 46, 1–27. [Google Scholar] [CrossRef]
- Al-Manhel, A.J.; Al-Hilphy AR, S.; Niamah, A.K. Extraction of chitosan, characterization and its use for water purification. J. Saudi Soc. Agric. Sci. 2018, 17, 186–190. [Google Scholar]
- Jayakumar, R.; Prabaharan, M.; Nair, S.V.; Tamura, H. Novel Chitin and Chitosan Nanofibers in Biomedical Applications. Biotechnol. Adv. 2010, 28, 142–150. [Google Scholar] [CrossRef]
- Rabea, E.I.; Badawy, M.E.-T.; Stevens, C.V.; Smagghe, G.; Steurbaut, W. Chitosan as Antimicrobial Agent: Applications and Mode of Action. Biomacromolecules 2003, 4, 1457–1465. [Google Scholar] [CrossRef]
- Elsabee, M.Z.; Abdou, E.S. Chitosan Based Edible Films and Coatings: A Review. Mater. Sci. Eng. C 2013, l33, 1819–1841. [Google Scholar] [CrossRef] [PubMed]
- Kong, M.; Chen, X.G.; Xing, K.; Park, H.J. Antimicrobial Properties of Chitosan and Mode of Action: A State-of-the-Art Review. Int. J. Food Microbiol. 2010, 144, 51–63. [Google Scholar] [CrossRef] [PubMed]
- Islem, Y.; Rinaudo, M. Chitin and chitosan preparation from marine sources. Structure, properties and applications. Mar. Drugs 2015, 13, 1133–1174. [Google Scholar] [CrossRef] [PubMed]
- Atangana, E. Development of Modified Biopolymer Adsorbents from Natural Polysaccharides For Renewal of Abattoir Wastewater. Ph.D. Thesis, Central University of Technology, Free State, Bloemfontein, South Africa, 2019. [Google Scholar]
- Victor, O.; Kingsley Chukwuemeka, P.-I.; Eucharia Oluchi, N. Heavy Metals Contents and Health Risk Assessment of Classroom Corner Dusts in Selected Public Primary Schools in Rivers State, Nigeria. J. Environ. Pollut. Hum. Health 2018, 6, 138–147. [Google Scholar] [CrossRef]
- Piekarska, K.; Sikora, M.; Owczarek, M.; Jóźwik-Pruska, J.; Wiśniewska-Wrona, M. Chitin and chitosan as polymers of the future—Obtaining, modification, life cycle assessment and main directions of application. Polymers 2023, 15, 793. [Google Scholar] [CrossRef]
- Grifoll, V.; Bravo, P.; Pérez, M.N.; Pérez-Clavijo, M.; García-Castrillo, M.; Larrañaga, A.; Lizundia, E. Environmental Sustainability and Physicochemical Property Screening of Chitin and Chitin-Glucan from 22 Fungal Species. ACS Sustain. Chem. Eng. 2024, 12, 7869–7881. [Google Scholar] [CrossRef]
- Dong, W.; Tang, J.; Cropotova, J.; Sun, D.-W.; Tiwari, B.K. Green Technologies for Bio-refinery in Marine Crustacean Shell Valorisation from Chitin Perspective. Trends Food Sci. Technol. 2024, 150, 104580. [Google Scholar] [CrossRef]
- Iñiguez-Moreno, M.; Santiesteban-Romero, B.; Melchor-Martínez, E.M.; Parra-Saldívar, R.; González-González, R.B. Valorization of fishery industry waste: Chitosan extraction and its application in the industry. MethodsX 2024, 13, 102892. [Google Scholar] [CrossRef]
- Khatami, N.; Guerrero, P.; Martín, P.; Quintela, E.; Ramos, V.; Saa, L.; Cortajarena, A.L.; De La Caba, K.; Camarero-Espinosa, S.; Abarrategi, A. Valorization of biological waste from insect-based food industry: Assessment of chitin and chitosan potential. Carbohydr. Polym. 2024, 324, 121529. [Google Scholar] [CrossRef]
- Liang, S.; Wang, X.; Sun, S.; Xie, L.; Dang, X. Extraction of chitin from flammulina velutipes waste: A low-concentration acid pretreatment and aspergillus Niger fermentation approach. Int. J. Biol. Macromol. 2024, 273, 133224. [Google Scholar] [CrossRef]
- Aoun, R.B.; Trabelsi, N.; Abdallah, M.; Mourtzinos, I.; Mhamdi, R. Towards a Greener Future: Exploring the Challenges of extraction of Chitin and Chitosan as Bioactive Polysaccharides. Mater. Today Commun. 2024, 39, 108761. [Google Scholar] [CrossRef]
- Yuan, B.-Q.; Yu, T.-H.; Chen, S.-C.; Zhang, Z.-Q.; Guo, Z.-K.; Huang, G.-X.; Xiao, J.-H.; Huang, D.-W. Physical and chemical characterization of chitin and chitosan extracted under different treatments from black soldier fly. Int. J. Biol. Macromol. 2024, 279, 135228. [Google Scholar] [CrossRef] [PubMed]
- Lopes, C.; Antelo, L.T.; Franco-Uría, A.; Alonso, A.A.; Pérez-Martín, R. Chitin production from crustacean biomass: Sustainability assessment of chemical and enzymatic processes. J. Clean. Prod. 2018, 172, 4140–4151. [Google Scholar] [CrossRef]
- Iroegbu, A.O.C.; Ray, S.S. Chitin Nanomaterials as Multifunctional Systems in Advanced Applications–Progress and Challenges toward Sustainability. Macromol. Mater. Eng. 2023, 308, 2300053. [Google Scholar] [CrossRef]
- Jia, X.; Ma, P.; Wei, C.-I.; Wang, Q. Chitin and chitosan: Pioneering sustainable substrates for next-generation soilless vertical farming. Trends Food Sci. Technol. 2024, 150, 104599. [Google Scholar] [CrossRef]
- Statista. South Africa: Revenue in the Fish & Seafood Market [Market Forecast]. 2025. Available online: https://www.statista.com/outlook/cmo/food/fish-seafood/south-africa (accessed on 12 April 2025).
- Riofrio, A.; Alcivar, T.; Baykara, H. Environmental and Economic Viability of Chitosan Production in Guayas-Ecuador: A Robust Investment and Life Cycle Analysis. ACS Omega 2021, 6, 23038–23051. [Google Scholar] [CrossRef] [PubMed]
- Corporación Financiera Nacional. Ficha Sectorial Sector Manufacturero. In Alimentos Preparados y Bebidas; Corporación Financiera Nacional: Quito, Ecuador, 2017; p. 16. [Google Scholar]
- Berrezueta, S. Propuesta de Un Plan de Negocio Para Produciry Comercializar Quitina y Quitosano Como Materia PrimaBiodegradable. Bachelor Thesis, University of Guayaquil, Guayaquil, Ecuador, 2014. [Google Scholar]
- Andrade, P. Estudio de Viabilidad de Ecportació n de DesechosProcesados de Camaron Generados Por Las Mayores ExportadorasEcuatorianas Hacia China. Engineer in Sciences. Business Thesis, Universidad de Especialidades Espiritu Santo, Guayaquil, Ecuador, 2013. [Google Scholar]
- Chavez, D.; Lopez, M. Factibilidad Té cnica Para ElAprovechamiento Integral Del Camaró n de La Especia PenaeusVannamei. Bachelor Thesis, ESPOL, Hauts-de-France, France, 2009. [Google Scholar]
- Bajaj, M.; Freiberg, A.; Winter, J.; Xu, Y.; Gallert, C. Pilot-ScaleChitin Extraction from Shrimp Shell Waste by Deproteination and Decalcification with Bacterial Enrichment Cultures. Appl. Microbiol. Biotechnol. 2015, 99, 9835–9846. [Google Scholar] [CrossRef]
- Moreno, J. Estudio de Viabilidad de Una Planta de Producció nde Quitosano. Master’s Thesis, E.T.S.I. Industriales (UPM), Madrid, Spain, 2019. [Google Scholar]
- Gómez-Ríos, D.; Barrera-Zapata, R.; Ríos-Estepa, R. Comparison of Process Technologies for Chitosan Production from ShrimpShell Waste: A Techno-Economic Approach Using Aspen Plus®. Food Bioprod. Process. 2017, 103, 49–57. [Google Scholar] [CrossRef]
- Turton, R. CapCost; Prentice Hall Publishing: Hoboken, NJ, USA, 2017. [Google Scholar]
- Pang, Y.L.; Tan, J.H.; Lim, S.; Chong, W.C. A State-of-the-Art Review on Biowaste Derived Chitosan Biomaterials for Biosorption of Organic Dyes: Parameter Studies, Kinetics, Isotherms and Thermodynamics. Polymers 2021, 13, 3009. [Google Scholar] [CrossRef]
- Baskar, A.V.; Bolan, N.; Hoang, S.A.; Sooriyakumar, P.; Kumar, M.; Singh, L.; Jasemizad, T.; Padhye, L.P.; Singh, G.; Vinu, A.; et al. Recovery, regeneration and sustainable management of spent adsorbents from wastewater treatment streams: A review. Sci. Total Environ. 2022, 822, 153555. [Google Scholar] [CrossRef]
- Abdulrasool, M.M.; Ruaa, K.M.; Mays, A.D.; ALsailawi, H.A.; Mudhafae, M.; Bashi, A.M. Regeneration of chitosan-based adsorbents used in heavy metal adsorption. J. Life Sci. 2021, 15, 11–19. [Google Scholar] [CrossRef]
- Alcalde-Garcia, F.; Prasher, S.; Kaliaguine, S.; Tavares, J.R.; Dumont, M. Desorption Strategies and Reusability of Biopolymeric Adsorbents and Semisynthetic Derivatives in Hydrogel and Hydrogel Composites Used in Adsorption Processes. ACS Eng. Au 2023, 3, 443–460. [Google Scholar] [CrossRef]
- Wang, F.; Li, L.; Iqbal, J.; Yang, Z.; Du, Y. Preparation of magnetic chitosan corn straw biochar ant its application in adsorption of amaranth dye in aqueous solution. Int. J. Biol. Macromol. 2022, 199, 234–242. [Google Scholar] [CrossRef] [PubMed]
- Gul, K.; Sohni, S.; Waqar, M.; Ahmad, F.; Norulaini, N.A.N.; Mohd Omar, A.K. Functionalization of magnetic chitosan with graphene oxide for removal of cationic and anionic dyes from aqueous solution. Carbohydr. Polym. 2016, 152, 520–531. [Google Scholar] [CrossRef] [PubMed]
- Wong, K.T.; Wong, V.L.; Lim, S.S. Bio-sorptive Removal of Methyl Orange by Micro- Grooved Chitosan (GCS) Beads: Optimization of Process Variables Using Taguchi L9 Orthogonal Array. J. Polym. Environ. 2020, 29, 271–290. [Google Scholar] [CrossRef]
- Vakili, M.; Mojiri, A.; Zwain, H.M. Effect of beading parameters on cross-linked chitosan 618 adsorptive properties. React Funct. Polym. 2019, 144, 104354. [Google Scholar] [CrossRef]
- Sirajudheen, P.; Karthikeyan, P.; Vigneshwaran, S.; Nikitha, M.; Hassan, C.A.; Meenakshi, S. Ce(III) networked chitosan/β-cyclodextrin beads for the selective removal of toxic dye molecules: Adsorption performance and mechanism. Carbohydr. Polym. Technol. Appl. 2020, 1, 100018. [Google Scholar] [CrossRef]
- Schwarz, S.; Schwarz, D.; Ohmann, W.; Neuber, S. Adsorption and desorption studies on reusing chitosan as an efficient adsorbent. In Proceedings of the 3rd World Congress on Civil, Structural, and Environmental Engineering (CSEE’18), Budapest, Hungary, 8–10 April 2018; pp. AWSPT 128-1–AWSPT 128-4. [Google Scholar] [CrossRef]
- Chandra, D.; Molla, T.H.; Bashar, A.; Islam, S.; Ahsan, S. Chitosan-based nano-sorbents:synthesis, surface modification, characterisation and application in Cd (II), Co (II), Cu (II) and Pb (II) ions removal from wastewater. Sci. Rep. 2023, 13, 6050. [Google Scholar] [CrossRef]
- Parlayici, S.; Aras, A. Synthesis of a novel green biopolymer-based composites beads for removal of methylene blue from aquatic medium: Isotherm, thermodynamic and kinetic investigation. Polym. Bull. 2024, 81, 6603–6640. [Google Scholar] [CrossRef]
- Hilmioglu, N.; Yumat, E. Removal of Humic Acid from Water by Adsorption Using Chitosan and Metal Organic Framework ZIF 8 Loaded Chitosan Adsorbents. Water Air Soil Pollut. 2024, 235, 293. [Google Scholar] [CrossRef]
- Benettayeb, A.; Ghosh, S.; Usman, M.; Seihoub, F.Z.; Sohoo, I.; Chia, C.H.; Sillanpää, M. Some Well-Known Alginate and Chitosan Modifications Used in Adsorption: A Review. Water 2022, 14, 1353. [Google Scholar] [CrossRef]
- Rout, D.R.; Jena, H.M. Synthesis of graphene oxide-modified porous chitosan cross-linked polyaniline composite for static and dynamic removal of Cr(VI). Environ. Sci. Pollut. Res. 2022, 30, 22992–23011. [Google Scholar] [CrossRef] [PubMed]
- Li, J.-R.; Sculley, J.; Zhou, H.-C. Metal–Organic Frameworks for Separations. Chem. Rev. 2012, 112, 869–932. [Google Scholar] [CrossRef] [PubMed]
- Yao, T.; Chen, H.; Luo, Y.; Li, H.; Shao, X.; Zheng, Q.; Tu, D.; Yan, B.; Dai, J.; Bai, L.; et al. Preparation of β-cyclodextrin-reduced graphene oxide aerogel and its application for adsorption of herbicides. J. Clean. Prod. 2024, 468, 143109. [Google Scholar] [CrossRef]
- Aboughaly, M.; Babaei-Ghazvini, A.; Dhar, P.; Patel, R.; Acharya, B. Enhancing the Potential of Polymer Composites Using Biochar as a Filler: A Review. Polymers 2023, 15, 3981. [Google Scholar] [CrossRef]
- Li, X.; Wang, C.; Zhang, J.; Liu, J.; Liu, B.; Chen, G. Preparation and application of magnetic biochar in water treatment: A critical review. Sci. Total Environ. 2020, 711, 134847. [Google Scholar] [CrossRef]
- Luo, J.; Cai, Y.; Yu, J.; Huang, J. Development and optimization of a polysilicon-aluminum alkali mineral-enhanced biochar composite for effective heavy metal removal in acidic environments. J. Clean. Prod. 2024, 460, 142568. [Google Scholar] [CrossRef]
- Dhanush Raj, A.; Ahammed, M.M. Nano-zerovalent iron for water and wastewater treatment. In Nanomaterials in Environmental Analysis; Elsevier: Amsterdam, The Netherlands, 2024; pp. 505–536. [Google Scholar] [CrossRef]
- Rashtbari, Y.; Sher, F.; Afshin, S.; Hamzezadeh, A.; Ahmadi, S.; Azhar, O.; Rastegar, A.; Ghosh, S.; Poureshgh, Y. Green synthesis of zero-valent iron nanoparticles and loading effect on activated carbon for furfural adsorption. Chemosphere 2022, 287, 132114. [Google Scholar] [CrossRef]
- Tran, H.N.; You, S.-J.; Hosseini-Bandegharaei, A.; Chao, H.-P. Mistakes and inconsistencies regarding adsorption of contaminants from aqueous solutions: A critical review. Water Res. 2017, 120, 88–116. [Google Scholar] [CrossRef]
- Lim, T.-T.; Yap, P.-S.; Srinivasan, M.; Fane, A.G. TiO2/AC Composites for Synergistic Adsorption-Photocatalysis Processes: Present Challenges and Further Developments for Water Treatment and Reclamation. Crit. Rev. Environ. Sci. Technol. 2011, 41, 1173–1230. [Google Scholar] [CrossRef]
- Mendes-Felipe, C.; Veloso-Fernández, A.; Vilas-Vilela, J.L.; Ruiz-Rubio, L. Hybrid Organic–Inorganic Membranes for Photocatalytic Water Remediation. Catalysts 2022, 12, 180. [Google Scholar] [CrossRef]
- Patra, K.; Sengupta, A. Recent advances in functionalized porous adsorbents for radioactive waste water decontamination: Current status, research gap and future outlook. Mater. Today Sustain. 2024, 25, 100703. [Google Scholar] [CrossRef]
Disclaimer/Publisher’s Note: The statements, opinions and data contained in all publications are solely those of the individual author(s) and contributor(s) and not of MDPI and/or the editor(s). MDPI and/or the editor(s) disclaim responsibility for any injury to people or property resulting from any ideas, methods, instructions or products referred to in the content. |
© 2025 by the authors. Licensee MDPI, Basel, Switzerland. This article is an open access article distributed under the terms and conditions of the Creative Commons Attribution (CC BY) license (https://creativecommons.org/licenses/by/4.0/).






