Flexural Behavior of Thin Concrete Slabs Reinforced with Surface Embossed Grid-Type Carbon-Fiber Composites
Abstract
1. Introduction
2. Materials and Methods
2.1. Experimental Design
2.1.1. Material Properties
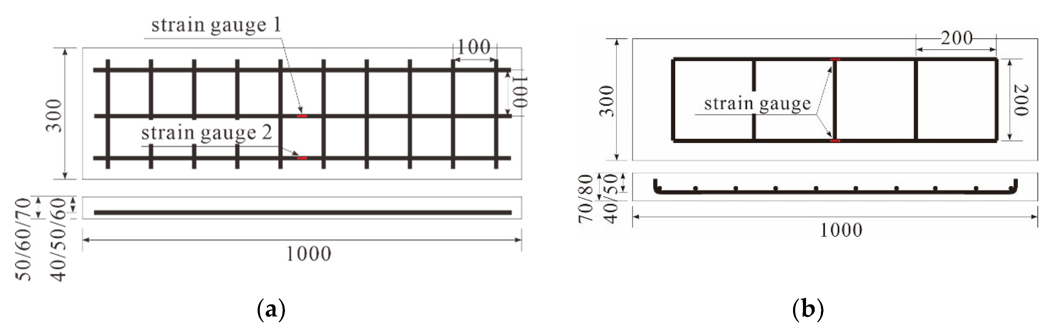
2.1.2. Specimen Overview
2.2. Loading and Measurement Method
3. Results and Discussion
3.1. Crack and Failure Geometry
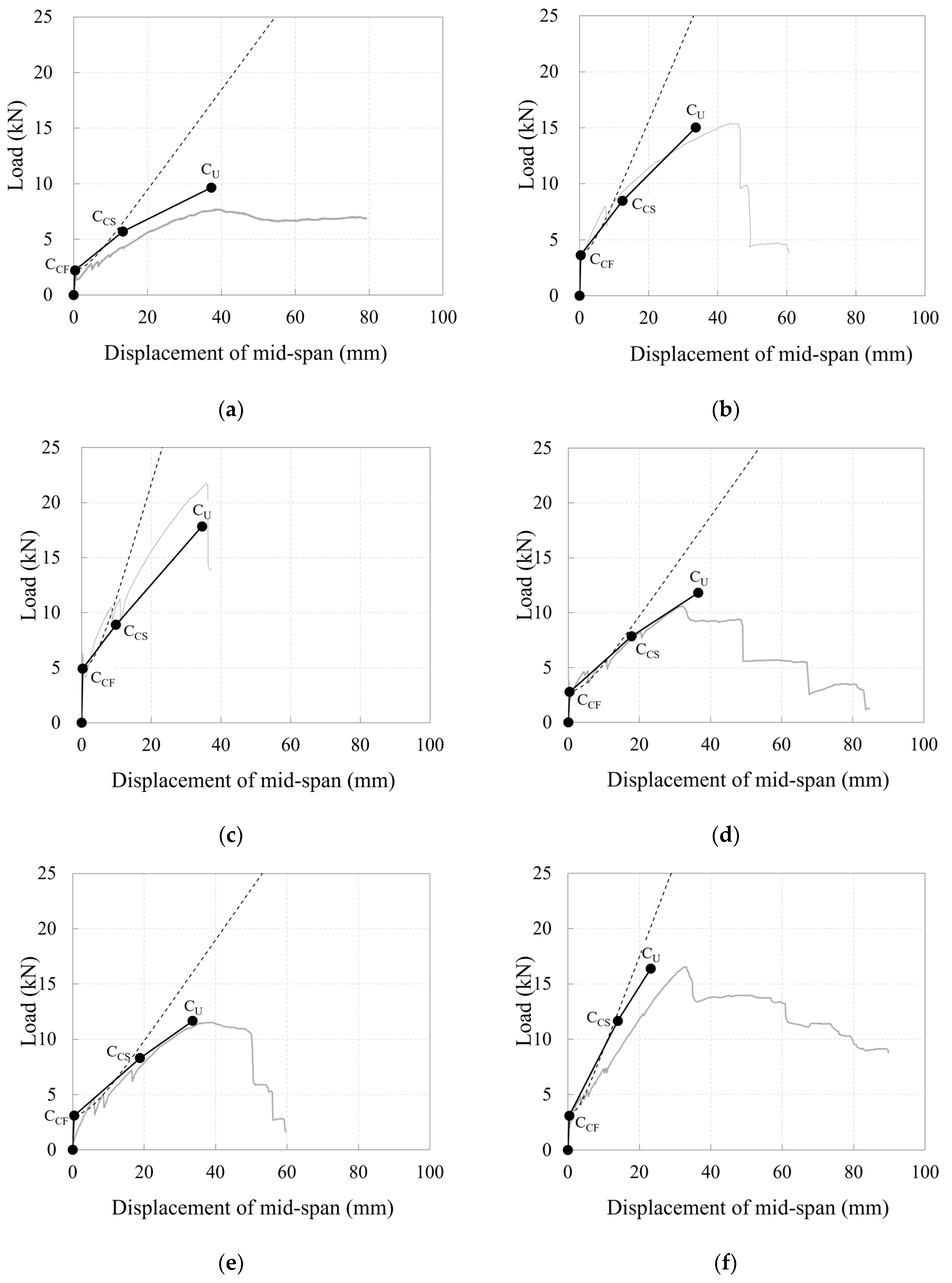
3.2. Load–Deflection Relationship
3.3. Crack and Maximum Load
3.4. Flexural Behavior Evaluation
3.4.1. Flexural Behavior Model
3.4.2. Crack Stabilization Stage Behavior Evaluation by Regression Analysis
3.5. Comparison of Flexural Behaviors with RC
4. Conclusions
- The carbon-grid-reinforced specimens were considered to have improved bonding between the concrete and the CFRP strands due to the increased specific surface area from the surface embossing of the CFRP strands, based on the crack formation patterns, which resulted in no bond cracks and a distributed cracking pattern. Also, the specimens with higher concrete compressive strengths exhibited better bond performance.
- For the specimens reinforced with one carbon grid layer, increasing the effective depth was more effective than increasing the concrete compressive strength for improving the flexural behavior, including the maximum load and stiffness, of the carbon-grid-reinforced members.
- The ratios of the experimental to calculated flexural strengths for the carbon-grid-reinforced specimens ranged from 0.74 to 1.22 and were also 1.22–2.22 times higher than the strength reduction factor specified in the design standards. As the amounts of carbon-grid reinforcement increased, the ratio decreased for the under-reinforced specimens but increased for the over-reinforced specimens.
- Based on the experimental results, this study proposed a trilinear load–deflection curve to assess the flexural behavior of carbon-grid-reinforced concrete members. The trilinear load–deflection curve with the calculated characteristic values closely simulated the flexural behavior observed in the experiment.
- Although the RC specimens exhibited lower performance than the design expectations, the carbon-grid-reinforced specimens met the design performance requirements, showing similar post-crack stiffness and higher maximum loads than the RC specimens. Therefore, for carbon-grid-reinforced members with relatively small effective depths and high concrete compressive strengths, as presented in this study, a favorable performance comparable to that of RC members can be expected.
Author Contributions
Funding
Institutional Review Board Statement
Informed Consent Statement
Data Availability Statement
Conflicts of Interest
References
- Abbood, I.S.; Odaa, S.; Hasan, K.F.; Jasim, M. Properties evaluation of fiber reinforced polymers and their constituent materials used in structures—A review. Mater. Today Proc. 2021, 43, 1003–1008. [Google Scholar] [CrossRef]
- Maslehuddin, M.; Saricimen, H.; Al-Mana, A.I.; Shamin, M. Performance of concrete in a high-chloride sulfate environment. Spec. Publ. 1990, 122, 469–494. [Google Scholar]
- Jaffer, S.J.; Hansson, C.M. Chloride-induced corrosion products of steel in cracked-concrete subjected to different loading conditions. Cem. Constr. Res. 2009, 39, 116–125. [Google Scholar] [CrossRef]
- Cabrera, J.G. Deterioration of concrete due to reinforcement steel corrosion. Cem. Compos. 1996, 18, 47–59. [Google Scholar] [CrossRef]
- ACI 440.1R-15; Guide for the Design and Construction of Structural Concrete Reinforced with Fiber-Reinforced Polymer (FRP) Bars. ACI: Farmington Hills, MI, USA, 2015.
- Nanni, A.; Luca, A.D.; Zadeh, H.J. Reinforced Concrete with FRP Bars; CRC Press: Boca Raton, FL, USA, 2019. [Google Scholar]
- Cheng, L. Steel-free bridge decks reinforced with FRP composites. In Fiber Reinforced Polymer (FRP) Composites for Infrastructure Application; Springer: Dordrecht, The Netherlands, 2012; pp. 143–162. [Google Scholar]
- Michael, A.P. Using Carbon Fiber Reinforced Polymer Grids as Confinement Reinforcement for Concrete. Ph.D. Thesis, University of Florida, Gainesville, FL, USA, 2006. [Google Scholar]
- Schumann, A.; Michler, H.; Schladitz, F.; Curbach, M. Parking slabs made of carbon reinforced concrete. Struct. Concr. 2018, 19, 647–655. [Google Scholar] [CrossRef]
- Tietze, M.; Kirmse, S.; Kahnt, A.; Schladitz, F.; Curbach, M. The ecological and economic advantages of carbon reinforced concrete—Using the C3 result house CUBE especially the BOX value chain as an example. Civ. Eng. Des 2022, 4, 79–88. [Google Scholar] [CrossRef]
- Saleem, M.U.; Qureshi, H.J.; Amin, M.N.; Khan, K.; Khurshid, H. Cracking behavior of RC beams strengthened with different amounts and layouts of CFRP. Appl. Sci. 2019, 9, 1017. [Google Scholar] [CrossRef]
- Giese, A.C.H.; Giese, D.N.; Dutra, V.F.P.; Da Silva Filho, L.C.P.D.S. Flexural behavior of reinforced concrete beams strengthened with textile reinforced mortar. J. Build. Eng. 2021, 33, 101873. [Google Scholar] [CrossRef]
- Almushaikeh, A.M.; Alaswad, S.O.; Alsuhybani, M.S.; Alotaibi, B.M.; Alarifi, I.M.; Alqahtani, N.B.; Aldosari, S.M.; Alsaleh, S.S.; Haidyrah, A.S.; Alolyan, A.A.; et al. Manufacturing of carbon fiber reinforced thermoplastics and its recovery of carbon fiber: A review. Polymers 2003, 122, 108029. [Google Scholar] [CrossRef]
- ACI 440.5-08; Specification for Construction with Fiber-Reinforced Polymer Reinforcing Bars. ACI: Farmington Hills, MI, USA, 2008.
- Xian, G.; Bai, Y.; Zhou, P.; Wang, J.; Li, C.; Dong, S.; Guo, R.; Tian, J.; Li, J.; Zhong, J.; et al. Long-term properties evolution and life prediction of glass fiber reinforced thermoplastic bending bars exposed in concrete alkaline environment. J. Build. Eng. 2024, 91, 109641. [Google Scholar] [CrossRef]
- Xian, G.; Zhou, P.; Bai, Y.; Wang, J.; Li, C.; Dong, S.; Guo, R.; Li, J.; Du, H.; Zhong, J. Design, preparation and mechanical properties of novel glass fiber reinforced polypropylene bending bars. Constr. Build. Mater. 2024, 429, 136455. [Google Scholar] [CrossRef]
- Naanam, A.E. Textile reinforced cement composites: Competitive status and research directions. In Proceedings of the International RILEM Conference on Materials Science (MatSci) I, Aachen, Germany, 6–8 September 2010; pp. 3–22. [Google Scholar]
- Peled, A.; Bentur, A.; Mobasher, B. Textile Reinforced Concrete; CRC Press: Boca Raton, FL, USA, 2017. [Google Scholar]
- Ozdemir, H.; Bilisik, K. Experimental Study on Angular Flexural Performance of Multiaxis Three Dimensional (3D) Polymeric Carbon Fiber/Cementitious Concretes. Polymers 2021, 13, 3073. [Google Scholar] [CrossRef] [PubMed]
- Bilisik, K.; Ozdemir, H. Multiaxis three dimensional (3D) carbon and basalt preforms/cementitious matrix concretes: Experimental study on fiber orientation and placement by panel test. Constr. Build. Mater. 2021, 271, 1211863. [Google Scholar] [CrossRef]
- Gries, T.; Raina, M.; Quadflieg, T.; Stolyarov, O. Manufacturing of textiles for civil engineering applications. In Textile Fibre Composites in Civil Engineering; Woodhead Publishing: Sawston, UK, 2016; pp. 3–24. [Google Scholar] [CrossRef]
- Rampini, M.C.; Zani, G.; Colombo, M.; di Prisco, M. Mechanical behaviour of TRC composites: Experimental and analytical approaches. Appl. Sci. 2019, 9, 1492. [Google Scholar] [CrossRef]
- Wagner, J.; Curbach, M. Bond fatigue of TRC with epoxy impregnated carbon textiles. Appl. Sci. 2019, 9, 1980. [Google Scholar] [CrossRef]
- Portal, N.W. Usability of Textile Reinforced Concrete: Structural Performance, Durability and Sustainability. Ph.D. Thesis, Chalmers Tekniska Högskola, Gothenburg, Sweden, 2015. [Google Scholar]
- Mechtvherine, V.; Schneider, K.; Brameshuber, W. Mineral-based matrix for textile-reinforced concrete. In Textile Fibre Composites in Civil Engineering; Woodhead Publishing: Sawston, UK, 2016; pp. 25–44. [Google Scholar]
- Williams Portal, N.; Nyholm Thrane, L.; Lundgren, K. Flexural behaviour of textile reinforced concrete composites: Experimental and numerical evaluation. Mater. Struct. 2017, 50, 4. [Google Scholar] [CrossRef]
- Zeng, J.J.; Zeng, W.B.; Ye, Y.Y.; Liao, J.J.; Zhuge, Y.; Fan, T.H. Flexural behavior of FRP grid reinforced ultra-high-performance concrete composite plates with different types of fibers. Eng. Struct. 2022, 272, 115020. [Google Scholar] [CrossRef]
- Kim, K.M.; Cheon, J.H. Flexural behavior of one-way slab reinforced with grid-type carbon fiber reinforced plastics of various geometric and physical properties. Appl. Sci. 2022, 12, 12491. [Google Scholar] [CrossRef]
- Williams Portal, N.; Fernandez Perez, I.; Nyholm Thrane, L.; Lundgren, K. Pull-out of textile reinforcement in concrete. Constr. Build. Mater. 2014, 71, 63–71. [Google Scholar] [CrossRef]
- Williams Portal, N.W.; Flansbjer, M.; Zandi, K.; Wlasak, L.; Malaga, K. Bending behaviour of novel textile reinforced concrete-foamed concrete (TRC-FC) sandwich elements. Compos. Struct. 2017, 177, 104–118. [Google Scholar] [CrossRef]
- Zdanowicz, K.; Marx, S. Flexural behaviour of thin textile reinforced concrete slabs enhanced by chemical prestressing. Eng. Struct. 2022, 256, 113946. [Google Scholar] [CrossRef]
- Chinnasamy, M.; Ajithkumar, R.; Singh, A.; Yangzom, D.; Parvati, T.S.; Joanna, P.S. Comparative study on the behaviour of textile reinforced concrete slab with engineered cementitious composite slab. Mater. Today Proc. 2020, 33, 1175–1180. [Google Scholar] [CrossRef]
- Altawna, A.; Rahamin, Y.; Harting, C.; Peled, A.; Regev, O. Self-healing of the textile-reinforced concrete: Additives and coatings. Constr. Build. Mater. 2023, 364, 129930. [Google Scholar] [CrossRef]
- Goonewardena, J.; Ghabraie, K.; Subhani, M. Flexural performance of FRP-reinforced geopolymer concrete beam. J. Compos. Sci. 2020, 4, 187. [Google Scholar] [CrossRef]
- Kim, K.M.; Park, S.W.; Song, B.K.; Yoon, S.H. Evaluation of the flexural behavior of one-way slabs by the amount of carbon grid manufactured by adhesive bonding. Polymers 2024, 16, 2690. [Google Scholar] [CrossRef]
- Kanreva, M.; Saarela, O. The peel ply surface treatment for adhesive bonding of composites: A review. Int. J. Adhes. Adhes. 2013, 43, 60–69. [Google Scholar] [CrossRef]
- Min, K.J.; Kim, K.M.; Song, B.K.; Park, S.W. Flexural behavior slabs reinforced with grid-type CFRP reinforcement manufactured using adhesion. J. Korea Concr. Inst. 2023, 2, 197–206. [Google Scholar] [CrossRef]
- ASTM D7205/D7205M; Standard Test Method for Tensile Properties of Fiber Reinforced Polymer Matrix Composite Bars. ASTM International: West Conshohocken, PA, USA, 2016.
- CAN/CSA-S806-02; Design and Construction of Building Components with Fibre-Reinforced Polymers. Canadian Standards Association: Toronto, ON, Canada, 2009.
- ISO 6935-2:2019; Steel for the Reinforcement of Concrete—Part 2: Ribbed Bars. ISO: Geneva, Switzerland, 2020.
- KS F 2527:2022; Aggregates for Concrete. KATS: Chungcheongbuk-Do, Republic of Korea, 2022.
- ISO 1920-4:2020; Strength of Hardened. Concrete. ISO: Geneva, Switzerland, 2020.
- Hegger, J.; Voss, S. Investigations on the bearing behaviour and application potential of textile reinforced concrete. Eng. Struct. 2008, 30, 2050–2056. [Google Scholar] [CrossRef]
- Scheerer, S.; Chudoba, R.; Garobaldi, M.P.; Curbach, M. Shells made of textile reinforced concrete—Applications in Germany. J. IASS 2017, 58, 1175–1180. [Google Scholar] [CrossRef]
- Suh, J.I.; Park, S.W.; Kim, K.M. Tensile Behavior Assessment of Grid-Type CFRP Textile-Reinforced Mortar with Different Design Variables. Materials 2024, 17, 6049. [Google Scholar] [CrossRef]
- Khuntia, M.; Ghosh, S.K. Flexural stiffness of reinforced concrete columns and beams: Analytical approach. ACI Struct. J. 2004, 101, 351–363. [Google Scholar]
- Bischoff, P.H.; Scanlon, A. Effective moment of inertia for calculating deflections of concrete members containing steel reinforcement and fiber-reinforced polymer reinforcement. ACI Struct. J. 2007, 104, 68–75. [Google Scholar]
- Abdullah, S.; Napi, N.N.L.M.; Ahmed, A.N.; Mansor, W.N.W.; Mansor, A.A.; Ismail, M.; Abdullah, A.M.; Ramly, Z.T. Development of Multiple Linear Regression for Particulate Matter (PM10) Forecasting during Episodic Transboundary Haze Event in Malaysia. Atmosphere 2020, 11, 289. [Google Scholar] [CrossRef]
- ACI 440.1R-06; Guide for the Design and Construction of Structural Concrete Reinforced with FRP Bars. ACI: Farmington Hills, MI, USA, 2006.





















| Name | Strand | Grid Geometry (Longitudinal (G_VS) × Transverse (G_TS) Spacing, mm) | Tensile Strength (MPa) | Tensile Modulus of Elasticity (MPa) | ||
|---|---|---|---|---|---|---|
| Width (mm) | Thickness (mm) | Area (mm2) | ||||
| KC | 10 | 1 | 10 | 100 × 100 | 2327 | 209,069 |
| d10 | - | - | 71.3 | - | 553 (452) | 177,000 |
| Name | Cement (kg/m3) | Water (kg/m3) | W/C (%) | Fine Aggregate (kg/m3) | Coarse Aggregate (kg/m3) | Compressive Strength (MPa) |
|---|---|---|---|---|---|---|
| C40 | 482 | 182 | 38 | 796 | 985 | 51.7 |
| C50 | 570 | 172 | 30 | 774 | 959 | 63.3 |
| C60 | 658 | 165 | 25 | 748 | 928 | 78.7 |
| Specimen | Width (mm) | Depth/ Effective Depth (mm) | Length (mm) | Reinforcement | Reinforcement Ratio (%) | Concrete |
|---|---|---|---|---|---|---|
| 40_KC_d50 | 300 | 60/50 | 1000 | KC | 0.20 | C40 |
| 40_KC_d60 | 70/60 | 0.17 | ||||
| 50_KC_d40 | 50/40 | 0.25 | C50 | |||
| 60_KC_d40 | 50/40 | 0.25 | C60 | |||
| 60_KC2_d40 | 50/40 | 0.50 | ||||
| 40_RC_d50 | 80/50 | d10@200 (longitudinal direction) × d10@200 (transverse direction) | 0.70 | C40 | ||
| 50_RC_d40 | 70/40 | 1.19 | C50 | |||
| 60_RC_d40 | 70/40 | 1.19 | C60 |
| Specimen | Crack Strength | Flexural Strength | Failure Mode | |||
|---|---|---|---|---|---|---|
| Moment (kNm) | Load (kN) | Moment (kNm) | Load (kN) | |||
| 40_KC_d50 | 1.35 | 815 | 3.62 | 3384 | 15.04 | Concrete crushing |
| 40_KC_d60 | 0.69 | 1110 | 4.93 | 4012 | 17.83 | CFRP strand rupture |
| 50_KC_d40 | 0.96 | 627 | 2.78 | 2654 | 11.80 | CFRP strand rupture |
| 60_KC_d40 | 0.94 | 699 | 3.10 | 2623 | 11.66 | CFRP strand rupture |
| 60_KC2_d40 | 1.87 | 699 | 3.10 | 3687 | 16.39 | Concrete crushing |
| 40_RC_d50 | 0.44 | 1450 | 6.44 | 2994 | 13.30 | Steel yield |
| 50_RC_d40 | 0.76 | 1228 | 5.46 | 2224 | 9.89 | Steel yield |
| 60_RC_d40 | 0.74 | 1369 | 6.09 | 2232 | 9.92 | Steel yield |
| Specimen | Number of Cracks |
|---|---|
| 40_KC_d50 | 2 |
| 40_KC_d60 | 3 |
| 50_KC_d40 | 5 |
| 60_KC_d40 | 5 |
| 60_KC2_d40 | 6 |
| 40_RC_d50 | 3 |
| 50_RC_d40 | 3 |
| 60_RC_d40 | 2 |
| Specimen | Crack Formation Point (CCF) | Crack Stabilization Point (CCS) | Maximum Load Point (CU) | Load at CCF/Load at CU | Load at CCS/Load at CU | |||
|---|---|---|---|---|---|---|---|---|
| Load (kN) | Deflection of Mid-Span (mm) | Load (kN) | Deflection of Mid-Span (mm) | Load (kN) | Deflection of Mid-Span (mm) | |||
| 30_KC_d40 [35] | 1.80 | 0.67 | 4.31 | 13.19 | 7.70 | 38.69 | 0.23 | 0.56 |
| 40_KC_d50 | 5.80 | −0.01 | 8.00 | 7.49 | 15.37 | 44.01 | 0.38 | 0.52 |
| 40_KC_d60 | 6.32 | 0.37 | 11.25 | 11.01 | 21.75 | 35.77 | 0.29 | 0.52 |
| 50_KC_d40 | 2.16 | 0.03 | 8.23 | 20.43 | 10.59 | 32.09 | 0.20 | 0.78 |
| 60_KC_d40 | 4.70 | 5.96 | 7.20 | 16.54 | 11.53 | 38.33 | 0.41 | 0.62 |
| 60_KC2_d40 | 3.47 | −0.01 | 12.28 | 21.10 | 16.52 | 32.92 | 0.21 | 0.74 |
| 30_RC_d40 [35] | 3.87 | 3.87 | 5.94 | 4.60 | 9.38 | 15.49 | 0.41 | 0.63 |
| 40_RC_d50 | - | - | 12.01 | 2.09 | 19.52 | 18.05 | - | 0.62 |
| 50_RC_d40 | 5.07 | 0.29 | 6.19 | 3.00 | 7.96 | 9.40 | 0.64 | 0.78 |
| 60_RC_d40 | 2.89 | 0.18 | 4.14 | 4.28 | 6.37 | 10.46 | 0.45 | 0.65 |
| Specimen | Stiffness (N/mm) | Stage 1/Stage 3 | Stage 2/Stage 3 | ||
|---|---|---|---|---|---|
| Before Crack Formation (Stage 1) | Crack Formation (Stage 2) | Crack Stabilization (Stage 3) | |||
| 30_KC_d40 | 2687 | 200 | 133 | 0.075 | 0.663 |
| 40_KC_d50 | - | 294 | 202 | - | 0.685 |
| 40_KC_d60 | 17,081 | 463 | 424 | 0.027 | 0.915 |
| 50_KC_d40 | 71,833 | 298 | 202 | 0.004 | 0.678 |
| 60_KC_d40 | 789 | 236 | 199 | 0.299 | 0.843 |
| 60_KC2_d40 | - | 418 | 359 | 0.390 | 0.818 |
| 30_RC_d40 | 8019 | - | - | - | - |
| 40_RC_d50 | - | - | - | - | - |
| 50_RC_d40 | 17,789 | - | - | - | - |
| 60_RC_d40 | 16,486 | - | - | - | - |
| Specimen | (kN) | (N/mm) | (N/mm) | Calculation Results/Experimental Results | ||||
|---|---|---|---|---|---|---|---|---|
| 30_KC_d40 | 0.59 | 0.61 | 5.71 | 270 | 165 | 1.33 | 1.35 | 1.24 |
| 40_KC_d50 | 0.56 | 0.77 | 8.47 | 401 | 309 | 1.06 | 1.36 | 1.53 |
| 40_KC_d60 | 0.50 | 0.87 | 8.89 | 414 | 361 | 0.79 | 0.89 | 0.85 |
| 50_KC_d40 | 0.66 | 0.73 | 7.83 | 290 | 212 | 0.95 | 0.96 | 1.05 |
| 60_KC_d40 | 0.71 | 0.81 | 8.30 | 282 | 282 | 1.15 | 1.20 | 1.15 |
| 60_KC2_d40 | 0.71 | 0.81 | 11.67 | 632 | 632 | 0.95 | 1.44 | 1.42 |
Disclaimer/Publisher’s Note: The statements, opinions and data contained in all publications are solely those of the individual author(s) and contributor(s) and not of MDPI and/or the editor(s). MDPI and/or the editor(s) disclaim responsibility for any injury to people or property resulting from any ideas, methods, instructions or products referred to in the content. |
© 2025 by the authors. Licensee MDPI, Basel, Switzerland. This article is an open access article distributed under the terms and conditions of the Creative Commons Attribution (CC BY) license (https://creativecommons.org/licenses/by/4.0/).
Share and Cite
Kim, K.-M.; Park, S.-W.; Min, K.-J. Flexural Behavior of Thin Concrete Slabs Reinforced with Surface Embossed Grid-Type Carbon-Fiber Composites. Polymers 2025, 17, 411. https://doi.org/10.3390/polym17030411
Kim K-M, Park S-W, Min K-J. Flexural Behavior of Thin Concrete Slabs Reinforced with Surface Embossed Grid-Type Carbon-Fiber Composites. Polymers. 2025; 17(3):411. https://doi.org/10.3390/polym17030411
Chicago/Turabian StyleKim, Kyung-Min, Sung-Woo Park, and Kyung-Jae Min. 2025. "Flexural Behavior of Thin Concrete Slabs Reinforced with Surface Embossed Grid-Type Carbon-Fiber Composites" Polymers 17, no. 3: 411. https://doi.org/10.3390/polym17030411
APA StyleKim, K.-M., Park, S.-W., & Min, K.-J. (2025). Flexural Behavior of Thin Concrete Slabs Reinforced with Surface Embossed Grid-Type Carbon-Fiber Composites. Polymers, 17(3), 411. https://doi.org/10.3390/polym17030411
