Tackling the Problem of Tendon Adhesions: Physical Barriers Prepared from α-Amino Acid-Based Poly(ester amide)s
Abstract
1. Introduction
2. Materials and Methods
2.1. Materials
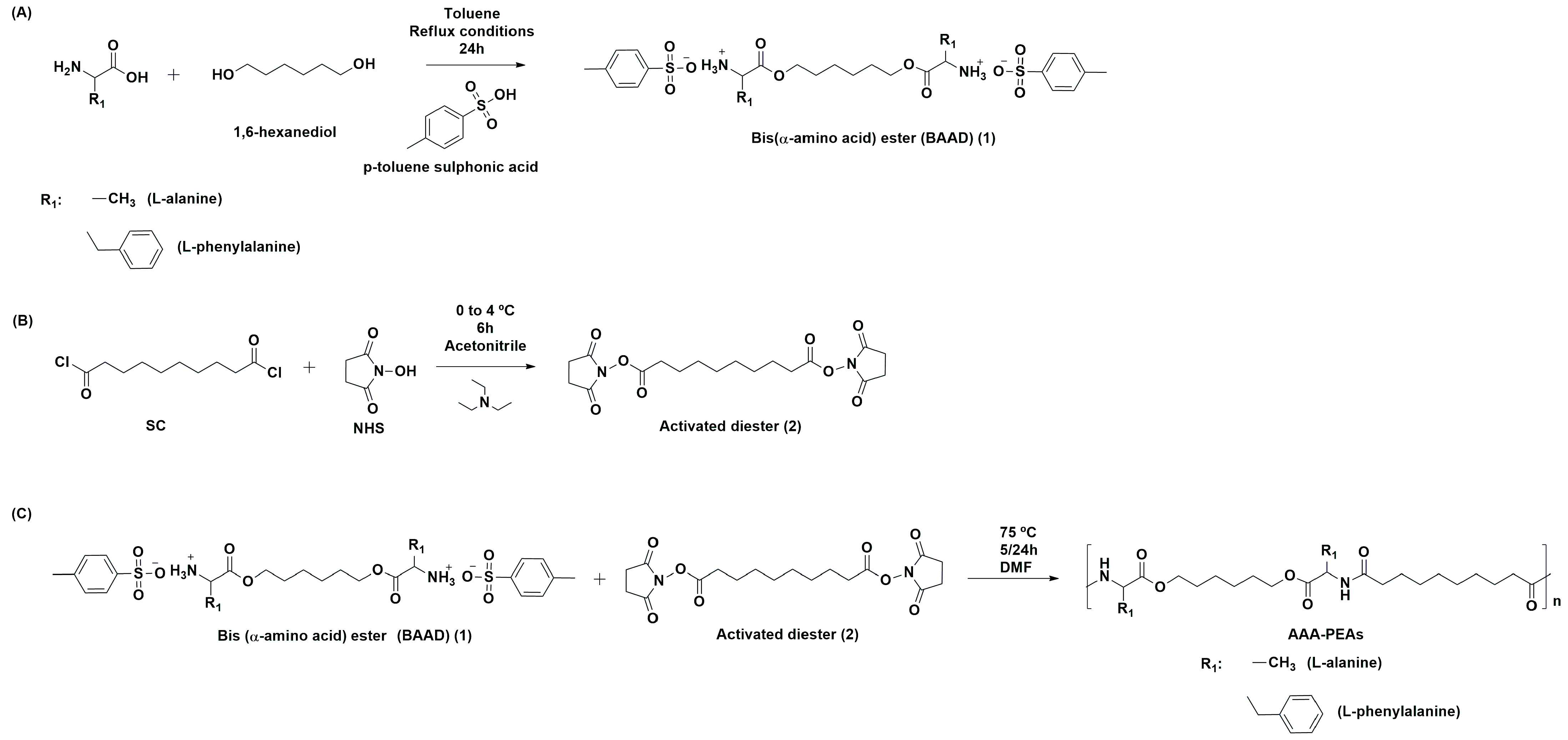
2.2. Synthesis of AAA-PEAs
2.2.1. Synthesis of the Bis (α-amino Acid) Esters from L-alanine or L-phenylalanine and 1,6-Hexanediol
2.2.2. Synthesis of the Sebacoyl Chloride Activated Ester
2.2.3. Synthesis of the AAA-PEAs by Solution Polycondensation
2.3. Preparation of the Membranes by Electrospinning
2.4. Characterization Techniques
2.4.1. Chemical Structure Identification
2.4.2. Thermal Properties
2.4.3. Size Exclusion Chromatography (SEC)
2.4.4. Scanning Electron Microscopy (SEM)
2.4.5. Porosity
2.4.6. Permeability of the Membranes to Albumin
2.4.7. Mechanical Tests
2.4.8. Thermomechanical Properties
2.4.9. Water Uptake Capacity
2.4.10. In Vitro Enzymatic Degradation of the Electrospun Membranes
2.5. In Vitro Biological Studies
2.5.1. Cell Culture
2.5.2. Cytocompatibility Assay
2.5.3. Statistical Analysis
3. Results
3.1. Synthesis of the AAA-PEAs
Thermal Properties of the Synthesized Polymers
3.2. Preparation and Characterization of the Electrospun Membranes
3.2.1. Morphology of the Membranes
3.2.2. Water Uptake of the Membranes
3.2.3. Permeability of the Membranes
3.2.4. In Vitro Enzymatic Degradation
3.2.5. Mechanical Properties
3.2.6. Thermomechanical Properties of the Membranes
3.2.7. In Vitro Biological Evaluation
4. Conclusions
Supplementary Materials
Author Contributions
Funding
Institutional Review Board Statement
Data Availability Statement
Conflicts of Interest
References
- Bergamin, F.; Civera, M.; Reinoso, M.R.; Burgio, V.; Ruiz, G.; Surace, C. Worldwide Incidence and Surgical Costs of Tendon Injuries: A Systematic Review and Meta-Analysis. Muscles. Ligaments Tendons J. 2023, 13, 31–45. [Google Scholar] [CrossRef]
- Jiang, K.; Wang, Z.; Du, Q.; Yu, J.; Wang, A.; Xiong, Y. A New TGF-Β3 Controlled-Released Chitosan Scaffold for Tissue Engineering Synovial Sheath. J. Biomed. Mater. Res.—Part A 2014, 102, 801–807. [Google Scholar] [CrossRef] [PubMed]
- Imere, A.; Ligorio, C.; O’Brien, M.; Wong, J.K.F.; Domingos, M.; Cartmell, S.H. Engineering a Cell-Hydrogel-Fibre Composite to Mimic the Structure and Function of the Tendon Synovial Sheath. Acta Biomater. 2020, 119, 140–154. [Google Scholar] [CrossRef] [PubMed]
- Liu, C.; Tian, S.; Bai, J.; Yu, K.; Liu, L.; Liu, G.; Dong, R.; Tian, D. Regulation of ERK1/2 and SMAD2/3 Pathways by Using Multi-Layered Electrospun PCL–Amnion Nanofibrous Membranes for the Prevention of Post-Surgical Tendon Adhesion. Int. J. Nanomed. 2020, 15, 927–942. [Google Scholar] [CrossRef]
- Jiang, S.; Yan, H.; Fan, D.; Song, J.; Fan, C. Multi-Layer Electrospun Membrane Mimicking Tendon Sheath for Prevention of Tendon Adhesions. Int. J. Mol. Sci. 2015, 16, 6932–6944. [Google Scholar] [CrossRef] [PubMed]
- Rodrigues, M.T.; Reis, R.L.; Gomes, M.E. Engineering Tendon and Ligament Tissues: Present Developments towards Successful Clinical Products. J. Tissue Eng. Regen. Med. 2012, 7, 673–686. [Google Scholar] [CrossRef]
- Zhang, Q.; Yang, Y.; Yildirimer, L.; Xu, T.; Zhao, X. Advanced Technology-Driven Therapeutic Interventions for Prevention of Tendon Adhesion: Design, Intrinsic and Extrinsic Factor Considerations. Acta Biomater. 2021, 124, 15–32. [Google Scholar] [CrossRef] [PubMed]
- Liao, J.; Li, X.; Fan, Y. Prevention Strategies of Postoperative Adhesion in Soft Tissues by Applying Biomaterials: Based on the Mechanisms of Occurrence and Development of Adhesions. Bioact. Mater. 2023, 26, 387–412. [Google Scholar] [CrossRef]
- Capella-Monsonís, H.; Kearns, S.; Kelly, J.; Zeugolis, D.I. Battling Adhesions: From Understanding to Prevention. BMC Biomed. Eng. 2019, 1, 5. [Google Scholar] [CrossRef] [PubMed]
- Demers, A.J.; Moran, T.E.; Bustos, F.P.; Forster, G.L.; Natal, E.; DeGeorge, B.R. Revision of Flexor Tendon Repair: Factors Associated With Flexor Tenolysis. Hand 2022, 19, 664–670. [Google Scholar] [CrossRef]
- Duci, S.B. Modalities for Prevention of Adhesion Formation after Tendon Surgery: A Review of the Literature. Eur. J. Plast. Surg. 2017, 40, 393–400. [Google Scholar] [CrossRef]
- Thomopoulos, S.; Parks, W.C.; Rifkin, D.B.; Derwin, K.A. Mechanisms of Tendon Injury and Repair. J. Orthop. Res. 2015, 33, 832–839. [Google Scholar] [CrossRef] [PubMed]
- Fatehi Hassanabad, A.; Zarzycki, A.N.; Jeon, K.; Dundas, J.A.; Vasanthan, V.; Deniset, J.F.; Fedak, P.W.M. Prevention of Post-Operative Adhesions: A Comprehensive Review of Present and Emerging Strategies. Biomolecules 2021, 11, 1027. [Google Scholar] [CrossRef] [PubMed]
- Kim, J.Y.; Cho, W.J.; Kim, J.H.; Lim, S.H.; Kim, H.J.; Lee, Y.W.; Kwon, S.W. Efficacy and Safety of Hyaluronate Membrane in the Rabbit Cecum-Abdominal Wall Adhesion Model. J. Korean Surg. Soc. 2013, 85, 51–57. [Google Scholar] [CrossRef][Green Version]
- Song, Z.; Shi, B.; Ding, J.; Zhuang, X.; Zhang, X.; Fu, C.; Chen, X. A Comparative Study of Preventing Postoperative Tendon Adhesion Using Electrospun Polyester Membranes with Different Degradation Kinetics. Sci. China Chem. 2015, 58, 1159–1168. [Google Scholar] [CrossRef]
- Chen, C.; Chen, S.; Shalumon, K.T.; Chen, J. Prevention of Peritendinous Adhesions with Electrospun Polyethylene Glycol/Polycaprolactone Nanofibrous Membranes. Colloids Surf. B Biointerfaces 2015, 133, 221–230. [Google Scholar] [CrossRef] [PubMed]
- Chen, C.; Chen, S.; Shalumon, K.T.; Chen, J. Dual Functional Core—Sheath Electrospun Hyaluronic Acid/Polycaprolactone Nanofibrous Membranes Embedded with Silver Nanoparticles for Prevention of Peritendinous Adhesion. Acta Biomater. 2015, 26, 225–235. [Google Scholar] [CrossRef]
- Chen, S.H.; Chen, C.H.; Fong, Y.T.; Chen, J.P. Prevention of Peritendinous Adhesions with Electrospun Chitosan-Grafted Polycaprolactone Nanofibrous Membranes. Acta Biomater. 2014, 10, 4971–4982. [Google Scholar] [CrossRef] [PubMed]
- Chen, S.; Chen, C.; Shalumon, K.; Chen, J.-P. Preparation and Characterization of Antiadhesion Barrier Film from Hyaluronic Acid-Grafted Electrospun Poly (Caprolactone) Nanofibrous Membranes for Prevention of Flexor Tendon Postoperative Peritendinous Adhesion. Int. J. Nanomedicine 2014, 9, 4079–4092. [Google Scholar] [CrossRef] [PubMed]
- Chen, C.T.; Chen, C.H.; Sheu, C.; Chen, J.P. Ibuprofen-Loaded Hyaluronic Acid Nanofibrous Membranes for Prevention of Postoperative Tendon Adhesion through Reduction of Inflammation. Int. J. Mol. Sci. 2019, 20, 5038. [Google Scholar] [CrossRef]
- Saraiva, S.; Pereira, P.; Santos, P.; Ramalho, A.; Serra, C.; Fonseca, A.C. Electrospun Mats from α-Amino Acid Based Poly (Ester Amide)s: A Promising Material for the Prevention of Tendon Adhesions. React. Funct. Polym. 2024, 205, 106067. [Google Scholar] [CrossRef]
- Alimohammadi, M.; Aghli, Y.; Fakhraei, O.; Moradi, A.; Ebrahimzadeh, M.H.; Khademhosseini, A.; Tamayol, A.; Ali, S.; Shaegh, M. Electrospun Nanofibrous Membranes for Preventing Tendon Adhesion. ACS Biomater. Sci. Eng. 2020, 6, 4356–4376. [Google Scholar] [CrossRef]
- Di Gesù, R.; Amato, G.; Gottardi, R. Electrospun Scaffolds in Tendons Regeneration: A Review. Muscles. Ligaments Tendons J. 2019, 9, 478–493. [Google Scholar] [CrossRef]
- Uyanik, O.; Pekkoc-Uyanik, K.C.; Findik, S.; Avci, A.; Altuntas, Z. Prevention of Peritendinous Adhesions with Electrospun Poly (Lactic Acid-Co-Glycolic Acid) (PLGA) Bioabsorbable Nanofiber: An Experimental Study. Colloids Surf. B Biointerfaces 2022, 209, 112181. [Google Scholar] [CrossRef] [PubMed]
- Liu, S.; Zhao, J.; Ruan, H.; Tang, T.; Liu, G.; Yu, D.; Cui, W.; Fan, C. Biomimetic Sheath Membrane via Electrospinning for Antiadhesion of Repaired Tendon. Biomacromolecules 2012, 13, 3611–3619. [Google Scholar] [CrossRef] [PubMed]
- Arnal-pastor, M.; Ramos, C.M.; Garnés, M.P.; Pradas, M.M.; Lluch, A.V. Electrospun Adherent—Antiadherent Bilayered Membranes Based on Cross-Linked Hyaluronic Acid for Advanced Tissue Engineering Applications. Mater. Sci. Eng. C 2013, 33, 4086–4093. [Google Scholar] [CrossRef] [PubMed]
- Díaz, A.; Katsarava, R.; Puiggalí, J. Synthesis, Properties and Applications of Biodegradable Polymers Derived from Diols and Dicarboxylic Acids: From Polyesters to Poly (Ester Amide) S. Int. J. Mol. Sci. 2014, 15, 7064–7123. [Google Scholar] [CrossRef]
- Rodriguez-Galán, A.; Franco, L.; Puiggali, J. Degradable Poly(Ester Amide)s for Biomedical Applications. Polymers 2011, 3, 65–99. [Google Scholar] [CrossRef]
- Jokhadze, G.; Machaidze, M.; Panosyan, H.; Chu, C.C.; Katsarava, R. Synthesis and Characterization of Functional Elastomeric Poly(Ester Amide) Co-Polymers. J. Biomater. Sci. Polym. Ed. 2007, 18, 411–438. [Google Scholar] [CrossRef]
- Karimi, P.; Rizkalla, A.S.; Mequanint, K. Versatile Biodegradable Poly(Ester Amide)s Derived from Alpha-Amino Acids for Vascular Tissue Engineering. Materials 2010, 3, 2346–2368. [Google Scholar] [CrossRef]
- Murase, S.K.; del Valle, L.J.; Kobauri, S.; Katsarava, R.; Puiggalí, J. Electrospun Fi Brous Mats from a L -Phenylalanine Based Poly (Ester Amide): Drug Delivery and Accelerated Degradation by Loading Enzymes. Polym. Degrad. Stab. 2015, 119, 275–287. [Google Scholar] [CrossRef]
- Nagata, M. Synthesis and Enzymatic Degradation of Poly(Ester-Amide) Stereocopolymers Derived from Alanine. Macromol. Chem. Phys. 1999, 200, 2059–2064. [Google Scholar] [CrossRef]
- Katsarava, R.; Beridze, V.; Arabuli, N.; Kharadze, D.; Chu, C.C.; Won, C.Y. Amino Acid-Based Bioanalogous Polymers. Synthesis, and Study of Regular Poly(Ester Amide)s Based on Bis(Alpha-Amino Acid) Alpha, Omega-Alkylene Diesters, and Aliphatic Dicarboxylic Acids. J. Polym. Sci. Part A Polym. Chem. 1999, 37, 391–407. [Google Scholar] [CrossRef]
- Fan, Y.; Kobayashi, M.; Kise, H. Synthesis and Specific Biodegradation of Novel Polyesteramides Containing Amino Acid Residues. J. Polym. Sci. Part A Polym. Chem. 2001, 39, 1318–1328. [Google Scholar] [CrossRef]
- Yamanouchi, D.; Wu, J.; Lazar, A.N.; Kent, K.C.; Chu, C.; Liu, B. Biodegradable Arginine-Based Poly(Ester-Amide)s as Non-Viral Gene Delivery Reagents. Biomaterials 2008, 29, 3269–3277. [Google Scholar] [CrossRef]
- Horwitz, J.A.; Shum, K.M.; Bodle, J.C.; Deng, M.; Chu, C.C.; Reinhart-King, C.A. Biological Performance of Biodegradable Amino Acid-Based Poly(Ester Amide)s: Endothelial Cell Adhesion and Inflammation in Vitro. J. Biomed. Mater. Res.—Part A 2010, 95 A, 371–380. [Google Scholar] [CrossRef]
- Ansari, V.; Calore, A.; Zonderland, J.; Harings, J.A.W.; Moroni, L.; Bernaerts, K.V. Additive Manufacturing of α—Amino Acid Based Poly(Ester Amide)s for Biomedical Applications. Biomacromolecules 2022, 23, 1083–1100. [Google Scholar] [CrossRef]
- Lamas, M.L.; Lima, M.S.; Pinho, A.C.; Tugushi, D.; Katsarava, R.; Costa, E.C.; Correia, I.J.; Serra, A.C.; Coelho, J.F.J.; Fonseca, A.C. Towards the Development of Electrospun Mats from Poly(ε-Caprolactone)/Poly(Ester Amide)s Miscible Blends. Polymer 2018, 150, 343–359. [Google Scholar] [CrossRef]
- Murase, S.K.; Lv, L.P.; Kaltbeitzel, A.; Landfester, K.; Del Valle, L.J.; Katsarava, R.; Puiggali, J.; Crespy, D. Amino Acid-Based Poly(Ester Amide) Nanofibers for Tailored Enzymatic Degradation Prepared by Miniemulsion-Electrospinning. RSC Adv. 2015, 5, 55006–55014. [Google Scholar] [CrossRef]
- Wang, B.; Dong, J.; Niu, L.; Chen, W.; Chen, D.; Shen, C.; Zhu, J.; Zhang, X. In Vitro and in Vivo Degradation of Potential Anti-Adhesion Materials: Electrospun Membranes of Poly (Ester-Amide) Based on L-Phenylalanine and p-(Dioxanone). J. Biomed. Mater. Res.—Part B 2017, 105, 1369–1378. [Google Scholar] [CrossRef]
- Alarcon, P.; Hidalgo, A.I.; Manosalva, C.; Cristi, R.; Teuber, S.; Hidalgo, M.A.; Burgos, R.A. Metabolic Disturbances in Synovial Fluid Are Involved in the Onset of Synovitis in Heifers with Acute Ruminal Acidosis. Sci. Rep. 2019, 9, 5452. [Google Scholar] [CrossRef]
- Al-Tayyem, B.H.; Sweileh, B.A. Synthesis, Characterization and Hydrolytic Degradation of Novel Biodegradable Poly(Ester Amide)s Derived from Isosorbide and α-Amino Acids. J. Polym. Res. 2020, 27, 120. [Google Scholar] [CrossRef]
- Murase, S.K.; del Valle, L.J.; Puiggalí, J. Electrospun Scaffolds from Low Molecular Weight Poly(Ester Amide)s Based on Glycolic Acid, Adipic Acid and Odd or Even Diamines. Fibers 2015, 3, 151–172. [Google Scholar] [CrossRef]
- Fonseca, A.C.; Coelho, J.F.J.; Valente, J.F.A.; Correia, T.R.; Correia, J.; Gil, M.H.; Simões, P.N.; Fonseca, A.C.; Coelho, J.F.J.; Valente, J.F.A.; et al. Poly (Ester Amide)s Based on (L)-Lactic Acid Oligomers and α -Amino Acids: Influence of the α- Amino Acid Side Chain in the Poly (Ester Amide)s Properties. J. Biomater. Sci. Polym. Ed. 2013, 24, 1391–1409. [Google Scholar] [CrossRef]
- Li, L.; Chu, C. Nitroxyl Radical Incorporated Electrospun Biodegradable Poly (Ester Amide) Nanofiber Membranes. J. Biomater. Sci. 2009, 20, 37–41. [Google Scholar] [CrossRef]
- Garg, P.; Klee, D.; Keul, H.; Moller, M. Electrospinning of Novel Poly (Ester Amide)S. Macromol. Mater. Eng. 2009, 294, 679–690. [Google Scholar] [CrossRef]
- Paberit, R.; Rilby, E.; Gohl, J.; Swenson, J.; Refaa, Z.; Jansson, H. Cycling Stability of Poly(Ethylene Glycol) of Six Molecular Weights: Influence of Thermal Conditions for Energy Applications. Appl. energy Mater. 2020, 3, 10578–10589. [Google Scholar] [CrossRef]
- Ranganathan, P.; Chen, C.; Rwei, S.; Lee, Y. Methods of Synthesis, Characterization and Biomedical Applications of Biodegradable Poly (Ester Amide)s- A Review. Polym. Degrad. Stab. 2020, 181, 109323. [Google Scholar] [CrossRef]
- Armelin, E.; Paracuellos, N.; Rodríguez-Galán, A.; Puiggalí, J. Study on the Degradability of Poly (Ester Amide) s Derived from the a -Amino Acids Glycine, and l -Alanine Containing a Variable Amide/Ester Ratio. Polymer 2001, 42, 7923–7932. [Google Scholar] [CrossRef]
- Beachley, V.; Wen, X. Effect of Electrospinning Parameters on the Nanofiber Diameter and Lenght. Mater. Sci. Eng. C-Materials Biol. Appl. 2009, 29, 663–668. [Google Scholar] [CrossRef]
- Bełdowski, P.; Przybyłek, M.; Raczyński, P.; Dedinaite, A.; Górny, K.; Wieland, F.; Dendzik, Z.; Sionkowska, A.; Claesson, P.M. Albumin–Hyaluronan Interactions: Influence of Ionic Composition Probed by Molecular Dynamics. Int. J. Mol. Sci. 2021, 22, 12360. [Google Scholar] [CrossRef]
- Rodríguez-Galán, A.; Franco, L.; Puiggalí, J. Biodegradable Poly(Ester Amide)s: Synthesis and Applications. In Biodegradable Polymers: Processing, Degradation; Felton, G.P., Ed.; Nova Science Publishers, Inc.: Hauppauge, NY, USA, 2011; pp. 207–272. ISBN 9781612095349. [Google Scholar]
- Murugan, S.S. Mechanical Properties of Materials: Definition, Testing and Application. Int. J. Mod. Stud. Mech. Eng. 2020, 6, 28–38. [Google Scholar]
- Del Vecchio, C.J.M.; Carter, J.M. Load-Elongation Characteristics of High Tenacity Polyamide Yarns. Brazilian Soc. Mech. Sci. Eng. 2009, 239–247. [Google Scholar]
- Paredes, N.; Rodriguez-Galán, A.; Puiggalí, J.; Peraire, C. Studies on the Biodegradation and Biocompatibility of a New Poly (Ester Amide) Derived from L-Alanine. J. Polym. Sci. 1998, 69, 1537–1549. [Google Scholar]













| Formulations | Weight Ratio | mPEAs (g) | VTFE (mL) | Final Concentration (% m/v) |
|---|---|---|---|---|
| PEA_ala_100k | -- | 0.6 | 2 | 30 |
| PEA_phe_50k | -- | 0.6 | 2 | 30 |
| PEA_ala_50k/PEA_phe_50k | 50:50 | 0.2/0.2 | 2 | 20 |
| 25:75 | 0.1/0.3 | 2 | 20 | |
| 75:25 | 0.3/0.1 | 2 | 20 |
| T5% (°C) | Tonset (°C) | Tm (°C) | ΔHm (J/g) | Tg (Cooling) | |
|---|---|---|---|---|---|
| PEA_ala_50k | 326 | 336 | 89/108 | 13/4.7 | 15.2 |
| PEA_ala_100k | 308 | 343 | 104 | 32.5 | 18.6 |
| PEA_phe_50k | 280 | 295 | 112 | 38 | 27.4 |
| Tβ (°C) | Tg (°C) | E′25°C (MPa) | E′37°C (MPa) | |
|---|---|---|---|---|
| PEA_ala_100k | −67 | 12.2 | 78 | 51 |
| PEA_phe_50k | −67.5 | 22.3 | 97 | 49 |
| PEA_ala_50k/PEA_phe_50k (50:50) | −88.8 | 34.4 | 539 | 177 |
| PEA_ala_50k/PEA_phe_50k (25:75) | −88.4 | 37.2 | 482 | 245 |
Disclaimer/Publisher’s Note: The statements, opinions and data contained in all publications are solely those of the individual author(s) and contributor(s) and not of MDPI and/or the editor(s). MDPI and/or the editor(s) disclaim responsibility for any injury to people or property resulting from any ideas, methods, instructions or products referred to in the content. |
© 2025 by the authors. Licensee MDPI, Basel, Switzerland. This article is an open access article distributed under the terms and conditions of the Creative Commons Attribution (CC BY) license (https://creativecommons.org/licenses/by/4.0/).
Share and Cite
Saraiva, S.; Rénio, F.; Pereira, P.; Santos, P.; Paula, C.T.B.; Ramalho, A.; Serra, A.C.; Fonseca, A.C. Tackling the Problem of Tendon Adhesions: Physical Barriers Prepared from α-Amino Acid-Based Poly(ester amide)s. Polymers 2025, 17, 395. https://doi.org/10.3390/polym17030395
Saraiva S, Rénio F, Pereira P, Santos P, Paula CTB, Ramalho A, Serra AC, Fonseca AC. Tackling the Problem of Tendon Adhesions: Physical Barriers Prepared from α-Amino Acid-Based Poly(ester amide)s. Polymers. 2025; 17(3):395. https://doi.org/10.3390/polym17030395
Chicago/Turabian StyleSaraiva, Sofia, Francisca Rénio, Patrícia Pereira, Patrícia Santos, Carlos T. B. Paula, Amílcar Ramalho, Arménio C. Serra, and Ana C. Fonseca. 2025. "Tackling the Problem of Tendon Adhesions: Physical Barriers Prepared from α-Amino Acid-Based Poly(ester amide)s" Polymers 17, no. 3: 395. https://doi.org/10.3390/polym17030395
APA StyleSaraiva, S., Rénio, F., Pereira, P., Santos, P., Paula, C. T. B., Ramalho, A., Serra, A. C., & Fonseca, A. C. (2025). Tackling the Problem of Tendon Adhesions: Physical Barriers Prepared from α-Amino Acid-Based Poly(ester amide)s. Polymers, 17(3), 395. https://doi.org/10.3390/polym17030395

