Hydrophobic Properties of Pine Wood Coatings Based on Epoxy Varnish and (Fluoro)Alkyl Methacrylate Copolymers
Abstract
1. Introduction
2. Materials and Methods
2.1. Materials
2.2. Synthesis of GMA and Alkyl Methacrylate/Fluoroalkyl Methacrylate (AlMA/FMA) Copolymers
2.3. Preparation of Impregnation Solutions
2.4. Modification of Pine Wood Samples by Immersion in Impregnation Solutions
2.5. Modification of Pine Wood Samples by Brush Application
2.6. Methods
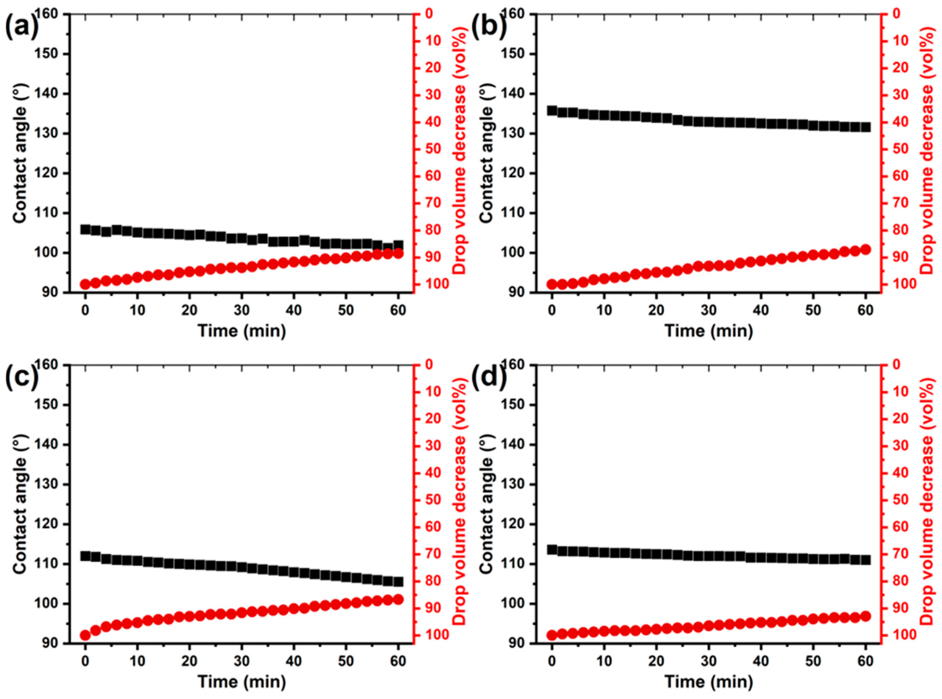
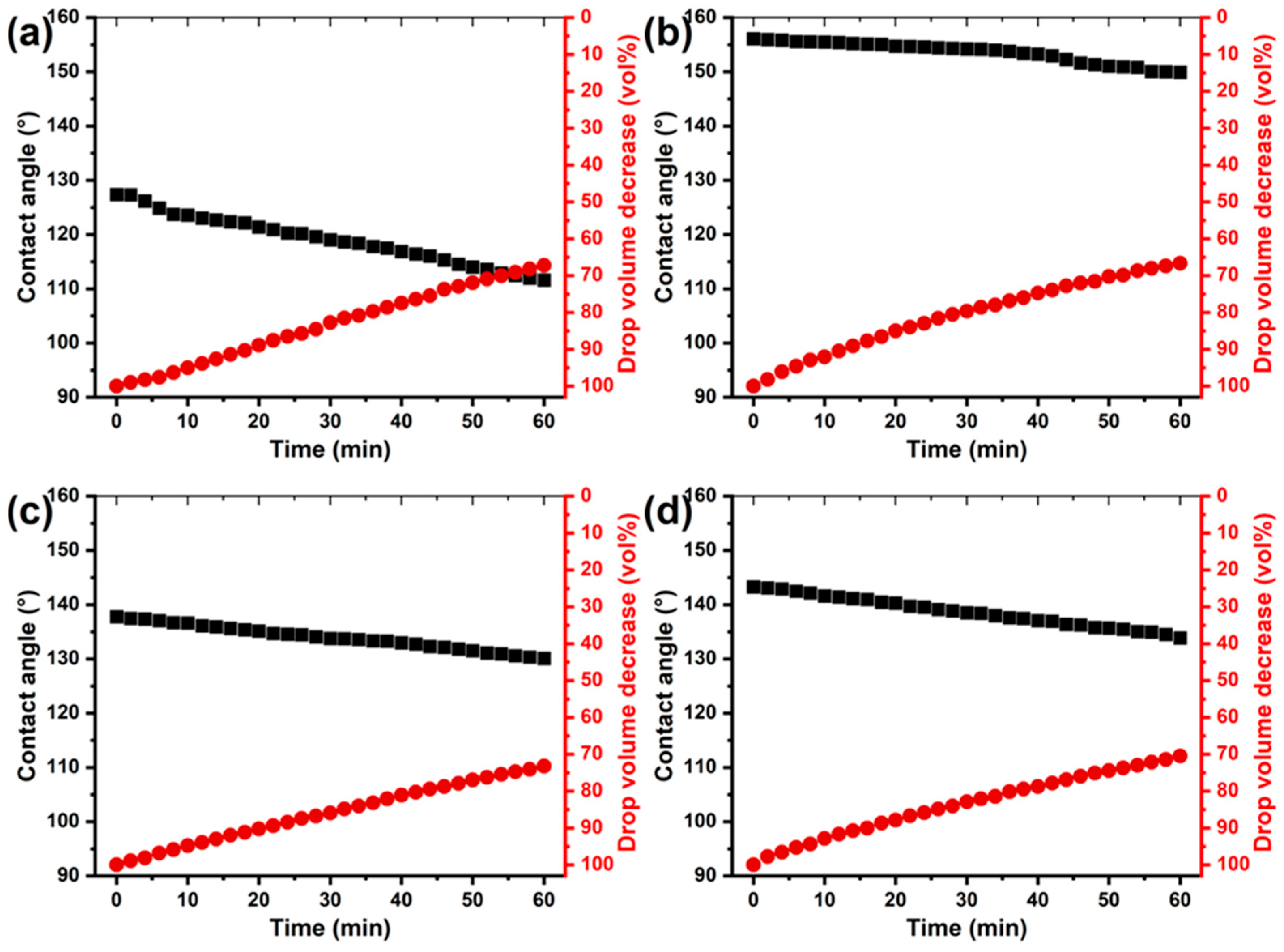
3. Results
4. Conclusions
Supplementary Materials
Author Contributions
Funding
Institutional Review Board Statement
Data Availability Statement
Acknowledgments
Conflicts of Interest
References
- Miklečić, J.; Jirouš-Rajković, V. Effectiveness of Finishes in Protecting Wood from Liquid Water and Water Vapor. J. Build. Eng. 2021, 43, 102621. [Google Scholar] [CrossRef]
- Kartal, S.N.; Hwang, W.-J.; Imamura, Y. Water Absorption of Boron-Treated and Heat-Modified Wood. J. Wood Sci. 2007, 53, 454–457. [Google Scholar] [CrossRef]
- Petr, P.; Aleš, D. Moisture Absorption and Dimensional Stability of Poplar Wood Impregnated with Sucrose and Sodium Chloride. Maderas Cienc. Tecnol. 2014, 16, 299–311. [Google Scholar] [CrossRef]
- Moisture-Related Properties of Wood and the Effects of Moisture on Wood and Wood Products. In Moisture Control in Buildings: The Key Factor in Mold Prevention, 2nd ed.; ASTM International: West Conshohocken, PA, USA; pp. 54–79. ISBN 978-0-8031-7004-9.
- Blanchette, R.A.; Zabel, R.A.; Morrell, J.J. Wood Microbiology: Decay and Its Prevention. Mycologia 1993, 85, 874. [Google Scholar] [CrossRef]
- Devi, R.R.; Maji, T.K. Chemical Modification of Simul Wood with Styrene–Acrylonitrile Copolymer and Organically Modified Nanoclay. Wood Sci. Technol. 2012, 46, 299–315. [Google Scholar] [CrossRef]
- Abdelmohsen, S.; Adriaenssens, S.; El-Dabaa, R.; Gabriele, S.; Olivieri, L.; Teresi, L. A Multi-Physics Approach for Modeling Hygroscopic Behavior in Wood Low-Tech Architectural Adaptive Systems. Comput.-Aided Des. 2019, 106, 43–53. [Google Scholar] [CrossRef]
- Kumar, M.; Shakher, C. Experimental Characterization of the Hygroscopic Properties of Wood during Convective Drying Using Digital Holographic Interferometry. Appl. Opt. 2016, 55, 960. [Google Scholar] [CrossRef]
- Patera, A.; Van Den Bulcke, J.; Boone, M.N.; Derome, D.; Carmeliet, J. Swelling Interactions of Earlywood and Latewood across a Growth Ring: Global and Local Deformations. Wood Sci. Technol. 2018, 52, 91–114. [Google Scholar] [CrossRef]
- Chiniforush, A.A.; Akbarnezhad, A.; Valipour, H.; Malekmohammadi, S. Moisture and Temperature Induced Swelling/Shrinkage of Softwood and Hardwood Glulam and LVL: An Experimental Study. Constr. Build. Mater. 2019, 207, 70–83. [Google Scholar] [CrossRef]
- Wang, Y.; Ge-Zhang, S.; Mu, P.; Wang, X.; Li, S.; Qiao, L.; Mu, H. Advances in Sol-Gel-Based Superhydrophobic Coatings for Wood: A Review. Int. J. Mol. Sci. 2023, 24, 9675. [Google Scholar] [CrossRef]
- Wang, C.; Piao, C.; Lucas, C. Synthesis and Characterization of Superhydrophobic Wood Surfaces. J. Appl. Polym. Sci. 2011, 119, 1667–1672. [Google Scholar] [CrossRef]
- Watson, G.S.; Watson, J.A.; Cribb, B.W. Diversity of Cuticular Micro- and Nanostructures on Insects: Properties, Functions, and Potential Applications. Annu. Rev. Entomol. 2017, 62, 185–205. [Google Scholar] [CrossRef] [PubMed]
- Yue, D.; Lin, S.; Cao, M.; Lin, W.; Zhang, X. Fabrication of Transparent and Durable Superhydrophobic Polysiloxane/SiO2 Coating on the Wood Surface. Cellulose 2021, 28, 3745–3758. [Google Scholar] [CrossRef]
- Chu, Z.; Seeger, S. Robust Superhydrophobic Wood Obtained by Spraying Silicone Nanoparticles. RSC Adv. 2015, 5, 21999–22004. [Google Scholar] [CrossRef]
- Lu, Q.; Cheng, R.; Jiang, H.; Xia, S.; Zhan, K.; Yi, T.; Morrell, J.J.; Yang, L.; Wan, H.; Du, G.; et al. Superhydrophobic Wood Fabricated by Epoxy/Cu2(OH)3Cl NPs/Stearic Acid with Performance of Desirable Self-Cleaning, Anti-Mold, Dimensional Stability, Mechanical and Chemical Durability. Colloids Surf. A Physicochem. Eng. Asp. 2022, 647, 129162. [Google Scholar] [CrossRef]
- Chang, H.; Tu, K.; Wang, X.; Liu, J. Facile Preparation of Stable Superhydrophobic Coatings on Wood Surfaces Using Silica-Polymer Nanocomposites. BioResources 2015, 10, 2585–2596. [Google Scholar] [CrossRef]
- Wang, Y.; Tang, Z.; Lu, S.; Zhang, M.; Liu, K.; Xiao, H.; Huang, L.; Chen, L.; Wu, H.; Ni, Y. Superhydrophobic Wood Grafted by Poly(2-(Perfluorooctyl)Ethyl Methacrylate) via ATRP with Self-Cleaning, Abrasion Resistance and Anti-Mold Properties. Holzforschung 2020, 74, 799–809. [Google Scholar] [CrossRef]
- Gao, X.; Wang, M.; He, Z. Superhydrophobic Wood Surfaces: Recent Developments and Future Perspectives. Coatings 2023, 13, 877. [Google Scholar] [CrossRef]
- Nomeir, B.; Lakhouil, S.; Boukheir, S.; Ali, M.A.; Naamane, S. Recent Advances in Polymer-Based Superhydrophobic Coatings: Preparation, Properties, and Applications. J. Coat. Technol. Res. 2025, 22, 33–89. [Google Scholar] [CrossRef]
- Shirtcliffe, N.J.; McHale, G.; Newton, M.I. The Superhydrophobicity of Polymer Surfaces: Recent Developments. J. Polym. Sci. B Polym. Phys. 2011, 49, 1203–1217. [Google Scholar] [CrossRef]
- Blanchet, P.; Pepin, S. Trends in Chemical Wood Surface Improvements and Modifications: A Review of the Last Five Years. Coatings 2021, 11, 1514. [Google Scholar] [CrossRef]
- Nonomura, Y.; Sano, M.; Sekine, R.; Daikoku, Y. Friction Dynamics of Wood Coated with Vegetable Oil. J. Oleo Sci. 2021, 70, 1777–1782. [Google Scholar] [CrossRef]
- Ahmed, S.A.; Morén, T.; Sehlstedt-Persson, M.; Blom, Å. Effect of Oil Impregnation on Water Repellency, Dimensional Stability and Mold Susceptibility of Thermally Modified European Aspen and Downy Birch Wood. J. Wood Sci. 2017, 63, 74–82. [Google Scholar] [CrossRef]
- Tang, C.C.; Li, Y.; Buzoglu Kurnaz, L.; Li, J. Development of Eco-Friendly Antifungal Coatings by Curing Natural Seed Oils on Wood. Prog. Org. Coat. 2021, 161, 106512. [Google Scholar] [CrossRef]
- Piao, X.; Zhao, Z.; Guo, H.; Wang, Z.; Jin, C. Improved Properties of Bamboo by Thermal Treatment with Wood Wax Oil. Colloids Surf. A Physicochem. Eng. Asp. 2022, 643, 128807. [Google Scholar] [CrossRef]
- Janesch, J.; Arminger, B.; Gindl-Altmutter, W.; Hansmann, C. Superhydrophobic Coatings on Wood Made of Plant Oil and Natural Wax. Prog. Org. Coat. 2020, 148, 105891. [Google Scholar] [CrossRef]
- Calovi, M.; Zanardi, A.; Rossi, S. Recent Advances in Bio-Based Wood Protective Systems: A Comprehensive Review. Appl. Sci. 2024, 14, 736. [Google Scholar] [CrossRef]
- Bekhta, P.; Proszyk, S.; Krystofiak, T.; Mamonova, M.; Pinkowski, G.; Lis, B. Effect of Thermomechanical Densification on Surface Roughness of Wood Veneers. Wood Mater. Sci. Eng. 2014, 9, 233–245. [Google Scholar] [CrossRef]
- Goodell, B.; Nicholas, D.D.; Schultz, T.P.; American Chemical Society (Eds.) Wood Deterioration and Preservation: Advances in Our Changing World; ACS Symposium Series; American Chemical Society: Washington, DC, USA, 2003; ISBN 978-0-8412-3797-1. [Google Scholar]
- Zheng, S.; Bellido-Aguilar, D.A.; Huang, Y.; Zeng, X.; Zhang, Q.; Chen, Z. Mechanically Robust Hydrophobic Bio-Based Epoxy Coatings for Anti-Corrosion Application. Surf. Coat. Technol. 2019, 363, 43–50. [Google Scholar] [CrossRef]
- Li, J.; Wang, H.; Li, S. A Novel Phosphorus−silicon Containing Epoxy Resin with Enhanced Thermal Stability, Flame Retardancy and Mechanical Properties. Polym. Degrad. Stab. 2019, 164, 36–45. [Google Scholar] [CrossRef]
- Yang, X.; Guo, Y.; Luo, X.; Zheng, N.; Ma, T.; Tan, J.; Li, C.; Zhang, Q.; Gu, J. Self-Healing, Recoverable Epoxy Elastomers and Their Composites with Desirable Thermal Conductivities by Incorporating BN Fillers via in-Situ Polymerization. Compos. Sci. Technol. 2018, 164, 59–64. [Google Scholar] [CrossRef]
- Aparna, A.; Sethulekshmi, A.S.; Saritha, A.; Joseph, K. Recent Advances in Superhydrophobic Epoxy Based Nanocomposite Coatings and Their Applications. Prog. Org. Coat. 2022, 166, 106819. [Google Scholar] [CrossRef]
- Peng, C.; Chen, Z.; Tiwari, M.K. All-Organic Superhydrophobic Coatings with Mechanochemical Robustness and Liquid Impalement Resistance. Nat. Mater. 2018, 17, 355–360. [Google Scholar] [CrossRef] [PubMed]
- Kuzina, E.A.; Teplonogova, M.A.; Buglak, A.V.; Emelyanenko, K.A. Superhydrophobic Coating Based on EP-140 Epoxy Enamel: A Study of Mechanical Endurance under External Actions. Colloid J. 2025, 87, 365–372. [Google Scholar] [CrossRef]
- Elzaabalawy, A.; Meguid, S.A. Development of Novel Superhydrophobic Coatings Using Siloxane-Modified Epoxy Nanocomposites. Chem. Eng. J. 2020, 398, 125403. [Google Scholar] [CrossRef]
- Arminger, B.; Gindl-Altmutter, W.; Keckes, J.; Hansmann, C. Facile Preparation of Superhydrophobic Wood Surfaces via Spraying of Aqueous Alkyl Ketene Dimer Dispersions. RSC Adv. 2019, 9, 24357–24367. [Google Scholar] [CrossRef]
- Saji, V.S. Wax-Based Artificial Superhydrophobic Surfaces and Coatings. Colloids Surf. A Physicochem. Eng. Asp. 2020, 602, 125132. [Google Scholar] [CrossRef]
- Grinins, J.; Biziks, V.; Marais, B.N.; Rizikovs, J.; Militz, H. Weathering Stability and Durability of Birch Plywood Modified with Different Molecular Weight Phenol-Formaldehyde Oligomers. Polymers 2021, 13, 175. [Google Scholar] [CrossRef]
- Kajita, H.; Furuno, T.; Imamura, Y. The Modification of Wood by Treatment with Low Molecular Weight Phenol-Formaldehyde Resin: A Properties Enhancement with Neutralized Phenolic-Resin and Resin Penetration into Wood Cell Walls. Wood Sci. Technol. 2004, 37, 349–361. [Google Scholar] [CrossRef]
- Klimov, V.; Kolyaganova, O.; Bryuzgin, E.; Navrotsky, A.; Novakov, I. Effect of the Composition of Copolymers Based on Glycidyl Methacrylate and Fluoroalkyl Methacrylates on the Free Energy and Lyophilic Properties of the Modified Surface. Polymers 2022, 14, 1960. [Google Scholar] [CrossRef]
- Grigor’eva, Y.D.; Kolyaganova, O.V.; Klimov, V.V.; Bryuzgin, E.V.; Navrotskii, A.V.; Novakov, I.A. Influence of Composition of Copolymers of Glycidyl Methacrylate and Alkyl Methacrylates on the Free Energy and Lyophilic Properties of the Coatings. Polym. Sci. Ser. B 2024, 66, 245–256. [Google Scholar] [CrossRef]
- Kolyaganova, O.V.; Klimov, V.V.; Bryuzgin, E.V.; Le, M.D.; Kharlamov, V.O.; Bryuzgina, E.B.; Navrotsky, A.V.; Novakov, I.A. Modification of Wood with Copolymers Based on Glycidyl Methacrylate and Alkyl Methacrylates for Imparting Superhydrophobic Properties. J. Appl. Polym. Sci. 2022, 139, 51636. [Google Scholar] [CrossRef]
- Kolyaganova, O.V.; Duridivko, M.O.; Klimov, V.V.; Le, M.D.; Kharlamov, V.O.; Bryuzgin, E.V.; Navrotsky, A.V.; Novakov, I.A. Highly Hydrophobic and Superhydrophobic Coatings Based on Linseed Oil and Copolymers of Glycidyl Methacrylate and (Fluoro)Alkyl Methacrylates for Wood Surfaces. Colloid J. 2022, 84, 416–426. [Google Scholar] [CrossRef]
- GOST 16483.20-72; Wood. Determination Method of Water Absorption. IPK Izdatelstvo Standartov: Moscow, Russian, 1999.
- GOST-R-52165; Paint-Materials. Varnishes. General-Specifications. IPK Izdatelstvo Standartov: Moscow, Russian, 2004.
- GOST 16483.7-71; Wood. Methods for Determination of Moisture Content. IPK Izdatelstvo Standartov: Moscow, Russian, 2001.
- GOST 21523.5-77; Modified Wood. Method for Determination of Water Absorption. FSUE “Standartinform”: Moscow, Russian, 2001.
- Cui, H.; Fang, X.; Qi, X.; Liu, C.; Wang, Y.; Chen, X.; Wang, C. Water Collection through a Directional Leaf Vein Pattern by Fast Laser Marker Ablation of Stainless-Steel. Surf. Interfaces 2024, 55, 105332. [Google Scholar] [CrossRef]
- Cui, H.; Fang, X.; Chen, X.; Qi, X.; Liu, C.; Li, J.; Wang, C.; Gao, X. Fast Generation and Restoration of Superhydrophilicity and Antifog Property by Flame Treatment. Adv. Mater. Technol. 2025, 10, 2402023. [Google Scholar] [CrossRef]
- Boinovich, L.B.; Emelyanenko, A.M. Hydrophobic Materials and Coatings: Principles of Design, Properties and Applications. Russ. Chem. Rev. 2008, 77, 583–600. [Google Scholar] [CrossRef]
- Boinovich, L.; Emelyanenko, A. A Wetting Experiment as a Tool to Study the Physicochemical Processes Accompanying the Contact of Hydrophobic and Superhydrophobic Materials with Aqueous Media. Adv. Colloid Interface Sci. 2012, 179–182, 133–141. [Google Scholar] [CrossRef]
- Verho, T.; Bower, C.; Andrew, P.; Franssila, S.; Ikkala, O.; Ras, R.H.A. Mechanically Durable Superhydrophobic Surfaces. Adv. Mater. 2011, 23, 673–678. [Google Scholar] [CrossRef]
- Wang, P.; Li, C.; Zhang, D. Recent Advances in Chemical Durability and Mechanical Stability of Superhydrophobic Materials: Multi-Strategy Design and Strengthening. J. Mater. Sci. Technol. 2022, 129, 40–69. [Google Scholar] [CrossRef]
- Xie, X.; Qi, X.; Chen, X.; Cui, H. Durable Self-Cleaning Anti-Fog and Antireflective Titanium-Based Micro-Nano Structures on Glass by Laser Marker Ablation. Surf. Interfaces 2024, 51, 104644. [Google Scholar] [CrossRef]
- Tocháček, J.; Vrátníčková, Z. Polymer Life-Time Prediction: The Role of Temperature in UV Accelerated Ageing of Polypropylene and Its Copolymers. Polym. Test. 2014, 36, 82–87. [Google Scholar] [CrossRef]






| Modifier | Concentration of Modifier Solution, wt.% | Change in Sample Mass Depending on Coating Method, wt.% | |
|---|---|---|---|
| Immersion | Brushing | ||
| Epoxy varnish EP-2146 | - | 21.8 ± 4.4 | 20.9 ± 1.0 |
| Poly-(GMA-co-HFBMA) * | 3% | 10.2 ± 1.0 | 17.4 ± 1.4 |
| 5% | 10.0 ± 1.0 | 13.0 ± 2.1 | |
| Poly-(GMA-co-SMA) | 3% | 19.3 ± 2.6 | 19.6 ± 2.5 |
| 5% | 17.2 ± 0.8 | 19.4 ± 1.4 | |
| Poly-(GMA-co-HFBMA-co-SMA) | 3% | 20.4 ± 2.0 | 17.8 ± 1.0 |
| 5% | 16.3 ± 0.3 | 17.5 ± 1.5 | |
| Modifier | Elemental Composition Depending on Coating Method, at.% | |||||
|---|---|---|---|---|---|---|
| Immersion | Brushing | |||||
| O | C | F | O | C | F | |
| Unmodified wood 1 | 39.4 | 60.6 | --- | --- | --- | --- |
| Epoxy varnish EP-2146 | 33.1 | 66.8 | --- | 28.1 | 71.9 | --- |
| Poly(GMA-co-HFBMA) 2 | 31.0 | 64.17 | 4.8 | 28.9 | 67.6 | 3.5 |
| Poly(GMA-co-SMA) | 31.0 | 69.0 | --- | 28.9 | 71.1 | --- |
| Poly(GMA-co-HFBMA-co-SMA) | 30.7 | 68.3 | 1.0 | 28.2 | 70.7 | 1.1 |
| Modifier | Measurement Surface | Contact Angle Depending on the Coating Method, ° | |
|---|---|---|---|
| Immersion | Brushing | ||
| The unmodified wood | perpendicular to fibers | 121 ± 3 | |
| parallel to fibers | 119 ± 2 | ||
| Epoxy varnish EP-2146 | perpendicular to fibers | 126 ± 3 | 100 ± 3 |
| parallel to fibers | 104 ± 3 | 94 ± 4 | |
| Poly(GMA-co-HFBMA) * | perpendicular to fibers | 152 ± 3 | 135 ± 3 |
| parallel to fibers | 137 ± 3 | 124 ± 3 | |
| Poly(GMA-co-SMA) | perpendicular to fibers | 129 ± 4 | 109 ± 2 |
| parallel to fibers | 105 ± 3 | 95 ± 4 | |
| Poly(GMA-co-HFBMA-co-SMA) | perpendicular to fibers | 135 ± 3 | 108 ± 2 |
| parallel to fibers | 125 ± 2 | 102 ± 1 | |
| Modifier | Measurement Surface | Contact Angle, ° | |||||
|---|---|---|---|---|---|---|---|
| Exposure Time, Month | |||||||
| 0 | 1 | 2 | 4 | 5 | 6 | ||
| The unmodified wood | perpendicular to fibers | 121 ± 3 | 57 ± 5 | wetted | |||
| parallel to fibers | 119 ± 2 | --- | wetted | ||||
| Immersion | |||||||
| Epoxy varnish EP-2146 | perpendicular to fibers | 120 ± 3 | --- | --- | --- | --- | 78 ± 2 |
| parallel to fibers | 97 ± 3 | --- | --- | --- | --- | 72 ± 4 | |
| Poly(GMA-co-HFBMA) * | perpendicular to fibers | 154 ± 3 | 141 ± 2 | 150 ± 2 | 135 ± 3 | 127 ± 4 | 144 ± 2 |
| parallel to fibers | 140 ± 4 | 125 ± 2 | 124 ± 2 | 117 ± 2 | 109 ± 3 | 125 ± 1 | |
| Poly(GMA-co-SMA) | perpendicular to fibers | 121 ± 2 | 130 ± 2 | 126 ± 3 | 121 ± 3 | 117 ± 2 | 112 ± 2 |
| parallel to fibers | 98 ± 2 | 105 ± 3 | 91 ± 4 | 79 ± 1 | 78 ± 2 | 73 ± 3 | |
| Poly(GMA-co-HFBMA-co-SMA) | perpendicular to fibers | 136 ± 3 | 136 ± 3 | 134 ± 2 | 136 ± 3 | 134 ± 2 | 134 ± 2 |
| parallel to fibers | 119 ± 3 | 119 ± 2 | 119 ± 3 | 118 ± 3 | 117 ± 3 | 117 ± 3 | |
| Brushing | |||||||
| Epoxy varnish EP-2146 | perpendicular to fibers | 100 ± 3 | --- | --- | --- | --- | 68 ± 7 |
| parallel to fibers | 94 ± 4 | --- | --- | --- | --- | 62 ± 6 | |
| Poly(GMA-co-HFBMA) * | perpendicular to fibers | 135 ± 3 | 140 ± 3 | 140 ± 4 | 143 ± 3 | 131 ± 2 | 119 ± 2 |
| parallel to fibers | 124 ± 3 | 130 ± 3 | 130 ± 2 | 118 ± 4 | 108 ± 2 | 105 ± 2 | |
| Poly(GMA-co-SMA) | perpendicular to fibers | 109 ± 2 | 104 ± 3 | 93 ± 2 | 91 ± 3 | 90 ± 3 | 89 ± 3 |
| parallel to fibers | 95 ± 4 | 91 ± 2 | 86 ± 2 | 76 ± 1 | 73 ± 3 | 67 ± 2 | |
| Poly(GMA-co-HFBMA-co-SMA) | perpendicular to fibers | 113 ± 2 | 106 ± 2 | 106 ± 3 | 108 ± 2 | 105 ± 2 | 105 ± 3 |
| parallel to fibers | 108 ± 2 | 108 ± 2 | 108 ± 2 | 91 ± 1 | 86 ± 2 | 85 ± 5 | |
Disclaimer/Publisher’s Note: The statements, opinions and data contained in all publications are solely those of the individual author(s) and contributor(s) and not of MDPI and/or the editor(s). MDPI and/or the editor(s) disclaim responsibility for any injury to people or property resulting from any ideas, methods, instructions or products referred to in the content. |
© 2025 by the authors. Licensee MDPI, Basel, Switzerland. This article is an open access article distributed under the terms and conditions of the Creative Commons Attribution (CC BY) license (https://creativecommons.org/licenses/by/4.0/).
Share and Cite
Klimov, V.V.; Arkhipov, V.V.; Klimova, O.V.; Le, M.D.; Bryuzgin, E.V.; Navrotskii, A.V. Hydrophobic Properties of Pine Wood Coatings Based on Epoxy Varnish and (Fluoro)Alkyl Methacrylate Copolymers. Polymers 2025, 17, 3172. https://doi.org/10.3390/polym17233172
Klimov VV, Arkhipov VV, Klimova OV, Le MD, Bryuzgin EV, Navrotskii AV. Hydrophobic Properties of Pine Wood Coatings Based on Epoxy Varnish and (Fluoro)Alkyl Methacrylate Copolymers. Polymers. 2025; 17(23):3172. https://doi.org/10.3390/polym17233172
Chicago/Turabian StyleKlimov, Viktor V., Vladislav V. Arkhipov, Olga V. Klimova, Manh D. Le, Evgeny V. Bryuzgin, and Alexander V. Navrotskii. 2025. "Hydrophobic Properties of Pine Wood Coatings Based on Epoxy Varnish and (Fluoro)Alkyl Methacrylate Copolymers" Polymers 17, no. 23: 3172. https://doi.org/10.3390/polym17233172
APA StyleKlimov, V. V., Arkhipov, V. V., Klimova, O. V., Le, M. D., Bryuzgin, E. V., & Navrotskii, A. V. (2025). Hydrophobic Properties of Pine Wood Coatings Based on Epoxy Varnish and (Fluoro)Alkyl Methacrylate Copolymers. Polymers, 17(23), 3172. https://doi.org/10.3390/polym17233172

